SYSTEMATIC REVIEW article
Front. Pharmacol.
Sec. Drugs Outcomes Research and Policies
This article is part of the Research TopicPharmacist and patient safety: Focus on drug safetyView all 10 articles
Comparative efficacy and safety of second-line therapies for patients with advanced hepatocellular carcinoma: a systematic review and network meta-analysis of randomized controlled trials
Provisionally accepted- 1Department of pharmacy, Xinjiang Medical University Affiliated Traditional Chinese Medicine Hospital, Urumqi,Xinjiang, China
- 2Personalized Drug Research and Therapy Key Laboratory of Sichuan Province, Sichuan Provincial People’s Hospital, School of Medicine, University of Electronic Science and Technology of China, chengdu, China
Select one of your emails
You have multiple emails registered with Frontiers:
Notify me on publication
Please enter your email address:
If you already have an account, please login
You don't have a Frontiers account ? You can register here
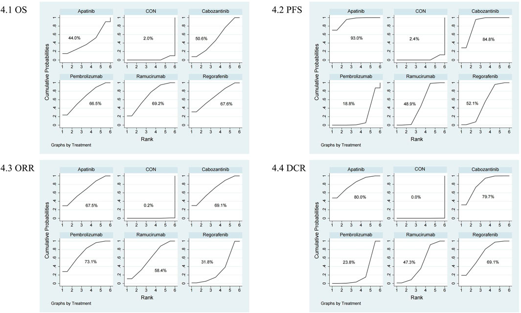
Background: The optimal second-line treatment for unresectable hepatocellular carcinoma (HCC) remains uncertain, given variability in efficacy and safety among available therapies. The comparative effectiveness and safety of second-line treatments for advanced HCC were methodically assessed in this network meta-analysis. Methods: A thorough search was conducted up until February 20, 2025, across the PubMed, Medline, Embase, Cochrane Central, and Web of Science databases to find randomized controlled trials (RCTs) evaluating second-line monotherapies (such as Ramucirumab, Regorafenib, Pembrolizumab, Cabozantinib, and Apatinib) in adults with advanced HCC. The main results comprised overall survival and progression-free survival; the supplementary results included objective response rate, disease control rate, and the occurrence of adverse events. A Bayesian random-effects network meta-analysis was employed for data synthesis, with interventions rated according to the SUCRA. Results: Eighteen RCTs involving 6910 patients were analyzed. Ramucirumab (SUCRA: 69.2%), Regorafenib (67.6%), and Pembrolizumab (66.5%) significantly improved OS compared to control (mean difference [MD]: 2.79 months, 2.80 months, and 2.75 months, respectively). Apatinib (SUCRA: 93.0%; MD: 3.08 months), Cabozantinib (84.8%; MD: 2.65 months), and Regorafenib (48.9%; MD: 1.60 months) provided the most significant PFS benefits. Pembrolizumab (OR: 5.71, 95% CI, 2.71–12.04), Cabozantinib (OR: 5.38, 95% CI, 1.81–16.00), and Apatinib (OR: 5.32, 95% CI, 1.69–16.74) achieved superior ORR, while Apatinib, Cabozantinib, and Regorafenib had the highest DCR (OR: 3.92, 3.67, and 3.31, respectively). Pembrolizumab and Ramucirumab exhibited relatively lower incidences of severe adverse events (grade ≥3 AEs). Conclusion: Pembrolizumab and Ramucirumab had the most favorable balance of efficacy and tolerability among second-line treatments for advanced HCC and are indicated as optimal therapy alternatives to enhance clinical outcomes.
Keywords: Second-line therapy, overall survival, adverse events, Network meta-analysis, Hepatocellular Carcinoma
Received: 03 Sep 2025; Accepted: 27 Oct 2025.
Copyright: © 2025 Kang, Du, Wang, Cai, Wu, Wang, Han, Yin, Yuan and Bai. This is an open-access article distributed under the terms of the Creative Commons Attribution License (CC BY). The use, distribution or reproduction in other forums is permitted, provided the original author(s) or licensor are credited and that the original publication in this journal is cited, in accordance with accepted academic practice. No use, distribution or reproduction is permitted which does not comply with these terms.
* Correspondence:
Bian Yuan, bianyuan567@126.com
Lan Bai, blci@163.com
Disclaimer: All claims expressed in this article are solely those of the authors and do not necessarily represent those of their affiliated organizations, or those of the publisher, the editors and the reviewers. Any product that may be evaluated in this article or claim that may be made by its manufacturer is not guaranteed or endorsed by the publisher.
