SYSTEMATIC REVIEW article
Front. Psychiatry
Sec. Social Neuroscience
The Role of the Amygdala in Depression: A Bibliometric Analysis (2015–2024)
Provisionally accepted- 1Ningbo Kangning Hospital, Ningbo, China
- 2The Second People's Hospital of Lishui, Lishui, China
- 3Ningbo City College of Vocational Technology, Ningbo, China
Select one of your emails
You have multiple emails registered with Frontiers:
Notify me on publication
Please enter your email address:
If you already have an account, please login
You don't have a Frontiers account ? You can register here
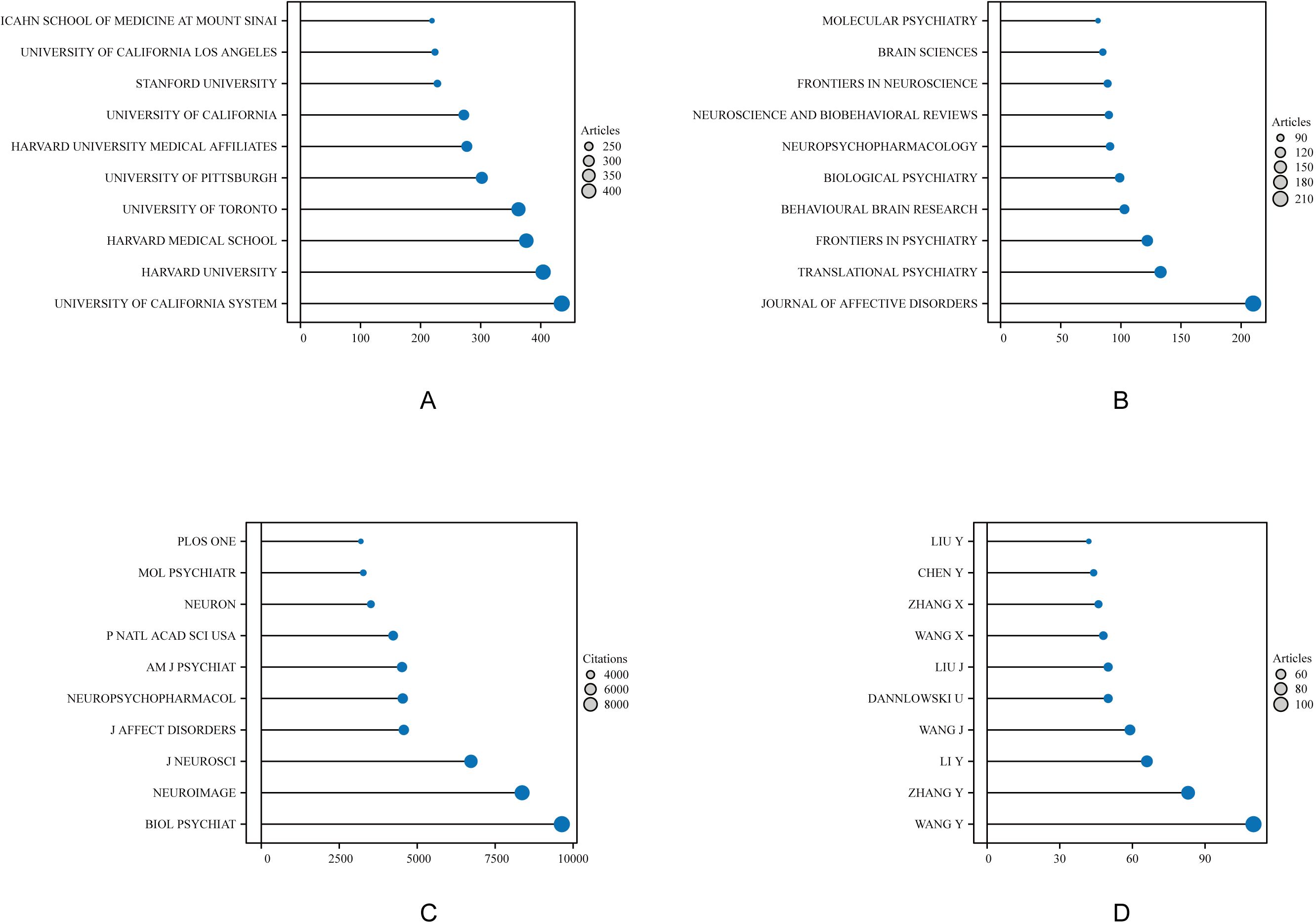
Background: Depression is a highly heterogeneous disorder with complex mechanisms. Given converging evidence implicating the amygdala in its pathophysiology, a systematic and quantitative synthesis is warranted to map the research landscape, hotspots, and emerging trends. Objective: To systematically characterize the research landscape of depression–amygdala studies from 2015 to 2024 using bibliometric and visualization analyses, identify core hotspots and emerging themes, and track their evolution to inform subsequent mechanistic research and precision interventions. Methods: Using data from the Web of Science Core Collection and Scopus (2015–2024), we conducted a bibliometric analysis of English-language publications on depression and the amygdala with Bibliometrix and VOSviewer. Publication trends, country and institutional contributions, highly cited papers, and keyword co-occurrence/clustering were analyzed to delineate the field's structure and evolution. Results: A total of 5,999 publications were included. Annual output increased steadily from 399 in 2015 to a peak of 831 in 2024. The United States (1,813, 30.2%), China (1,122, 18.7%), and Germany (357, 6.0%) were the top contributors. The ratio of multi-country publications (MCP) was highest for Germany (28.3%), followed by the United Kingdom (28.1%) and Canada (24.6%). At the institutional and journal levels, the University of California system, Harvard University, and Harvard Medical School ranked among the leading contributors. The international collaboration network exhibited a U.S.-centered structure, with frequent partnerships between the United States and China (n = 113), the United States and the United Kingdom (n = 86), and the United States and Germany (n = 81). Keyword co-occurrence and clustering analyses revealed four major thematic clusters: emotion regulation networks, biological signaling and regulation, developmental risk factors, and animal models. Overall, the field has evolved from region-specific studies toward network-and system-level integration, highlighting the amygdala's pivotal role in the neurobiological mechanisms of depression and its potential as a candidate neuromarker. Conclusion: Bibliometric evidence indicates that research on depression–amygdala relationships is moving toward multi-dimensional and cross-disciplinary integration. The amygdala's involvement in emotion regulation and early-life stress is increasingly recognized; alterations in its functional connectivity show promise as a neuromarker of depression, though clinical translation requires multi-center validation and standardized analytic workflows.
Keywords: Depression, Amygdala, Bibliometrics, Emotion Regulation, Resting-state functional connectivity, neural mechanisms
Received: 20 Aug 2025; Accepted: 27 Oct 2025.
Copyright: © 2025 Li, Yang, Cao, Liuyin, Dong and Gao. This is an open-access article distributed under the terms of the Creative Commons Attribution License (CC BY). The use, distribution or reproduction in other forums is permitted, provided the original author(s) or licensor are credited and that the original publication in this journal is cited, in accordance with accepted academic practice. No use, distribution or reproduction is permitted which does not comply with these terms.
* Correspondence: Jin Liuyin, 2407581536@qq.com
Disclaimer: All claims expressed in this article are solely those of the authors and do not necessarily represent those of their affiliated organizations, or those of the publisher, the editors and the reviewers. Any product that may be evaluated in this article or claim that may be made by its manufacturer is not guaranteed or endorsed by the publisher.
