SYSTEMATIC REVIEW article
Front. Psychiatry
Sec. Psychological Therapy and Psychosomatics
This article is part of the Research TopicMetacognitive Therapy: Transdiagnostic Mechanisms, Worry, Rumination, and Attention ControlView all articles
Exploring Intergenerational Links and Genetic Correlates of Metacognitive Beliefs: A Systematic Review and Meta-Analysis
Provisionally accepted- 1Sigmund Freud PrivatUniversitat Fakultat fur Psychologie, Vienna, Austria
 - 2Centre for Behavioural Sciences and Mental Health, Italian Twin Registry, Istituto Superiore di Sanità, Rome, Italy
 - 3Child & Youth Lab, Department of Psychology, Sigmund Freud University, Milan, Italy
 - 4Cognitive Psychotherapy School and Research Center, Studi Cognitivi, Milan, Italy
 - 5Department of Health Sciences, University of Florence, Florence, Italy
 - 6School of Applied Sciences, London South Bank University, London, United Kingdom
 - 7Innovation in Psychotherapy Efficiency Research Lab, Department of Psychology, Sigmund Freud University, Milan, Italy
 - 8inTHERAPY, Gruppo Studi Cognitivi, Milan, Italy
 
Select one of your emails
You have multiple emails registered with Frontiers:
Notify me on publication
Please enter your email address:
If you already have an account, please login
You don't have a Frontiers account ? You can register here
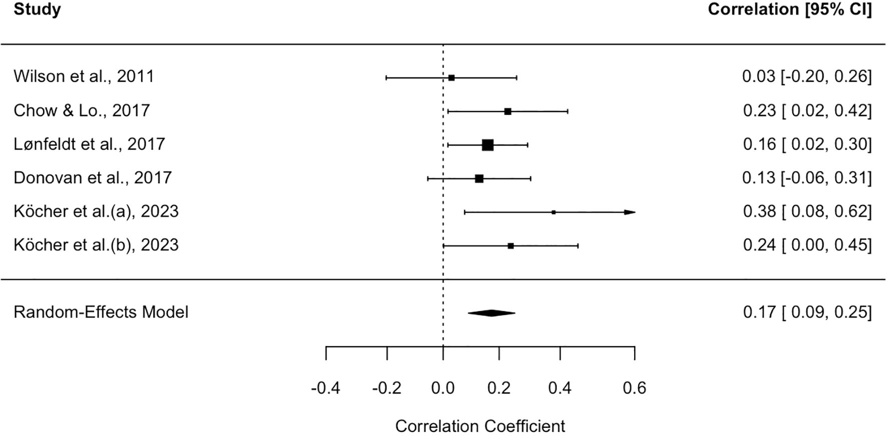
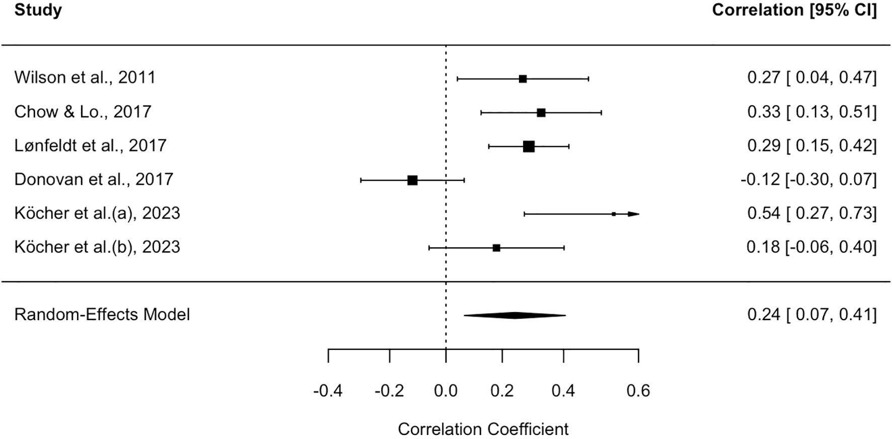
Background: Metacognitive beliefs, as proposed in the Self-Regulatory Executive Function (S-REF) model, are considered to play a central role in the development and maintenance of psychological disorders; however the intergenerational dimension of these beliefs remains poorly understood. Existing studies suggest potential associations between parental and offspring metacognitive beliefs, while preliminary genetic evidence indicates that some domains may be more strongly influenced by biological predispositions. Methods: A systematic search of PubMed, EBSCOhost, and SCOPUS was conducted between January and April 2025, examining studies assessing the association between parental and offspring metacognitive beliefs, as described in the S-REF model, and studies exploring links with genotype. Effect sizes were pooled for domains assessed in at least three studies, and moderator analyses considered age, study quality, and the number of covariates included. Results: Nine studies met inclusion criteria, eight focusing on parent–child associations and one on genotype. Meta-analytic results indicated small-to-moderate associations for positive metacognitive beliefs (r = .24) and negative beliefs about danger and uncontrollability of thoughts (r = .17), whereas Cognitive self consciousness did not show significant associations. Limited molecular genetic evidence suggested that Cognitive confidence and Need to control thoughts may be more strongly linked to biological predisposition. Heterogeneity was observed across studies, and moderator analyses did not reveal significant effects. Conclusion: The intergenerational dimension of metacognitive beliefs is an underexplored area with heterogeneous findings. Associations between parental and offspring beliefs are evident, particularly for Positive and Negative metacognitive beliefs, while some domains may reflect biological influences. Future research should employ longitudinal designs, comprehensive assessment across all metacognitive domains, and integrate both genetic and environmental factors to clarify the mechanisms underlying these associations. Systematic review registration: PROSPERO, identifier CRD420251020891
Keywords: metacognitive beliefs, S-REF model, intergenerational transmission, transgenerational patterns, Meta-analysis
Received: 28 Jul 2025; Accepted: 10 Oct 2025.
Copyright: © 2025 De Francesco, Fagnani, Medda, Palmieri, Mansueto, De Munari, Caselli and Scaini. This is an open-access article distributed under the terms of the Creative Commons Attribution License (CC BY). The use, distribution or reproduction in other forums is permitted, provided the original author(s) or licensor are credited and that the original publication in this journal is cited, in accordance with accepted academic practice. No use, distribution or reproduction is permitted which does not comply with these terms.
* Correspondence: Simona  Scaini, simona.scaini@mail.sfu.ac.at
Disclaimer: All claims expressed in this article are solely those of the authors and do not necessarily represent those of their affiliated organizations, or those of the publisher, the editors and the reviewers. Any product that may be evaluated in this article or claim that may be made by its manufacturer is not guaranteed or endorsed by the publisher.
