ORIGINAL RESEARCH article
Front. Psychiatry
Sec. Schizophrenia
Age-Period-Cohort Analysis of Schizophrenia Incidence in China and Japan from 1990 to 2021: Long-term Trends and Risk Changes
Provisionally accepted- Nanjing University of Science and Technology, Nanjing, China
Select one of your emails
You have multiple emails registered with Frontiers:
Notify me on publication
Please enter your email address:
If you already have an account, please login
You don't have a Frontiers account ? You can register here
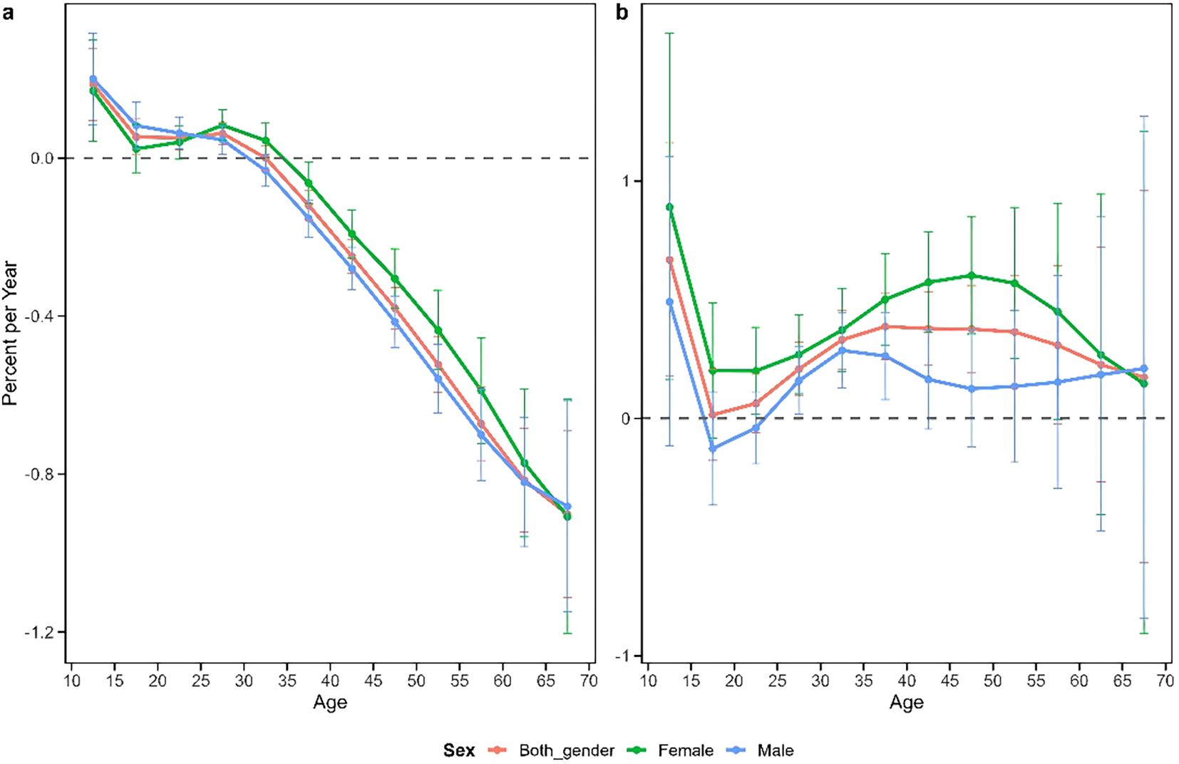
Background: Schizophrenia represents the psychiatric disorder with the highest per capita social cost globally, with East Asia bearing a disproportionate burden of schizophrenia episodes and associated disability-adjusted life years. This study aimed to comprehensively evaluate the long-term trends in schizophrenia incidence in China and Japan from 1990 to 2021. Methods: Data were extracted from the Global Burden of Disease 2021 study and systematically analyzed using age-period-cohort modeling approaches to disentangle temporal trends. Results: The overall drift values for schizophrenia incidence were -0.25% (95% CI: -0.28% to 0.23%) in China and 0.30% (95% CI: 0.20% to 0.41%) in Japan. In China, local drift values were positive only in the 10-25 age group and negative across all other age groups. For Japanese males, local drift values were negative except in the 15-25 age group. The longitudinal age curves for schizophrenia in the both countries demonstrated a characteristic inverted "V" shape, with peak incidence occurring in the 20-24 age group. Regarding period effects, China showed an overall decreasing trend that reversed toward unfavorable outcomes after 2014, while Japan also exhibited a decreasing trend recently, albeit with greater fluctuations. The cohort effect in China displayed a U-shaped pattern, whereas Japan showed an overall upward trend with a slight midpoint decrease, in the middle, followed by a sharp rise in risk for cohorts born after 2000. Conclusion: Despite established mental health initiatives in both China and Japan, schizophrenia risk is increasing among youth cohorts in both countries. This finding underscores the urgent need for both nations to develop more effective, demographically targeted approached to improve mental health outcomes across different population segments.
Keywords: schizophrenia1, age-period-cohort models2, China3, Japan4, Incidence5
Received: 24 Jul 2025; Accepted: 04 Nov 2025.
Copyright: © 2025 Xu, Gu, Bai and Hao. This is an open-access article distributed under the terms of the Creative Commons Attribution License (CC BY). The use, distribution or reproduction in other forums is permitted, provided the original author(s) or licensor are credited and that the original publication in this journal is cited, in accordance with accepted academic practice. No use, distribution or reproduction is permitted which does not comply with these terms.
* Correspondence: Yifan Hao, haoyifan@njust.edu.cn
Disclaimer: All claims expressed in this article are solely those of the authors and do not necessarily represent those of their affiliated organizations, or those of the publisher, the editors and the reviewers. Any product that may be evaluated in this article or claim that may be made by its manufacturer is not guaranteed or endorsed by the publisher.
