Abstract
Introduction:
The emergence of the digital economy necessitates effective government guidance and regulation of enterprise behavior to ensure fair market competition. Understanding how public data open can enhance the performance of government functions is crucial, particularly in understanding the roles of key factors like the development of the digital economy and the current state of the market economic system. This study explores the effects of public data open on performance of government functions from a resource-based perspective.
Methods:
Using a dataset of 237 Chinese cities from 2017 to 2021, we employed a two-way fixed-effects model to investigate the mechanisms. This includes its interaction with the development of the digital economy and the moderating role of the market economic system.
Results:
The findings reveal that public data open significantly improves performance of government functions, as validated by a multi-temporal DID model and various robustness checks. Notably, the development of the digital economy mediates this relationship, while the market economic system has a strong positive moderating effect. The effects of public data open on performance of government functions also exhibits significant variability.
Discussion:
Recommendations include coordinating regional public data open resource planning and allocation, enhancing public data open rules and objectives by region, and promoting synergy between public data open, development of digital economy and the market economic system.
1 Introduction
Digital technology is fully integrated across diverse sectors of human civilization—economic, political, cultural, social, and ecological—introducing new concepts, business models, and operational modes. Data, as a pivotal production factor, drives the digital economy's development, with its integration with digital technology and economic entities relying on digital industrialization and data-centric industrial digitalization (Verhoef et al., 2021). Advancements in technologies like big data enhance livelihoods, simplify daily tasks, and facilitate government digitalization through data transparency, supporting the establishment of digital governance frameworks (Ye and Hou, 2023). The June 2022 Guiding Opinions of the State Council of China on Strengthening Digital Government Construction emphasize the need for digital transformation in government operations, innovative governance, service methodologies, and comprehensive performance enhancement. This highlights the need for orderly development and utilization of public data resources to drive economic and social progress.
The opening and utilization of data, now crucial for enhancing social productivity, have significantly influenced the economy, politics, and society. As research on public data open diversifies, scholars note that the lack of standardized open data protocols leads to discrepancies across government platforms, hindering data integration. Drawing on the data lifecycle theory, Huang (2020) developed a comprehensive frame-work for data openness and sharing, including six subsystems: standards for data creation and exchange, selection and processing, description and organization, association and publishing, discovery and utilization, and management and evaluation.
Shadbolt et al. (2012) evaluated the UK government's open data project, analyzing transparency, visualization, and standardization. Alogaiel and Alrwais (2023) assessed Saudi Arabia's open data portal, examining completeness, timeliness, readability, and other aspects. In China, Ma et al. (2019) explored regional open data platforms' status, considering factors like platform access, data downloads, apps, and APIs, while Han and Kang (2019) developed an public data open indicator system using the TOE model, covering technical, organizational, and environmental factors. Wang et al. (2023) reviewed the quality of information services on public data open platforms from the public's perspective. Patergiannaki and Pollalis (2023) analyzed 50 municipal websites to assess website performance's impact on public data open, using the United Nations e-government maturity model. The “Open Data Index” provides insights into public data open applications, featuring multi-level indicators across readiness, platform, data, and utilization layers.
Enhancing performance of government functions is crucial to modernizing China's national governance system and capacity, a primary focus of current reforms. Research in this area is extensive. Bao (2005) developed a comprehensive performance index for non-public enterprises in Gansu Province, incorporating function fulfillment, legal administration, management efficiency, integrity, and government innovation. Chen and Yang (2017) categorized government functions into economic management, market regulation, and social affairs management through text analysis, assessing Guangdong Province's performance. Zhang et al. (2018) used the “task performance-contextual performance” model to evaluate the function transformation of county-level governments, employing confirmatory factor analysis for validation. Gu et al. (2023) suggest integrating objective metrics and subjective public satisfaction indicators in performance of government functions assessments to provide a fuller picture.
Studies show that digital transformation significantly enhances public sector performance (Alvarenga et al., 2020; Sousa-Zomer et al., 2020). Xiao et al. (2023) applied dynamic capability theory and collaborative agility to develop an evaluation system with dimensions like sensing, grasping, and transformation capabilities to analyze the effects of digital transformation on performance of government functions. Public data open, pivotal in this digital shift, streamlines government operations and improves service quality. The relationship between digital transformation and performance of government functions is an emerging field of study. Liu et al. (2021) designed a measurement system with metrics focused on economic development, functional transformation, operational efficiency, and innovation diffusion, emphasizing the digital economy's demands and online governance capacities. Additionally, Wang and Zheng (2019) conducted case studies that further detailed the effects of public data open on enhancing governance capabilities.
In recent years, China's Digital Economy Strategy has enhanced digital infrastructure, fostered new business models, and achieved significant outcomes. The emergence of the digital economy necessitates effective government guidance and regulation of enterprise behavior to ensure fair market competition. Public data open is a crucial tool in configuring key production factors for the digital economy, especially amid the proliferation of digital technologies and applications. It breaks down information barriers, enhances digital government services, and improves performance of government functions in economic regulation, market supervision, social management, public services, and eco-logical protection. Therefore, exploring how public data open can enhance the performance of government functions is crucial, particularly in understanding the roles of key factors like the development of the digital economy and the current state of the market economic system. This understanding is essential to advancing digitalization reforms and fostering a digital government marked by collaboration, agility, efficiency, intelligence, transparency, fairness, and inclusivity.
2 Theoretical basis and research hypotheses
2.1 Theoretical basis
Understanding the root causes of organizational performance disparities is a key academic focus. Frameworks like the theory of firm growth, core competence theory, and the resource-based view have been proposed to explain these differences. The re-source-based view builds on growth theory by enhancing the internal motivation model of organizational growth. It emphasizes a “resource-capability-growth” framework, suggesting that access to greater resources strengthens organizational capabilities, fostering growth and improving performance (Penrose and Pitelis, 2009).
Recognizing that traditional economic tools primarily focus on products, Wernerfelt (1984) shifted the focus to resources, examining their relationship with profitability and the conditions under which they confer long-term organizational benefits. Later, Wernerfelt (1989) integrated the resource-based view into strategic management, arguing that organizations gain a competitive edge and improve performance by identifying and leveraging resources with a competitive advantage. Barney (1991) posited that not all organizational resources—such as assets, capabilities, information, and knowledge—contribute to sustained competitive advantage. Only resources that are valuable, rare, inimitable, and non-substitutable foster long-term success. A critical factor in organizational performance disparities is control over strategic resources. To grow in competitive environments, organizations must acquire and manage resources that yield high profits relative to cost, are scarce among competitors, and are difficult or costly to replicate technologically.
Despite similar resources, performance disparities among organizations are evident, often stemming from ineffective resource management and utilization, leading to idle resources that do not contribute to sustainable competitive advantage. Scholars have developed models to explain these differences, highlighting the resource-based view's effectiveness in detailing profitability variations (Peteraf, 1993; Cao et al., 2011). Effective resource management is crucial for enhancing performance. Ongoing research within this framework focuses on diverse sectors, including small retail firms (Grimmer et al., 2017), manufacturing in developing nations (Ghobakhloo and Azar, 2018), and Stakeholder Theory applications (McGahan, 2021). Recent studies also explore competitive strategies like Hong Kong's Areas of Excellence (AoE) Scheme (Liu, 2023).
The principles of the resource-based view, which identify sustainably competitive resources, also apply to public administration. Despite the distinct nature of competition in public organizations compared to free-market enterprises, competition among government entities, particularly in a decentralized multi-level government system, is significant (Huang and Zhou, 2011). Today's governance requires not only reliance on institutional advantages but also the adoption of innovative governance methods and technologies. Digital technology plays a crucial role, with data-driven informatization and digitalization at the forefront of governance innovation. Data is pivotal in reforming local government structures and advancing the modernization of governmental capabilities. Efficient use of public data can enhance public services, standardize data management, address social change, and improve economic monitoring, market regulation, and grassroots integration (Xu, 2020).
