Your new experience awaits. Try the new design now and help us make it even better

SYSTEMATIC REVIEW article

Front. Psychiatry, 04 November 2025

Sec. Adolescent and Young Adult Psychiatry

Volume 16 - 2025 | https://doi.org/10.3389/fpsyt.2025.1699554

This article is part of the Research TopicAdolescent Emotional Disorders and Suicide Self-Harm Crisis InterventionView all 41 articles

Effectiveness of exercise intervention on children and adolescents with depression: a systematic review and meta-analysis of randomized controlled trial

Haoming Yan*Haoming Yan1*Rui ChenRui Chen2Daiwei ChenDaiwei Chen1Changdong LiChangdong Li3
  • 1School of Physical Education, Chengdu Sport University, Chengdu, China
  • 2School of Physical Education and Sport Science, Fujian Normal University, Fuzhou, China
  • 3Department of Physical Education, Zunyi Normal University, Zunyi, China

Objective: The increasing occurrence of depression in children and teenagers has garnered significant social attention. Although many studies have explored the effect of exercise on alleviating depressive symptoms, substantial evidence regarding its efficacy in children and adolescents with clinical diagnoses of depression remains insufficient. This research performs a systematic review and meta-analysis aimed at assessing the true effectiveness of exercise interventions for this demographic.

Methods: We searched five databases (PubMed, Embase, Cochrane, EBSCO, and Web of Science) for studies available up to August 18, 2025. All data analyses were conducted using Review Manager software. Four subgroup analyses were carried out according to exercise frequency, session length, duration of the intervention, and control group type in order to identify the sources of variability.

Results: Following a thorough review of the 2,475 articles that were initially identified, a total of 15 studies were finally incorporated into the meta-analysis. These studies included 428 participants in the groups receiving exercise interventions and 403 participants in the control groups. The findings indicated that exercise produced a notable beneficial impact on children and adolescents suffering from depression (SMD = -1.14, 95% CI: -1.57 to -0.72, p < 0.001). Subgroup analyses further revealed that different weekly exercise frequencies, session durations, and intervention periods all demonstrated statistically significant beneficial effects on depressive symptoms. Moreover, exercise interventions achieved therapeutic effects comparable to those of conventional treatments.

Conclusion: Exercise interventions were found to offer substantial therapeutic benefits for depressed children and adolescents in this study. Interventions performed more than three times per week, lasting less than 60 minutes per session, and sustained over eight weeks were found to be the most effective. Compared with traditional treatment approaches, exercise interventions achieved similarly positive outcomes. These findings provide strong evidence for optimizing exercise prescriptions and health management strategies for adolescent mental health. Educators, parents, and school administrators should incorporate age-appropriate physical activities into daily life and design exercise programs with suitable frequency, duration, and intensity.

Systematic Review Registration: https://www.crd.york.ac.uk/PROSPERO/, identifier CRD420251121698.

Introduction

The issue of depression in both children and adolescents has become a significant mental health challenge, carrying serious consequences for both individual growth and overall public health (1). The worldwide occurrence of depression in children and teenagers has been on the increase in recent years (2). Recent epidemiological data indicate that the prevalence of major depressive disorder in this population is approximately 3.7%, while the prevalence of depressive symptoms of any severity reaches 21.3%, and the prevalence shows an increasing trend with age (3, 4). Of particular concern is the occurrence of depression at an early age, as it is closely associated with declines in academic performance, challenges in peer and family relationships, increased social isolation, and a heightened risk of self-harm and suicide, which is one of the leading causes of death among adolescents worldwide (5, 6). Additionally, experiencing depression during these crucial developmental stages heightens the risk of future episodes and the emergence of other psychiatric disorders in later life, highlighting the immediate need for effective and feasible treatment options (7).

Treatment options currently available for addressing depression in children and adolescents primarily consist of psychotherapy and pharmacological approaches (8). Medications such as selective serotonin reuptake inhibitors (SSRIs) have demonstrated efficacy; however, they may raise concerns regarding potential side effects, including an increased risk of suicidal ideation in younger patients, which requires careful clinical monitoring (9). Non-pharmacological treatments are primarily psychotherapy, with approaches such as cognitive behavioral therapy and interpersonal therapy recognized as the main forms of treatment, though they are often resource- and time-intensive and unevenly distributed, particularly in low-resource or rural communities (10, 11). In addition, adherence to medication and engagement in therapy may be hindered by stigma, family attitudes, and motivational challenges that are common among adolescents with depression (12, 13). These barriers highlight the need for safe, affordable, and accessible complementary or alternative treatment options.

