Abstract
Introduction:
Although the gender differences in suicide and smoking are well-known, studies exploring the impact of gender on the relationship between smoking and suicide are limited. This population-based nationwide cohort study examines the association between smoking and suicide risk among1.8 million depressed patients, analyzed separately by gender.
Methods:
This longitudinal cohort study included 1,827,249 adults diagnosed with depression between 2010 and 2015 from the Korean National Health Insurance Service database. Smoking status (never, former, current) was self-reported during health screenings, and suicides were identified via national mortality records. Cox proportional hazards models adjusted for demographic, clinical, and psychiatric covariates assessed hazard ratios (HRs) for suicide risk. Subgroup analyses explored effect modifications by covariates, including age, income, and alcohol use.
Results:
Over a median follow-up of 6.8 years, 6,318 individuals (0.35%) died by suicide. Smoking was associated with increased suicide risk in both men and women, with a stronger association in women. Current smoking showed a higher risk in women (HR = 2.646, 95% CI: 2.287-3.062) compared to men (HR = 1.376, 95% CI: 1.277-1.483). In men, factors such as younger age and alcohol consumption intensified this association, whereas in women, low income was a significant modifier; the highest suicide risk was observed in low-income former smokers.
Conclusion:
Smoking is associated with increased suicide risk among individuals with depression, with notable gender differences in risk magnitude and modifying factors. These findings highlight the need for gender-specific suicide prevention strategies. Limitations include reliance on self-reported smoking data and lack of time-varying measures of exposure.
1 Introduction
Suicide represents a critical public health concern in South Korea. Although there has been a modest reduction in recent years, South Korea’s suicide rate continues to be the highest among Organization for Economic Cooperation and Development countries, standing at 25.2 per 100,000 individuals (1). Based on the 2022 Korean suicide statistics, psychiatric issues, particularly depression, make up the majority (39.4%) of the motivations behind suicides (2). This information underscores the need for targeted suicide prevention strategies for individuals with mental disorders.
One emerging risk factor for suicide is smoking. Numerous studies have established a correlation between smoking and increased risks of suicidal ideation, attempts, and behaviors, with some further demonstrating a dose–response relationship, where heavier or more frequent smoking is associated with greater suicide risk (3–5). This link has been confirmed by recent meta-analyses (6). Smoking is more common among patients with depression (7) and correlates with an increased risk of future suicide in this demographic (8).
Male and female smokers show distinct psychological and neurobiological profiles. Men typically smoke for nicotine reinforcement, while women are influenced by non-nicotine factors, with distinct neurochemical mechanisms in the nicotinic acetylcholine and dopamine receptor systems playing a role in smoking addiction and cessation success (9). These differences extend to smoking prevalence, with a substantial sex disparity. In South Korea, the smoking rates are significantly higher among men (39.7% in 2016) than among women (3.3% in 2016) (10). Despite these well-documented differences in smoking behavior, few studies have explored whether the association between smoking and suicide risk differs by gender. Most existing research has treated gender as a covariate or control variable, rather than exploring its role as an effect modifier.
To address this gap, we hypothesize that gender significantly modifies the relationship between smoking and suicide, and that these patterns will differ by key covariates such as age, income, and alcohol use. Therefore, this population-based nationwide cohort study aims to 1) investigate whether the association between smoking and suicide risk differs by sex among patients with depression, and 2) examine whether sociodemographic and clinical factors modify this association differently in men and women.
2 Materials and methods
2.1 Study population
As with our previous research, which explored the link between physical activity and cardiovascular risk in patients with depression (11), this study also focuses on the population of patients with depression registered in the National Health Insurance Service (NHIS) database of South Korea. The NHIS administers a universal health insurance program that covers 97% of South Koreans, with the remainder enrolled in the medical aid program. The NHIS database houses anonymized medical service claims data and supports the largest national health screening program in the world. In South Korea, whenever individuals receive medical services, including outpatient visits, hospitalizations, or prescriptions, healthcare providers are required to electronically submit diagnostic and treatment information to the NHIS for reimbursement. This system allows for passive and complete follow-up of clinical outcomes through automatically collected administrative data, without the need for direct contact with participants. Mortality data are additionally linked from Statistics Korea (KOSTAT).
Figure 1 illustrated the flow diagram of the cohort selection process, including inclusion and exclusion criteria applied. A total of 4,006,869 individuals diagnosed with depression between January 1, 2010, and December 31, 2015, were identified using the International Classification of Disease, 10th Revision (ICD-10) codes F32 and F33. All diagnoses were made by licensed physicians, typically board-certified psychiatrists in clinical settings. Of these, 1,911,577 subjects who had undergone general health screenings within two years of their depression diagnosis were included. In South Korea, health screenings are typically conducted for individuals aged 20 and above; hence, the study only included those aged 20 and older. Due to incomplete health examination data, 71,209 subjects were excluded, resulting in 1,840,368 subjects with complete health examination data. A further 13,119 individuals who died by suicide within one year of the health examination were excluded to minimize reverse causality, enhancing the assessment of the long-term impact of smoking on suicide risk. These exclusions yielded a final sample of 1,827,249 subjects for analysis.
Figure 1

Selection of eligible study subjects.
We followed the participants from the index date of January 1, 2010, until December 31, 2022, or until a suicide occurred during this period, which defined the follow-up period. Patient death and the end of the follow-up period were considered censoring events. Due to its retrospective design and the utilization of de-identified data, this study received an exemption from review by the Institutional Review Board of Samsung Medical Center (No. SMC 2022-10-140).
2.2 Smoking status
Participants’ smoking status was assessed through a self-administered questionnaire during health screenings conducted subsequent to their depression diagnosis. We classified participants into three groups based on their smoking status: never smoker, former smoker, or current smoker. The never smoker group was defined as those who indicated they had never smoked in their lifetime during the health screening. The former smoker group included individuals who had previously smoked but had quit, while the current smoker group consisted of those who reported they were actively smoking. These categories were selected to differentiate various levels of smoking exposure and evaluate their potential effects on health outcomes. Additionally, current and former smokers provided details about the total duration of smoking (in years) and the quantity smoked (in packs) to more precisely quantify smoking exposure and assess its potential impact on health outcomes.
2.3 Death by suicide
The primary outcome measured was the incidence of death by suicide during the follow-up period. Suicides were identified using the Korean cause of death data, which were linked to KOSTAT database. In this database, deaths by suicide were classified under the codes X60-X84.
