ORIGINAL RESEARCH article
Front. Psychiatry
Sec. Psychopharmacology
This article is part of the Research TopicUtilizing Real-World Evidence for Better Endocrine Health ManagementView all 5 articles
Association of Tirzepatide and the Risk of Suicide in a Real-World Cohort
Provisionally accepted- 1chung shan medical university hospital, Taichung, Taiwan
- 2chung shan medical university, taichung, Taiwan
Select one of your emails
You have multiple emails registered with Frontiers:
Notify me on publication
Please enter your email address:
If you already have an account, please login
You don't have a Frontiers account ? You can register here
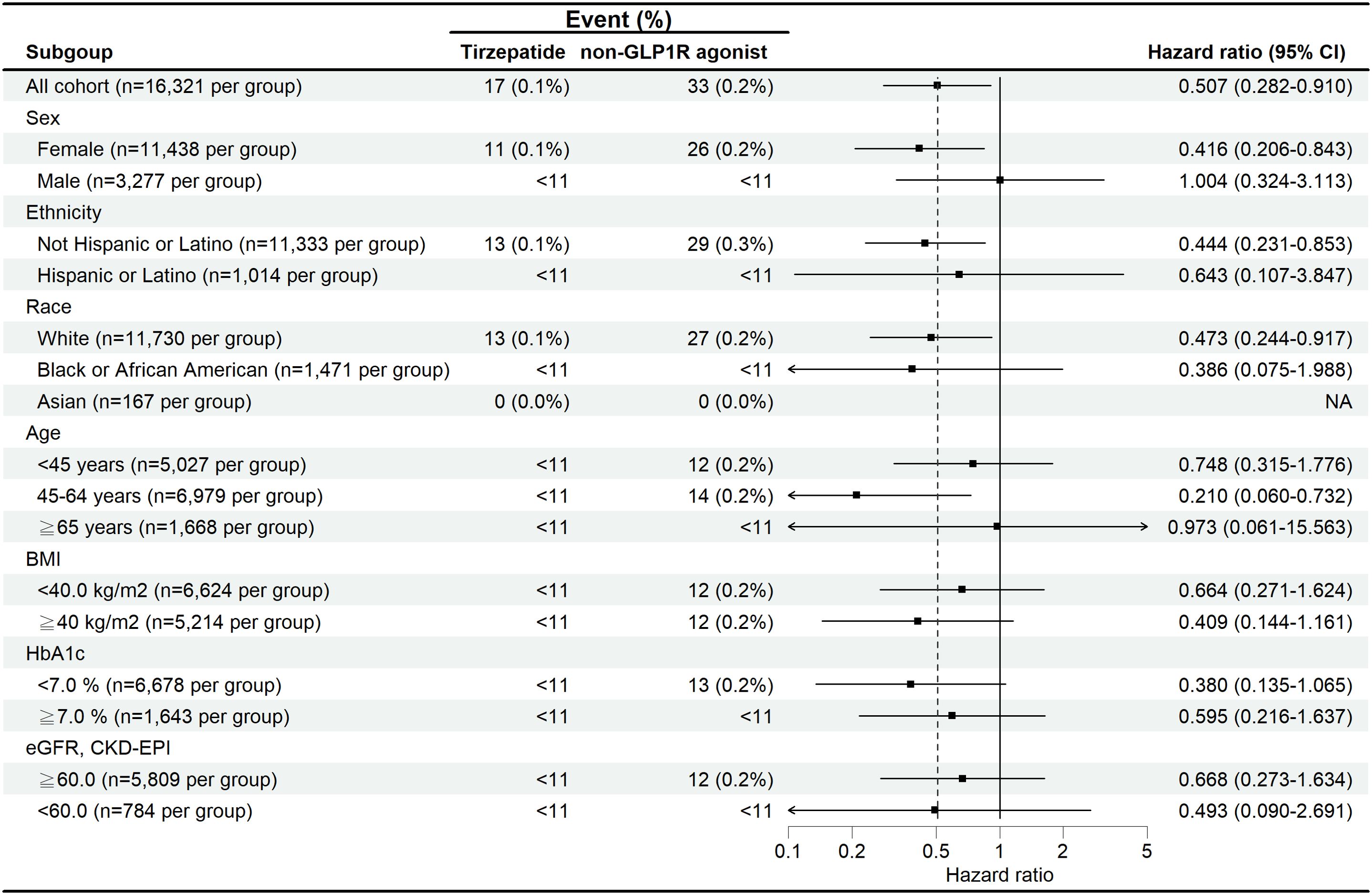
Background Glucagon-like peptide-1 (GLP-1) receptor agonists, including tirzepatide, are increasingly prescribed for obesity and type 2 diabetes mellitus. Amid safety concerns raised by regulatory agencies regarding potential associations with suicidal ideation or behavior, real-world data on psychiatric risks are critically needed. This study aims to evaluate the association between tirzepatide and suicidal ideation or attempts compared to other anti-obesity medications in a real-world population. Methods A retrospective cohort study using data from the TriNetX US Collaborative Network, covering 66 healthcare organizations from May 2022 to April 2024. A total of 226,060 patients with overweight or obesity, including 29% with type 2 diabetes, were included. Propensity score matching was applied to compare tirzepatide (N = 42,600) with non-GLP-1 anti-obesity medications (N = 183,460). Results After matching, 16,321 pairs were analyzed. The mean age was 48.4 years, and 69.1% were female. Over a median follow-up of 365 days, 17 tirzepatide patients and 33 control patients experienced suicidal ideation or attempts. Tirzepatide was associated with a 48% lower risk of suicide ideation or attempts (aHR: 0.52, 95% CI: 0.28–0.91; P = 0.001). Subgroup analyses by BMI, HbA1c, and GFR indicated consistent trends of lower risk. While these findings suggest a potential protective association, the observational nature of this study precludes definitive conclusions regarding causality. Conclusions Tirzepatide use was associated with a lower observed risk of suicidal ideation or suicide attempts compared with other anti-obesity medications. Long-term studies are needed to confirm these findings.
Keywords: tirzepatide, Suicide, Obesity, Psychiatry, Diabets mellitus
Received: 13 May 2025; Accepted: 27 Oct 2025.
Copyright: © 2025 Yu, Huang, Lo, Huang, Yang and Kornelius. This is an open-access article distributed under the terms of the Creative Commons Attribution License (CC BY). The use, distribution or reproduction in other forums is permitted, provided the original author(s) or licensor are credited and that the original publication in this journal is cited, in accordance with accepted academic practice. No use, distribution or reproduction is permitted which does not comply with these terms.
* Correspondence: Edy Kornelius, korn3lius82@gmail.com
Disclaimer: All claims expressed in this article are solely those of the authors and do not necessarily represent those of their affiliated organizations, or those of the publisher, the editors and the reviewers. Any product that may be evaluated in this article or claim that may be made by its manufacturer is not guaranteed or endorsed by the publisher.