In the era of government digitalization and increased competition, effective management and optimization of vast data resources by governments is crucial. These re-sources, controlled by select public institutions, can significantly enhance economic and social outcomes when leveraged with public policies and regulatory tools. Due to their public nature, these resources are inherently difficult to replicate or share, playing a critical role in maintaining market unity, fostering social equity, and ensuring national stability. Data resources exhibit unique characteristics—value, rarity, inimitability, and non-substitutability—providing governments with a sustained competitive edge. This advantage profoundly influences performance of government functions by driving regional development, fostering competition, and transforming governmental functions.
2.2 Research hypotheses
The rise of e-government, driven by open data, has integrated government portals into administrative functions (Yuan et al., 2023). Collaboration between government and technology R&D departments has facilitated the merging of digital technologies with governmental operations. This integration fosters new infrastructure and support services, enhancing resource distribution and sharing within government entities, thereby increasing organizational flexibility and process efficiency (Xiao et al., 2023).
The use of public data open websites supports public engagement through opinion collection, policy cooperation, and transparency in governmental operations and decisions. Francken et al. (2012) suggest that such data utilization reduces informational costs, diminishes asymmetry between citizens and the government, enhances local government oversight, and promotes service-oriented governance. Additionally, lever-aging data enables the government to respond swiftly to public needs, enhancing its image and public satisfaction. Through big data, governments can bolster transparency, thereby improving public services and administrative efficiency (Chen, 2022). Furthermore, processing large datasets allows local governments to ensure economic stability and job security. Integrating government and enterprise data fosters innovation and supports economic and market regulatory functions. Based on this analysis, the following hypothesis emerges:
Hypothesis 1: Public data open influences performance of government functions.
Beyond its direct effects, public data open also indirectly influences performance of government functions through mediating variables. The G20 Initiative on Digital Economy Development and Cooperation, launched during the 2016 G20 Hangzhou Summit, characterizes the digital economy as reliant on digitized knowledge and information as critical production factors, with modern information networks as vital media and the strategic use of ICT as a key driver of efficiency and economic restructuring. Public data acts as a conduit between society and businesses, enabling stakeholders to purposefully select and leverage data, thereby catalyzing economic growth (Zhao and Hao, 2023).
The digital economy is reshaping performance of government functions through technologies like big data and blockchain. At the governmental level, it harmonizes supply and demand across sectors, streamlines grassroots institutions, and transforms traditional administrative bodies into multifaceted service platforms, establishing a modern governance model (Wu et al., 2023). At the market level, it enhances the business climate by shifting government roles from regulatory to service-oriented, thereby reducing information gaps, enhancing transparency, and improving resource allocation efficiency. Socially, the digital economy bolsters public services, notably enhancing public health governance (Balsari et al., 2016), and supports the development of comprehensive legal frameworks and social governance. Furthermore, it facilitates industrial modernization, driving eco-friendly economic growth through improved green productivity, thereby enhancing governmental environmental management capabilities. From this analysis, the following hypothesis is formulated:
Hypothesis 2: Public data open influences performance of government functions through the development of the digital economy.
A market economic system uses market mechanisms to allocate social resources efficiently, producing goods and services that meet societal needs. In this system, the government acts as the regulator of economic activities. In regions with a well-developed market system, the economy operates more efficiently, enhancing the innovative capacity of market participants. This economic environment supports the transition to digitalization and automation. Technologies like big data and AI further facilitate the development of public data open platforms, improving data circulation and sharing. This, in turn, drives high-quality digital economic growth through innovative initiatives.
Public data open reduces transaction costs, enhances market and resource allocation efficiency, and fosters the growth of the information industry, paving the way for a unified and effective market infrastructure management system (Shi et al., 2023). An optimal market economic system reshapes government-market relations, minimizes government interference, and supports effective resource distribution. A robust market transaction system and standardized competition ensure public platforms deliver precise and scientific information and services, responding promptly to public needs (Zhou and Zhao, 2020). Moreover, advancements in property rights, market access, and fair competition frameworks empower government regulatory functions, thereby improving governance. From this analysis, the following hypothesis is formulated:
Hypothesis 3: The market economic system plays a moderating role in the impact of public data open on performance of government functions.
3 Materials and methods
3.1 Selection of variables
3.1.1 Core explanatory variables
Currently, there is no unified standard for measuring public data open, our core explanatory variable. Drawing on the “China Local Government Open Data Report 2023” by Fudan University, we evaluate public data open using the following criteria: (1) service quality and efficiency, as indicated by the total number of cases and message handling rate on local government portals; and (2) the extent of information dissemination, measured by the release of information on local portals and new media platforms, including official microblogs and WeChat.
3.1.2 Explained variables
According to the 2018 revision of the Work Rules of the State Council of China (rWRSCC), government functions crucial to performance are categorized into economic regulation, market supervision, social management, public service, and ecological protection. For reliable and authoritative data, this study adopts the rWRSCC, as referenced by Fan et al. (2021), to develop performance measurement indicators (Table 1). These indicators include: economic regulation (measured by economic growth and structure), market supervision (measured by enforcement and property rights), social management (measured by urban-rural disparities, consumption, and social security), public service (measured by education and healthcare), and ecological protection (measured by air quality and urban greening).
Table 1
| Level 1 indicator | Level 2 indicator | Description of indicator |
|---|---|---|
| Economic regulation | Economic growth | Per capita GDP |
| Economic structure | Added value of tertiary industry/GDP | |
| Market supervision | Supervision enforcement | (Expenditures on social security + expenditures on business services + expenditures on financial regulation)/total fiscal expenditures |
| Property rights protection | Number of patents granted/resident population at the end of the year | |
| Social management | Urban-rural disparities | Rural per capita disposable income/urban per capita disposable income |
| Consumption level | Consumption expenditure per urban household resident/GDP | |
| Social security | Number of urban workers enrolled in pension insurance/resident population at the end of the year | |
| Public service | Education | Number of full-time teachers/number of students in ordinary middle schools |
| Healthcare | Number of occupational physicians/resident population at the end of the year | |
| Ecological protection | Air quality | Industrial sulfur dioxide emissions/GDP |
| Urban greening | Area of urban green space/resident population at the end of the year |
Indicators for measuring performance of government functions.
3.1.3 Control variables
To reduce estimation bias caused by omitted variables, we include control variables such as the area of administrative districts, the level of urbanization, and the urban registered unemployment rate (Table 2).
Table 2
| Variable name | Description of variable |
|---|---|
| Area of administrative districts | Land area of administrative districts |
| Level of urbanization | Number of urban population/resident population at the end of the year |
| Urban registered unemployment rate | Number of urban unemployed persons/(number of persons employed at the end of the year + number of urban unemployed persons) |
Control variables.
3.1.4 Mediating variables
To examine the effects of public data open on performance of government functions, we identified the development of the digital economy as a mediating variable. The measurement indicators are drawn from the studies by Yan and Chen (2022) and Zhao and Hao (2023) (Table 3).
Table 3
| Indicator name | Description of indicator |
|---|---|
| Mobile phone penetration | Number of cell phone subscribers at the end of the year |
| Internet penetration rate | Number of international Internet users |
| Number of related employees | Number of employees on computer services and software |
| Relevant outputs | Total amount of telecommunication business |
Indicators for measuring development of digital economy.
3.1.5 Moderating variables
The market economic system was selected as the moderating variable. Measurement indicators include openness to international markets, market dynamics, the scale of foreign investment, overall market size, and the vitality of the non-public sector economy (Table 4).
Table 4
| Indicator name | Description of indicator |
|---|---|
| Openness to international markets | Foreign trade dependence ratio |
| Market dynamics | All deposits and loans in RMB by financial institutions at the end of the year/GDP |
| Scale of foreign investment | Actual use of foreign capital |
| Overall market size | Number of employed persons on public administration social security/total population |
| Vitality of the non-public sector economy | Number of foreign-funded enterprises |
Indicators for measuring market economic system.
3.2 Data sources and descriptive statistics
The sample selection for this paper is based on several considerations. First, the larger sample size of municipal governments, compared to provincial governments, reduces selectivity errors and enhances the credibility of the empirical results. Second, a key data source for this study is the “China Local Government Open Data Report”, first released by Fudan University in 2017. This report is widely recognized for its scientific rigor and reliability. Additionally, it is important to note that some indicators for the explained, mediating, and moderating variables had significant missing data prior to 2017. To ensure data comparability and accessibility, the study includes a sample of 237 Chinese cities from 2017 to 2021, excluding those with significant data gaps. Data for the core explanatory variable were sourced from annual government portal reports. Data for explained variables, control variables, mediating variables, and moderating variables were obtained from the China Statistical Yearbook, China City Statistical Yearbook, EPS database, and regional statistical yearbooks. All indicators were standardized, and the entropy method was used to calculate comprehensive indicator values.