2.4 Covariates
Low income was defined as below 25% of the national average, calculated from health insurance payments based on income levels in South Korea and encompassing those receiving medical aid. Alcohol consumption data were gathered through a self-administered questionnaire during post-diagnosis health screenings, classifying participants into ‘yes’ or ‘no’ categories based on whether their daily intake exceeded 0 grams of pure alcohol. Regular physical activity was engaging in moderate exercise on ≥ 5 days per week or vigorous exercise on ≥ 3 days per week. Body mass index (BMI) was derived from weight and height measurements, with obesity categorized as a BMI ≥ 25 kg/m². Data on glomerular filtration rate, systolic and diastolic blood pressure, and total cholesterol levels were also collected. Conditions such as diabetes mellitus (ICD-10 codes E11-E14 with related medication claims or fasting glucose ≥ 126 mg/dL), hypertension (ICD-10 codes I10-I15 with use of antihypertensive medications or blood pressure ≥140/90 mmHg), dyslipidemia (ICD-10 code E78 with antidyslipidemic medication claims or total cholesterol ≥ 240 mg/dL), and chronic kidney disease (estimated glomerular filtration rate < 60 mL/min/1.73m2) were recorded.
Data on comorbid psychiatric conditions and concomitant psychotropic medication utilization within one year following the onset of depression were obtained from insurance claims. Comorbid psychiatric conditions included schizophrenia spectrum disorders (ICD-10 codes F20-29), bipolar and related disorders (primary diagnoses for ICD-10 codes F30, F31, F34.0), anxiety disorders (primary diagnoses for ICD-10 codes F40, F41), obsessive-compulsive disorder (ICD-10 code F42), substance use disorder (ICD-10 codes F10-F19, including alcohol), intellectual developmental disorder (ICD-10 codes F70–79 or main disability cause ‘Intellectual Disability (06)’), major neurocognitive disorder (ICD-10 codes F00–03, G30–31), insomnia disorder (ICD-10 codes G47.0 and F51.0), alcohol use disorder (ICD-10 code F10), eating disorders (ICD-10 code F50), personality disorders (ICD-10 codes F60 and F61), autism spectrum disorder (ICD-10 code F84 or main disability cause ‘Autistic Disorder (07)’), post-traumatic stress disorder (PTSD) (ICD-10 code F43.1), attention-deficit hyperactivity disorder (ADHD) (ICD-10 code F90), and traumatic brain injury (ICD-10 code S06). Concomitant psychotropic medications included antidepressants, antipsychotics, anxiolytics, mood stabilizers, psychostimulants, and Z-drugs, as detailed in Supplementary Table 1.
2.5 Statistical analysis
Baseline characteristics of the study population were summarized by sex. Continuous variables were presented as means with standard deviations, while categorical variables were denoted as frequencies and percentages. One-way analysis of variance and chi-square tests were utilized for group comparisons. Cox proportional hazards regression models were estimated hazard ratios (HRs) and 95% confidence intervals (CIs) for the association between changes in smoking status and suicide risk. Incidence rates were expressed per 1,000 person-years.
Five models were developed for this analysis: Model 1 was non-adjusted; Model 2 was adjusted for age, low income, alcohol consumption, and regular physical activity to address basic demographic and lifestyle factors; Model 3 incorporated all variables from Model 2 plus comorbid physical illnesses such as obesity, diabetes mellitus, hypertension, dyslipidemia, and chronic kidney disease; Model 4 added to Model 3 comorbid psychiatric conditions including schizophrenia spectrum disorder, bipolar and related disorders, anxiety disorders, obsessive-compulsive disorder, substance use disorder, intellectual developmental disorder, major neurocognitive disorder, insomnia disorder, alcohol use disorder, eating disorder, personality disorder, autism spectrum disorder, PTSD, ADHD, and traumatic brain injury; and Model 5 integrated all variables from Model 4 along with concomitant psychotropic medications such as antidepressants, antipsychotics, anxiolytics, mood stabilizers, psychostimulants, and Z-drugs. The cumulative incidence of suicide during the follow-up period was estimated using Kaplan-Meier curves, stratified by smoking status, with differences assessed via the log-rank test.
Sensitivity analyses assessed the impact of cumulative smoking exposure post-depression diagnosis on suicide risk. Smoking exposure was quantified in pack-years (PYs), defined as the number of packs smoked per day times the years of smoking. Participants identified as current or former smokers at the health examination were classified into groups of < 5 PYs and ≥ 5 PYs, reflecting the average cumulative smoking amount of approximately 5 PYs observed among female smokers in our sample. Cox proportional hazards models, with adjustments akin to those used in the main analysis, estimated HRs for each category.
Subgroup analyses were conducted to explore the influences of covariates on the association between smoking and suicide, incorporating interaction terms in the Cox models to check for potential effect modification. All analyses were conducted using SAS version 9.4 (SAS Institute Inc., Cary, NC, USA).
3 Results
3.1 Baseline characteristics of study population
Table 1 summarized the baseline demographic and clinical characteristics of the study population by sex. Of the total 1,827,249 individuals with depression, 60.3% were women. The mean age was 56.02 years, with a majority aged between 40 and 64 years.
