Abstract
During the COVID-19 pandemic there have been marked changes in individuals' belief systems (e.g., support for lockdowns) as a result of the threat of COVID-19. In the current study, we investigated whether these belief systems change as a function of changes in the threat of COVID-19. Specifically, we conducted a longitudinal study, with authoritarianism measured at the height of the COVID-19 pandemic in New Zealand and when the threat of COVID-19 was low (i.e., no known COVID-19 cases in the community). A total of 888 participants responded at both timepoints, completing measures of political orientation and distrust of science, in addition to the measure of authoritarianism. We had two hypotheses. First, that liberals would display a more marked reduction in authoritarian submission between Alert Level 4 and Alert Level 1 relative to conservatives. Second, that changes would be mediated by trust in science. Both hypotheses were supported, demonstrating that authoritarianism is sensitive to threat, even for those on the political left, and that trust in science helps to explain these changes. We suggest that fluctuations in authoritarianism may be different across the political spectrum due to underlying belief systems such as a distrust of science.
Introduction
Prior to the COVID-19 pandemic, the relationship between political beliefs (conservative to liberal) and authoritarianism was relatively straightforward. Specifically, measures of political conservatism positively correlated with support for maintaining traditional values (i.e., conventionalism), obeying authorities (i.e., submission), and favoring coercive social control (i.e., aggression) (Duckitt et al., 2010). When explaining these relationships, researchers have demonstrated that genetic, dispositional, and environmental factors all have a role to play (Duckitt, 2022). Importantly, the research on dispositional and environmental factors has demonstrated that the three clusters noted above are attitudinal and may fluctuate in response to societal threat, rather than being fixed personality traits as was traditionally believed (Adorno 1950, Altemeyer, 1998). Relevant to the COVID-19 pandemic, a prominent dispositional factor is that conservatives see the world as a more dangerous place than liberals and are more sensitive to potential threats (Sibley et al., 2007). Based on these findings, one might expect conservatives to be both more sensitive to the threat posed by the COVID-19 pandemic and, reflecting their authoritarian beliefs, more supportive of the unprecedented public-health restrictions governments around the world have implemented. The data, however, present a more complex picture.
A growing body of research demonstrates that conservatism is negatively related to fear of COVID-19 (Conway et al., 2020; Winter et al., 2020) and the willingness to abide by public-health restrictions (e.g., social distancing) (Allcott et al., 2020; Clements, 2020; Conway et al., 2020; Raihani and de-Wit, 2020; Winter et al., 2020; Pennycook et al., 2021). For example, Allcott et al. (2020) used GPS data to demonstrate that geographical areas within the U.S. that are populated with more Republicans engaged in less social distancing. At the same time, multiple studies have reported a positive association between measures of authoritarianism and support for pandemic-mitigating restrictions (Wnuk et al., 2020; Pazhoohi and Kingstone, 2021; Passini, 2022; Zhai et al., 2022). For example, Wnuk et al. (2020) reported a positive relationship between authoritarianism and support for the use of surveillance technologies to counteract the pandemic. One potential explanation for these conflicting findings is that due to the real threat that the COVID-19 pandemic poses, individuals across the political spectrum may now view the world as a similarly dangerous place. Consequently, authoritarian beliefs and attitudes may no longer be limited to right-wing individuals.
Empirical attempts to demonstrate authoritarianism on the political left have stopped, started, and stalled (Costello et al., 2022). During the time when research investigating right-wing authoritarianism (RWA) was flourishing (late twentieth century), left-wing authoritarianism (LWA) was being referred to as a “myth” (Stone, 1980), “scarce as hens' teeth” (Altemeyer, 1998), and the “Loch Ness monster” (Altemeyer, 1996). Recent work, however, suggests Nessie may be more than political psychology folklore (Van Hiel et al., 2006; Conway et al., 2018; Manson, 2020; Winter et al., 2021; Costello et al., 2022). For example, Conway et al. (2018) has demonstrated that some liberal political views correlate positively with survey items tapping the RWA dimensions of conventionalism, submission, and aggression. In order to obtain this finding, however, Conway et al. (2018) purposefully confounded items tapping conventionalism, submission, and aggression with political beliefs (e.g., “Progressive ways and liberal values show the best way of life”).
Rather than constructing an LWA scale that exactly mirrors the dimensional structure of RWA, Costello et al. (2022) used a data-driven approach, starting with a large number of items and using exploratory test construction to derive the LWA dimensions. This analysis revealed a unique tripartite structure, consisting of anti-hierarchical aggression (e.g., “The rich should be stripped of their belongings and status”), top-down censorship (e.g., “University authorities are right to ban hateful speech from campus”), and anticonventionalism (e.g., “People who are truly worried about terrorism should shift their focus to the nutjobs on the far-right”). While not mirror images of each other, Costello et al. (2022) note that LWA and RWA may share a submission dimension, stating “…despite their manifest ideological differences, top-down censorship and RWA may similarly reflect authoritarian submission” (p. 162). This view is consistent with earlier work suggesting that authoritarian submission is shared by the political right and left (Van Hiel et al., 2006).