Data processing for descriptive and econometric analyses was conducted using Stata 17 (64-bit). Two-way fixed-effects regression tests were performed with the reghdfe command to control for both individual and time effects. Descriptive statistics for the explained variable Performance of Government Functions (PGF), core explanatory variable Public Data Open (PDO), mediating variable Development of Digital Economy (DE), moderating variable Market Economic System (MES), and control variables including Area of Administrative Districts (Area), Level of Urbanization (Urban), and Urban Registered Unemployment Rate (Unemployment) are shown in Table 5.
Table 5
| Variable name | Abbreviation | Sample size | Mean | Standard deviation | Minimum | Maximum |
|---|---|---|---|---|---|---|
| Performance of government functions | PGF | 1,185 | 0.188 | 0.0707 | 0.0464 | 0.505 |
| Public data open | PDO | 1,185 | 0.0517 | 0.0446 | 0 | 0.611 |
| Development of digital economy | DE | 1,185 | 0.0251 | 0.0512 | 0.000176 | 0.661 |
| Market economic system | MES | 1,185 | 0.524 | 0.0977 | 0.303 | 0.863 |
| Area of administrative districts | Area | 1,185 | 9.275 | 0.731 | 7.286 | 11.33 |
| Level of urbanization | Urban | 1,185 | 3.889 | 0.884 | 0 | 4.603 |
| Urban registered unemployment rate | Unemployment | 1,185 | 0.987 | 0.374 | −0.223 | 1.746 |
Descriptive statistics.
3.3 Methods
3.3.1 Benchmark regression model
Subscripts i and t represent city and year, respectively, while Controlit comprises control variables; μi signifies individual effects, λt signifies time effects, and εit represents the random error.
3.3.2 Mediating effects model
To evaluate whether public data open indirectly affects performance of government functions by promoting the development of the digital economy, we construct Model (2) and (3) following the approach outlined by Wen and Ye (2014):
3.3.3 Moderating effect model
To examine the moderating impact of the market economic system on the relation-ship between public data open and performance of government functions, we formulate Model (4) using Jiang's method (Jiang, 2022), incorporating the variable MES and the interaction term between PDO and MES:
Here, MESit represents the interaction term, and the other variables are detailed in Table 5.
3.3.4 Policy effects model
If public data open is viewed as a policy experiment, the evaluation of policy effects is typically conducted using the Difference-in-Differences (DID) model. The traditional DID model can only assess the effects of policies implemented at a single point in time (Li and Yang, 2019). In contrast, the multi-temporal DID (time-varying DID) model is more suitable for examining the effects of policy implementation at different time points, considering the constant changes in individuals within the experimental group. Drawing on the methodologies of Bertrand and Mullainathan (2003) and Shi et al. (2018), we construct the Model (5) as a multi-temporal DID model:
Here, Treati indicates whether the city implements the policy, with 1 denoting implementation and 0 otherwise; Postt is set at 0 before policy implementation and 1 during and after implementation; other variables are consistent with those in Model (1).
4 Results
4.1 Benchmark regression results
Table 6 presents the benchmark regression results examining the effects of public data open (PDO) on performance of government functions (PGF). In Column (1), the two-way fixed-effects model includes only PDO, with its coefficient being positively significant at the 1% level, indicating that PDO enhances PGF. Columns (2) through (4) progressively introduce control variables—Area, Urban, and Unemployment. The coefficients of PDO continue to be positive and significant at the 1% level in these models, confirming the validity of Hypothesis 1.
Table 6
| (1) | (2) | (3) | (4) | |
|---|---|---|---|---|
| PGF | PGF | PGF | PGF | |
| PDO | 0.070*** | 0.070*** | 0.069*** | 0.069*** |
| (0.016) | (0.016) | (0.016) | (0.016) | |
| Area | 0.009 | 0.010 | 0.010 | |
| (0.008) | (0.008) | (0.008) | ||
| Urban | −0.002* | −0.002* | ||
| (0.001) | (0.001) | |||
| Unemployment | −0.001 | |||
| (0.002) | ||||
| _cons | 0.184*** | 0.100 | 0.102 | 0.100 |
| (0.001) | (0.077) | (0.077) | (0.077) | |
| N | 1,185 | 1,185 | 1,185 | 1,185 |
| r2 | 0.950 | 0.951 | 0.951 | 0.951 |
| r2_a | 0.938 | 0.938 | 0.938 | 0.938 |
| Individual effects | Yes | Yes | Yes | Yes |
| Time effects | Yes | Yes | Yes | Yes |
Benchmark regression results.
The standard errors are noted in parentheses. *p < 0.1 and ***p < 0.01.
4.2 Robustness
To ensure the robustness of our empirical findings, we conducted tests by replacing indicators, adding control variables, and applying a one-period lag to the core explanatory variables.
4.2.1 Replacing indicators
Initially, we substituted some indicators of the core explanatory variable. The metric for the number of information releases was changed to the number of interpreted in-formation releases, with results shown in Column (2) of Table 7. Additionally, the metric for information releases by new media was replaced with the number of independent user visits to government portals, with results displayed in Column (3). These modifications showed that the coefficients and significance levels of the core explanatory variable remained consistent with the benchmark regression results in Column (1).
Table 7
| (1) | (2) | (3) | |
|---|---|---|---|
| PGF | PGF | PGF | |
| PDO | 0.069*** | ||
| (0.016) | |||
| PDO1 | 0.069*** | ||
| (0.016) | |||
| PDO2 | 0.071*** | ||
| (0.016) | |||
| Area | 0.010 | 0.010 | 0.010 |
| (0.008) | (0.008) | (0.008) | |
| Urban | −0.002* | −0.002* | −0.002* |
| (0.001) | (0.001) | (0.001) | |
| Unemployment | −0.001 | −0.001 | −0.001 |
| (0.002) | (0.002) | (0.002) | |
| _cons | 0.100 | 0.100 | 0.100 |
| (0.077) | (0.077) | (0.077) | |
| N | 1,185 | 1,185 | 1,185 |
| r2 | 0.951 | 0.951 | 0.951 |
| r2_a | 0.938 | 0.938 | 0.938 |
| Individual effects | Yes | Yes | Yes |
| Time effects | Yes | Yes | Yes |
Replacing parts of indicators of the core explanatory variable.
The standard errors are noted in parentheses. *p < 0.1 and ***p < 0.01.
Substitutions were also made for some indicators of the explained variable. Specifically, the healthcare indicator was changed to “health technicians per resident population at the end of the year,” with results presented in Column (2) of Table 8. The property rights protection indicator was revised to “number of invention patents granted per resident population at the end of the year,” with results shown in Column (3). The urban greening indicator was modified to “area of park green space per resident population at the end of the year,” with results displayed in Column (4). These changes demonstrated that the coefficients and significance levels of the core explanatory variable remained consistent with the benchmark regression results in Column (1).
Table 8
| (1) | (2) | (3) | (4) | |
|---|---|---|---|---|
| PGF | PGF1 | PGF2 | PGF3 | |
| PDO | 0.069*** | 0.047*** | 0.069*** | 0.043** |
| (0.016) | (0.016) | (0.016) | (0.017) | |
| Area | 0.010 | 0.010 | 0.010 | 0.010 |
| (0.008) | (0.009) | (0.008) | (0.009) | |
| Urban | −0.002* | −0.000 | −0.002* | −0.000 |
| (0.001) | (0.001) | (0.001) | (0.001) | |
| Unemployment | −0.001 | 0.001 | −0.001 | 0.000 |
| (0.002) | (0.002) | (0.002) | (0.002) | |
| _cons | 0.100 | 0.075 | 0.100 | 0.083 |
| (0.077) | (0.081) | (0.077) | (0.082) | |
| N | 1,185 | 1,185 | 1,185 | 1,185 |
| r2 | 0.951 | 0.939 | 0.951 | 0.941 |
| r2_a | 0.938 | 0.923 | 0.938 | 0.926 |
| Individual effects | Yes | Yes | Yes | Yes |
| Time effects | Yes | Yes | Yes | Yes |
Replacing parts of indicators of the explained variable.