Table 1
| Variable | Total | Sex | |||
|---|---|---|---|---|---|
| Men | Women | P | |||
| N | 1,827,249 | 725,792 (39.72) | 1,101,457 (60.28) | <.0001 | |
| Smoking Status | <.0001 | ||||
|  Never | 1,273,972 (69.72) | 240,194 (33.09) | 1,033,778 (93.86) | ||
|  Former | 263,666 (14.43) | 240,426 (33.13) | 23,240 (2.11) | ||
|  Current | 289,611 (15.85) | 245,172 (33.78) | 44,439 (4.03) | ||
| Smoking Status with Cumulative Amount | <.0001 | ||||
|  Never | 1,273,972 (69.72) | 240,194 (33.09) | 1,033,778 (93.86) | ||
|  Former < 5 Pack-Years | 49,898 (2.73) | 35,556 (4.90) | 14,342 (1.30) | ||
|  Former ≥ 5 Pack-Years | 213,768 (11.70) | 204,870 (28.23) | 8,898 (0.81) | ||
|  Current < 5 Pack-Years | 42,364 (2.32) | 23,919 (3.30) | 18,445 (1.67) | ||
|  Current ≥ 5 Pack-Years | 247,247 (13.53) | 221,253 (30.48) | 25,994 (2.36) | ||
| Age | 56.02 ± 13.97 | 55.41 ± 14.32 | 56.42 ± 13.72 | <.0001 | |
|  20–39 years | 215,342 (11.79) | 108,187 (14.91) | 107,155 (9.73) | ||
|  40–64 years | 1,092,394 (59.78) | 410,135 (56.51) | 682,259 (61.94) | ||
|  ≥65 years | 519,513 (28.43) | 207,470 (28.59) | 312,043 (28.33) | ||
| Low Income | 402,627 (22.03) | 133,766 (18.43) | 268,861 (24.41) | <.0001 | |
| Alcohol Consumption | 613,714 (33.59) | 397,522 (54.77) | 216,192 (19.63) | <.0001 | |
| Regular Physical Activity | 351,694 (19.25) | 161,704 (22.28) | 189,990 (17.25) | <.0001 | |
| Obesity | 621,093 (33.99) | 271,633 (37.43) | 349,460 (31.73) | <.0001 | |
| Diabetes Mellitus | 267,271 (14.63) | 129,022 (17.78) | 138,249 (12.55) | <.0001 | |
| Hypertension | 692,020 (37.87) | 297,235 (40.95) | 394,785 (35.84) | <.0001 | |
| Dyslipidemia | 576,957 (31.58) | 209,610 (28.88) | 367,347 (33.35) | <.0001 | |
| Chronic Kidney Disease | 127,793 (6.99) | 44,698 (6.16) | 83,095 (7.54) | <.0001 | |
| Comorbid Psychiatric Illnesses | 661,721 (36.21) | 259,790 (35.79) | 401,931 (36.49) | <.0001 | |
|  Schizophrenia | 36,855 (2.02) | 17,689 (2.44) | 19,166 (1.74) | <.0001 | |
|  Bipolar Disorder | 12,561 (0.69) | 5,518 (0.76) | 7,043 (0.64) | <.0001 | |
|  Anxiety Disorder | 178,102 (9.75) | 67,531 (9.30) | 110,571 (10.04) | <.0001 | |
|  Obsessive-Compulsive Disorder | 10,652 (0.58) | 5,285 (0.73) | 5,367 (0.49) | <.0001 | |
|  Substance Use Disorder | 47,034 (2.57) | 36,153 (4.98) | 10,881 (0.99) | <.0001 | |
|  Intellectual Developmental Disorder | 5,893 (0.32) | 3,259 (0.45) | 2,634 (0.24) | <.0001 | |
|  Dementia | 49,635 (2.72) | 18,418 (2.54) | 31,217 (2.83) | <.0001 | |
|  Insomnia disorder | 453,671 (24.83) | 168,056 (23.15) | 285,615 (25.93) | <.0001 | |
|  Alcohol Use Disorder | 43,258 (2.37) | 34,278 (4.72) | 8,980 (0.82) | <.0001 | |
|  Eating Disorder | 5,620 (0.31) | 1,348 (0.19) | 4,272 (0.39) | <.0001 | |
|  Personality Disorder | 4,029 (0.22) | 2,189 (0.30) | 1,840 (0.17) | <.0001 | |
|  Autism Spectrum Disorder | 298 (0.02) | 225 (0.03) | 73 (0.01) | <.0001 | |
|  Post-Traumatic Stress Disorder | 5,859 (0.32) | 2,303 (0.32) | 3,556 (0.32) | 0.5171 | |
|  Attention-Deficit Hyperactivity Disorder | 1,836 (0.10) | 1,074 (0.15) | 762 (0.07) | <.0001 | |
|  Traumatic Brain Injury | 55,645 (3.05) | 25,212 (3.47) | 30,433 (2.76) | <.0001 | |
|  Psychotropic Medications | 1,769,682 (96.85) | 699,149 (96.33) | 1,070,533 (97.19) | <.0001 | |
|  Antidepressants | 1,486,224 (81.34) | 589,824 (81.27) | 896,400 (81.38) | 0.0473 | |
|  Antipsychotics | 138,998 (7.61) | 61,959 (8.54) | 77,039 (6.99) | <.0001 | |
|  Anxiolytics | 1,332,338 (72.91) | 491,806 (67.76) | 840,532 (76.31) | <.0001 | |
|  Mood Stabilizers | 98,009 (5.36) | 44,677 (6.16) | 53,332 (4.84) | <.0001 | |
|  Psychostimulants | 53,393 (2.92) | 15,860 (2.19) | 37,533 (3.41) | <.0001 | |
|  Z-drugs | 335,474 (18.36) | 124,029 (17.09) | 211,445 (19.20) | <.0001 | |
| All-Cause Death | 129,695 (7.10) | 74,103 (10.21) | 55,592 (5.05) | <.0001 | |
|  Death by Suicide | 6,318 (0.35) | 4,330 (0.60) | 1,988 (0.18) | <.0001 | |
| Follow-Up Duration | |||||
|  Mean ± Standard Deviation | 6.78 ± 1.99 | 6.61 ± 2.07 | 6.89 ± 1.93 | <.0001 | |
|  Median (Quartile 1 - Quartile 3) | 6.80 (5.25 - 8.30) | 6.61 (5.14 - 8.17) | 6.96 (5.37 - 8.41) | <.0001 | |
Baseline demographic and clinical characteristics of participants by sex.
PY, pack-year.
Data are expressed as the mean standard deviation, or n (%).
*One-way analysis of variance or chi-square test was done. With p <0.05 indicating statistical significance.
Smoking status differed markedly by gender. Among men, current and former smokers each accounted for approximately one-third of the group, whereas nearly 94% of women were never smokers. When cumulative smoking amount was considered, over 90% of male current smokers had smoked ≥5 pack-years, compared to only 58.5% of female current smokers. Men had higher rates of alcohol consumption, regular physical activity, obesity, and metabolic comorbidities such as diabetes and hypertension. Women had a higher prevalence of most psychiatric conditions, including anxiety, insomnia, and eating disorders, and were more frequently prescribed psychotropic medications—particularly anxiolytics and Z-drugs.
3.2 Gender differences in the association of smoking status with suicide risk in depression
The association between smoking status and suicide risk was analyzed separately for men and women (Table 2). For men, never smokers served as the reference group with a suicide incidence rate of 0.850 per 1,000 person-years. Former smokers exhibited a consistently lower suicide risk than never smokers across all models, with the fully adjusted hazard ratio (Model 5) being 0.911 (95% CI: 0.842-0.986). Current smokers, on the other hand, had a significantly higher suicide risk than never smokers, with a fully adjusted hazard ratio of 1.376 (95% CI: 1.277-1.483). For women, former smokers displayed a significantly higher suicide risk than never smokers, with a fully adjusted hazard ratio (Model 5) of 2.111 (95% CI: 1.679-2.656). The highest suicide risk was observed among current smokers, with a fully adjusted hazard ratio of 2.646 (95% CI: 2.287-3.062).
