SYSTEMATIC REVIEW article
Front. Psychiatry
Sec. Autism
This article is part of the Research TopicSensory Processing in Autism: Mechanisms, Impacts and InterventionsView all 7 articles
Effectiveness of sensory integration-based intervention in autistic children, focusing on Chinese children:Asystematic review and meta-analysis
Provisionally accepted- 1Beijing Normal University, Beijing, China
- 2Beijing Normal University, second affiliated middle school international department, Beijing, China
- 3Hebei sport university, heibei, China
Select one of your emails
You have multiple emails registered with Frontiers:
Notify me on publication
Please enter your email address:
If you already have an account, please login
You don't have a Frontiers account ? You can register here
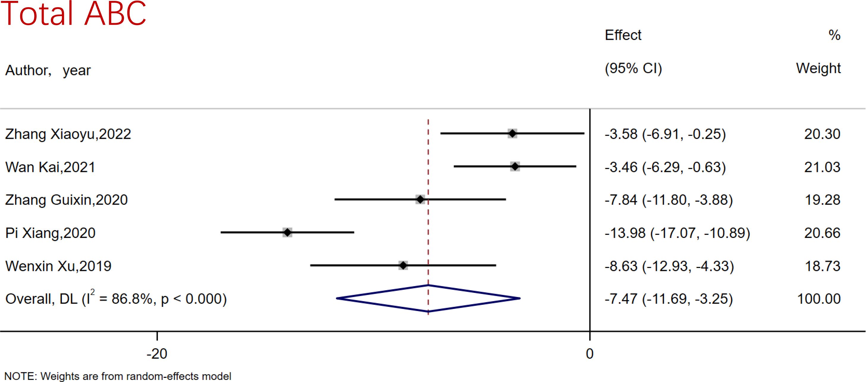
Abstract Objective: In recent years, the prevalence of autism spectrum disorder (ASD) has been increasing year by year, bringing huge economic and mental burdens to society and families. Ayres Sensory Integration Intervention (ASI) is a widely used approach in the treatment of ASD. A more common sensory integration approach in China is called sensory integration-based intervention (SIBI), which is developed based on ASI. This study systematically analyzes the effects of SIBI on the sensory integration abilities and autism-related behaviors of autistic children. Methods: We searched PubMed, Cochrane Library, Web of Science, EBSCO, and CNKI databases from inception to February 2025. Randomized controlled trials (RCTs) using SIBI to improve autistic children were included. After selection, data were extracted on author, year, country, sample size, age, intervention type and duration, and outcome indicators. Quality assessment and data extraction were conducted independently by two researchers. Statistical analyses were performed in Stata 17, including forest plots, funnel plots with Egger's test for publication bias, and meta-regression for heterogeneity. Results: A total of 16 studies with 1319 samples were included. The results showed that compared to the control group, SIBI had a positive effect on the total score of sensory integration ability scales for autistic children [mean difference (MD), 11.53; 95% confidence interval (CI) (10.53, 12.53); P<0.5]. Compared to the control group, SIBI also positively improved the total score of the ATEC scale [MD, -16.12; 95% CI (-22.61, -9.64); P<0.05] and the total score of the ABC scale [MD, -16.12; 95% CI (-22.61, -9.64); P<0.05]. The results from Egger's test and the funnel plot indicated no publication bias. Due to the high heterogeneity (I²>50%) in the results of SIBI intervention on the total ABC score, a meta-regression analysis was conducted. The results of the meta-regression analysis indicated that age was not the source of heterogeneity, while the intervention duration was found to be the source of heterogeneity (β=-0.51, P<0.05, 95% CI [-1.01, -0.01]). Conclusion: SIBI can effectively improve the sensory integration ability and autism-related behaviors of autistic children.
Keywords: Autism Spectrum Disorder, sensory integration-based intervention, Meta-analysis, Children, Systematic review
Received: 06 May 2025; Accepted: 22 Oct 2025.
Copyright: © 2025 bingchen, ba, ma, liu, Xue and fu. This is an open-access article distributed under the terms of the Creative Commons Attribution License (CC BY). The use, distribution or reproduction in other forums is permitted, provided the original author(s) or licensor are credited and that the original publication in this journal is cited, in accordance with accepted academic practice. No use, distribution or reproduction is permitted which does not comply with these terms.
* Correspondence:
Yaqi Xue, xueyaqi555@mail.bnu.edu.cn
limin fu, fulimin@hepec.edu.cn
Disclaimer: All claims expressed in this article are solely those of the authors and do not necessarily represent those of their affiliated organizations, or those of the publisher, the editors and the reviewers. Any product that may be evaluated in this article or claim that may be made by its manufacturer is not guaranteed or endorsed by the publisher.
