ORIGINAL RESEARCH article
Front. Pharmacol.
Sec. Drug Metabolism and Transport
Pharmacokinetics of mycophenolic acid in plasma and peripheral blood mononuclear cells and its relationship with activity of inosine-5′-monophosphate dehydrogenase in Chinese adult kidney allograft recipients
Provisionally accepted- 1Department of Pharmacy, Ruijin Hospital, School of Medicine, Shanghai Jiao Tong University, Shanghai, China
- 2Center for Organ Transplantation, Ruijin Hospital, Shanghai Jiao Tong University School of Medicine, Shanghai, China, Shanghai, China
Select one of your emails
You have multiple emails registered with Frontiers:
Notify me on publication
Please enter your email address:
If you already have an account, please login
You don't have a Frontiers account ? You can register here
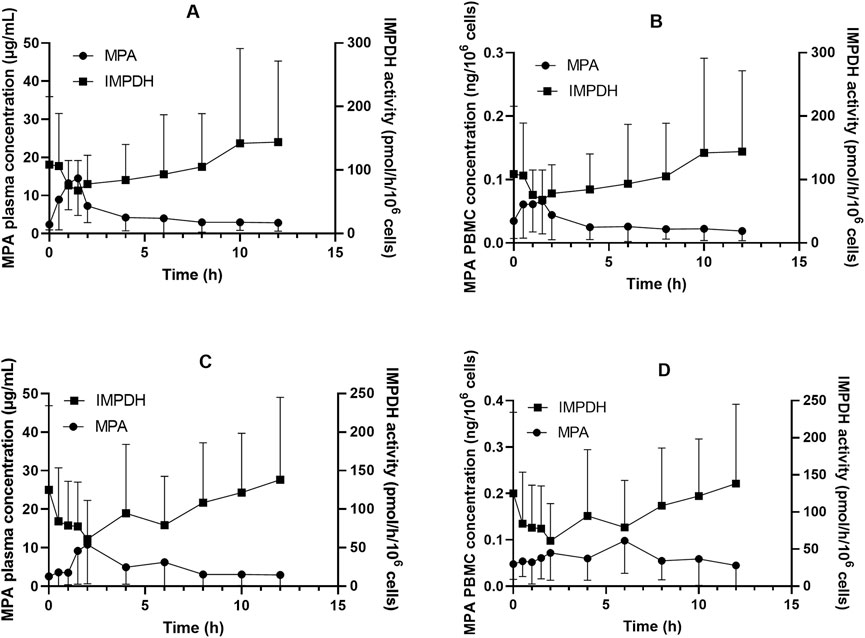
ABSTRACT AIMS: We aimed to study the pharmacokinetics (PK) of mycophenolic acid (MPA) in plasma and peripheral blood mononuclear cells (PBMCs) and the relationship of MPA in plasma and PBMC with activity of inosine-5′-monophosphate dehydrogenase (IMPDH) in Chinese kidney allograft recipients. METHODS: Plasma and PBMC samples were collected 0–12 h after administration of mycophenolate mofetil (MMF) or enteric-coated mycophenolate sodium (EC-MPS) two weeks after initiation of immunosuppressive therapy. MPA concentrations in plasma and PBMCs and IMPDH activity were determined using liquid chromatography–mass spectrometry. The PK and pharmacodynamic parameters was estimated. The relationship between plasma and PBMC MPA levels and IMPDH activity was determined using the inhibitory Emax model. RESULTS: Totally 24 patients receiving MMF and 19 patients receiving EC-MPS were included in the study. A significant positive correlation was observed between the C0 (r=0.535, P=0.007), Cmax (r=0.538, P=0.007), and AUC0-12h (r=0.472, P=0.02) of plasma and PBMC MPA in patients who received MMF. IMPDH activity exhibited a negative correlation with MPA plasma and PBMC concentrations. Significant relationship was observed between MPA exposure and IMPDH activity in PBMC (r=0.398, P=0.01). The IC50 of plasma and PBMC MPA on IMPDH activity were 2.76 g/mL and 0.023 ng/106 cells for MMF, 3.34 g/mL and 0.052 ng/106 cells for EC-MPS, respectively. CONCLUSION: Measurement of MPA concentration and IMPDH activity in PBMCs serves as a complementary method to routine clinical therapeutic drug monitoring,
Keywords: Mycophenolic Acid, pharmacokinetics, Pharmacodynamics, peripheral blood mononuclear cell, inosine monophosphate dehydrogenase
Received: 25 Sep 2025; Accepted: 27 Oct 2025.
Copyright: © 2025 Lu, Xiaoling, LU, Shao, An, Zhou, Shi and Chen. This is an open-access article distributed under the terms of the Creative Commons Attribution License (CC BY). The use, distribution or reproduction in other forums is permitted, provided the original author(s) or licensor are credited and that the original publication in this journal is cited, in accordance with accepted academic practice. No use, distribution or reproduction is permitted which does not comply with these terms.
* Correspondence: Bing Chen, chchenbing@163.com
Disclaimer: All claims expressed in this article are solely those of the authors and do not necessarily represent those of their affiliated organizations, or those of the publisher, the editors and the reviewers. Any product that may be evaluated in this article or claim that may be made by its manufacturer is not guaranteed or endorsed by the publisher.