Table 2
| Outcome | Smoking in men | Smoking in women | P for interaction | ||||
|---|---|---|---|---|---|---|---|
| Never | Former | Current | Never | Former | Current | ||
| N | 240,194 | 240,426 | 245,172 | 1,033,778 | 23,240 | 44,439 | |
| Suicide | 1,336 | 1,188 | 1,806 | 1,701 | 77 | 210 | |
| Duration | 1,572,153.54 | 1,576,739.87 | 1,646,218.85 | 7,122,821.77 | 156,595.87 | 306,154.66 | |
| Incidence Rate | 0.850 | 0.753 | 1.097 | 0.239 | 0.492 | 0.686 | |
| Model 1 | 1 (Reference) | 0.886 (0.820, 0.958) | 1.294 (1.205, 1.388) | 1 (Reference) | 2.055 (1.636, 2.582) | 2.873 (2.489, 3.315) | <.0001 |
| Model 2 | 1 (Reference) | 0.921 (0.851, 0.996) | 1.579 (1.467, 1.700) | 1 (Reference) | 2.472 (1.966, 3.109) | 3.439 (2.975, 3.975) | <.0001 |
| Model 3 | 1 (Reference) | 0.927 (0.857, 1.003) | 1.560 (1.449, 1.679) | 1 (Reference) | 2.439 (1.939, 3.067) | 3.362 (2.908, 3.887) | <.0001 |
| Model 4 | 1 (Reference) | 0.910 (0.841, 0.985) | 1.387 (1.287, 1.495) | 1 (Reference) | 2.177 (1.730, 2.738) | 2.783 (2.405, 3.219) | <.0001 |
| Model 5 | 1 (Reference) | 0.911 (0.842, 0.986) | 1.376 (1.277, 1.483) | 1 (Reference) | 2.111 (1.679, 2.656) | 2.646 (2.287, 3.062) | <.0001 |
Cox regression analyses of the association between smoking status and suicide risk in depression, segregated by sex.
Incidence rates are per 1,000 person-years. Hazard ratios and 95% confidence intervals are provided for each model.
Model 1: Unadjusted.
Model 2: Adjusted for sex, age, low income, alcohol consumption, and regular physical activity.
Model 3: Includes adjustments from Model 2 plus obesity, diabetes mellitus, hypertension, dyslipidemia, and chronic kidney disease.
Model 4: Extends Model 3 by adjusting for schizophrenia, bipolar disorder, anxiety disorder, obsessive-compulsive disorder, substance use disorder, intellectual developmental disorder, dementia, insomnia disorder, alcohol use disorder, eating disorder, personality disorder, autism spectrum disorder, post-traumatic stress disorder, attention-deficit hyperactivity disorder, and traumatic brain injury.
Model 5: Adds to Model 4 adjustments for antidepressants, antipsychotics, anxiolytics, mood stabilizers, psychostimulants, and Z-drugs.
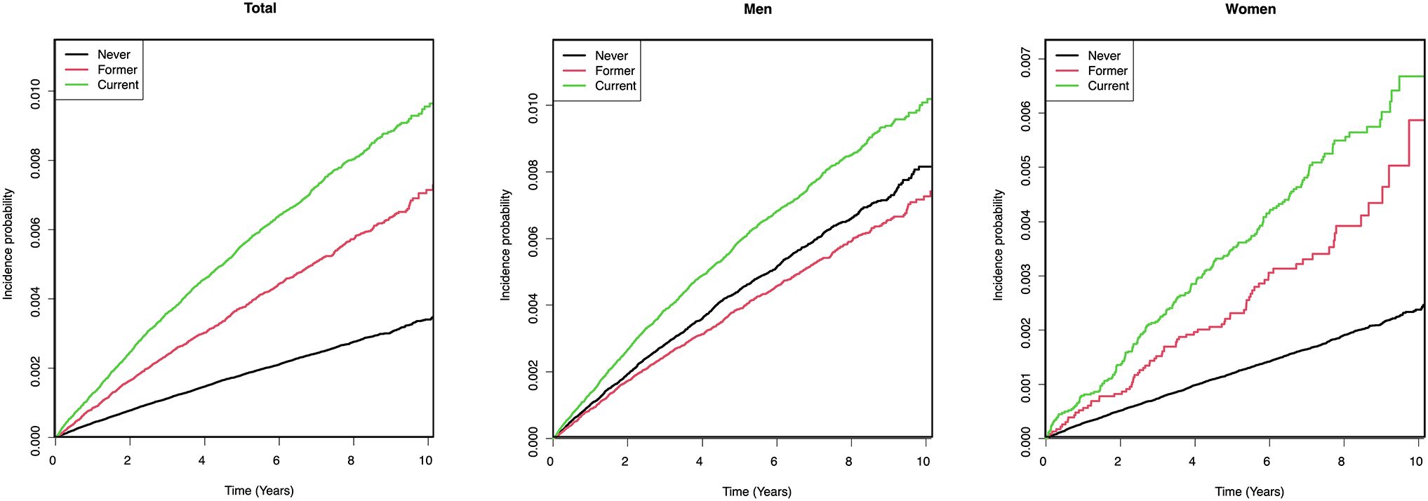
Figure 2 presents Kaplan–Meier survival curves showing the cumulative incidence of suicide according to smoking status. In both genders, current smokers exhibited the highest cumulative suicide risk, followed by former smokers and never smokers. The cumulative suicide risk increased more steeply by smoking status in women than in men, especially among current smokers. Among men, former smokers showed slightly lower cumulative risk than never smokers. The curves appeared nearly linear over time, indicating a steady accumulation of suicide risk throughout the follow-up period.
Figure 2

Adjusted Kaplan-Meier curves of cumulative incidence of suicide by smoking status in depressed patients.
Sensitivity analyses examined the association between smoking status, cumulative smoking amount, and suicide risk for both sexes. Former and current smokers were categorized into those with less than 5 PYs and those with 5 or more PYs. The results demonstrate that the overall patterns observed in the initial analysis remain consistent, regardless of cumulative smoking amounts (Supplementary Table 2).
3.3 Sex differences in effect modification of covariates on the association between smoking status and suicide risk in depression
Subgroup analyses explored how various covariates affect the relationship between smoking status and suicide risk in men and women (Table 3). For men, younger age groups (20–39 years) who were current smokers had a significantly higher suicide risk (HR: 1.697, 95% CI: 1.329-2.169), while those aged 40–64 years (HR: 1.583, 95% CI: 1.421-1.762) also showed elevated risk with a significant interaction (p for interaction = 0.0002). Alcohol consumption increased the risk among current smokers, with non-drinkers (HR: 1.356, 95% CI: 1.224-1.502) and drinkers (HR: 1.563, 95% CI: 1.394-1.753) both exhibiting significant risks and a notable interaction (p for interaction = 0.0302). A borderline significant interaction was observed for obesity, with non-obese men having a higher risk (HR: 1.477, 95% CI: 1.350-1.615, p for interaction = 0.0538).