Exercise has come to be acknowledged more and more as a beneficial non-drug approach for addressing depression in young individuals and teenagers (14). Beyond its well-documented benefits for physical health, regular exercise may exert positive effects on mental health through multiple biological and psychosocial pathways. The enhancement of physiological processes involves the management of the hypothalamic-pituitary-adrenal (HPA) axis, the decrease of systemic inflammation, the encouragement of neuroplasticity, the production of brain-derived neurotrophic factor (BDNF), and the enhancement of sleep quality (15, 16). On a psychosocial level, exercise can strengthen self-esteem, provide a sense of achievement, reduce rumination, and promote social connectedness when conducted in group settings (17, 18). Evidence from adult populations demonstrates that structured exercise interventions can yield moderate to large reductions in depressive symptoms, suggesting that similar benefits may extend to younger populations (19).

Although previous studies have summarized the effects of exercise on depressive symptoms in children and adolescents, their populations often did not consist of individuals formally diagnosed with depression but instead included many participants with normal mental and psychological status. This undoubtedly weakens the interpretability of the results to a considerable extent and limits their generalizability to real-world applications (20, 21). Moreover, previous studies on children and adolescents have yielded inconsistent findings. For example, some meta-analyses have reported significant improvements in depressive symptoms following structured exercise programs (20, 22, 23), whereas other studies have found that not all forms of exercise produce significant effects, and some results have even been disappointing (24, 25). Such discrepancies not only reflect heterogeneity in study design, intervention modalities, and participant characteristics but also highlight that the existing evidence remains insufficient to provide strong support for clinical interventions in children and adolescents with diagnosed depression. While systematic reviews have highlighted the possibilities that exercise holds for treating depression, there remains a significant gap in thorough analyses aimed specifically at children and adolescents diagnosed with depression. Because the precise effects of exercise on this population are still unclear, a systematic review and meta-analysis are needed. Such an effort is necessary to evaluate the effectiveness of exercise interventions in a detailed and quantitative manner, ultimately furnishing strong evidence for evidence-based clinical practices and guiding future research initiatives.

The aim of this research is to conduct a comprehensive review and meta-analysis of randomized controlled trials evaluating the effects of exercise interventions on reducing depressive symptoms in children and adolescents diagnosed with depression. Through the synthesis of existing evidence, this research intends to establish the overall efficacy of exercise in this clinically validated group, thus offering evidence-based insights for treating depression in young people and guiding future research initiatives.

Methods

Registration

This systematic review has been officially registered with PROSPERO under the registration number CRD420251121698. In conducting this review, we have strictly followed the PRISMA guidelines, which stand for Preferred Reporting Items for Systematic Reviews and Meta-Analyses (26). Adhering to these established guidelines ensures that our review is comprehensive and maintains high standards in reporting, thus contributing to the overall credibility and reliability of our findings in the field of systematic reviews and meta-analyses.

Search strategy

A thorough review of the literature was performed using Web of Science, EBSCO, PubMed, Embase, and the Cochrane Library, covering records from the beginning of these databases up until August 18, 2025. The search strategy was built on terms related to “exercise,” “depression,” “children,” “adolescents,” and “randomized controlled trial,” supplemented by synonyms and controlled vocabulary. To find any additional publications that met the eligibility standards for inclusion in our review, the reference lists of relevant research were carefully examined. This process of screening references allowed us to broaden our search and identify pertinent literature that may have initially been overlooked. The supplemental resources provide the specific search tactics that were used, which provide a thorough knowledge of our search approach.

Eligibility criteria

The eligibility criteria were: (1) participants aged 5–19 years with a confirmed clinical diagnosis of depression (27); (2) the intervention groups included different types of exercise. As most studies aimed to achieve lasting improvements in participants, the focus was primarily on repeated exercise sessions conducted over several weeks, while the control groups included those receiving no exercise, maintaining their usual lifestyle, or receiving standard care (28); (3) randomized controlled trial (RCT) design; and (4) studies reporting outcomes related to changes in depressive symptom measures.

Studies were excluded if they: (1) were not randomized trials; (2) did not include a control group; (3) failed to report depression-related outcomes; or (4) were conference abstracts, theses, retrospective analyses, books, letters, or patents.

Study selection and data extraction

The process of literature screening and data extraction was conducted independently by two researchers, with any disagreements addressed through consultation with a third researcher. To ensure that unrelated papers were excluded, titles and abstracts underwent evaluation during the initial screening phase. Subsequently, the full texts of the remaining articles were assessed, leading to the removal of those that failed to satisfy the established inclusion and exclusion criteria.

