ORIGINAL RESEARCH article
Front. Pharmacol.
Sec. Experimental Pharmacology and Drug Discovery
This article is part of the Research TopicMulti-Target Drug Discovery: An Opportunity for Novel and Repurposed Bioactive CompoundsView all articles
Ferula ammoniacum gum aqueous extract employs anti-inflammatory and antioxidant mechanisms to combat aluminum chloride-induced Alzheimer's disease in rats: Possible involvement of opioid pathways
Provisionally accepted- 1Pharmaceutical Sciences Research Center, Kermanshah University of Medical Sciences, Kermanshah, Iran
- 2Student Research Committee, Kermanshah University of Medical Sciences, Kermanshah, Iran
- 3Neurobiology Research Center, Institute of Neuroscience and Cognition, Shahid Beheshti University of Medical Sciences, Tehran, Iran
- 4Research Center of Oils and Fats, Kermanshah University of Medical Sciences, Kermanshah, Iran
- 5Departamento de Ciencias del Ambiente, Facultad de Química y Biología, Universidad de Santiago de Chile, Santiago, Chile
Select one of your emails
You have multiple emails registered with Frontiers:
Notify me on publication
Please enter your email address:
If you already have an account, please login
You don't have a Frontiers account ? You can register here
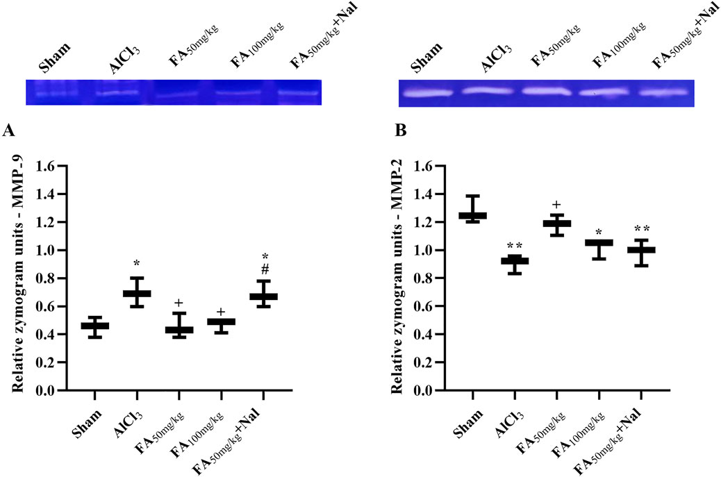
Background: Alzheimer's disease (AD), the most common form of dementia, significantly affects memory and behavior due to dysregulated pathways involving oxidative stress, inflammation, and opioidergic systems. Currently, no effective treatments are available, underscoring the need for novel alternatives. Ferula ammoniacum (D.Don) Spalik, M. Panahi, Piwczyński & Puchałka [Apiaceae] (FA), an Iranian medicinal plant, is known for its anti-seizure, anti-inflammatory, and analgesic properties, with its gum utilized as a nerve tonic. Purpose: This study investigates the anti-AD effects of Ferula ammoniacum gum aqueous extract (FAGAE) using an aluminum chloride (AlCl3)-induced Wistar rat model of AD. Materials and Methods: The aqueous extract, prepared by macerating powdered gum in distilled water for 48 hours at ambient temperature, was subjected to phytochemical analysis using ultraviolet, infrared, and nuclear magnetic resonance spectroscopy. Thirty rats were assigned to five different groups: one receiving saline, one receiving AlCl3 (100 mg/kg, i.p.), two receiving AlCl3 followed by oral treatment with FAGAE at doses of 50 or 100 mg/kg, and one receiving naloxone (an opioid receptor antagonist) along with AlCl3 and the effective dose of FAGAE. Behavioral changes were evaluated using the open field, passive avoidance, and elevated plus maze tests. Furthermore, biochemical analyses were conducted to measure serum nitrite levels, changes in weight, matrix metalloproteinase (MMP) activity, and histopathological changes in brain tissue. Results and discussion: The phytochemical analysis of FAGAE revealed the presence of polysaccharide compounds with tentative arabinogalactan structures. FAGAE decreased step-through latency in the passive avoidance test and modified AlCl3-induced weight changes. FAGAE also significantly increased mobility, grooming, and crossing in the open field test. Naloxone reversed the anti-AD effects of FAGAE, suggesting a possible role for opioidergic pathways in its therapeutic effects. Zymography results showed that FAGAE reduced MMP-9 activity while increasing MMP-2 activity. Histopathological analysis revealed a preserved number of intact neurons in the hippocampus, whereas reduced serum nitrite levels were observed after FAGAE administration in rats with AD. Conclusion: The behavioral, biochemical, and histopathological impairments induced by AlCl3 were significantly attenuated by FAGAE, possibly through the opioidergic pathway, which combats inflammation and oxidative stress and increases neuronal survival.
Keywords: Ferula ammoniacum gum, Aqueous extract, Neuroprotection, Alzheimer's disease, aluminum chloride, Oxidative Stress, Opioidergic pathway
Received: 19 Sep 2025; Accepted: 27 Nov 2025.
Copyright: © 2025 Fakhri, Gravandi, Majnooni, Farzaei, Abbaszadeh, Rashidi and Echeverria. This is an open-access article distributed under the terms of the Creative Commons Attribution License (CC BY). The use, distribution or reproduction in other forums is permitted, provided the original author(s) or licensor are credited and that the original publication in this journal is cited, in accordance with accepted academic practice. No use, distribution or reproduction is permitted which does not comply with these terms.
* Correspondence:
Sajad Fakhri
Javier Echeverria
Disclaimer: All claims expressed in this article are solely those of the authors and do not necessarily represent those of their affiliated organizations, or those of the publisher, the editors and the reviewers. Any product that may be evaluated in this article or claim that may be made by its manufacturer is not guaranteed or endorsed by the publisher.