The standard errors are noted in parentheses. *p < 0.1, **p < 0.05, and ***p < 0.01.
4.2.2 Additional control variables and a one- period lag to the core explanatory variables
Control variables include Government Scale (Scale), measured by the ratio of general public budget expenditure to GDP; Government Finance (Finance), assessed by the local government's fiscal balance relative to GDP; Public Service Expenditures (Service), measured by the proportion of expenditures on health, education, and social security within public financial spending; and Consumer Index (Consume), based on the consumer price index. Analysis in Columns (2) through (5) of Table 9 shows that the significance of the core explanatory variables remains consistent despite the incremental inclusion of these control variables.
Table 9
| (1) | (2) | (3) | (4) | (5) | (6) | |
|---|---|---|---|---|---|---|
| PGF | PGF | PGF | PGF | PGF | PGF | |
| PDO | 0.069*** | 0.069*** | 0.066*** | 0.064*** | 0.062*** | |
| (0.016) | (0.016) | (0.016) | (0.015) | (0.015) | ||
| L.PDO | 0.075*** | |||||
| (0.023) | ||||||
| Area | 0.010 | 0.009 | 0.009 | 0.008 | 0.008 | 0.005 |
| (0.008) | (0.008) | (0.008) | (0.008) | (0.008) | (0.009) | |
| Urban | −0.002* | −0.002* | −0.002** | −0.002* | −0.002** | −0.001 |
| (0.001) | (0.001) | (0.001) | (0.001) | (0.001) | (0.001) | |
| Unemployment | −0.001 | −0.001 | −0.001 | −0.000 | −0.000 | 0.002 |
| (0.002) | (0.002) | (0.002) | (0.002) | (0.002) | (0.003) | |
| Scale | 0.008** | 0.018*** | 0.020*** | 0.019*** | ||
| (0.004) | (0.006) | (0.006) | (0.006) | |||
| Finance | −0.010** | −0.010** | −0.009** | |||
| (0.004) | (0.004) | (0.004) | ||||
| Service | 0.015*** | 0.016*** | ||||
| (0.002) | (0.002) | |||||
| Consume | 0.003** | |||||
| (0.001) | ||||||
| _cons | 0.100 | 0.085 | 0.080 | 0.028 | 0.027 | 0.150* |
| (0.077) | (0.077) | (0.077) | (0.076) | (0.076) | (0.080) | |
| N | 1,185 | 1,185 | 1,185 | 1,185 | 1,185 | 948 |
| r2 | 0.951 | 0.951 | 0.951 | 0.954 | 0.954 | 0.956 |
| r2_a | 0.938 | 0.938 | 0.938 | 0.941 | 0.941 | 0.941 |
| Individual effects | Yes | Yes | Yes | Yes | Yes | Yes |
| Time effects | Yes | Yes | Yes | Yes | Yes | Yes |
Additional control variables and a one-period lag to the core explanatory variables.
The standard errors are noted in parentheses. *p < 0.1, **p < 0.05, and ***p < 0.01.
After introducing lagged core explanatory variables, Column (6) indicates that PDO, lagging by one period, still exerts a significant effect on PGF. This suggests a lagged effects of public data open on performance of government functions, with the effect of public data open in the previous year influencing performance of government functions in the current year.
4.3 Endogeneity
To address potential endogeneity arising from the interaction between public data open and performance of government functions, we use the mean value of public data open from other cities within the same province as an instrumental variable for each city in our sample. The results of the two-stage instrumental variable regression (see Table 10) show that all explanatory variables remain significant. The F-value of 104.778 for the under-recognition test, where the p-value is well-above the significance level, and an F-value of 91.177 for the weak instrument test, significant at the 10% level, underscores the robustness of the regression results following the endogeneity test.
Table 10
| (1) | (2) | |
|---|---|---|
| First | Second | |
| PDO | PGF | |
| IV | 0.697*** | |
| (9.55) | ||
| PDO | 0.436*** | |
| (7.38) | ||
| Area | −0.001 | 0.009 |
| (−0.08) | (0.95) | |
| Urban | −0.001 | −0.001 |
| (−0.41) | (−1.09) | |
| Unemployment | 0.006 | −0.003 |
| (1.34) | (−1.11) | |
| Constant | 0.019 | 0.190** |
| (0.13) | (2.22) | |
| N | 1,185 | 1,185 |
| r2 | 0.512 | 0.922 |
| r2_a | 0.386 | 0.902 |
Endogeneity.
The standard errors are noted in parentheses. **p < 0.05 and ***p < 0.01.
4.4 Policy effects
As a public resource, public data open promotes the modernization of national governance. On December 6, 2017, China's State Council highlighted the achievement of making data from 40 vertical systems of State Council departments available to all government levels, affirming public data provision as a key element of government services, accessible to the public under legal regulations. To maximize the potential of data elements, national and provincial authorities have implemented policies to enhance public data open, accelerating the integration and sharing of government information systems, which have significantly improved performance of government functions.
The public data open policy can be viewed as a quasi-natural experiment, with its effects evaluated using the Difference-in-Differences (DID) method. This approach examines the policy's impact on the research subject by analyzing both vertical and horizontal dimensions. Specifically, it assesses the differences in outcomes for the research subject before and after the policy's implementation, as well as the differences between the treatment and control groups post-implementation. This helps exclude the influence of unobservable factors and effectively addresses endogeneity.
The traditional DID method only captures the effects of policies implemented at a single point in time. Given that the starting dates for public data open platforms may vary across cities, the multi-temporal DID model is more suitable for assessing policy effects. This model examines the various time points of individual policy implementations and accounts for changes in individuals within the experimental group. As highlighted by Bai et al. (2022) regarding the national innovative city pilot policy, as well as by Yao et al. (2022) and Tian et al. (2022) concerning the smart city pilot policy, the multi-temporal DID model serves as a robust analytical tool for evaluating the effects of public policies within the Chinese context. By incorporating data from experimental cities across multiple phases, this approach enhances the accuracy and generalizability of policy assessments.
Recent research highlights several issues with the multi-temporal DID model. For instance, Sun and Abraham (2021) demonstrated that each relative time point coefficient in the event study method is not only influenced by its own coefficient but also by other coefficients within the regression equations, including those that are excluded from the equations. Consequently, scholars have proposed various solutions, such as the summation method by Sun and Abraham (2021), Callaway and Sant'Anna (2021) and Roth et al. (2023), as well as the two-step regression method suggested by Borusyak et al. (2024). This paper draws on a strategy from Wang and Han (2023) carefully exploring how different groups are affected by the policy, thereby enhancing the reliability and robustness of the empirical findings. Specifically, public data open significantly improves government transparency and public services through resource integration and the mining and analysis of vast datasets. Additionally, the processing and utilization of publicly available data help unlock the value of production factors, while digitalization fosters transformations in production modes, lifestyles, and governance. It is reasonable to assert that embracing policies related to public data open will positively impact performance of government functions. Compared to cities without open platforms, those with such platforms are expected to experience more pronounced policy effects.
To ensure data availability, this study utilizes the list of public data open platforms published in the China Local Government Open Data Report series. The 237 cities identified in this list are classified as the experimental group, while those without platforms serve as the control group. In Column (2) of Table 11, the regression results of the policy effect model show that the coefficient for Treat * Post is statistically significant at the 5% level, indicating that the implementation of public data open policies positively affects performance of government functions.
Table 11
| (1) | (2) | |
|---|---|---|
| PGF | PGF | |
| PDO | 0.081*** | |
| (0.019) | ||
| Treat*Post | 0.005** | |
| (0.002) | ||
| Area | 0.010 | −0.026*** |
| (0.008) | (0.008) | |
| Urban | −0.002* | −0.001 |
| (0.001) | (0.001) | |
| Unemployment | −0.001 | 0.000 |
| (0.002) | (0.002) | |
| _cons | 0.100 | 0.416*** |
| (0.077) | (0.078) | |
| N | 1,185 | 1,185 |
| r2 | 0.951 | 0.880 |
| r2_a | 0.938 | 0.866 |
| Individual effects | Yes | Yes |
| Time effects | Yes | Yes |
Multi-temporal DID model test.
