REVIEW article
Front. Pharmacol.
Sec. Pharmacology of Infectious Diseases
This article is part of the Research TopicThe Evolution in Pharmacology of Infectious Diseases: 2025View all 4 articles
Antiretroviral Therapy and Associated Drug Interactions with Cardiovascular Drugs: A Critical Review
Provisionally accepted- 1Panepistemio Kretes Iatrike Schole, Heraklion, Greece
- 2Idruma Tekhnologias kai Ereunas, Heraklion, Greece
- 3German Medical Institute, Limassol 4102, Cyprus, Limassol, Cyprus
Select one of your emails
You have multiple emails registered with Frontiers:
Notify me on publication
Please enter your email address:
If you already have an account, please login
You don't have a Frontiers account ? You can register here
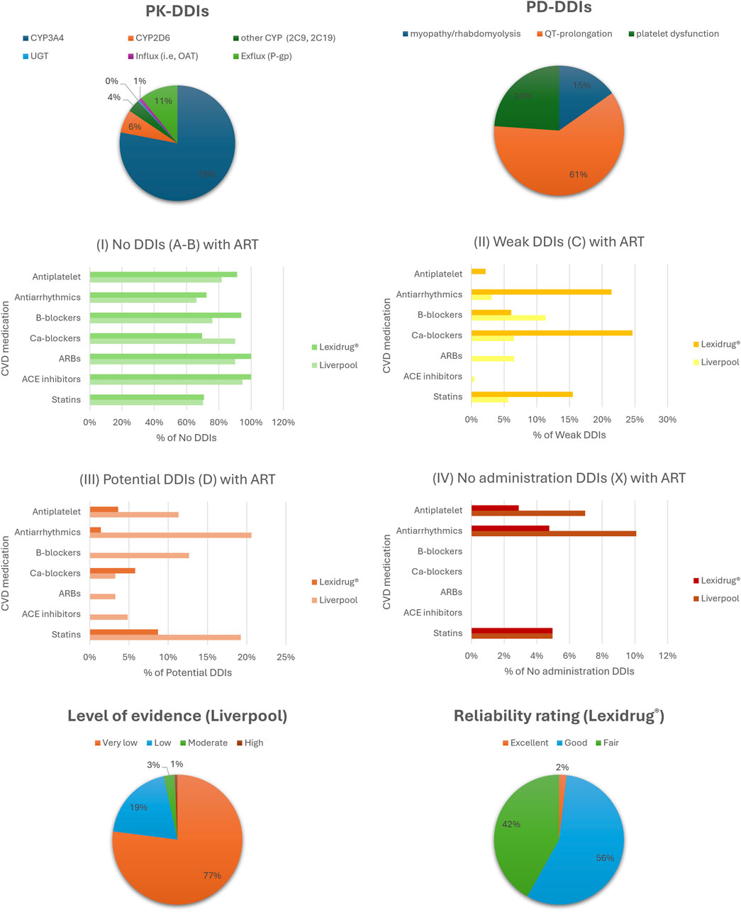
The significant progress in HIV research has led to the development of innovative medicines and protocols. Most people living with HIV (PLWH) achieve longer lifespans when adhering strictly to the therapeutic protocols. A notable characteristic of PLWH is a higher incidence of cardiovascular diseases. This may result from the disease itself or increased life expectancy. Regardless of the underlying cause, it often requires the concurrent use of antiretroviral therapy (ART) and cardiovascular drugs (CVD). In such cases, a key issue as to optimal evidence-based practices is the management of potential and clinically significant drug-drug interactions (DDIs). Over time, our understanding of DDIs has advanced significantly. These advancements have led to the development of tools and approaches for identifying and managing DDIs, especially in special population groups such as PLWH. Clinically, recognizing and managing these interactions is key to preventing adverse effects and optimizing outcomes in PLWH, thereby enhancing patient safety and quality of care. This review discusses the latest data on DDIs between ART and CVD, emphasizing on their clinical significance. Furthermore, it explores how established tools, such as the Liverpool Drug Interaction Checker and LexiDrug®, can support healthcare professionals. Combined with insights from the literature and Summaries of Product Characteristics, these tools can guide the identification and management of DDIs between ART and CVD medications to ensure optimal therapeutic outcomes.
Keywords: HIV, aids, drug-drug interactions, DDIs, PLWH antiretroviral treatment, Cardiovasculardisease, LexiDrug®, Liverpool Drug Interaction Checker
Received: 14 Aug 2025; Accepted: 27 Oct 2025.
Copyright: © 2025 Spanakis, Alexakis and Ioannou. This is an open-access article distributed under the terms of the Creative Commons Attribution License (CC BY). The use, distribution or reproduction in other forums is permitted, provided the original author(s) or licensor are credited and that the original publication in this journal is cited, in accordance with accepted academic practice. No use, distribution or reproduction is permitted which does not comply with these terms.
* Correspondence: 
Marios  Spanakis, marspan@ics.forth.gr
Petros  Ioannou, p.ioannou@uoc.gr
Disclaimer: All claims expressed in this article are solely those of the authors and do not necessarily represent those of their affiliated organizations, or those of the publisher, the editors and the reviewers. Any product that may be evaluated in this article or claim that may be made by its manufacturer is not guaranteed or endorsed by the publisher.