While a number of published studies have reported an association between authoritarianism and support for pandemic-mitigating restrictions, few have investigated (1) whether these associations are specific to the submission dimension or (2) how this relationship looks for those individuals on the political right and political left (Manson, 2020; Pazhoohi and Kingstone, 2021; Winter et al., 2021). To address these questions, Winter et al. (2021) collected data on political beliefs and authoritarianism during the early stages of the COVID-19 pandemic in New Zealand. New Zealand's efforts to eliminate the novel coronavirus have been heralded by media outlets around the world, but also involved unprecedented restrictions (In awe of NZ, 2020). Multiple opinion polls reported that 80–90% of the public approved of the current Labor (i.e., left-of-center) government and their pandemic-mitigating restrictions (Cooke and Malpass, 2020; Coughlan, 2020). Consistent with these reports, Winter et al. (2021) reported a positive association between support for the Labor Government and authoritarian submission (as measured by an RWA scale), a finding inconsistent with conventional views of authoritarianism.
The primary aim of the current study was to determine whether the relationship between political beliefs and authoritarianism changed as the threat of COVID-19 reduced over time. Although a transitory increase in support for authoritarian submission may be justifiable when the threat of COVID-19 is high, we expected to see a diminishment of authoritarian submission among left-leaning citizens once the threat abated. To answer this question, data were collected during Alert Level 4 (AL4) in April 2020 and Alert Level 1 (AL1) in October 2020. AL4 was the highest alert level implemented in New Zealand, involving the most marked restrictions, and reflecting the highest risk of COVID-19, i.e., there was active and uncontrolled spread of COVID-19 in the community. AL1 was the lowest alert level implemented, involving few restrictions and defined as a period of low risk with no known community spread of COVID-19 in the country. We hypothesized that liberals would display a more marked reduction in authoritarian submission between AL4 and AL1 (relative to conservatives; Hypothesis 1).
To further understand any observed changes, we drew from an interesting point of difference between left- and right-wing authoritarians identified by Costello et al. (2022). Their findings suggested that right-wing authoritarianism was negatively associated with a trust in science whereas left-wing authoritarianism showed no relationship with a trust in science. A wealth of related research has demonstrated a positive association between authoritarianism and the rejection of both science and scientists (Kerr and Wilson, 2021). In the context of COVID-19, research has also demonstrated that the relationship between political beliefs and compliance with public health measures is influenced by trust in science (Koetke et al., 2021; Plohl and Musil, 2021). For example, Koetke et al. (2021) demonstrated that trust in science moderated the relationship between conservatism and intentions to social distance. In the present study we investigated whether trust in science mediated changes in authoritarian submission due to political beliefs (Hypothesis 2).
Method
Participants
As noted above, data were collected during AL4 (April 2020) and from the same individuals at AL1 (October 2020) in New Zealand. Participants were recruited from the community via mainstream media outlets and social media platforms. For example, in April of 2020 an opinion piece was published on one of New Zealand's main media outlets (i.e., stuff.co.nz) and called for volunteers, with a survey link included at the bottom of the story (Kenny, 2020). With respect to social media, recruitment was largely driven by having media outlets post the opinion piece to their Facebook pages. During AL4 there were hundreds of cases, whereas during AL1 there were no active COVID-19 cases in the community and no restrictions on movement. All participants read an information sheet before providing informed consent. The current study was reviewed and approved by the University of Otago Human Ethics Committee.
Upon preliminary analysis of the data, we noticed the political belief questions in the follow-up survey had a higher level of missingness relative to other questions (28 vs ≤ 2% for distrust of science questions in the follow-up survey). Further investigation suggested the missingness may have been due to survey layout, in which the Likert scale was less visually obvious relative to proceeding questions. Where political beliefs data were missing in the follow-up but provided in the initial survey, we used their score from the initial survey (affecting 141 responses and reducing missingness to 17%).
After imputing political beliefs missing scores, we were left with 888 participants who completed all questions used in the present analyses across both time points. The average age was 49.7 years old (standard deviation (SD) = 15.7) and 57.9% identified as female (Table 1).
Table 1
| AL1 | AL4 | Complete | |
|---|---|---|---|
| Age (SD) | 49.6 (16.0) | 48.6 (15.8) | 49.7 (15.7) |
| Female | 55.2% | 55.5% | 57.9% |
| Māori | 4.7% | 6.1% | 5.0% |
| Chinese | 0.4% | 0.4% | 0.5% |
| NZ European | 73.1% | 82.4% | 83.1% |
| Other | 21.8% | 11.1% | 11.5% |
| Count | 1,236 | 2,268 | 888 |
Demographics for individuals who completed a survey at AL4 (stringent restrictions), AL1 (no restrictions), and individuals who completed both surveys and all questions used in the present analyses (i.e., Complete).