The standard errors are noted in parentheses. **p < 0.05 and ***p < 0.01.
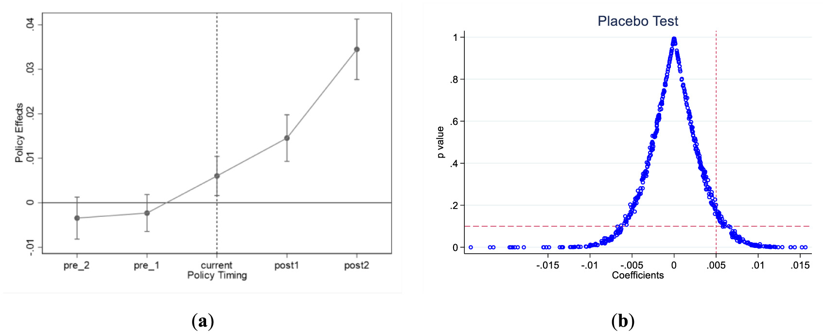
The adoption of the multi-temporal DID model is premised on the requirement that the experimental and control groups exhibit consistent trends before the policy implementation, satisfying the assumption of a parallel trends test. Given that cities launched their platforms at different times and thus experienced policy shocks variably, it is essential to establish a relative critical point for the implementation of the public data open policy for each city, rather than designating a single year as the policy's critical point (Bai et al., 2022). The parallel trend test, conducted using the event study method, used the period before the implementation of public data open as the baseline. It passed at the 5% level, indicating that estimated coefficients were not significant before the policy was implemented but were significantly non-zero in most periods afterward (see Figure 1a).
Figure 1

(a) Parallel trend test; (b) placebo test.
To address the possibility of random findings, a placebo test was conducted by randomly selecting 35 samples from the 237 cities to form a new experimental group, with the remaining cities serving as the new control group. This multi-temporal DID model was applied 500 times. The results show that the pseudo-DID coefficients and t-values cluster around 0, suggesting that other policies and random factors do not influence the findings (see Figure 1b).
4.5 Mediating effects
Table 12 presents the regression results on the effects of PDO on PGF through DE. Column (2) evaluates the effect of PDO on DE, showing a coefficient of 0.105 with a p-value well-below the significance level, indicating a positive effects of PDO on DE. Column (3) explores whether DE mediates the relationship between PDO and PGF; with both PDO and DE coefficients being significantly positive. These findings suggest that the development of the digital economy mediates the relationship between public data open and performance of government functions, thus supporting hypothesis 2.
Table 12
| (1) | (2) | (3) | |
|---|---|---|---|
| PGF | DE | PGF | |
| PDO | 0.069*** | 0.105*** | 0.057*** |
| (0.016) | (0.025) | (0.016) | |
| DE | 0.119*** | ||
| (0.020) | |||
| Area | 0.010 | 0.004 | 0.009 |
| (0.008) | (0.013) | (0.008) | |
| Urban | −0.002* | −0.001 | −0.002* |
| (0.001) | (0.001) | (0.001) | |
| Unemployment | −0.001 | −0.001 | −0.001 |
| (0.002) | (0.004) | (0.002) | |
| _cons | 0.100 | −0.011 | 0.101 |
| (0.077) | (0.123) | (0.076) | |
| N | 1,185 | 1,185 | 1,185 |
| r2 | 0.951 | 0.760 | 0.952 |
| r2_a | 0.938 | 0.698 | 0.940 |
| Individual effects | Yes | Yes | Yes |
| Time effects | Yes | Yes | Yes |
Mediating effect.
The standard errors are noted in parentheses. *p < 0.1 and ***p < 0.01.
4.6 Moderating effects
Table 13 explores the moderating effects of MES on the relationship between PDO and PGF. Column (1) includes MES alone, while column (2) adds the interaction term between MES and PDO. To address potential covariance issues, both core explanatory and moderating variables have been centered. Column (3) presents the results, where the significantly positive coefficient of the interaction term indicates that MES enhances the effects of PDO on PGF, thereby supporting hypothesis 3.
Table 13
| (1) | (2) | (3) | |
|---|---|---|---|
| PGF | PGF | PGF | |
| PDO | 0.070*** | −0.097 | 0.038* |
| (0.016) | (0.082) | (0.022) | |
| MES | 0.023 | 0.016 | 0.029 |
| (0.031) | (0.032) | (0.031) | |
| Area | 0.010 | 0.010 | 0.010 |
| (0.008) | (0.008) | (0.008) | |
| Urban | −0.002* | −0.002* | −0.002* |
| (0.001) | (0.001) | (0.001) | |
| Unemployment | −0.001 | −0.001 | −0.001 |
| (0.002) | (0.002) | (0.002) | |
| PDO*MES | 0.257** | ||
| (0.125) | |||
| Center (PDO*MES) | 0.257** | ||
| (0.125) | |||
| _cons | 0.089 | 0.094 | 0.087 |
| (0.078) | (0.078) | (0.078) | |
| N | 1,185 | 1,185 | 1,185 |
| adj. R2 | 0.951 | 0.951 | 0.951 |
| Individual effects | Yes | Yes | Yes |
| Time effects | Yes | Yes | Yes |
Moderating effect.
The standard errors are noted in parentheses. *p < 0.1, **p < 0.05, and ***p < 0.01.
4.7 Heterogeneity
The effects of PDO on PGF varies due to factors such as political status, human capital, and innovation levels. We analyzed this phenomenon concerning political status, human capital level, and innovation level. We analyzed these effects by dividing the 237 cities in our sample into capital and non-capital cities. Columns (1) and (3) of Table 14 illustrate how PDO affects PGF in both types of cities. Despite their economic and political advantages, capital cities may show less pronounced effects of PDO on PGF due to various influencing factors. In contrast, non-capital cities, which often lack resources and policy support, might experience more significant benefits from PDO, particularly in digital technology development and industrial upgrading. Columns (2) and (4) show that after introducing the mediating variable of DE, the positive effects of PDO on PGF remains significant in both capital and non-capital cities.
Table 14
| (1) | (2) | (3) | (4) | |
|---|---|---|---|---|
| Capital | Non-capital | Capital | Non-capital | |
| PGF | PGF | PGF | PGF | |
| PDO | 0.044 | 0.014 | 0.068*** | 0.075*** |
| (0.027) | (0.027) | (0.020) | (0.020) | |
| DE | 0.120*** | 0.114*** | ||
| (0.033) | (0.029) | |||
| Area | −0.025 | −0.010 | 0.009 | 0.009 |
| (0.060) | (0.056) | (0.008) | (0.008) | |
| Urban | 0.003 | 0.001 | −0.002** | −0.002* |
| (0.004) | (0.004) | (0.001) | (0.001) | |
| Unemployment | 0.010 | 0.011 | −0.002 | −0.002 |
| (0.007) | (0.007) | (0.002) | (0.002) | |
| _cons | 0.468 | 0.322 | 0.098 | 0.098 |
| (0.558) | (0.526) | (0.077) | (0.076) | |
| N | 125 | 125 | 1,060 | 1,060 |
| r2 | 0.954 | 0.960 | 0.944 | 0.945 |
| r2_a | 0.939 | 0.946 | 0.929 | 0.930 |
| Individual effects | Yes | Yes | Yes | Yes |
| Time effects | Yes | Yes | Yes | Yes |
Heterogeneity analysis (political status).
The standard errors are noted in parentheses. *p < 0.1, **p < 0.05, and ***p < 0.01.
The level of human capital in a city is measured by the proportion of residents with bachelor's degrees or higher. Cities above the median are categorized as having high human capital, while those below are considered low. Columns (1) and (3) of Table 15 show that the effect of PDO on PGF is significant at the 1% level in cities with high human capital, but not in those with low human capital. When the mediating variable, the DE, is introduced in Columns (2) and (4), DE is found to mediate the effects of PDO on PGF in both high and low human capital cities. However, the positive effect of PDO on PGF remains significant in cities with high human capital. This indicates that cities with greater human capital are better equipped to utilize new technologies and tools, thereby advancing digital economy development and improving performance of government functions through their intellectual resources.
