ORIGINAL RESEARCH article
Front. Psychiatry
Sec. Aging Psychiatry
This article is part of the Research TopicHealthy Aging in Action: Addressing the Challenges of Cognitive Decline and Dementia and Contributing to a Better Future for Population AgingView all 10 articles
Network analysis of cognition and function in Alzheimer's disease: a cross-sectional study
Provisionally accepted- 1Wenzhou People's Hospital, Wenzhou, China
- 2The Affiliated Kangning hospital of Wenzhou Medical University,Zhejiang Provincial Clinical Research Center for Mental Health, wenzhou, China
- 3The Affiliated Kangning hospital of Wenzhou Medical University,Zhejiang Provincial Clinical Research Center for Mental Health, wenzhou, China
- 4Wenzhou Kangning Hospital Group Co Ltd, Wenzhou, China
Select one of your emails
You have multiple emails registered with Frontiers:
Notify me on publication
Please enter your email address:
If you already have an account, please login
You don't have a Frontiers account ? You can register here
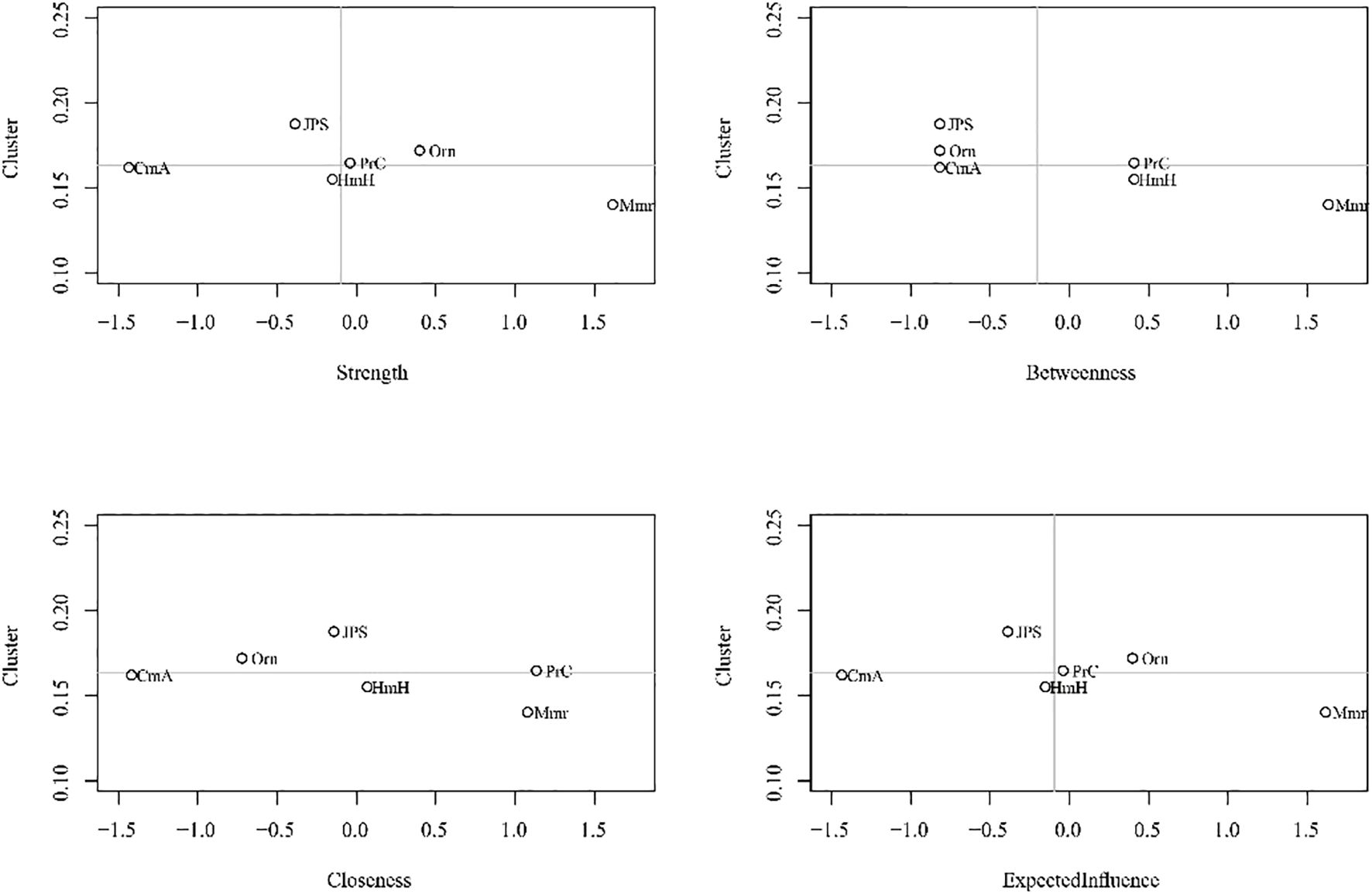
Objectives: Traditional approaches in Alzheimer's disease (AD) research examine cognitive symptoms in isolation, potentially overlooking dynamic interrelationships among impairment domains. This study employed network analysis to examine structural organization of cognitive and functional domains in mild (mAD) and moderate-to-severe (Mod-sAD) Alzheimer's disease, aiming to identify stage-specific symptom structures and inform targeted interventions. Methods: A cross-sectional study included 134 participants diagnosed with AD according to DSM-5 criteria. Participants were classified into mAD (n=37) and Mod-sAD (n=97) groups. Regularized partial correlation networks with extended Bayesian information criterion regularization examined symptom interdependencies across six CDR domains: memory, orientation, judgment and problem solving, community affairs, home and hobbies, and personal care. Network comparison tests and centrality analyses identified structural differences between disease stages. Results: The Mod-sAD group demonstrated significantly higher impairment scores across all domains (p < 0.001) with large effect sizes (Cohen's d: 1.83-2.71). Network analysis revealed increased global strength in Mod-sAD versus mAD networks (2.60 vs. 2.49, p < 0.05), indicating greater symptom interconnectedness in advanced stages. Centrality analyses revealed fundamental reorganization: memory emerged as most central in Mod-sAD (strength = 1.62), while judgment and problem-solving showed highest centrality in mAD (strength = 1.65). Orientation centrality increased substantially across progression (strength: -1.32 to 0.40). Conclusions: AD progression features increasing network density and centrality shifts from executive-function-centered networks in mild AD to memory-centered networks in moderate-to-severe stages. Findings suggest stage-specific interventions: executive enhancement in mild AD and memory-focused approaches in advanced stages.
Keywords: Alzheimer, Network analysis, Cognition, function, Regularized
Received: 07 Jul 2025; Accepted: 30 Oct 2025.
Copyright: © 2025 Hu, Chen, Ye, Wang, Huang, Zhu and Chen. This is an open-access article distributed under the terms of the Creative Commons Attribution License (CC BY). The use, distribution or reproduction in other forums is permitted, provided the original author(s) or licensor are credited and that the original publication in this journal is cited, in accordance with accepted academic practice. No use, distribution or reproduction is permitted which does not comply with these terms.
* Correspondence: Sunke Chen, anajin121314@163.com
Disclaimer: All claims expressed in this article are solely those of the authors and do not necessarily represent those of their affiliated organizations, or those of the publisher, the editors and the reviewers. Any product that may be evaluated in this article or claim that may be made by its manufacturer is not guaranteed or endorsed by the publisher.