The collected information comprised the author’s name, publication year, number of participants, details of the interventions for both the experimental and control groups, depression diagnoses, as well as the intervention’s duration, frequency, intensity, and the tools utilized for evaluating depressive symptoms.

Risk of bias assessment

In accordance with the recommendations provided in the Cochrane Handbook for Systematic Reviews of Interventions (version 2.0), two researchers independently evaluated the possibility of bias (29). Any differences in their evaluations were addressed by conferring with a third researcher.

Statistical analysis

Review Manager was used to do statistical analyses of continuous variables. Depending on the measurement methods and units used, effect sizes were shown as either weighted mean differences (WMD) or standardized mean differences (SMD) (30). Heterogeneity across studies was evaluated with the I² statistic. A fixed-effect model was applied when heterogeneity was low (p < 0.1 and I² < 50%), whereas a random-effects model was used in other cases. Sensitivity analyses were conducted employing the leave-one-out methodology (31); if the combined outcomes varied significantly following the exclusion of a study, it was deemed that the particular study had a considerable impact.

Results

Literature search results

Initially, 2,475 records were identified in the databases, and 499 duplicates were eliminated. The process of examining titles and abstracts led to the removal of 1,946 entries. Subsequently, a comprehensive assessment of full texts resulted in the dismissal of 15 additional studies that failed to satisfy the eligibility requirements. Ultimately, 15 studies were deemed eligible and incorporated into the final analysis. Figure 1 illustrates the selection process.

Figure 1
Flowchart detailing the selection process for a meta-analysis. Identification yielded 2,472 records from databases and 3 from other sources. After removing 499 duplicates, 1,976 records were screened, excluding 1,946 by title and abstract. Thirty full-text articles were assessed, with 15 excluded for reasons such as no outcomes data, no control group, inappropriate participants, or unreasonable design. Fifteen studies were included in the meta-analysis.

Figure 1. Flow diagram of literature selection process.

Basic characteristics of the included literature

This review incorporated fifteen randomized controlled trials (3246) published between 2005 and 2024. Altogether, 428 participants underwent exercise interventions, while 403 served as controls, all diagnosed with depression of varying severity. Aerobic exercise was the predominant intervention. Intervention periods ranged from 5 to 16 weeks, with most extending beyond 6 weeks. In over half of the studies, exercise was performed at least three times weekly, and each session exceeded 30 minutes. Depression outcomes were assessed using established scales commonly applied in children and adolescents, including the SCL-90-R, CES-D, and BDI. The key features of the included studies are shown in Table 1.

Table 1
www.frontiersin.org

Table 1. Characteristics of eligible studies.

Risk of bias

Figures 2 and 3 present assessments of bias risk, both overall and for individual studies. Just three studies were categorized as high risk, particularly concerning the areas of “incomplete outcome data” and “other potential biases.” Given the intrinsic nature of exercise interventions, it was deemed unfeasible to blind participants and personnel; therefore, every study received a low risk rating in this regard. Overall, the included trials demonstrated satisfactory methodological quality and provided reliable evidence for this review.

Figure 2
Bar chart showing risk of bias categories. Each category is represented with green, yellow, and red bars indicating low, unclear, and high risk of bias, respectively. Most categories have predominantly green bars, with varying yellow and minor red sections. The legend explains the color coding.

Figure 2. Overall overview graph of bias risk in included studies.

Figure 3
A risk of bias summary table for various studies with categories like random sequence generation, allocation concealment, blinding, incomplete outcome data, selective reporting, and other bias. Green circles indicate low risk, yellow circles indicate unclear risk, and red circles indicate high risk. Each row corresponds to a different study from 2013 to 2024.

Figure 3. Risk of bias evaluation graph for the included literature.

Meta-analysis

Overall effectiveness

Exercise substantially decreased depression symptoms in children and adolescents when compared to controls, according to a meta-analysis using a random-effects model (SMD = -1.14, 95% CI: -1.57 to -0.72, p < 0.001) (Figure 4). Subgroup analyses were conducted to determine possible sources and contributing variables because of the significant heterogeneity among the included studies (I2 = 86%).

Figure 4
Forest plot showing results from multiple subgroup studies. Each study lists mean, standard deviation, and total values, with associated confidence intervals represented by horizontal lines. A diamond shape at the bottom summarizes the overall effect size estimate of negative one point one four with a confidence interval from negative one point five seven to negative zero point seven two. Heterogeneity statistics include Chi-squared equals one hundred three point five three and I-squared equals eighty-six percent.

Figure 4. Forest plot of the overall efficacy of exercise intervention on depression.