Table 15
| (1) | (2) | (3) | (4) | |
|---|---|---|---|---|
| High Level | High Level | Low Level | Low Level | |
| PGF | PGF | PGF | PGF | |
| PDO | 0.066*** | 0.051*** | 0.019 | 0.033 |
| (0.018) | (0.018) | (0.035) | (0.035) | |
| DE | 0.107*** | 0.119*** | ||
| (0.025) | (0.036) | |||
| Area | 0.022 | 0.015 | 0.009 | 0.008 |
| (0.052) | (0.051) | (0.008) | (0.008) | |
| Urban | 0.001 | 0.001 | −0.003*** | −0.003** |
| (0.001) | (0.001) | (0.001) | (0.001) | |
| Unemployment | 0.000 | 0.000 | −0.002 | −0.002 |
| (0.004) | (0.004) | (0.003) | (0.003) | |
| _cons | 0.004 | 0.060 | 0.096 | 0.096 |
| (0.479) | (0.470) | (0.074) | (0.073) | |
| N | 595 | 595 | 590 | 590 |
| r2 | 0.953 | 0.955 | 0.934 | 0.935 |
| r2_a | 0.940 | 0.942 | 0.916 | 0.918 |
| Individual effects | Yes | Yes | Yes | Yes |
| Time effects | Yes | Yes | Yes | Yes |
Heterogeneity analysis (level of human capital).
The standard errors are noted in parentheses. *p < 0.1, **p < 0.05, and ***p < 0.01.
The level of innovation in a city is measured by the proportion of government spending on science and technology relative to total fiscal expenditure. Cities above the median are classified as highly innovative, while those below are categorized as low in innovation. Columns (1) and (3) of Table 16 demonstrate that the effects of PDO on PGF is significant at the 1% level in both high and low innovation cities. However, Columns (2) and (4) show that low innovation cities do not exhibit significant mediating effects due to insufficient investment in innovation and the underdevelopment of emerging technologies. Conversely, high innovation cities see substantial improvements in performance of government functions through public data open. These cities also effectively utilize emerging technologies such as AI and cloud computing to advance digital economy development, further enhancing performance of government functions.
Table 16
| (1) | (2) | (3) | (4) | |
|---|---|---|---|---|
| High Level | High Level | Low Level | Low Level | |
| PGF | PGF | PGF | PGF | |
| PDO | 0.064*** | 0.038** | 0.070*** | 0.067** |
| (0.019) | (0.018) | (0.026) | (0.026) | |
| DE | 0.143*** | −0.073 | ||
| (0.021) | (0.051) | |||
| Area | 0.014* | 0.013* | 0.029 | 0.029 |
| (0.008) | (0.008) | (0.046) | (0.046) | |
| Urban | −0.000 | −0.001 | −0.002* | −0.002* |
| (0.002) | (0.002) | (0.001) | (0.001) | |
| Unemployment | −0.002 | −0.002 | −0.001 | −0.001 |
| (0.003) | (0.003) | (0.004) | (0.004) | |
| _cons | 0.085 | 0.090 | −0.101 | −0.099 |
| (0.075) | (0.072) | (0.429) | (0.428) | |
| N | 590 | 590 | 595 | 595 |
| r2 | 0.965 | 0.968 | 0.898 | 0.899 |
| r2_a | 0.956 | 0.960 | 0.871 | 0.871 |
| Individual effects | Yes | Yes | Yes | Yes |
| Time effects | Yes | Yes | Yes | Yes |
Heterogeneity analysis (level of innovation).
The standard errors are noted in parentheses. *p < 0.1, **p < 0.05, and ***p < 0.01.
5 Discussion
Based on the resource-based view and the concept of government functions, we developed an evaluation system to assess performance of government functions. We compared performance before and after the introduction of public data using the “China Local Government Open Data Report 2023 (City Edition)” as a benchmark. The results reveal:
(1) Public data open significantly enhance performance of government functions, as demonstrated by policy effect analyses using the multi-temporal DID model and various robustness tests. Although the launch of public data open platforms varied across cities, these platforms have collectively improved performance of government functions. Public data open can clarify government progress and procedures to the public, increase transparency, and improve decision-making (Conradie and Choenni, 2014). Additionally, it reduces the cost of accessing information, regulates public data effectively, and ad-dresses issues like information asymmetry by public data portals (Zhao et al., 2019). Furthermore, it provides a diverse and legitimate channel for public participation and supervision, aiding in preventing corruption.
(2) The development of the digital economy mediates the effects of public data open on performance of government functions, while the market economic system positively moderates this relationship. Public data open promotes the continuous flow of data elements, contributing to the growth of big data products and services, which are central to the digital economy (Gao, 2019). The digital economy fosters technological innovations, such as the Internet of Things and AI, which drive green and high-quality urban development, including improved production methods, enhanced green innovation, and more effective regulatory practices (Liu and Wang, 2022). A more advanced market economic system further supports innovation in production and technology, facilitating data circulation and sharing among government, market, and other entities. This adjustment of industrial structures and technology updates enhances human capital and the relationship between government and market, leading to more effective economic regulation and market supervision by local governments.
(3) The effects of public data open on performance of government functions shows notable heterogeneity when analyzed by political status, human capital level, and innovation level. The implementation of public data open significantly enhances government operations in non-provincial capital cities but has a less pronounced effect in provincial capitals. This inconsistency could potentially stem from the fact that while non-provincial capital cities do not share the economic and political benefits afforded to provincial capitals, they have reaped significant advantages from public data open, facilitated by enhanced digital governance and robust public service platforms (Bonina and Eaton, 2020; Gong and Li, 2022). Cities with higher human capital show better performance of government functions because human capital drives technological innovation and the integration of digital technology into government functions. Similarly, cities with greater innovation—measured by government spending on science and technology—benefit from enhanced performance due to advanced Internet infrastructure and the effective use of digital economy technologies. High innovation cities leverage these technologies to boost performance of government functions, while low innovation cities struggle to achieve similar results.
Understanding how public data open enhance performance of government functions is essential for advancing digitalization reforms in government. This study investigates the theoretical basis for this enhancement using the resource-based view. Analyzing data from 237 Chinese cities between 2017 and 2021, we employed a two-way fixed-effects model to examine the mechanisms and policy effects of public data open on performance of government functions. The model also considers the mediating role of digital economy development and the moderating effect of the market economic system. This study offers a significant innovation by theoretically analyzing how public data open can enhance performance of government functions through the resource-based view. This approach provides a new analytical perspective in the field. Additionally, the examination of digital economy development as a mediating factor and the market economic system as a moderating factor adds depth to the research. Drawing from the empirical analysis findings, we propose the following recommendations:
5.1 Coordinate regional public data open resource planning and allocation
Coordinate the planning and allocation of regional public data open resources to mitigate extreme disparities among regions. Encourage leading regions with abundant data to share knowledge and support neighboring areas. Local governments should use available data and resources to adapt to changing environments, promote interdepartmental collaboration, and integrate diverse data types (governmental, public, enterprise, and personal) to eliminate data silos and realize data dividends. Improve data openness through optimized governmental portals; ensuring public needs are addressed promptly to increase satisfaction.
5.2 Enhance public data open rules and objectives by region
Strengthen implementation rules, protective measures, and evaluation mechanisms according to each city's resource endowment, financial status, and political context. In cities with low innovation, encourage the integration of digital technology with industrial development, phase out outdated production capacities, and support high-tech-driven tertiary industries. Given the crucial role of human capital in fostering innovation and technology, provide additional support for scientific innovation in regions with low human capital to attract top talent. In high-human-capital regions, utilize their innovative potential to develop advanced digital service teams, optimizing the use of public data open.