Measures
Authoritarianism
Authoritarianism was measured using the 36-item ACT scale (Duckitt et al., 2010). The scale consists of three 12-item subscales, namely aggression (e.g., “What our country really needs is a tough, harsh dose of law and order”; αAL4 = 0.89), submission (e.g., “The authorities should be obeyed because they are in the best position to know what is good for our country”; αAL4 = 0.86), and conventionalism (e.g., “The “old-fashioned ways” and “old-fashioned values” still show the best way to live”; αAL4 = 0.86). Participants responded to each item on a 1 (strongly disagree) to 7 (strongly agree) scale. Notably, the naming of subscales we have used here is consistent with Altemeyer (1996) rather than Duckitt et al. (2010). This decision was made to avoid confusion as the submission subscale is otherwise called “conservativism” which can be confusing when jointly discussing political beliefs.
Distrust of Science
Distrust of science was measured using Hartman et al.'s (2017) 6-item Credibility of Science Scale (e.g., “I am concerned by the amount of influence that scientists have in society”; αAL4 = 0.90). Participants responded to each item on a 1 (strongly disagree) to 7 (strongly agree) scale.
Political Beliefs
Political beliefs was measured using Jost et al.'s (2003) single-item scale (i.e., “Please rate how politically liberal vs. conservative you see yourself as being”). Participants responded on a 1 (extremely liberal) to 7 (extremely conservative) scale.
Analytical Approach
The three ACT scale factors were estimated using confirmatory factor analysis (CFA) in lavaan (Rosseel, 2012), written in the R programming language (R Core Team, 2016). Given the large number of questions, we created four item parcels for each ACT dimension. Each item parcel consisted of the average of three items measuring the same dimension (Little et al., 2002). Parceling minimizes the amount of extraneous correlated error in the model which would otherwise adversely impact on model fit (De Bruin, 2004). In the case of the present ACT scale, it also controls for method factors introduced by clustering of negatively and positively worded questions (Nilsson and Jost, 2020). Hence, parceling is common in the current scale when not relying on parcels for model validation, but merely the construction of latent measures (Jugert and Duckitt, 2009; Duckitt et al., 2010). The distrust of science measure was also evaluated using CFA, namely CFI and RMSEA were used to determine sufficient fit. Values of each latent variable was estimated for each participant to be used in subsequent analyses.
We addressed H1 with a Bayesian multivariate regression (Cnaan et al., 1997). Each ACT factor was treated as an outcome, and a main effect of alert level was used to determine differences between time-points. An interaction between alert level and political beliefs thus tested whether individuals who reported more liberal political beliefs manifested a bigger change in ACT factors than conservatives between alert levels. Age and sex were included as covariates and random intercepts by participant allowed us to account for multiple survey responses (i.e., AL4 and AL1 surveys for each participant). A similar model was also run with an alert level by distrust of science interaction to determine if one's distrust of science moderated the amount of change in ACT subscales between alert levels (see Equations 1, 2 below). We used the Leave-One-Out Cross-Validation (LOO-CV) approach to determine if one model afforded a better fit than the other. A model was considered a better fit if it yielded a higher Expected Log Predictive Density (Vehtari et al., 2017). Lastly, in both models, all variables were scaled, and a weakly informative normal Bayesian prior was used to increase sampler efficiency with a mean of 0 and a standard deviation of 1.
Multivariate regression models were compared for model fit. In each model we predicted three dependent variables (each ACT subscale in turn) and their residual correlations with random intercepts by participant.
Equations 1, 2
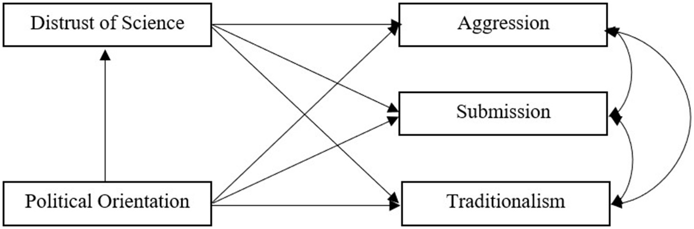
To test H2, a multivariate mediation analysis was conducted using lavaan (Figure 1). Each ACT factor formed an outcome, with political beliefs as a predictor, and distrust of science as a mediating variable, all at AL4. We also included age and sex as covariates. We then included each ACT factor at AL1 such that our mediating effect essentially models the change in each factor between alert levels. Mediation effects were calculated using the product of coefficients and sampling error was estimated using bootstrapping.
Figure 1

Multivariate mediation model testing the effect of distrust of science as a mediator between political beliefs and each of the three ACT subscales.
Results
Both the ACT subscales and distrust of science scale demonstrated adequate model fit with CFIs over 0.9 and RMSEAs <0.1 (Supplementary Table 1). The political beliefs item yielded a representative distribution across the political spectrum (Mean = 4.6, SD = 1.3, Range: 1 to 7). Correlation matrices showed that all variables of interest correlated with each other but notably, submission did not correlated with a distrust of science at AL4 but did at AL1 (Table 2).