Table 3
| Variable | Smoking status | ||||
|---|---|---|---|---|---|
| Never | Former | Current | P for interaction | ||
| Men | |||||
| Age | 20–39 years | 1 (Reference) | 0.975 (0.692, 1.374) | 1.697 (1.329, 2.169) | 0.0002 |
| 40–64 years | 1 (Reference) | 0.868 (0.767, 0.982) | 1.583 (1.421, 1.762) | ||
| 65 years and older | 1 (Reference) | 0.981 (0.881, 1.091) | 1.228 (1.083, 1.393) | ||
| Income | Other | 1 (Reference) | 0.932 (0.853, 1.018) | 1.439 (1.320, 1.570) | 0.3371 |
| Lowest | 1 (Reference) | 0.859 (0.723, 1.021) | 1.514 (1.310, 1.751) | ||
| Alcohol Consumption | No | 1 (Reference) | 0.944 (0.853, 1.044) | 1.356 (1.224, 1.502) | 0.0302 |
| Yes | 1 (Reference) | 0.901 (0.793, 1.024) | 1.563 (1.394, 1.753) | ||
| Regular Physical Activity | No | 1 (Reference) | 0.908 (0.829, 0.994) | 1.457 (1.339, 1.586) | 0.9051 |
| Yes | 1 (Reference) | 0.944 (0.806, 1.106) | 1.470 (1.252, 1.724) | ||
| Obesity | No | 1 (Reference) | 0.974 (0.886, 1.070) | 1.477 (1.350, 1.615) | 0.0538 |
| Yes | 1 (Reference) | 0.800 (0.694, 0.922) | 1.429 (1.252, 1.631) | ||
| Diabetes Mellitus | No | 1 (Reference) | 0.932 (0.852, 1.020) | 1.494 (1.372, 1.626) | 0.4815 |
| Yes | 1 (Reference) | 0.866 (0.735, 1.020) | 1.346 (1.153, 1.571) | ||
| Comorbid Psychiatric Illness | No | 1 (Reference) | 0.911 (0.807, 1.028) | 1.479 (1.319, 1.658) | 0.9097 |
| Yes | 1 (Reference) | 0.920 (0.830, 1.020) | 1.447 (1.311, 1.596) | ||
| Psychotropic Medications | No | 1 (Reference) | 0.808 (0.654, 1.000) | 1.407 (1.164, 1.701) | 0.4447 |
| Yes | 1 (Reference) | 0.935 (0.859, 1.018) | 1.470 (1.355, 1.595) | ||
| Women | |||||
| Age | 20–39 years | 1 (Reference) | 1.998 (1.265, 3.157) | 2.833 (2.101, 3.819) | 0.0804 |
| 40–64 years | 1 (Reference) | 2.045 (1.534, 2.728) | 2.210 (1.823, 2.678) | ||
| 65 years and older | 1 (Reference) | 0.889 (0.398, 1.987) | 1.557 (0.974, 2.489) | ||
| Income | Other | 1 (Reference) | 1.551 (1.145, 2.102) | 2.422 (2.019, 2.905) | 0.0436 |
| Lowest | 1 (Reference) | 2.448 (1.713, 3.497) | 1.933 (1.489, 2.509) | ||
| Alcohol Consumption | No | 1 (Reference) | 1.899 (1.401, 2.576) | 2.051 (1.659, 2.535) | 0.4530 |
| Yes | 1 (Reference) | 1.809 (1.264, 2.588) | 2.472 (1.978, 3.089) | ||
| Regular Physical Activity | No | 1 (Reference) | 1.793 (1.385, 2.321) | 2.133 (1.804, 2.521) | 0.2636 |
| Yes | 1 (Reference) | 2.077 (1.233, 3.496) | 2.896 (2.046, 4.098) | ||
| Obesity | No | 1 (Reference) | 1.864 (1.433, 2.424) | 2.381 (2.013, 2.816) | 0.2644 |
| Yes | 1 (Reference) | 1.779 (1.095, 2.892) | 1.732 (1.217, 2.463) | ||
| Diabetes Mellitus | No | 1 (Reference) | 1.851 (1.448, 2.367) | 2.362 (2.013, 2.772) | 0.1401 |
| Yes | 1 (Reference) | 1.795 (0.886, 3.633) | 1.384 (0.832, 2.304) | ||
| Comorbid Psychiatric Illness | No | 1 (Reference) | 1.850 (1.207, 2.836) | 2.859 (2.202, 3.713) | 0.0924 |
| Yes | 1 (Reference) | 1.806 (1.372, 2.378) | 2.017 (1.678, 2.424) | ||
| Psychotropic Medications | No | 1 (Reference) | 1.509 (0.710, 3.207) | 2.257 (1.439, 3.540) | 0.8579 |
| Yes | 1 (Reference) | 1.884 (1.476, 2.403) | 2.238 (1.904, 2.631) | ||
Effect modification by demographic and clinical factors on the association between smoking status and suicide risk in depression.
The model is adjusted for sex, age, low income, alcohol consumption, regular physical activity, as well as for medical condition including obesity, diabetes mellitus, hypertension, dyslipidemia, and chronic kidney disease. It also accounts for psychiatric conditions such as schizophrenia, bipolar disorder, anxiety disorder, obsessive-compulsive disorder, substance use disorder, intellectual developmental disorder, dementia, insomnia disorder, alcohol use disorder, eating disorder, personality disorder, autism spectrum disorder, post-traumatic stress disorder, attention-deficit hyperactivity disorder, and traumatic brain injury. Furthermore, the model includes adjustments for the use of psychotropic medications including antidepressants, antipsychotics, anxiolytics, mood stabilizers, psychostimulants, and Z-drugs.
The bold values indicate statistical significance at p < 0.05.
For women, low-income individuals with depression who were former smokers exhibited a higher suicide risk (HR: 2.448, 95% CI: 1.713-3.497) compared to current smokers (HR: 1.933, 95% CI: 1.489-2.509), while women from other income groups showed the highest suicide risk as current smokers (HR: 2.422, 95% CI: 2.019-2.905).
4 Discussion
This study revealed that smoking significantly affects suicide risk among individuals with depression, with former and current smokers exhibiting higher risks than never smokers. Smoking increased the risk of suicide for depressed patients of both genders, though women experienced a higher increase. In men, former smokers had a lower suicide risk than never smokers, whereas in women, the risk escalated from never smokers to former and current smokers. For men, factors such as younger age and alcohol consumption intensified the link between smoking and suicide. In women, low income altered the risk, with the highest risk observed among former smokers in the low-income group.
