SYSTEMATIC REVIEW article
Front. Psychiatry
Sec. Aging Psychiatry
Impact of exercise intervention on depression, anxiety, sleep and quality of life in patients with cognitive impairment: a systematic review and network Meta-analysis
Provisionally accepted- 1Beijing Sport University, Beijing, China
- 2Peking University, Beijing, China
Select one of your emails
You have multiple emails registered with Frontiers:
Notify me on publication
Please enter your email address:
If you already have an account, please login
You don't have a Frontiers account ? You can register here
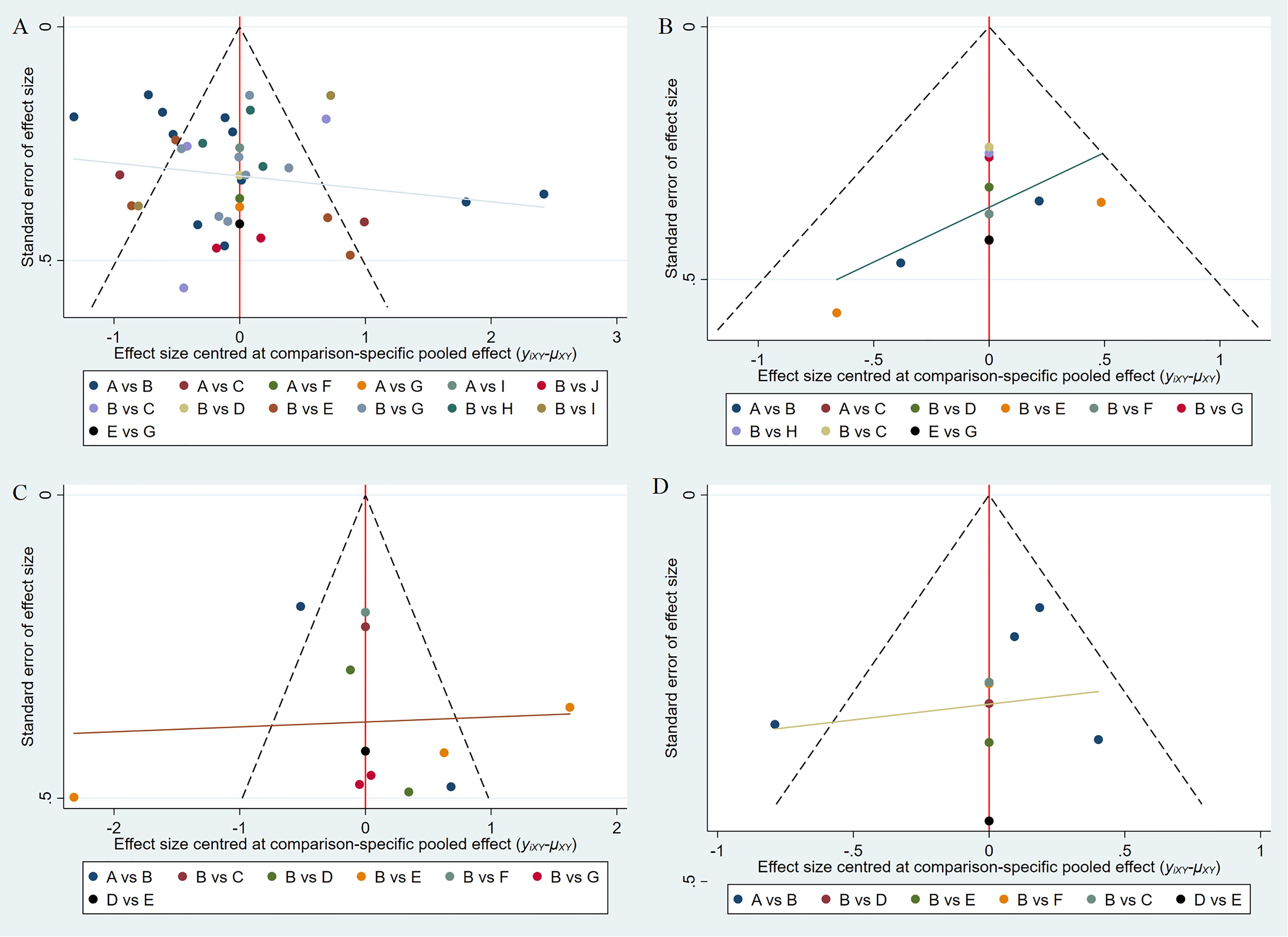
Background Exercise, as a non-pharmacological intervention, demonstrates considerable potential for improving depression, anxiety, sleep, and quality of life (QoL) in patients with cognitive impairment. However, the optimal exercise modality remains unclear. This study aimed to evaluate and rank the efficacy of exercise types on these outcomes in patients with cognitive impairment. Methods A systematic search of PubMed, Web of Science, Embase, and Cochrane Library was conducted to identify studies published between September 2014 and September 2024. Included studies were randomized controlled trials assessing the impact of exercise on depression, anxiety, sleep, and QoL in cognitively impaired individuals. Depression served as the primary outcome, with anxiety, sleep, and QoL as secondary outcomes. All statistical analyses, including pairwise and network meta-analyses, were performed using R version 4.4.1. Results Forty studies involving 2,937 participants were included. Exergaming demonstrated superior effectiveness in reducing depression (SMD = −12.52, 95% CrI: −20.6 to −4.53) and anxiety (SMD = −12.49, 95% CrI: −31.27 to 5.98). Multicomponent exercise (ME) significantly reduced depression (SMD = −8.01, 95% CrI: −11.15 to −3.59), while mind-body exercise (MBE) improved quality of life (SMD = 12.61, 95% CrI: 0.73 to 32.77). Conclusion Exergaming proved most effective for reducing depression and anxiety in individuals with cognitive impairment. Multicomponent exercise showed substantial benefits for mood regulation, while mind-body exercise was particularly effective for enhancing QoL.
Keywords: cognitive impairment, Exercise, Depression, Anxiety, Sleep, Quality of Life, Network meta-analysis
Received: 15 Jul 2025; Accepted: 13 Oct 2025.
Copyright: © 2025 Sun, Ding, Ma and Zheng. This is an open-access article distributed under the terms of the Creative Commons Attribution License (CC BY). The use, distribution or reproduction in other forums is permitted, provided the original author(s) or licensor are credited and that the original publication in this journal is cited, in accordance with accepted academic practice. No use, distribution or reproduction is permitted which does not comply with these terms.
* Correspondence: Zhong Zheng, zhengzhong@pku.edu.cn
Disclaimer: All claims expressed in this article are solely those of the authors and do not necessarily represent those of their affiliated organizations, or those of the publisher, the editors and the reviewers. Any product that may be evaluated in this article or claim that may be made by its manufacturer is not guaranteed or endorsed by the publisher.