Table 2
| Alert level | Variable | 1 | 2 | 3 | 4 | 5 |
|---|---|---|---|---|---|---|
| Alert level 4 | Political beliefs (1) | |||||
| Distrust of science (2) | −0.43** | |||||
| Submission (3) | −0.21** | −0.02 | ||||
| Conventionalism (4) | −0.59** | 0.44** | 0.45** | |||
| Aggression (5) | −0.55** | 0.36** | 0.54** | 0.62** | ||
| RWA (6) | −0.56** | 0.34** | 0.74** | 0.82** | 0.92** | |
| Alert level 1 | Political beliefs (1) | |||||
| Distrust of science (2) | −0.37** | |||||
| Submission (3) | −0.26** | 0.09** | ||||
| Conventionalism (4) | −0.54** | 0.46** | 0.54** | |||
| Aggression (5) | −0.50** | 0.43** | 0.58** | 0.67** | ||
| RWA (6) | −0.54** | 0.42** | 0.77** | 0.85** | 0.93** |
Correlation matrices for each alert level for all 888 respondents.
p < 0.01.
We computed two different models based on Equations 1 and 2 and compared fit using the LOO-CV method. In Model 1, the focus was to test whether the association between ACT subscales and political beliefs changed between alert levels. In Model 2, we tested the effect of a distrust of science on ACT subscales between alert levels. Results demonstrated that both models yielded similar fits (ELPD difference = 0.9, SD = 11.8). This particular result is thought to have been obtained because variance explained by distrust of science significantly overlaps with the variance explained by political beliefs, which we subsequently tested with mediation analyses.
Political Beliefs and ACT Subscales at AL4 and AL1
All three authoritarian factors yielded higher levels when threat was highest (AL4) relative to when threat was lowest [AL1; Posterior Probabilities (pp) > 0.97; Table 3]. We then supported H1 by building on the main effect across alert levels by showing that submission scores changed more across alert levels for liberal individuals than for conservative individuals (pp > 0.99; Table 3). Marginal effects (plots of effects while holding all other covariates at their average values) provided further clarity on the change across alert levels (Figure 2). Specifically, liberal participants showed a larger decrease in submission at AL1 relative to AL4. Although it was not hypothesized, liberals also reported higher levels and conservatives' lower levels of conventionalism at AL4 relative to AL1 (pp = 0.99). Lastly, both liberals and conservatives showed no change in levels of aggression between alert levels (pp = 0.73).
Table 3
| 95% credible interval | |||||
|---|---|---|---|---|---|
| ACT subscale | Effect | Estimate | Lower | Upper | PP |
| Aggression | Intercept | 0.10 | 0.03 | 0.18 | 1.00 |
| Age | −0.07 | −0.13 | −0.02 | 1.00 | |
| Distrust of science | 0.18 | 0.13 | 0.23 | 1.00 | |
| Sex (Male) | 0.16 | 0.06 | 0.27 | 1.00 | |
| Political beliefs | −0.34 | −0.39 | −0.29 | 1.00 | |
| Political beliefs * Alert level (AL4) | 0.01 | −0.03 | 0.06 | 0.73 | |
| Alert level (AL4) | 0.05 | 0.01 | 0.09 | 0.99 | |
| Distrust of science * Alert level (AL4) | −0.07 | −0.11 | −0.03 | 1.00 | |
| Submission | Intercept | −0.09 | −0.16 | −0.02 | 1.00 |
| Age | −0.04 | −0.10 | 0.02 | 0.90 | |
| Distrust of science | 0.01 | −0.04 | 0.07 | 0.64 | |
| Sex (male) | −0.37 | −0.49 | −0.25 | 1.00 | |
| Political beliefs | −0.32 | −0.38 | −0.26 | 1.00 | |
| Political beliefs * Alert level (AL4) | 0.06 | 0.01 | 0.11 | 0.99 | |
| Alert level (AL4) | 0.11 | 0.07 | 0.16 | 1.00 | |
| Distrust of science * Alert level (AL4) | −0.08 | −0.13 | −0.02 | 1.00 | |
| Conventionalism | Intercept | −0.02 | −0.08 | 0.05 | 0.67 |
| Age | 0.11 | 0.06 | 0.16 | 1.00 | |
| Distrust of science | 0.20 | 0.15 | 0.24 | 1.00 | |
| Sex (male) | 0.00 | −0.11 | 0.10 | 0.52 | |
| Political beliefs | −0.38 | −0.43 | −0.33 | 1.00 | |
| Political beliefs * Alert level (AL4) | 0.05 | 0.01 | 0.10 | 0.99 | |
| Alert level (AL4) | 0.04 | 0.00 | 0.08 | 0.97 | |
| Distrust of science * Alert level (AL4) | −0.05 | −0.09 | 0.00 | 0.98 | |
Resulting coefficients of multivariate regression analysis with credible interval (band in which the true effect is 95% probable) and the posterior probability (PP, the probability of an effect differing from zero in the same direction as the coefficient).
Figure 2

Marginal effects of political beliefs by alert level for each ACT subscale. Shaded area represents the 95% credible interval.
Distrust of Science and ACT Subscales Across Alert Levels
Multivariate Bayesian regression predicted the effects of political beliefs and distrust of science across alert levels for each ACT factor. Submission yielded a very small coefficient relative to aggression and conventionalism, meaning if averaging levels of submission across alert levels, the effect of a distrust of science was closer to zero (p > 0.99). Marginal effects then demonstrated that individuals with a high trust in science (i.e., low distrust) yielded markedly higher submission at AL4 relative to their AL1 levels (Figure 3). To a lesser extent, individuals with a high trust in science tended to report low levels of aggression and conventionalism at AL4 and these levels dropped slightly 6 months later at AL1 (pp > 0.95; Table 2).
