ORIGINAL RESEARCH article
Front. Pharmacol.
Sec. Pharmacoepidemiology
This article is part of the Research TopicInnovative Approaches in Pharmacovigilance: Enhancing Detection and Analysis of Adverse Drug Reactions in Clinical and Real-World SettingsView all articles
Comparative Safety Profile of Levofloxacin versus Moxifloxacin in First-Line Tuberculosis Therapy: A Pharmacovigilance Study of the FAERS Database
Provisionally accepted- 1Central Hospital of Shaoyang, Shaoyang, China
- 2The Second Affiliated Hospital of Wannan Medical College, Wuhu, China
Select one of your emails
You have multiple emails registered with Frontiers:
Notify me on publication
Please enter your email address:
If you already have an account, please login
You don't have a Frontiers account ? You can register here
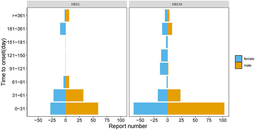
Objective: This study aimed to compare the safety profiles of two fluoroquinolone-containing regimens, HREL (isoniazid, rifampicin, ethambutol, levofloxacin) and HREM (isoniazid, rifampicin, ethambutol, moxifloxacin), in the treatment of drug-susceptible tuberculosis (DS-TB), focusing on adverse events (AEs) across age and gender subgroups. Methods: Data were extracted from the FDA Adverse Event Reporting System (FAERS) database (2004-2024). Disproportionality analyses were conducted to assess AE signals for HREL and HREM. Pharmacovigilance metrics, including reporting odds ratios (RORs), proportional reporting ratios (PRRs), Bayesian confidence propagation neural networks (BCPNN), and empirical Bayesian geometric means (EBGMs), were calculated. Subgroup analyses were stratified by age (≥60 vs. <60 years) and gender. Results: The analysis included 451 HREL-related and 338 HREM-related AEs. HREL was associated with a significantly higher risk of immune reconstitution inflammatory syndrome (IRIS-TB) and drug-induced liver injury, particularly in females and patients under 60 years of age. In contrast, HREM demonstrated a higher risk of drug reaction with eosinophilia and systemic symptoms (DRESS), peripheral neuropathy, and severe hepatobiliary events such as acute liver failure. Subgroup analyses revealed that these risk profiles were influenced by age and gender. Specifically, elderly patients (≥60 years) receiving HREM had a lower risk of IRIS-TB but a higher propensity for severe liver injury. Male patients treated with HREM showed an increased risk of neurological events, including thalamic infarction. Conclusion: HREM may be preferred for elderly patients (≥60 years) due to a lower risk of immune-related events like IRIS-TB, but requires careful liver monitoring. HREL could be an option for younger patients (<60 years), though vigilance for hepatotoxicity and IRIS-TB is needed, especially in females. For males on HREM, increased attention to neurological AEs is recommended.
Keywords: Safety, Fluoroquinolone, Tuberculosis, Adverse event, FAERS
Received: 25 Sep 2025; Accepted: 12 Nov 2025.
Copyright: © 2025 He, Liang and Wei. This is an open-access article distributed under the terms of the Creative Commons Attribution License (CC BY). The use, distribution or reproduction in other forums is permitted, provided the original author(s) or licensor are credited and that the original publication in this journal is cited, in accordance with accepted academic practice. No use, distribution or reproduction is permitted which does not comply with these terms.
* Correspondence: Sheng Wei, 15956566017@163.com
Disclaimer: All claims expressed in this article are solely those of the authors and do not necessarily represent those of their affiliated organizations, or those of the publisher, the editors and the reviewers. Any product that may be evaluated in this article or claim that may be made by its manufacturer is not guaranteed or endorsed by the publisher.
