ORIGINAL RESEARCH article
Front. Psychiatry
Sec. Anxiety and Stress Disorders
This article is part of the Research TopicAlterations in brain structure and cognitive function caused by cerebrovascular diseases Volume IIView all 4 articles
Multiple Mediators of Anxiety and Depression between Living Space and Cognitive Function among Elderly Patients with Ischemic Stroke
Provisionally accepted- 1Huzhou University, Huzhou, China
- 2Cixi People's Hospital, Cixi, China
- 3Huzhou Central Hospital, Huzhou, China
Select one of your emails
You have multiple emails registered with Frontiers:
Notify me on publication
Please enter your email address:
If you already have an account, please login
You don't have a Frontiers account ? You can register here
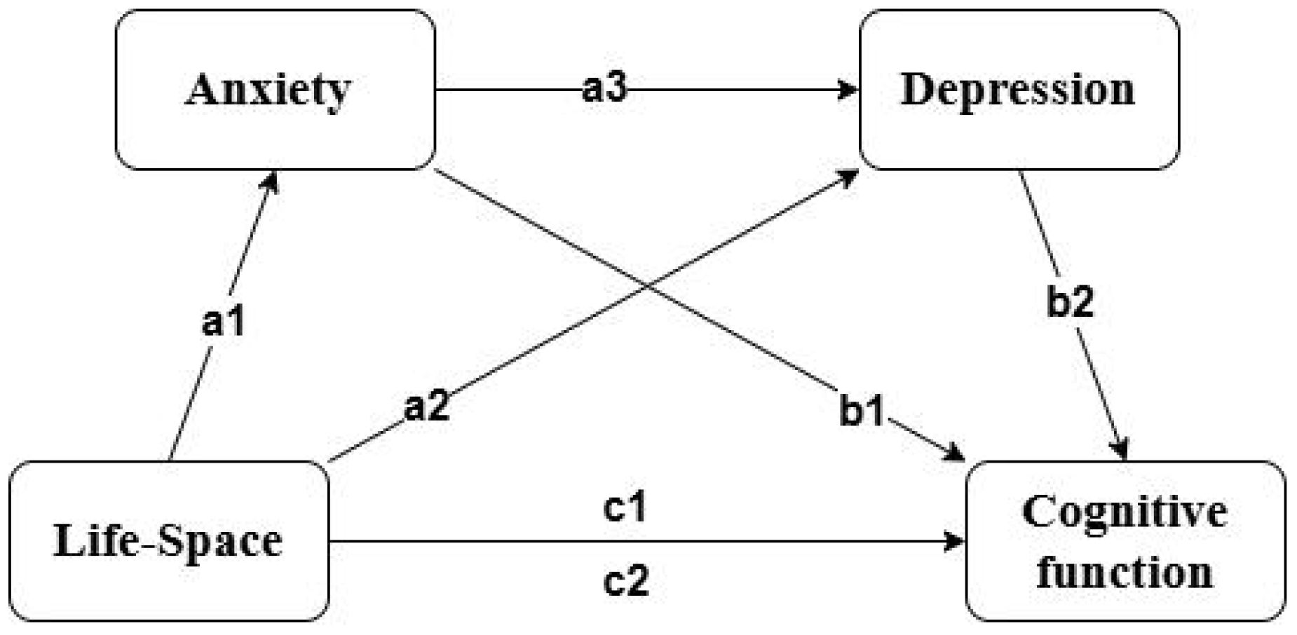
Objective: To explore the relationship between living space, cognitive function, anxiety, and depression in ischemic stroke patients, specifically examining the mediating roles of anxiety and depression. Methods: A cross-sectional study included 445 ischemic stroke patients treated in the neurology department of a top-tier hospital in Zhejiang Province and discharged between January 2024 and January 2025 were selected. Participants completed General information questionnaires, the Montreal Cognitive Assessment (MoCA), Living Space Scale, and Hospital Anxiety and Depression Scale (HADS). Data were analyzed using R4.4.2 and MPLUS 8.7 software. Results: Among 445 participants, correlation analysis showed that cognitive function was positively correlated with living space (r=0.37, P<0.05) and negatively correlated with anxiety symptoms and depression symptoms (r=-0.53, r=-0.64, all P<0.05). Anxiety and depression were mediating variables between living space and cognitive function (95%CI: 0.018~0.117, 0.017~0.095), with effect sizes of 0.072 and 0.057, respectively. Additionally, anxiety and depression played a serial mediating role between living space and cognitive function (95%CI: 0.082~0.172), with an effect sizes of 0.122. Conclusion: Living space level directly affect the cognitive function in ischemic stroke patients and indirectly affects cognition through its impact on psychological health, mediated independently and serially by anxiety and depression.
Keywords: Elderly, ischemic stroke, Living space, Anxiety, Depression, Cognitive Function
Received: 09 Aug 2025; Accepted: 30 Oct 2025.
Copyright: © 2025 Zhang, Yang, Gu, Pan, Mao, Lu, Zhou and Zhang. This is an open-access article distributed under the terms of the Creative Commons Attribution License (CC BY). The use, distribution or reproduction in other forums is permitted, provided the original author(s) or licensor are credited and that the original publication in this journal is cited, in accordance with accepted academic practice. No use, distribution or reproduction is permitted which does not comply with these terms.
* Correspondence: 
Yu  Zhang, 2569785181@qq.com
Lixiu  Zhang, 13567700223@163.com
Disclaimer: All claims expressed in this article are solely those of the authors and do not necessarily represent those of their affiliated organizations, or those of the publisher, the editors and the reviewers. Any product that may be evaluated in this article or claim that may be made by its manufacturer is not guaranteed or endorsed by the publisher.