Figure 3

Marginal effect of distrust of science by alert level for each ACT subscale. Shaded area represents the 95% credible interval.
Distrust of Science as a Mediator Between Political Beliefs and ACT Subscales
A multivariate mediation model controlling for AL1 levels of each ACT subscale allowed us to determine how much of the change between alert levels could be explained by an overlap in explanatory power between political beliefs and distrust of science (our decision to residualise AL1 levels from AL4 levels is to reflect the change in perceived threat rather than a temporal change). Submission was the only ACT subscale to yield a significant mediating effect. Individuals with higher levels of liberalism had a lower level of submission. However, liberals were also more likely to report a high trust in science. Higher trust in science was associated with an increase in submission during AL4 which contributed to the observation of liberals reporting higher submission than usual. This type of effect is referred to as suppression, because the typical association between liberal political beliefs and lower levels of submission was suppressed, being replaced by an increase in submission observed in liberals. Specifically, the effect of political beliefs on the difference between AL4 submission and AL1 submission was suppressed by 90%, z = 3.49, p = 0.001 (Table 4). Despite the presence of significant direct effects of political beliefs on aggression and conventionalism, no part of these two effects could be explained by people's distrust of science (p[aggression] = 0.452, p[conventionalism] = 0.475). This directly supported hypothesis two.
Table 4
| Outcome | Effect | Estimate | se | t | p-value |
|---|---|---|---|---|---|
| Aggression | Indirect | 0.00 | 0.01 | 0.75 | 0.452 |
| Direct | −0.11 | 0.02 | −5.91 | 0.000 | |
| Total | −0.11 | 0.02 | |||
| Proportion mediated | −0.04 | 0.06 | |||
| Submission | Indirect | 0.03 | 0.01 | 3.49 | 0.000 |
| Direct | −0.06 | 0.02 | −2.74 | 0.006 | |
| Total | −0.03 | 0.02 | |||
| Proportion mediated | −0.90 | 0.64 | |||
| Conventionalism | Indirect | 0.00 | 0.01 | −0.71 | 0.475 |
| Direct | −0.08 | 0.02 | −4.12 | 0.000 | |
| Total | −0.08 | 0.02 | |||
| Proportion mediated | 0.08 | 0.71 |
Summary of multivariate mediation analyses for a distrust of science as a mediator between political beliefs and each ACT subscale.
Discussion
The aim of the current study was to investigate whether the relationship between political beliefs and authoritarianism changed as the threat of COVID-19 diminished over time. First, we hypothesized that liberals would display a more marked reduction in authoritarian submission between AL4 (high threat from COVID-19) and AL1 (low threat from COVID-19). Second, we hypothesized that distrust of science would mediate this relationship between political beliefs and changes in authoritarian submission. Both hypotheses were supported. Submission scores decreased more across alert levels for liberal individuals than for conservative individuals. Further, a comparison of model fits and an interaction of distrust of science by alert level demonstrated that the reduction in authoritarian submission scores by liberals between AL4 and AL1 was largely explained by their lower distrust of science (i.e., greater trust in science).
Our findings are consistent with previous research, while also extending it in important ways. First, media outlets such as The New York Times (Gebrekidan, 2020), The Washington Post (Funk and Linzer, 2020), and The Guardian (Bell, 2021; Šeško, 2021; Beaumont, 2022), were early to raise concerns that the COVID-19 pandemic could lead both governments and the general public to become more authoritarian. While the current study and several previous studies suggest these concerns are not unfounded (Fischer et al., 2020; Manson, 2020; Winter et al., 2021), the current study provides an important caveat, that increases in authoritarianism in the general public should continue to dissipate as the threat of COVID-19 continues to reduce. One issue the current study does not address, however, is whether governments will relinquish their unprecedented power and authority over their citizenries.
The authoritarian submission scale we employed in the current study does not explicitly confound submission with political beliefs (Duckitt et al., 2010). This scale can be contrasted with the scale constructed by Conway et al. (2018), where items made specific reference to “…a mighty and liberal leader”, and Costello et al. (2022), where items made reference to “….allowing the government to shut down right-wing internet sites and blogs”. Thus, one could argue that the scale provides a somewhat more politically neutral measure of submission. Of course, even in the absence of explicit confounding, it is important to highlight the fact that Duckitt et al. (2010) developed the scale to measure conservatism (i.e., submission on the political right). Moreover, even though we observed changes for those on the political left, the absolute measure of submission was still higher on the political right than the political left.
Relatedly, a downside of the submission scale is that it does not specify the authorities participants are thinking of when supporting items such as “The authorities should be obeyed because they are in the best position to know what is good for our country” (Duckitt et al., 2010). Although we note a benefit of this approach above, one downside is that those on the political left and right may interpret the items in different ways/think of different authorities. With respect to those on the political left, the mediating role played by trust in science may reflect that scientists are one of the authority figures that come to mind when answering this question. From the start of the pandemic in New Zealand, scientists have not only guided the approach taken by the New Zealand Government, but have also had an extremely strong media presence, providing commentary on all aspects of the pandemic.