5.3 Promote synergy between public data open, development of digital economy and the market economic system
Take advantage of digital technology to drive enterprise innovation and improve market services by accelerating the construction of digital infrastructure and developing innovative digital supervision methods. Use open data to analyze market dynamics, anticipate risks, and refine economic regulation and market oversight. Partner with technology research and development entities to progressively integrate digital technology with government operations, enhancing social management and public services through advanced information technology applications, infrastructure development, technological alignment, and service innovation.
This paper acknowledges several limitations. Firstly, the measurement of public data, both domestically and internationally, lacks a unified standard. The performance of government functions encompasses various fields and multiple goals, leading to differing opinions on indicator selection criteria. While the indicators in this study are supported by existing literature, they remain subject to debate. Secondly, although this paper emphasizes the moderating effect of the market economic system, factors such as local policies, geographic location, and the goal of maximizing expected benefits should also be considered. Additionally, for the mediating variable, the development of the digital economy should be evaluated not only through infrastructure construction but also through levels of innovation and the effectiveness of digital administrative services, which are important perspectives to explore.
Several aspects require further attention. Government departments may conceal certain data or engage in data falsification for their own interests. Due to imperfect policies and regulations, it is increasingly difficult for the public or other sectors to access effective information. Therefore, it is crucial to find a balanced approach to align the interests of all parties and establish a trustworthy data open platform. Second, a variety of digitalization policies can enhance performance of government functions, necessitating an expansion of policy sample selection and placement within a unified analytical framework to systematically analyze their impacts. Third, as data has become a vital production factor and existing government services may no longer be fully applicable, in-depth discussions are needed on the roles and functions of national governance and how it adapts to the evolving landscape of digital technology.
Statements
Data availability statement
Publicly available datasets were analyzed in this study. This data can be found here: https://www.stats.gov.cn/sj/ndsj/.
Ethics statement
Ethical approval was not required for the study involving human data in accordance with the local legislation and institutional requirements. Written informed consent was not required, for either participation in the study or for the publication of potentially/indirectly identifying information, in accordance with the local legislation and institutional requirements. The social media data was accessed and analyzed in accordance with the platform's terms of use and all relevant institutional/national regulations.
Author contributions
DZ: Conceptualization, Data curation, Funding acquisition, Methodology, Project administration, Supervision, Validation, Visualization, Writing – original draft, Writing – review & editing. ZM: Data curation, Formal analysis, Investigation, Methodology, Resources, Software, Validation, Visualization, Writing – original draft. ZT: Formal analysis, Investigation, Resources, Writing – original draft.
Funding
The author(s) declare financial support was received for the research, authorship, and/or publication of this article. This research was supported by Shandong Provincial Natural Science Foundation (ZR2017BG007).
Acknowledgments
We gratefully acknowledge financial support from Shandong Provincial Natural Science Foundation of China. Any opinions and conclusions expressed in the article are those of the authors and do not necessarily reflect the view of Shandong Provincial Natural Science Foundation.
Conflict of interest
The authors declare that the research was conducted in the absence of any commercial or financial relationships that could be construed as a potential conflict of interest.
Publisher’s note
All claims expressed in this article are solely those of the authors and do not necessarily represent those of their affiliated organizations, or those of the publisher, the editors and the reviewers. Any product that may be evaluated in this article, or claim that may be made by its manufacturer, is not guaranteed or endorsed by the publisher.
References
1
Alogaiel N. F. Alrwais O. A. (2023). An assessment of the quality of open government data in Saudi Arabia. IEEE Access11, 61560–61599. 10.1109/ACCESS.2023.3285611
2
Alvarenga A. Matos F. Godina R. Matias J. C. O. (2020). Digital transformation and knowledge management in the public sector. Sustainability12:5824. 10.3390/su12145824
3
Bai J. Zhang Y. Bian Y. (2022). Does innovation-driven policy increase entrepreneurial activity in cities – Evidence from the national innovative city pilot policy. China Ind. Econ. 61–78. 10.19581/j.cnki.ciejournal.2022.06.016
4
Balsari S. Greenough P. G. Kazi D. Heerboth A. Dwivedi S. Leaning J. (2016). Public health aspects of the world's largest mass gathering: The 2013 Kumbh Mela in Allahabad, India. J. Public Health Policy37, 411–427. 10.1057/s41271-016-0034-z
5
Bao G. (2005). Performance evaluation: a scientific tool to promote the functional transformation of local governments - Practical and theoretical reflections on the performance evaluation activities of Gansu Provincial government. Chin. Public Administr.86–91.
6
Barney J. (1991). Firm resources and sustained competitive advantage. J. Manage.17, 99–120. 10.1177/014920639101700108
7
Bertrand M. Mullainathan S. (2003). Enjoying the quiet life? Corporate governance and managerial preferences. J. Polit. Econ.111, 1043–1075. 10.1086/376950
8
Bonina C. Eaton B. (2020). Cultivating open government data platform ecosystems through governance: lessons from Buenos Aires, Mexico City and Montevideo. Gov. Inf. Q.37:101479. 10.1016/j.giq.2020.101479
9
Borusyak K. Jaravel X. Spiess J. (2024). Revisiting event-study designs: robust and efficient estimation. Rev. Econ. Stud: e7:rdae007. 10.1093/restud/rdae007
10
Callaway B. Sant'Anna P. H. C. (2021). Difference-in-differences with multiple time periods. J. Econ.225, 200–230. 10.1016/j.jeconom.2020.12.001
11
Cao H. Lu Z. Wang Y. (2011). How resource heterogeneity will influence on firm performance: test and analysis about the resources management capability's interaction effects. Nankai Bus. Rev.14, 25–31.
12
Chen T. Yang R. (2017). The measuring of the transformation of local government functions: a text analysis on the basis of the work reports of Guangdong Provincial government (1981 - 2015). J. South China Norm. Univ. 101–112, 190–191.
13
Chen X. (2022). Digital penetration, big data application and enhancement of local government governance capacity. Guizhou Soc. Sci. 128–134. 10.13713/j.cnki.cssci.2022.01.012
14
Conradie P. Choenni S. (2014). On the barriers for local government releasing open data. Gov. Inf. Q.31, S10–S17. 10.1016/j.giq.2014.01.003
15
Fan B. Zhang D. Jin J. Yu J. (2021). Accelerating the Government Functions Transformation Under the Conditions of Improving the Socialist Market Economic System. Beijing: China Financial & Economic Publishing House.
16
Francken N. Minten B. Swinnen J. F. M. (2012). The political economy of relief aid allocation: evidence from Madagascar. World Dev.40, 486–500. 10.1016/j.worlddev.2011.07.007
17
Gao F. (2019). The fundamental institution for development of the data economy: a proposal of an universal data sharing model. Soc. Sci. Guangdong 5–16:254.
18
Ghobakhloo M. Azar A. (2018). Information technology resources, the organizational capability of lean-agile manufacturing, and business performance. Inf. Resour. Manag. J.31, 47–74. 10.4018/IRMJ.2018040103
19
Gong Y. Li X. (2022). Designing boundary resources in digital government platforms for collaborative service innovation. Gov. Inf. Q.40:101777. 10.1016/j.giq.2022.101777
20
Grimmer L. Miles M. P. Byrom J. Grimmer M. (2017). The impact of resources and strategic orientation on small retail firm performance. J. Small Bus. Manag.55, 7–26. 10.1111/jsbm.12368
21
Gu E. Meng T. Wang H. Zhang A. (2023). E-Government use, perceived transparency, public knowledge of government performance, and satisfaction with government: an analysis of mediating, moderating, and framing mechanisms based on the COVID-19 outbreak control survey data from China. Soc. Indic. Res.169, 79–124. 10.1007/s11205-023-03135-4
22
Han P. Kang N. (2019). Key factors analysis and assessment on open and sharing of domestic government data. Inf. Sci.37, 29–37. 10.13833/j.issn.1007-7634.2019.08.005
23
Huang C. Zhou Y. (2011). Competition theory of the local government: the origin development and limitations. J. Renmin Univ. China25, 97–103.
24
Huang R. (2020). Construction of China's government data open sharing standard system. Libr. Inf.17–19.
25
Jiang T. (2022). Mediating effects and moderating effects in causal inference. China Ind. Econ. 100–120. 10.19581/j.cnki.ciejournal.2022.05.005
26
Li Z. Yang S. (2019). Has the pilot policy of innovative city improved the level of urban innovation? Econ. Perspect. 70–85.
