ORIGINAL RESEARCH article
Front. Pharmacol.
Sec. Drug Metabolism and Transport
Airway Microbial and Metabolic Features Associated With ICS Therapy in COPD
Provisionally accepted- 1Dazhou Second People's Hospital, Dazhou, China
- 2Deyang People's Hospital, Deyang, China
Select one of your emails
You have multiple emails registered with Frontiers:
Notify me on publication
Please enter your email address:
If you already have an account, please login
You don't have a Frontiers account ? You can register here
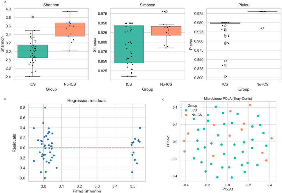
Background: Inhaled corticosteroids (ICS) are a cornerstone of therapy for selected phenotypes of chronic obstructive pulmonary disease (COPD), yet the underlying mechanisms remain incompletely understood. Increasing evidence suggests that airway microbiome and their metabolites play crucial roles in shaping host immune responses and disease progression. Objective: This study used multi-omics technology to explore the differences in sputum microbiome, metabolites and the systematic connections in patients with stable COPD who use or not ICS. Methods: We performed an integrated microbiome–metabolome analysis of induced sputum samples from 53 stable COPD patients (40 ICS users and 13 non-users). Microbial communities were profiled using 16S rRNA sequencing, while metabolic signatures were assessed via liquid chromatography–mass spectrometry. Correlation analyses were conducted to explore microbe–metabolite interactions. Results: The microbial alpha diversity (Simpson, Shannon, Pielou indices; P < 0.05) was significantly reduced in the ICS group, and the beta diversity was distincted between the two groups. The relative abundance of Firmicutes, Streptococcus was significantly reduced, and the relative abundance of Veillonella was significantly increased in the ICS group (P < 0.05). Metabolomic profiling identified 70 differential metabolites enriched in pathways including caffeine metabolism, cobalamin transport and metabolism, and cysteine/methionine metabolism. Notably, Streptococcus abundance was negatively correlated with methylxanthine intermediates (caffeine, theobromine, 1,7-dimethylxanthine, 1-methylxanthine), while Veillonella abundance showed positive correlations with these metabolites (P < 0.05). Conclusion: Our findings suggest that ICS therapy not only reshapes the airway microbial ecosystem but also alters host–microbe co-metabolic pathways, particularly caffeine metabolism. By reducing microbial degradation of methylxanthines, ICS may enhance the bioavailability of bronchodilatory compounds, providing a potential microbiome-mediated adjunctive mechanism of action. These insights advance our understanding of ICS pharmacology in COPD and highlight the therapeutic potential of targeting microbiome–metabolite interactions.
Keywords: COPD, inhaled corticosteroids, Airway microbiome, Metabolomics, Caffeine metabolism, Methylxanthines, host–microbe interactions
Received: 28 Sep 2025; Accepted: 20 Nov 2025.
Copyright: © 2025 Chen, Wang, Hu, Tang, Yu, Luo, Du and Yang. This is an open-access article distributed under the terms of the Creative Commons Attribution License (CC BY). The use, distribution or reproduction in other forums is permitted, provided the original author(s) or licensor are credited and that the original publication in this journal is cited, in accordance with accepted academic practice. No use, distribution or reproduction is permitted which does not comply with these terms.
* Correspondence: Mei Yang, mei_yang@stu.scu.edu.cn
Disclaimer: All claims expressed in this article are solely those of the authors and do not necessarily represent those of their affiliated organizations, or those of the publisher, the editors and the reviewers. Any product that may be evaluated in this article or claim that may be made by its manufacturer is not guaranteed or endorsed by the publisher.