Our results underscore the gender differences in the relationship between smoking and suicide risk among depressed patients. Although men in our cohort had a higher overall smoking rate than women, the association between smoking and increased suicide risk was more pronounced in women. The differential effect by gender may arise from psychological variances between male and female smokers. Women tend to smoke to manage anxiety and depression and face more challenges in quitting due to changes in hypothalamic-pituitary-adrenocortical axis function during nicotine withdrawal (12). According to a study by Komiyama et al. on sex differences in nicotine dependency and depressive tendency among smokers, women smokers show higher depressive tendencies and have more difficulty in quitting smoking than men (13), potentially raising their suicide risk. In our sample, female smokers, whether current or former, had higher rates of comorbid psychiatric disorders than those who never smoked, whereas in men, rates of psychiatric comorbidities were similar across smoking statuses (Supplementary Table 3). This suggests that more severe psychiatric issues among female smokers may contribute to their increased suicide risk. Moreover, the stronger association observed in women may partly reflect cultural selection effects. In South Korea, where female smoking is socially stigmatized, women who smoke may represent a more psychologically vulnerable subgroup. In contrast, male smoking is more culturally normative and widespread, encompassing individuals with a broader range of psychological profiles (14). As a result, smoking among women may act as a marker of underlying vulnerability, contributing to the stronger link with suicide risk.
The pattern of suicide risk across smoking statuses differed notably by sex. Among men, former smokers exhibited a lower suicide risk than never smokers, whereas among women, suicide risk increased progressively from never to former to current smokers. The reduced suicide risk observed among male former smokers does not correspond with findings from earlier studies (3, 5, 15). Echeverria et al.’s meta-analysis suggested that former smokers have a higher relative risk of suicide than never smokers, although sex differences were not analyzed (15). Similarly, Miller et al.’s study, involving over 50,000 men, demonstrated a dose-dependent relationship between smoking and suicide, finding statistical significance only among heavy smokers (defined as individuals who smoke 15 or more cigarettes per day) (3). One plausible explanation is that male former smokers may be more proactive in managing their health (healthy quitter effect). In our study, male former smokers exhibited higher rates of physical comorbidities, such as obesity and diabetes, compared to never smokers and current smokers, a trend not observed in women (Supplementary Table 3). This suggests that men might quit smoking after being diagnosed with physical health issues to enhance their well-being. A recent nationwide cohort study identified a correlation between a healthy lifestyle and an increased sense of life purpose (16), which could act as a protective factor against suicide. Frequent hospital visits due to illness might also contribute to reducing the suicide risk (17). These visits enable regular monitoring of patients’ physical and mental health (18), facilitating the early detection of suicidal thoughts and behaviors. Additionally, they provide social interaction with healthcare staff and other patients, mitigating isolation and loneliness, and building trust and rapport with healthcare providers (19), which encourages patients to discuss their struggles and seek assistance. It is also possible that competing risks, such as increased mortality from physical illness in current smokers, may partially account for the relatively lower observed suicide risk in former smokers. Nonetheless, this interpretation should be made with caution given the observational nature of our study and the potential for residual confounding.
The factors that modified the association between smoking and suicide risk also differed by gender, suggesting distinct underlying mechanisms. Among men, younger age and alcohol consumption significantly amplified the suicide risk associated with smoking. These patterns suggest a stronger influence of neurobiological mechanisms, such as nicotine’s inhibition of monoamine oxidase and its impact on impulsivity (20), particularly in younger brains with greater plasticity (21). The pattern may also reflect a cohort effect. Younger male smokers in South Korea, where anti-smoking norms have strengthened since the mid-1990s, may represent a subgroup with higher psychological vulnerability (14, 22). The concurrent use of alcohol likely compounds these effects. Prior studies show a synergistic risk of suicide from smoking and alcohol use, particularly in men (23–25). In contrast, among women, low socioeconomic status significantly modified the smoking–suicide association. Former smokers in the lowest income group had a higher suicide risk than current smokers, possibly due to nicotine withdrawal exacerbated by the lack of protective resources. Withdrawal severity is often greater in women and linked to worse psychiatric symptoms (26, 27). Competing risk may also play a role. Current smokers in low-income groups may die earlier from other health conditions before suicide occurs (28). Overall, these findings suggest that while biological vulnerability may be more influential in men, psychosocial stressors may be more central in women. Although our study was not designed to directly investigate biological mechanisms, the observed gender-specific patterns underscore the need for future research, including neurobiological studies, to elucidate the underlying causal pathways.
Our findings highlight the need for gender-specific suicide prevention strategies among smokers with depression. Among men, younger individuals and those with alcohol use showed the greatest vulnerability. In our cohort, 14.9% of men were aged 20–39 and 54.8% reported alcohol consumption—subgroups in which smoking was most strongly associated with suicide (Table 1). Targeted interventions focusing on smoking cessation, impulse control, and alcohol use management in these men may yield substantial preventive benefits. Among women, low socioeconomic status emerged as a key modifier of the smoking–suicide association. Notably, former smokers in the lowest income group had a higher suicide risk than current smokers, suggesting unmet needs related to nicotine withdrawal and psychosocial stress. Enhancing cessation support and mental health care for low-income women could help mitigate this risk. Overall, tailoring tobacco control and suicide prevention efforts by gender and social context may enhance their effectiveness in high-risk psychiatric populations.
Our study has several limitations. First, smoking status was assessed through self-administered questionnaires at one health examination, which are subject to recall and social desirability biases (29, 30). This issue may be particularly salient among women, for whom smoking has been socially stigmatized in South Korea. The data captured average daily use and total years of smoking for conventional cigarettes only, without accounting for changes over time or the use of e-cigarettes and other tobacco products. These limitations may have affected the accuracy of exposure measurement. Although we calculated cumulative smoking exposure using pack-years and conducted a sensitivity analysis based on <5 PYs vs. ≥5 PYs, this measure may still fail to reflect the full complexity of individual smoking patterns, such as intermittent use or low-intensity daily smoking. Second, the use of baseline-only data limits the ability to capture dynamic changes in smoking behavior over time, such as cessation, relapse, or changes in intensity, which may differentially influence suicide risk (31, 32). Third, the exclusion of individuals who died by suicide within one year of the health examination aimed to minimize reverse causality but may introduce ‘over-exclusion’. Suicides often occur early in the diagnosis of depression (33), and these excluded individuals might differ from those who survived longer, potentially leading to a conservative estimation of suicide risk. Fourth, despite adjusting for numerous covariates, residual confounding due to unmeasured or inadequately measured variables may still affect the results. Factors such as genetic predisposition, depression severity, nicotine dependence, trauma history, and social support were not considered in the analysis. While we adjusted for multiple physical and psychiatric conditions, the interplay between these conditions and their cumulative impact on suicide risk relative to smoking status may not be fully captured.