Our findings support the approach outlined by Duckitt et al. (2010), whereby authoritarianism is identified as multidimensional attitudes rather than a single personality dimension as was originally believed (Adorno et al., 1950). Indeed, the changes in submission occurred largely in the absence of any changes in conventionalism and aggression. This finding not only supports the multidimensional approach, but also supports that the motivation to seek collective security has a specific impact on submission. One could infer that there was a higher perceived societal threat due to uncertainty, active cases of COVID-19, and stringent lockdown laws. Thus, threat motivated individuals at both ends of the political spectrum to adopt more submissive beliefs to maintain collective security and once the threat abated, so too did the level of indorsement of submissive beliefs for liberal individuals.
Strengths, Limitations, and Future Directions
The current study has a number of strengths, including its longitudinal design and inclusion of multiple dimensions of authoritarianism. It is, however, not without limitations. First, while we have inferred that scientists are likely part of the “authority” participants were deferring to, it is likely that their conception of an “authority” also included political leaders. Indeed, while scientists in New Zealand have featured prominently in media coverage of COVID-19, the current Labor government were front and centre, running daily press conferences providing updates on COVID-19 infection rates and the public health response moving forward. This observation leads to a second limitation, in that the country has been run by a liberal government throughout the pandemic. It is not clear how liberal individuals would have responded if the unprecedented public health restrictions were being implemented by a conservative government. We would anticipate that future research investigating the types of leaders' individuals do and are willing to submit to in this context would be highly informative. Finally, an additional limitation is that we did not include any measures of prejudice. Historically, authoritarianism has been associated with prejudice toward minority groups. Thus, although we have demonstrated changes in authoritarianism among liberals, it is not clear whether these changes are associated with some of the negative outcomes that authoritarianism is typically associated with.
Conclusion
The current study demonstrates that, while the COVID-19 pandemic has led to increases in authoritarianism, these increases may be restricted to certain groups of people during certain periods of time when the threat COVID-19 poses is high. With the general acceptance around the world that COVID-19 and its variants will become endemic, it will be important to determine whether authoritarianism among liberal individuals continues to dissipate.
Funding
This study was funded by a University Research Fund (URF) grant awarded by Victoria University of Wellington.
Publisher's Note
All claims expressed in this article are solely those of the authors and do not necessarily represent those of their affiliated organizations, or those of the publisher, the editors and the reviewers. Any product that may be evaluated in this article, or claim that may be made by its manufacturer, is not guaranteed or endorsed by the publisher.
Statements
Data availability statement
The raw data supporting the conclusions of this article will be made available by the authors, without undue reservation.
Ethics statement
The studies involving human participants were reviewed and approved by University of Otago Ethics Committee. The patients/participants provided their written informed consent to participate in this study.
Author contributions
PJ funded collection, aided in theory development, and manuscript preparation. DS and BB aided in theory development, manuscript preparation, and revision. BR contributed to manuscript preparation, revision, and interpretation of data. JD and JH contributed to manuscript revision and interpretation of data. TW conducted the analyses, prepared the manuscript, and developed theory.
Conflict of interest
The authors declare that the research was conducted in the absence of any commercial or financial relationships that could be construed as a potential conflict of interest.
Supplementary material
The Supplementary Material for this article can be found online at: https://www.frontiersin.org/articles/10.3389/fpos.2022.886732/full#supplementary-material
References
1
Adorno T. Frenkel-Brunswik E. Sanford R. N. (1950). The Authoritarian Personality. Harper.
2
Allcott H. Boxell L. Conway J. Gentzkow M. Thaler M. Yang D. (2020). Polarization and public health: partisan differences in social distancing during the coronavirus pandemic. J. Public Econ.191, 104254. 10.1016/j.jpubeco.2020.104254
3
Altemeyer B . (1996). The Authoritarian Specter. London: Harvard University Press.
4
Altemeyer B . (1998). “The other “authoritarian personality”,” in Advances in Experimental Social Psychology, eds M. P. Zanna (London: Academic Press), p. 47–91. 10.1016/S0065-2601(08)60382-2
5
Beaumont P . (2022). Governments Around the World Used Covid to Erode Human Rights – report. The Guardian. Available online at: https://www.theguardian.com/global-development/2022/jan/25/governments-around-the-world-used-covid-to-erode-human-rights-report
6
Bell T . (2021). Covid-19 Lockdowns May be Making us More Authoritarian. The Guardian.
7
Clements J. M . (2020). Knowledge and behaviors toward COVID-19 among us residents during the early days of the pandemic: cross-sectional online questionnaire. JMIR Public Health Surveill.6, e19161. 10.2196/19161
8
Cnaan A. Laird N. M. Slasor P. (1997). Using the general linear mixed model to analyse unbalanced repeated measures and longitudinal data. Statistics Med.16, 2349–2380.
