ORIGINAL RESEARCH article
Front. Pharmacol.
Sec. Pharmacology of Anti-Cancer Drugs
This article is part of the Research TopicFrom Laboratory to Clinic: Novel Pharmacological Strategies for Cancer TreatmentView all 5 articles
Multifaced Roles of Cannabinoid Therapy in Cancer: Balancing Analgesia, Antitumor Potential, and Systemic Toxicity
Provisionally accepted- 1Grigore T. Popa University of Medicine and Pharmacy, Iași, Romania
- 2Centre for Translational Medicine, Budapest, Hungary
- 3Semmelweis Egyetem, Budapest, Hungary
- 4Academia de Stiinte Medicale, Bucharest, Romania
- 5Universitatea de Stiintele Vietii Ion Ionescu de la Brad din Iasi, Iași, Romania
- 6Pecsi Tudomanyegyetem, Pécs, Hungary
- 7Szegedi Tudomanyegyetem, Szeged, Hungary
Select one of your emails
You have multiple emails registered with Frontiers:
Notify me on publication
Please enter your email address:
If you already have an account, please login
You don't have a Frontiers account ? You can register here
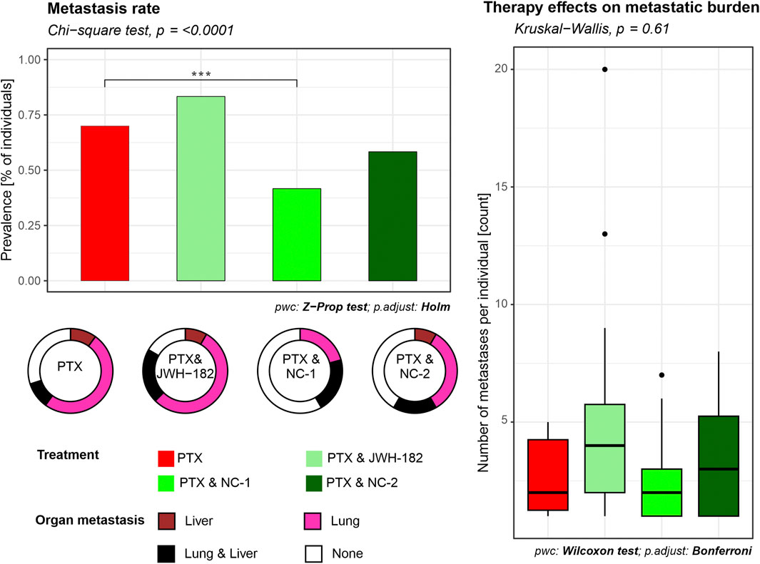
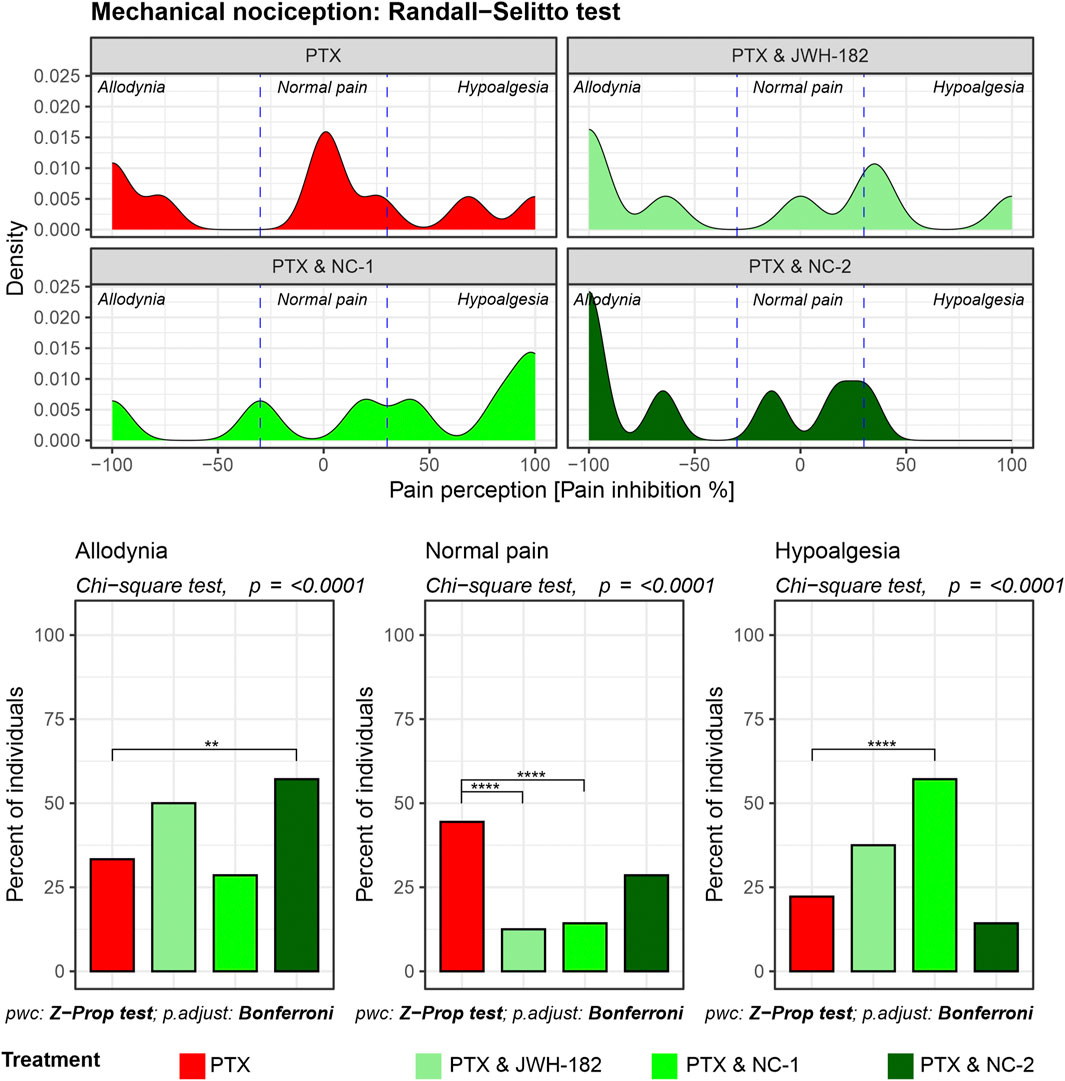
Introduction: Cannabinoids hold promise in oncology for symptom relief and antitumor effects, though concerns about safety and efficacy persist. This study assessed the impact of JWH-182 and phytocannabinoids NC1 – Cannabixir® Medium dried flowers and NC2 – Cannabixir® THC full extract, in a murine breast cancer model with paclitaxel-induced peripheral neuropathy (CIPN). Methods: Female BALB/c mice with breast tumors received paclitaxel alone or combined with cannabinoids, and outcomes included pain sensitivity, tumor progression (imaging and histopathology), cachexia (body weight, food intake, imaging), as well as hematological and organ toxicity profiles. Results: All cannabinoids alleviated neuropathic pain, with NC1 most effective for central and thermal protection (72% and 100%, p<0.0001), NC2 showing strong central and mechanical benefit (>60% and >33%), and JWH-182 intermediate (~50%). Tumor growth was not significantly altered, but metastasis