5 Conclusion
This study offers an in-depth analysis of the association between smoking status and suicide risk, revealing significant gender differences in the relationships within a large cohort of individuals diagnosed with depression. Smoking elevates the risk of suicide for both genders, with a more pronounced risk in women. For men, the association between smoking and suicide risk is intensified by younger age and alcohol consumption. For women, low income is a significant factor, with the highest suicide risk observed in low-income former smokers. Our findings underscore the importance of targeted smoking cessation programs that incorporate robust mental health support, particularly for vulnerable populations. Future research should aim to elucidate sex-specific mechanisms underlying the smoking–suicide relationship.
Statements
Data availability statement
The data analyzed in this study is subject to the following licenses/restrictions: Korean National Health Insurance Service (NHIS). These data are not publicly accessible due to licensing restrictions for the current study. Requests to access these datasets should be directed to Kyungdo Han, hkd917@naver.com.
Ethics statement
The requirement of ethical approval was waived by the Institutional Review Board of Samsung Medical Center for the studies involving humans because its retrospective design and the utilization of de-identified data. The studies were conducted in accordance with the local legislation and institutional requirements. The ethics committee/institutional review board also waived the requirement of written informed consent for participation from the participants or the participants’ legal guardians/next of kin because this retrospective study used de-identified health insurance data that could not be linked back to individuals, posing no additional risk and making re-contact unfeasible.
Author contributions
YJ: Conceptualization, Writing – original draft, Writing – review & editing. HK: Conceptualization, Writing – review & editing. J-HJ: Conceptualization, Formal Analysis, Investigation, Methodology, Writing – review & editing. KH: Conceptualization, Methodology, Resources, Supervision, Writing – review & editing. HJ: Conceptualization, Funding acquisition, Methodology, Resources, Supervision, Writing – review & editing.
Funding
The author(s) declare financial support was received for the research and/or publication of this article. This study was supported by a Samsung Medical Center grant (SMO1161491, PI Hong Jin Jeon). It was also supported by a grant (No. HR21C0885) of the Korea Health Technology R&D Project through the Korea Health Industry Development Institute (KHIDI) funded by the Ministry of Health & Welfare, Republic of Korea.
Acknowledgments
We would like to thank Harrisco (www.harrisco.net) for the English language editing.
Conflict of interest
The authors declare that the research was conducted in the absence of any commercial or financial relationships that could be construed as a potential conflict of interest.
The author(s) declared that they were an editorial board member of Frontiers, at the time of submission. This had no impact on the peer review process and the final decision.
Generative AI statement
The author(s) declare that no Generative AI was used in the creation of this manuscript.
Any alternative text (alt text) provided alongside figures in this article has been generated by Frontiers with the support of artificial intelligence and reasonable efforts have been made to ensure accuracy, including review by the authors wherever possible. If you identify any issues, please contact us.
Publisher’s note
All claims expressed in this article are solely those of the authors and do not necessarily represent those of their affiliated organizations, or those of the publisher, the editors and the reviewers. Any product that may be evaluated in this article, or claim that may be made by its manufacturer, is not guaranteed or endorsed by the publisher.
Supplementary material
The Supplementary Material for this article can be found online at: https://www.frontiersin.org/articles/10.3389/fpsyt.2025.1564915/full#supplementary-material
References
1
Sun-young L . A closer look into Korea’s suicide statistics (2023). Available online at: https://www.koreaherald.com/view.php?ud=20231226000607 (Accessed Aug 4, 2024).
2
Korea S . 2022 cause of death statistics. (2023). Available online at: https://kostat.go.kr (Accessed July 8, 2024).
3
Miller M Hemenway D Rimm E . Cigarettes and suicide: a prospective study of 50,000 men. Am J Public Health. (2000) 90:768–73. doi: 10.2105/AJPH.90.5.768
4
Boden JM Fergusson DM Horwood LJ . Cigarette smoking and suicidal behaviour: results from a 25-year longitudinal study. Psychol Med. (2008) 38:433–9. doi: 10.1017/S0033291707001547
5
Evins AE Korhonen T Kinnunen TH Kaprio J . Prospective association between tobacco smoking and death by suicide: a competing risks hazard analysis in a large twin cohort with 35-year follow-up. Psychol Med. (2017) 47:2143–54. doi: 10.1017/S0033291717000587
6
Poorolajal J Darvishi N . Smoking and suicide: A meta-analysis. PloS One. (2016) 11:e0156348. doi:Â 10.1371/journal.pone.0156348
7
Jeon YJ Pyo J Park YK Ock M . Health behaviors in major chronic diseases patients: trends and regional variations analysis 2008-2017, Korea. BMC Public Health. (2020) 20:1813. doi:Â 10.1186/s12889-020-09940-7
8
Holma KM Holma I Ketokivi M Oquendo MA Isometsä E . The relationship between smoking and suicidal behavior in psychiatric patients with major depressive disorder. Arch Suicide Res. (2019) 23:590–604. doi: 10.1080/13811118.2018.1480986
9
Verplaetse TL Morris ED McKee SA Cosgrove KP . Sex differences in the nicotinic acetylcholine and dopamine receptor systems underlying tobacco smoking addiction. Curr Opin Behav Sci. (2018) 23:196–202. doi: 10.1016/j.cobeha.2018.04.004
10
Chang Y Kang HY Lim D Cho HJ Khang YH . Long-term trends in smoking prevalence and its socioeconomic inequalities in Korea 1992-2016. Int J Equity Health. (2019) 18:148. doi:Â 10.1186/s12939-019-1051-x
11
Kim H Yoo J Han K Jeon HJ . Physical activity and cardiovascular health in depression: Links between changes in physical activity and cardiovascular risk. Gen Hosp Psychiatry. (2022) 78:35–41. doi: 10.1016/j.genhosppsych.2022.07.002