27
Liu H. (2023). Study on the mechanism of areas of Excellence Projects' competitive advantage in Hong Kong - an analysis based on the resource?based theory. Renmin Univ. China Educ. J.113–127.
28
Liu W. Wang Y. (2022). Effect and mechanism of digital economy empowering urban green and high-quality development. South China J. Econ.41, 73–91. 10.19592/j.cnki.scje.391931
29
Liu Y. Zhao M. Hu S. (2021). Research on government quality measurement and promotion path in digital transformation. Chin. Public Administr. 74–79. 10.19735/j.issn.1006-0863.2021.12.08
30
Ma W. Liu W. Su Q. Liu L. (2019). The analysis and development research on the present situation of China's local government open data. Digital Libr. For.34–41.
31
McGahan A. M. (2021). Integrating insights from the resource-based view of the firm into the new stakeholder theory. J. Manage.47, 1734–1756. 10.1177/0149206320987282
32
Patergiannaki Z. Pollalis Y. (2023). E-Government maturity assessment: evidence from Greek municipalities. Policy Int.15:6–35. 10.1002/poi3.317
33
Penrose E. Pitelis C. (2009). The Theory of the Growth of the Firm. Oxford: Oxford University Press.
34
Peteraf M. A. (1993). The cornerstones of competitive advantage: a resource-based view. Strat. Manag. J.14:179–191. 10.1002/smj.4250140303
35
Roth J. Sant'Anna P. H. C. Bilinski A. Poe J. (2023). What's trending in difference-in-differences? A synthesis of the recent econometrics literature. J. Econ.235, 2218–2244. 10.1016/j.jeconom.2023.03.008
36
Shadbolt N. O'Hara K. Berners-Lee T. Gibbins N. Glaser H. Hall W. et al . (2012). Linked open government data: lessons from Data.gov.uk. IEEE Intell. Syst.27, 16–24. 10.1109/MIS.2012.23
37
Shi D. Ding H. Wei P. Liu J. (2018). Can smart city construction reduce environmental pollution. China Ind. Econ: 117–135. 10.19581/j.cnki.ciejournal.2018.06.008
38
Shi J. Qi C. Mu X. (2023). Accelerating the construction of a unified domestic market to promote sustainable economic development: mechanisms, challenges and countermeasures - A perspective based on the general law of the market economy and Chinese reality. Sustainability15:8329. 10.3390/su15108329
39
Sousa-Zomer T. T. Neely A. Martinez V. (2020). Digital transforming capability and performance: a microfoundational perspective. Int. J. Operat. Prod. Manag.40, 1095–1128. 10.1108/IJOPM-06-2019-0444
40
Sun L. Abraham S. (2021). Estimating dynamic treatment effects in event studies with heterogeneous treatment effects. J. Econom.225, 175–199. 10.1016/j.jeconom.2020.09.006
41
Tian X. Zhao H. Zhang S. (2022). Mechanism and empirical test of the role of smart city construction on urban innovation outputs. Stati. Decis.38, 184–188. 10.13546/j.cnki.tjyjc.2022.17.036
42
Verhoef P. C. Broekhuizen T. Bart Y. Bhattacharya A. Qi Dong J. Fabian N. et al . (2021). Digital transformation: a multidisciplinary reflection and research agenda. J. Bus. Res.122, 889–901. 10.1016/j.jbusres.2019.09.022
43
Wang L. Yang Y. Yao F. (2023). Empirical study on evaluating information service quality of government data open platform based on public perception: taking Shanghai, Shenzhen and Guizhou government data open platforms as an example. Res. Libr. Sci. 48–58. 10.15941/j.cnki.issn1001-0424.2023.08.005
44
Wang P. Han L. (2023). Potential problems and solutions of staggered Difference-in-Difference approach. J. Dongbei Univ. Finan. Econ. 27–39. 10.19653/j.cnki.dbcjdxxb.2023.02.003
45
Wang X. Zheng L. (2019). Local government data governance for open data: issues and paths. E-Government 27–33. 10.16582/j.cnki.dzzw.2019.02.003
46
Wen Z. Ye B. (2014). Analyses of mediating effects: the development of methods and models. Adv. Psychol. Sci.22, 731–745. 10.3724/SP.J.1042.2014.00731
47
Wernerfelt B. (1984). A resource-based view of the firm. Strat. Manag. J.5, 171–180. 10.1002/smj.4250050207
48
Wernerfelt B. (1989). From critical resources to corporate strategy. J. Gen. Manag.14, 4–12. 10.1177/030630708901400301
49
Wu J. Chen X. Zhuang Y. Xu Z. (2023). Mechanisms and effects of digital economy enabling government governance efficiency improvement. Contemp. Econ.40, 3–13.
50
Xiao J. Zhang H. Han L. (2023). How digital transformation improve government performance: the mediating role of partnering agility. IEEE Access11, 59274–59285. 10.1109/ACCESS.2023.3284793
51
Xu F. (2020). Explanation of the mechanism of digital transformation of local governments - analysis based on the “Zhejiang Experience” of governmental affairs reform. E-Government. 2–19. 10.16582/j.cnki.dzzw.2020.10.001
52
Yan T. Chen Y. (2022). The impact of digital economy on high-quality development: verification based on intermediary model and threshold model. Econ. Manag.36, 1–7.
53
Yao S. Zhang Y. Zhao L. (2022). Whether the smart city pilot policy has improved the innovation level of the city?: an empirical study based on the time-varying DID. Sci. Sci. Manag. S T43, 85–99.
54
Ye L. Hou X. (2023). Data-driven digital government development: From service outsourcing to collaborative governance. J. Gansu Administr. Inst. 4–13:124.
55
Yuan Y. Dwivedi Y. K. Tan G. W. Cham T. Ooi K. Aw E. C. et al . (2023). Government digital transformation: understanding the role of government social media. Gov. Inf. Q.40:101775. 10.1016/j.giq.2022.101775
56
Zhang D. Zhang H. Fan B. (2018). The performance of local government functional transformation: concept definition, dimension design and empirical evaluation. Chin. Public Administr.33–39.
57
Zhao L. Hao W. (2023). Impact of government data opening on digital economy. Stat. Decis.39, 67–72. 10.13546/j.cnki.tjyjc.2023.18.012
58
Zhao Y. Zhang Z. Feng T. Tao K. (2019). Development of big data, institutional environment and efficiency of government governance. J. Manag. World35, 119–132. 10.19744/j.cnki.11-1235/f.2019.0152
59
Zhou L. Zhao Q. (2020). The information technology revolution and the advantages of the socialist market economy system. Theory J. 64–75. 10.14110/j.cnki.cn-37-1059/d.2020.06.008
Summary
Keywords
public data open, performance of government functions, resource-based view, digital economy, market economic system
Citation
Zhang D, Mu Z and Tan Z (2024) Effects of public data open on performance of government functions in China: the roles of digital economy and market economic system adopting the perspective of resource- based view. Front. Polit. Sci. 6:1484579. doi: 10.3389/fpos.2024.1484579
Received
22 August 2024
Accepted
30 October 2024
Published
19 November 2024
Volume
6 - 2024
Edited by
Jose M. Pavia, University of Valencia, Spain
Reviewed by
Zlatko Hadzidedic, International Center for Minority Studies and Intercultural Relations, Bulgaria
Martin Rigelsky, University of Prešov, Slovakia
Updates
Copyright
© 2024 Zhang, Mu and Tan.
This is an open-access article distributed under the terms of the Creative Commons Attribution License (CC BY). The use, distribution or reproduction in other forums is permitted, provided the original author(s) and the copyright owner(s) are credited and that the original publication in this journal is cited, in accordance with accepted academic practice. No use, distribution or reproduction is permitted which does not comply with these terms.
*Correspondence: Diandian Zhang zhangdd@sdufe.edu.cn
Disclaimer
All claims expressed in this article are solely those of the authors and do not necessarily represent those of their affiliated organizations, or those of the publisher, the editors and the reviewers. Any product that may be evaluated in this article or claim that may be made by its manufacturer is not guaranteed or endorsed by the publisher.