ORIGINAL RESEARCH article
Front. Psychiatry
Sec. Public Mental Health
This article is part of the Research TopicThe Intersection of Psychology, Healthy Behaviors, and its OutcomesView all 130 articles
Global, regional, and national burden of premenstrual syndrome from 1990 to 2021 and projections to 2050: an analysis based on the 2021 global burden of disease study
Provisionally accepted- 1Dongzhimen Hospital, Beijing University of Chinese Medicine, Beijing, China
- 2Longhua Hospital Shanghai University of Traditional Chinese Medicine, Shanghai, China
Select one of your emails
You have multiple emails registered with Frontiers:
Notify me on publication
Please enter your email address:
If you already have an account, please login
You don't have a Frontiers account ? You can register here
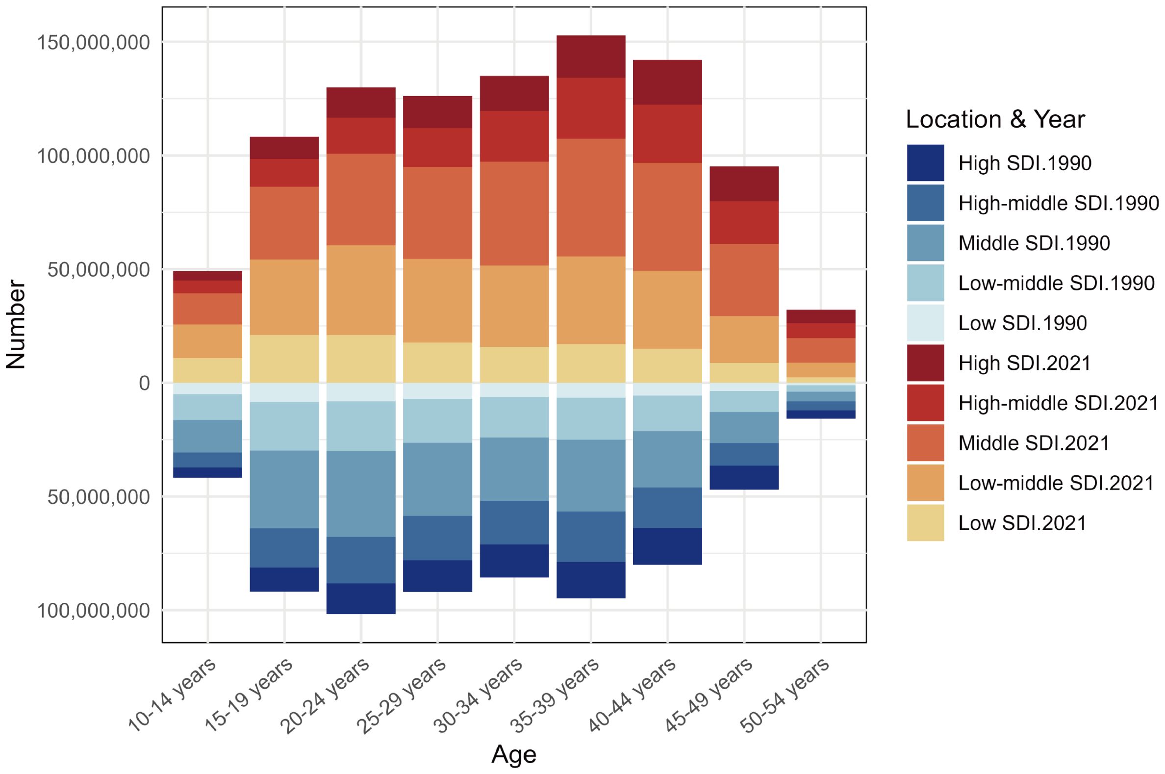
Background: Premenstrual syndrome (PMS) imposes significant psychological and mental health burdens on women's reproductive and general well-being. Disparities in the recognition and reporting of PMS symptoms exist across different regions, influenced by social, cultural, and economic inequalities. A detailed analysis of the global burden of PMS is essential for mitigating its worldwide disease burden and potential societal impacts. Methods: Utilizing data from the Global Burden of Disease (GBD) 2021 database, we employed joinpoint regression analysis to examine trends in the burden of PMS from 1990 to 2021. We further investigated the impact of the socio-demographic index (SDI) on the PMS burden. Additionally, we compared the age distribution characteristics of prevalent PMS cases in 1990 and 2021 and projected the burden to 2050 using the Bayesian Age-Period-Cohort (BAPC) model. Results: The global burden of PMS increased from 1990 to 2021. The low-middle SDI region consistently had the highest age-standardized prevalence rate (ASPR) and age-standardized years lived with disability (YLDs) rate, which continued to rise; the middle SDI region followed. The high SDI region generally had the lightest burden for most of the period. Among the five SDI regions, only the high-middle SDI region showed a decrease in burden in 2021 compared to 2019. ASPR and age-standardized YLDs rate demonstrated an initial increase followed by a decrease with rising SDI levels. The age distribution of prevalent PMS cases shifted: the peak prevalence moved from the 20-24 age group in 1990 to the 35-39 age group in 2021, followed by 40-44 and then 20-24. Projections indicate a declining trend in the global burden of PMS by 2050. Conclusion: The global burden of PMS has shown an increasing trend. Influenced by social, cultural, and economic factors, the burden in low SDI regions may be substantially underestimated. Attention to menstrual-related mental health, scientific diet, and allocation of healthcare resources in socioeconomically disadvantaged regions require further optimization. While focusing on women's mental health throughout their reproductive and general lifespan, greater emphasis should be placed on the mental health of women aged 35-44.
Keywords: Premenstrual Syndrome, Global burden of disease, Temporal trend, socio-demographicindex, Prevalence, Years lived with disability
Received: 10 Jun 2025; Accepted: 04 Nov 2025.
Copyright: © 2025 Qiang, Guo, Xu, Gu, Liu, Wang, Liu and Liang. This is an open-access article distributed under the terms of the Creative Commons Attribution License (CC BY). The use, distribution or reproduction in other forums is permitted, provided the original author(s) or licensor are credited and that the original publication in this journal is cited, in accordance with accepted academic practice. No use, distribution or reproduction is permitted which does not comply with these terms.
* Correspondence:
Ruonan Qiang, magnoliaqiang@163.com
Yanfeng Liu, liuyaf8888@sina.com
Disclaimer: All claims expressed in this article are solely those of the authors and do not necessarily represent those of their affiliated organizations, or those of the publisher, the editors and the reviewers. Any product that may be evaluated in this article or claim that may be made by its manufacturer is not guaranteed or endorsed by the publisher.