incidence was 41.7% for NC1, 58.3% for NC2, compared with 70% for PTX, suggesting antitumoral activity. Effects on cachexia were modest, JWH-182 tended to improve food intake, whereas NC1 and NC2 reduced it, yet body weight remained stable and significant muscle loss was observed only with NC2 (p<0.05). Hematology showed immunomodulatory effects, with cannabinoids reversing lymphopenia (p=0.0005), raising monocytes and neutrophils, and partly restoring platelets. Toxicity was highest with NC2 (renal and hepatic injury), moderate with NC1, and lowest for kidney with JWH-182 but with greater hepatic inflammation. Conclusion: Cannabinoids show potential in oncology by relieving CIPN and influencing tumor dynamics, with mostly neutral effects on cachexia. GMP-certified formulations enhance translational value, though safety concerns warrant further study.
Keywords: cannabinoid, Cancer, Pain, breast cancer, antitumor, Cachexia
Received: 24 Aug 2025; Accepted: 29 Oct 2025.
Copyright: © 2025 Creanga-Murariu, Ciorpac, Gogu, Vasilica Pricope, Bild, Ababei, Filipiuc, Szilagyi, Josan, Caruntu, Lozneanu, Timofte, Solcan, Scripcariu, Hegyi, Alexa-Stratulat and Tamba. This is an open-access article distributed under the terms of the Creative Commons Attribution License (CC BY). The use, distribution or reproduction in other forums is permitted, provided the original author(s) or licensor are credited and that the original publication in this journal is cited, in accordance with accepted academic practice. No use, distribution or reproduction is permitted which does not comply with these terms.
* Correspondence: Teodora Alexa-Stratulat, teodora.alexa-stratulat@umfiasi.ro
Disclaimer: All claims expressed in this article are solely those of the authors and do not necessarily represent those of their affiliated organizations, or those of the publisher, the editors and the reviewers. Any product that may be evaluated in this article or claim that may be made by its manufacturer is not guaranteed or endorsed by the publisher.