12
Schmitz LL Gard AM Ware EB . Examining sex differences in pleiotropic effects for depression and smoking using polygenic and gene-region aggregation techniques. Am J Med Genet B Neuropsychiatr Genet. (2019) 180:448–68. doi: 10.1002/ajmg.b.32748
13
Komiyama M Yamakage H Satoh-Asahara N Ozaki Y Morimoto T Shimatsu A et al . Sex differences in nicotine dependency and depressive tendency among smokers. Psychiatry Res. (2018) 267:154–9. doi: 10.1016/j.psychres.2018.06.010
14
Kim S Byun G Jo G Park D Cho SI Oh H et al . Gender and tobacco epidemic in South Korea: implications from age-period-cohort analysis and the DPSEEA framework. BMJ Open. (2022) 12:e058903. doi:Â 10.1136/bmjopen-2021-058903
15
Echeverria I Cotaina M Jovani A Mora R Haro G Benito A . Proposal for the inclusion of tobacco use in suicide risk scales: results of a meta-analysis. Int J Environ Res Public Health. (2021) 18(6103). doi:Â 10.3390/ijerph18116103
16
Hirooka N Kusano T Kinoshita S Aoyagi R Hidetomo N . Association between healthy lifestyle practices and life purpose among a highly health-literate cohort: a cross-sectional study. BMC Public Health. (2021) 21:820. doi:Â 10.1186/s12889-021-10905-7
17
Gupta M Esang M Moll J Gupta N . Inpatient suicide: epidemiology, risks, and evidence-based strategies. CNS Spectrums. (2023) 28:395–400. doi: 10.1017/S1092852922000918
18
Price ME Done N Pizer SD . The relationship between follow-up appointments and access to primary care. J Gen Internal Med. (2020) 35:1678–83. doi: 10.1007/s11606-020-05785-3
19
Gao Q Mak HW Fancourt D . Longitudinal associations between loneliness, social isolation, and healthcare utilisation trajectories: a latent growth curve analysis. Soc Psychiatry Psychiatr Epidemiol. (2024) 59:1839–48. doi: 10.1007/s00127-024-02639-9
20
Taylor MR Carrasco K Carrasco A Basu A . Tobacco and ADHD: A role of MAO-inhibition in nicotine dependence and alleviation of ADHD symptoms. Front Neurosci. (2022) 16:845646. doi:Â 10.3389/fnins.2022.845646
21
Castro EM Lotfipour S Leslie FM . Nicotine on the developing brain. Pharmacol Res. (2023) 190:106716. doi:Â 10.1016/j.phrs.2023.106716
22
Grasdalsmoen M Eriksen HR Lønning KJ Sivertsen B . Physical exercise, mental health problems, and suicide attempts in university students. BMC Psychiatry. (2020) 20:175. doi: 10.1186/s12888-020-02583-3
23
Jung M . The relationship between alcohol abuse and suicide risk according to smoking status: A cross-sectional study. J Affect Disord. (2019) 244:164–70. doi: 10.1016/j.jad.2018.09.077
24
Isaacs JY Smith MM Sherry SB Seno M Moore ML Stewart SH . Alcohol use and death by suicide: A meta-analysis of 33 studies. Suicide Life Threat Behav. (2022) 52:600–14. doi: 10.1111/sltb.12846
25
Lange S Zhu Y Probst C . Evaluation of the risk relationship between average alcohol volume consumed and suicide: An analysis of mortality linked cohort data. medRxiv. (2023). doi:Â 10.1101/2023.11.22.23298895
26
Soyster P Anzai NE Fromont SC Prochaska JJ . Correlates of nicotine withdrawal severity in smokers during a smoke-free psychiatric hospitalization. Prev Med. (2016) 92:176–82. doi: 10.1016/j.ypmed.2016.01.026
27
Maurer J Meyrose A-K Kaman A Mauz E Ravens-Sieberer U Reiss F . Socioeconomic status, protective factors, and mental health problems in transition from adolescence to emerging adulthood: results of the longitudinal BELLA study. Child Psychiatry Hum Dev. (2023) 56:649–60. doi: 10.1007/s10578-023-01582-1
28
O’Neil A Russell JD Thompson K Martinson ML Peters SAE . The impact of socioeconomic position (SEP) on women’s health over the lifetime. Maturitas. (2020) 140:1–7. doi: 10.1016/j.maturitas.2020.06.001
29
Debanne SM Bielefeld RA Cheruvu VK Fritsch T Rowland DY . Alzheimer’s disease and smoking: bias in cohort studies. J Alzheimers Dis. (2007) 11:313–21. doi: 10.3233/JAD-2007-11308
30
Bispo Júnior JP . Social desirability bias in qualitative health research. Rev Saude Publica. (2022) 56:101. doi: 10.11606/s1518-8787.2022056004164
31
Tran TXM Kim S Song H Park B . Longitudinal changes in smoking habits in women and subsequent risk of cancer. Am J Prev Med. (2022) 63:894–903. doi: 10.1016/j.amepre.2022.07.001
32
Weinstein SM Mermelstein RJ . Dynamic associations of negative mood and smoking across the development of smoking in adolescence. J Clin Child Adolesc Psychol. (2013) 42:629–42. doi: 10.1080/15374416.2013.794698
33
Randall JR Walld R Finlayson G Sareen J Martens PJ Bolton JM . Acute risk of suicide and suicide attempts associated with recent diagnosis of mental disorders: a population-based, propensity score-matched analysis. Can J Psychiatry. (2014) 59:531–8. doi: 10.1177/070674371405901006
Summary
Keywords
smoking, suicide, death by suicide, depression, gender difference
Citation
Jang YJ, Kim H, Jung J-H, Han K and Jeon HJ (2025) Gender differences in the association between smoking and the risk of suicide in depressed patients: a longitudinal national cohort study. Front. Psychiatry 16:1564915. doi: 10.3389/fpsyt.2025.1564915
Received
22 January 2025
Accepted
29 September 2025
Published
21 October 2025
Volume
16 - 2025
Edited by
Xiao Yang, Sichuan University, China
Reviewed by
André Luiz Monezi Andrade, Pontifical Catholic University of Campinas, Brazil
Aixiang Xiao, Guangzhou Medical University, China
Laifa A. Hendarmin, Syarif Hidayatullah State Islamic University Jakarta, Indonesia
Updates
Copyright
© 2025 Jang, Kim, Jung, Han and Jeon.
This is an open-access article distributed under the terms of the Creative Commons Attribution License (CC BY). The use, distribution or reproduction in other forums is permitted, provided the original author(s) and the copyright owner(s) are credited and that the original publication in this journal is cited, in accordance with accepted academic practice. No use, distribution or reproduction is permitted which does not comply with these terms.
*Correspondence: Hong Jin Jeon, jeonhj@skku.edu
Disclaimer
All claims expressed in this article are solely those of the authors and do not necessarily represent those of their affiliated organizations, or those of the publisher, the editors and the reviewers. Any product that may be evaluated in this article or claim that may be made by its manufacturer is not guaranteed or endorsed by the publisher.