ORIGINAL RESEARCH article
Front. Psychiatry
Sec. Psychological Therapy and Psychosomatics
"Exploring EMDR: An Innovative Approach to Reprocessing Negative Memories in a non-clinical sample."
Provisionally accepted- 1Department of Psychology, Faculty of Medicine and Psychology, Sapienza University of Rome, Rome, Italy
- 2Department of Psychology, Sapienza University of Rome, Rome, Sicily, Italy
- 3ASL Roma1, Mental Health Department, Rome, Italy, Rome, Italy
- 4Ministry of the Interior, Department of Public Security, Italian State Police, Rome, Italy, Rome, Italy
- 5Faculty of Human and Society Sciences, Kore University of Enna, Enna, Sicily, Italy
Select one of your emails
You have multiple emails registered with Frontiers:
Notify me on publication
Please enter your email address:
If you already have an account, please login
You don't have a Frontiers account ? You can register here
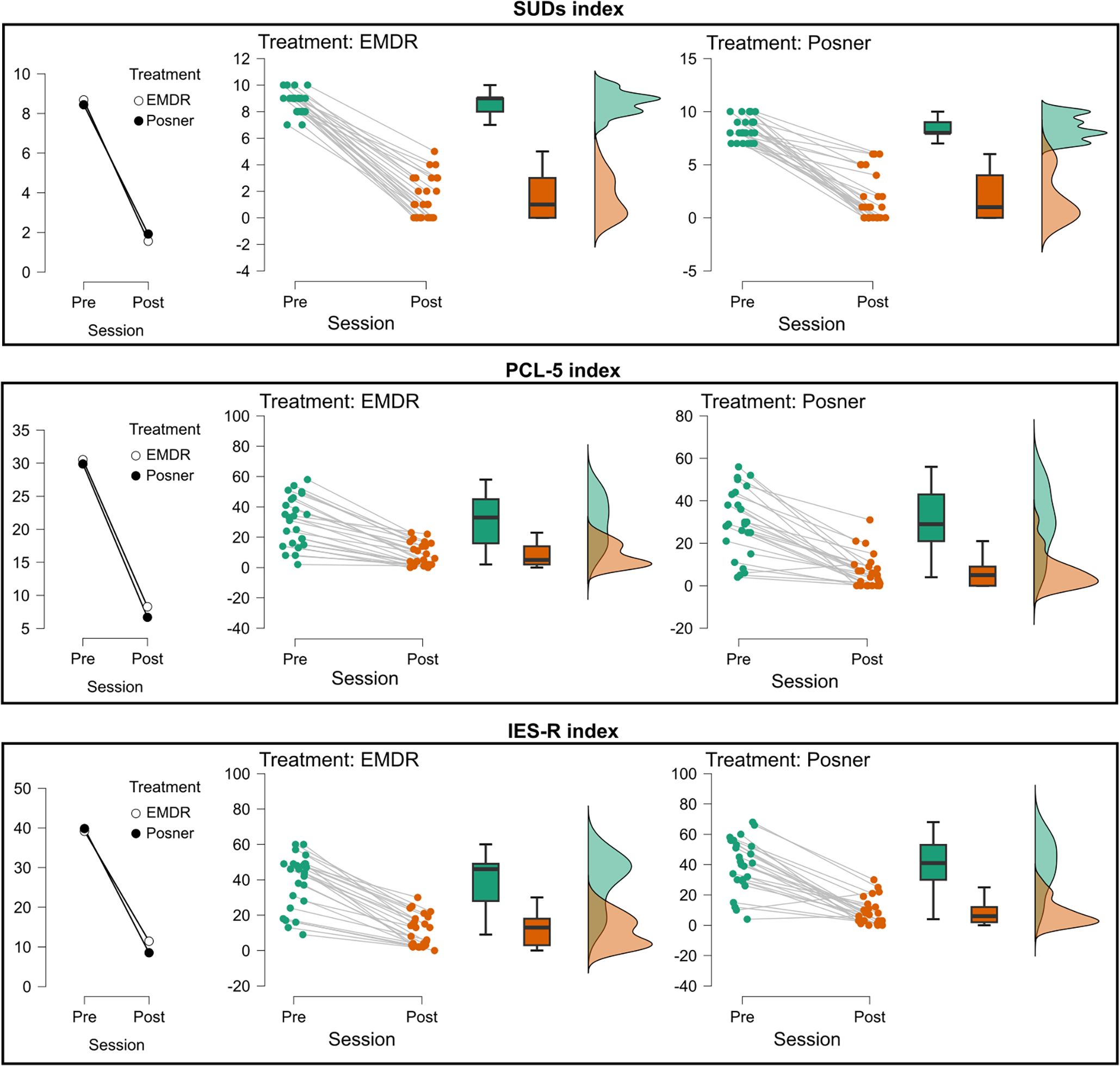
Abstract Introduction: Eye Movement Desensitization and Reprocessing (EMDR) is a structured psychotherapy primarily focused on treating individuals who have experienced distressing, traumatic events and other mental disorders. While traditionally associated with bilateral eye movements, the underlying mechanisms of EMDR remain a topic of interest. Our goal was to explore whether an endogenous attention task, specifically the Posner paradigm, which involves shifting spatial attention without eye movements, could be as effective as the conventional eye movements in processing distress memories of moderate to high intensity and provide insights into the underlying mechanisms of the technique. Methods: To achieve this, we conducted a randomized controlled trial involving 50 healthy participants, who were divided into two groups (EMDR and other engaging in Posner paradigm). Participants were tasked with recalling distress memories while undergoing their respective interventions. We measured the overall effects of both approaches on subjective units of distress (SUDs), the Impact of Event Scale-Revised (IES-R), and the Posttraumatic Stress Disorder Checklist for DSM-5 (PCL-5). Pre-and post-intervention assessments were conducted to evaluate changes in these measures. Results: Our results indicated that both the EMDR and Posner groups experienced significant reductions in scores on the SUDs, IES-R, and PCL-5, demonstrating equal effectiveness in alleviating distress associated with distress memories. Notably, the results suggest that the mechanism of attention shifting, rather than the specific modality of eye movements, plays a critical role in the therapeutic process. Conclusion: These data suggest that endogenous visuospatial tasks, such as those employed in the Posner paradigm, may
Keywords: PTSD, Traumatic memory, EMDR, Attention, Posner task, Psychotherapy, Negative memories
Received: 03 Apr 2025; Accepted: 24 Oct 2025.
Copyright: © 2025 Piccardi, Russo, Lasaponara, Boccia, Riso, Tizzani, Burrai, Giannini and Guariglia. This is an open-access article distributed under the terms of the Creative Commons Attribution License (CC BY). The use, distribution or reproduction in other forums is permitted, provided the original author(s) or licensor are credited and that the original publication in this journal is cited, in accordance with accepted academic practice. No use, distribution or reproduction is permitted which does not comply with these terms.
* Correspondence:
Laura Piccardi, laura.piccardi@uniroma1.it
Paola Guariglia, paola.guariglia@unikore.it
Disclaimer: All claims expressed in this article are solely those of the authors and do not necessarily represent those of their affiliated organizations, or those of the publisher, the editors and the reviewers. Any product that may be evaluated in this article or claim that may be made by its manufacturer is not guaranteed or endorsed by the publisher.