9
Conway L. G. Houck S. C. Gornick L. J. Repke M. A. (2018). Finding the Loch Ness Monster: Left-Wing Authoritarianism in the United States. Politic. Psychol. 39, 1049–1067. 10.1111/pops.12470
10
Conway L. G. Woodard S. R. Zubrod A. Chan L. (2020). Why are conservatives less concerned about the coronavirus (COVID-19) than liberals? Testing experiential versus political explanations. PsyArXiv. 10.31234/osf.io/fgb84
11
Cooke H. Malpass L. (2020). Poll shows Kiwis back harsh measures but are extremely worried about virus. stuff.co.nz. Available online at:https://www.stuff.co.nz/national/health/coronavirus/120534052/coronavirus-poll-shows-kiwis-back-harsh-measures-but-are-extremely-worried-about-virus (accessed February 28, 2022).
12
Costello T. H. Bowes S. M. Stevens S. T. Waldman I. D. Tasimi A. Lilienfeld S. O. (2022). Clarifying the structure and nature of left-wing authoritarianism. J. Personal. Soc. Psychol.122, 135–170. 10.1037/pspp0000341
13
Coughlan T . (2020). The Government's Covid-19 lockdown measures have overwhelming public support, according to a poll. stuff.co.nz. Available online at: https://www.stuff.co.nz/national/121231591/coronavirus-the-governments-covid19-lockdown-measures-have-overwhelming-public-support-according-to-a-poll (accessed February 28, 2022).
14
De Bruin G. P . (2004). Problems with the factor analysis of items: Solutions based on item response theory and item parcelling [Factor analysis of items; Response theory; Item parcelling]. SA J. Industr. Psychol.30, 16–26. 10.4102/sajip.v30i4.172
15
Duckitt J . (2022). “Authoritarianism: Conceptualization, research, and new developments,” in The Cambridge Handbook of Political Psychology, eds C. G. Sibley and D. Osborne (Cambridge: Cambridge University Press), pp. 177–197.
16
Duckitt J. Bizumic B. Krauss S. W. Heled E. (2010). A tripartite approach to right-wing authoritarianism: the authoritarianism-conservatism-traditionalism model. Politic. Psychol.31, 685–715. 10.1111/j.1467-9221.2010.00781.x
17
Fischer K. Chaudhuri A. Atkinson Q. (2020). Responses to the COVID-19 pandemic reflect the dual evolutionary foundations of political ideology. PsyArXiv. 10.31234/osf.io/qeap8
18
Funk A. Linzer I. (2020). How the Coronavirus Could Trigger a Backslide on Freedom Around the World. Washington, DC: The Washington Post.
19
Gebrekidan S . (2020). For Autocrats, and Others, Coronavirus Is a Chance to Grab Even More Power. New York, NY: The New York Times.
20
Hartman R. O. Dieckmann N. F. Sprenger A. M. Stastny B. J. DeMarree K. G. (2017). Modeling attitudes toward science: development and validation of the credibility of science scale. Basic Appl. Soc. Psychol.39, 358–371. 10.1080/01973533.2017.1372284
21
In awe of NZ How world media reacted to New Zealand eliminating Covid-19. (2020). New Zealand Herald. Available online at: https://www.nzherald.co.nz/nz/news/article.cfm?c_id=1&objectid=12338194 (accessed February 28, 2022).
22
Jost J. T. Glaser J. Kruglanski A. W. Sulloway F. J. (2003). Political conservatism as motivated social cognition. Psychol. Bull.129, 339–375. 10.1037/0033-2909.129.3.339
23
Jugert P. Duckitt J. (2009). A motivational model of authoritarianism: integrating personal and situational determinants. Politic. Psychol.30, 693–719. 10.1111/j.1467-9221.2009.00722.x
24
Kenny L . (2020). Has the Lockdown Changed You? Volunteers Needed for Psych Analysis. stuff.co.nz. Available online at: https://www.stuff.co.nz/national/education/121191621/coronavirus-has-the-lockdown-changed-you-volunteers-needed-for-psych-analysis (accessed February 28, 2022).
25
Kerr J. R. Wilson M. S. (2021). Right-wing authoritarianism and social dominance orientation predict rejection of science and scientists. Group Process. Intergroup Relat.24, 550–567. 10.1177/1368430221992126
26
Koetke J. Schumann K. Porter T. (2021). Trust in science increases conservative support for social distancing. Group Process. Intergroup Relat.24, 680–697. 10.1177/1368430220985918
27
Little T. D. Cunningham W. A. Shahar G. Widaman K. F. (2002). To parcel or not to parcel: Exploring the question, weighing the merits. Structur. Eq. Model.9, 151–173. 10.1207/S15328007SEM0902_1
28
Manson J. H . (2020). Right-wing authoritarianism, left-wing authoritarianism, and pandemic-mitigation authoritarianism. Personal. Individ. Differen.167, 110251. 10.1016/j.paid.2020.110251
29
Nilsson A. Jost J. T. (2020). Rediscovering Tomkins' polarity theory: humanism, normativism, and the psychological basis of left-right ideological conflict in the US and Sweden. PLoS ONE15, e0236627. 10.1371/journal.pone.0236627
30
Passini S . (2022). Songs and flags: concern for COVID-19 and submission to authority. Personal. Individ. Differen.185, 111251. 10.1016/j.paid.2021.111251
31
Pazhoohi F. Kingstone A. (2021). Associations of political orientation, xenophobia, right-wing authoritarianism, and concern of COVID-19: cognitive responses to an actual pathogen threat. Personal. Individ. Differen. 182, 111081. 10.1016/j.paid.2021.111081
32
Pennycook G. McPhetres J. Bago B. Rand D. G. (2021). Beliefs About COVID-19 in Canada, the United Kingdom, and the United States: a novel test of political polarization and motivated reasoning. Personal. Soc. Psychol. Bull.21, 1–16. 10.1177/01461672211023652
33
Plohl N. Musil B. (2021). Modeling compliance with COVID-19 prevention guidelines: The critical role of trust in science. Psychology, Health and Medicine26, 1–12. 10.1080/13548506.2020.1772988
34
R Core Team (2016). R Project for Statistical Computing. Available online at: http://www.R-project.org/ (accessed on 8 October 2014).
