ORIGINAL RESEARCH article
Front. Pharmacol.
Sec. Respiratory Pharmacology
Efficacy and Safety of Tacrolimus in the Treatment of Interstitial Pneumonia with Autoimmune Features: A Retrospective Study
Provisionally accepted- 1The Affiliated Hospital of Southwest Medical University Department of Rheumatology and Immunology, Luzhou, China
- 2Nanchong Central Hospital Affiliated to North Sichuan Medical College Department of Rheumatology and Immunology, Nanchong, China
Select one of your emails
You have multiple emails registered with Frontiers:
Notify me on publication
Please enter your email address:
If you already have an account, please login
You don't have a Frontiers account ? You can register here
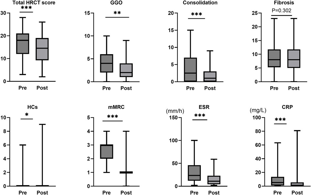
Objective: To evaluate the efficacy and safety of tacrolimus in interstitial pneumonia with autoimmune features (IPAF). Methods: 48 IPAF patients receiving tacrolimus were retrospectively analyzed. Changes in high-resolution computed tomography (HRCT) scores, modified Medical Research Council (mMRC) dyspnea grade, inflammatory markers, and methylprednisolone dosage were assessed. Results: Tacrolimus treatment led to significant reductions in total HRCT score (P < 0.001), consolidation (P < 0.001), ground-glass opacity (GGO, P = 0.002), mMRC grade (P < 0.001), erythrocyte sedimentation rate (P < 0.001), C-reactive protein (P < 0.001), and methylprednisolone dosage (P < 0.001). Improvements in total HRCT score correlated with reductions in consolidation (ρ = 0.487, P < 0.001), GGO (ρ = 0.442, P = 0.002). Baseline consolidation score independently predicted imaging improvement (B = –0.249, p = 0.005). Patients with myositis-specific antibodies This is a provisional file, not the final typeset article (MSAs, n=28) showed broader improvement across all parameters than those with myositis-associated antibodies (MAAs, n=15). Hypomagnesemia was the most common adverse event and was manageable. Conclusion: The results of this study demonstrate that tacrolimus significantly improves pulmonary inflammatory lesions, dyspnea symptoms, systemic inflammation levels, and facilitates steroid dose reduction in IPAF patients. Patients with baseline imaging features predominantly characterized by GGO and consolidation, or those positive for MSAs, may derive greater benefit from tacrolimus treatment. Further large-scale randomized controlled trials are warranted to validate its efficacy and safety.
Keywords: Interstitial Lung Disease, autoimmune disease, Tacrolimus, Interstitial pneumoniawith autoimmune features, Treatment
Received: 09 Oct 2025; Accepted: 05 Nov 2025.
Copyright: © 2025 Zhao, Huang, Cao, Luo, He, Yang and Xiong. This is an open-access article distributed under the terms of the Creative Commons Attribution License (CC BY). The use, distribution or reproduction in other forums is permitted, provided the original author(s) or licensor are credited and that the original publication in this journal is cited, in accordance with accepted academic practice. No use, distribution or reproduction is permitted which does not comply with these terms.
* Correspondence: Anji Xiong, xionganji@126.com
Disclaimer: All claims expressed in this article are solely those of the authors and do not necessarily represent those of their affiliated organizations, or those of the publisher, the editors and the reviewers. Any product that may be evaluated in this article or claim that may be made by its manufacturer is not guaranteed or endorsed by the publisher.
