ORIGINAL RESEARCH article
Front. Psychiatry
Sec. Addictive Disorders
This article is part of the Research TopicBridging the Gap: Addressing Substance Use Disorder Treatments among Vulnerable PopulationsView all 5 articles
Trends in cannabis use disorder and treatment by race and ethnicity, 2002-2019
Provisionally accepted- Columbia University, New York City, United States
Select one of your emails
You have multiple emails registered with Frontiers:
Notify me on publication
Please enter your email address:
If you already have an account, please login
You don't have a Frontiers account ? You can register here
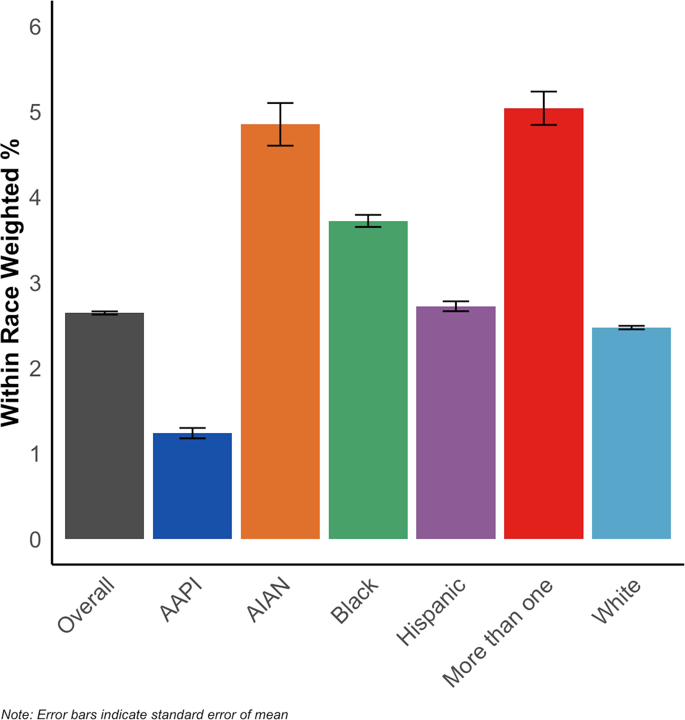
Aims/Background: As cannabis use continues to increase in the United States, racialized stereotypes and structural barriers to care might lead to inequitable treatment uptake across racialized groups. A greater understanding of racial disparities in cannabis treatment uptake and perceived treatment need among people with cannabis use disorder (CUD) in community-based samples is needed. Methods: Nationally representative data from the 2002-2019 National Survey on Drug Use and Health (N=1,005,421) included community-based people ages 12+. First, we assessed trends in CUD (i.e., meeting 2+ DSM-5 proxy CUD criteria) by racialized group. Among people with CUD (n=48,768), weighted logistic models regressed any CUD treatment, specialty CUD treatment, and perceived need for CUD treatment on racialized group and year, adjusting for age, gender, education, insurance, and criminal legal system exposure. We use interaction terms to examine group-specific trend differences. Results: Overall, 2.64% of the US population ages 12+ had CUD, including 2.47% of white, 1.23% of AAPI (Asian American and Pacific Islander), 4.83% of AIAN (American Indian and Alaska Native), 3.70% of Black, and 2.71% of Hispanic people. CUD increased slightly across all groups (overall annual OR: 1.01, 95% CI =1.01,1.02), with AAPI, Hispanic and people with more than one race seeing steeper increases (ORs: 1.02-1.04). Treatment use and perceived need decreased consistently and there were no group differences in these trends across racialized groups with CUD (ORs: 0.93-0.97). Black people with CUD had 21% lower odds of any treatment than white people (aOR: 0.79, 95% CI = 0.65, 0.95). All racialized groups (except AAPI people) had higher odds of perceived need than white people (aORs: 1.59–1.73). Conclusion: Although all racialized groups had increasing CUD and decreasing CUD treatment use during the study period, the observed racialized disparities also persisted. For example, despite a higher prevalence of CUD among Black people compared to white people, Black people with CUD were less likely than their white counterparts to receive treatment and more likely to report perceived need. These disparities in CUD, treatment need, and perceived need underscore the need for CUD-related services overall and tailored services for racialized minorities, and especially Black people.
Keywords: Cannabis use Disorder, Cannabis treatment, cannabis treatment need, racialized differences, cannabis trends
Received: 20 Aug 2025; Accepted: 19 Sep 2025.
Copyright: © 2025 Triguero Roura, Vora, Eschliman and Mauro. This is an open-access article distributed under the terms of the Creative Commons Attribution License (CC BY). The use, distribution or reproduction in other forums is permitted, provided the original author(s) or licensor are credited and that the original publication in this journal is cited, in accordance with accepted academic practice. No use, distribution or reproduction is permitted which does not comply with these terms.
* Correspondence: Mireia Triguero Roura, mt3197@columbia.edu
Disclaimer: All claims expressed in this article are solely those of the authors and do not necessarily represent those of their affiliated organizations, or those of the publisher, the editors and the reviewers. Any product that may be evaluated in this article or claim that may be made by its manufacturer is not guaranteed or endorsed by the publisher.