35
Raihani N. de-Wit L. (2020). Factors Associated With Concern, Behaviour and Policy Support in Response to SARS-CoV-2. PsyArXiv. 10.31234/osf.io/8jpzc
36
Rosseel Y . (2012). Lavaan: An R package for structural equation modeling and more. version 0.5–12 (BETA). J. Statistic. Softw.48, 1–36. 10.18637/jss.v048.i02
37
Šeško Z . (2021). Eastern European Countries Adopting Authoritarian Measures in Face of Covid. The Guardian. Available online at: https://www.theguardian.com/world/2021/dec/29/eastern-european-countries-adopt-authoritarian-measures-covid
38
Sibley C. G. Wilson M. S. Duckitt J. (2007). Effects of dangerous and competitive worldviews on right-wing authoritarianism and social dominance orientation over a five-month period. Politic. Psychol.28, 357–371. 10.1111/j.1467-9221.2007.00572.x
39
Stone W. F . (1980). The myth of left-wing authoritarianism. Politic. Psychol.2, 3–19. 10.2307/3790998
40
Van Hiel A. Duriez B. Kossowska M. (2006). The presence of left-wing authoritarianism in Western Europe and its relationship with conservative ideology. Politic. Psychol.27, 769–793. 10.1111/j.1467-9221.2006.00532.x
41
Vehtari A. Gelman A. Gabry J. (2017). Practical Bayesian model evaluation using leave-one-out cross-validation and WAIC. Statistic. Comput.27, 1413–1432. 10.1007/s11222-016-9696-4
42
Winter T. Jose P. Riordan B. C. Bizumic B. Ruffman T. Hunter J. et al . (2021). Left-wing support of authoritarian submission to protect against societal threat. PsyArXiv. 10.31234/osf.io/hu9ef
43
Winter T. Riordan B. C. Pakpour A. H. Griffiths M. D. Mason A. Poulgrain J. W. et al . (2020). Evaluation of the english version of the fear of Covid-19 scale and its relationship with behavior change and political beliefs. Int. J. Ment. Health Addict.15, 1–11. 10.1007/s11469-020-00342-9
44
Wnuk A. Oleksy T. Maison D. (2020). The acceptance of Covid-19 tracking technologies: The role of perceived threat, lack of control, and ideological beliefs. PLoS ONE15, e0238973. 10.1371/journal.pone.0238973
45
Zhai Y. Chong L. Y. Liu Y. Yang S. Song C. (2022). Social dominance orientation, right-wing authoritarianism, and political attitudes toward governmental performance during the COVID-19 pandemic. Anal. Soc. Issues Public Policy. 22, 150–167. 10.1111/asap.12296
Summary
Keywords
RWA, authoritarianism, political orientation, distrust of science, authoritarian submission, LWA
Citation
Winter T, Riordan BC, Bizumic B, Hunter J, Jose PE, Duckitt J and Scarf D (2022) Longitudinal Change in Authoritarian Factors as Explained by Political Beliefs and a Distrust of Science. Front. Polit. Sci. 4:886732. doi: 10.3389/fpos.2022.886732
Received
28 February 2022
Accepted
19 April 2022
Published
18 May 2022
Volume
4 - 2022
Edited by
Daniel Stevens, University of Exeter, United Kingdom
Reviewed by
Gizem Arikan, Trinity College Dublin, Ireland; Thomas H. Costello, Emory University, United States
Updates
Copyright
© 2022 Winter, Riordan, Bizumic, Hunter, Jose, Duckitt and Scarf.
This is an open-access article distributed under the terms of the Creative Commons Attribution License (CC BY). The use, distribution or reproduction in other forums is permitted, provided the original author(s) and the copyright owner(s) are credited and that the original publication in this journal is cited, in accordance with accepted academic practice. No use, distribution or reproduction is permitted which does not comply with these terms.
*Correspondence: Taylor Winter taylor.winter@vuw.ac.nzDamian Scarf damian.scarf@otago.ac.nz
This article was submitted to Elections and Representation, a section of the journal Frontiers in Political Science
Disclaimer
All claims expressed in this article are solely those of the authors and do not necessarily represent those of their affiliated organizations, or those of the publisher, the editors and the reviewers. Any product that may be evaluated in this article or claim that may be made by its manufacturer is not guaranteed or endorsed by the publisher.