Subgroup analysis

Intervention frequency

Intervention frequency was divided into three categories: less than three sessions per week, three sessions per week, and more than three sessions per week. The subgroup analysis demonstrated significant improvements in depressive symptoms across all three categories (Figure 5). Among them, interventions performed more than three times weekly (SMD = -1.56, 95% CI = -3.08 to -0.05, p = 0.04) produced slightly stronger effects than those delivered less than three times weekly (SMD = -1.24, 95% CI = -2.02 to -0.46, p = 0.002) or exactly three times weekly (SMD = -1.09, 95% CI = -1.48 to -0.70, p < 0.001).

Figure 5
Forest plot showing standardized mean differences (SMD) with 95% confidence intervals for studies comparing experimental and control groups in terms of frequency of intervention per week. Three subgroups are analyzed: less than three times per week, exactly three times per week, and more than three times per week. The plot includes heterogeneity statistics and overall effect sizes, with diamonds representing pooled estimates favoring either experimental or control interventions.

Figure 5. Forest plot of subgroup analysis by intervention frequency.

Duration of single intervention

The length of each intervention session was categorized into two groups: less than 60 minutes and 60 minutes or more (including 60 minutes). Analysis of subgroups indicated that both classifications were linked to noteworthy decreases in depressive symptoms. (Figure 6). Nevertheless, interventions lasting under 60 minutes (SMD = -1.84, 95% CI = -2.75 to -0.92, p < 0.001) produced a stronger therapeutic effect than those lasting 60 minutes or longer (SMD = -0.79, 95% CI = -1.17 to -0.42, p < 0.001).

Figure 6
Forest plot comparing standard mean differences of experimental and control groups for studies categorized by session duration. Studies under “less than sixty minutes per session” and “sixty minutes or more per session” are listed with mean, standard deviation, total, and weight. Subtotals and overall totals show heterogeneity and test for overall effect. Diamonds represent confidence intervals with a horizontal line, indicating the effect size. Results favor the experimental group.

Figure 6. Forest plot of subgroup analysis by duration of single intervention.

Intervention cycle

The intervention duration was categorized into three groups: less than 8 weeks, exactly 8 weeks, and more than 8 weeks. Subgroup analysis revealed that all three durations were significantly effective in alleviating depressive symptoms (Figure 7). Notably, an 8-week program (SMD = -2.16, 95% CI = -3.15 to -1.17, p < 0.001) demonstrated the greatest efficacy, surpassing both programs longer than 8 weeks (SMD = -0.85, 95% CI = -1.39 to -0.32, p = 0.002) and those shorter than 8 weeks (SMD = -0.45, 95% CI = -0.72 to -0.18, p = 0.001).

Figure 7
Forest plot showing the standardized mean differences between experimental and control groups across multiple studies, divided into three subgroups: less than eight weeks, eight weeks, and more than eight weeks. Each study is displayed with a confidence interval and diamond markers indicating summary effects for each subgroup. The overall effect shows a mean difference of -1.14, favoring the experimental group. Heterogeneity statistics and total sample sizes are provided at the bottom.

Figure 7. Forest plot of subgroup analysis by intervention cycle.

Control group category

The control groups were categorized into two types: those temporarily not receiving treatment and those receiving non-exercise therapies. Subgroup analysis showed that, compared with the control groups, both categories of intervention groups produced significant improvements in depressive symptoms (Figure 8). Specifically, interventions in the no-treatment group (SMD = -2.10, 95% CI = -3.14 to -1.05, p < 0.001) demonstrated greater efficacy than those in the non-exercise therapy group (SMD = -0.62, 95% CI = -0.93 to -0.31, p < 0.001).

Figure 8
Forest plot showing the results of multiple studies comparing experimental and control groups on two interventions: temporarily not receiving treatment and accepting non-exercise therapy. Each study's mean, standard deviation, total, weight, and standardized mean difference are listed. Subtotals for each intervention and an overall total are provided. The plot displays confidence intervals for each study and overall effects. Heterogeneity statistics are included, with markers indicating whether results favor the experimental or control groups.

Figure 8. Forest plot of subgroup analysis by control group type.

Exercise intervention model

The study categorized exercise therapy into two types: group-based and individual-based. Both types effectively alleviated depressive symptoms (Figure 9). However, group sports had a markedly and substantially greater therapeutic effect than (SMD = -1.59, 95% CI = -2.29 to -0.88, p < 0.001) than individual sports (standardized mean difference = -0.68, 95% CI = -1.11 to -0.26, p = 0.002).

Figure 9
Forest plot comparing standardized mean differences in experimental and control groups for group and individual sports. Each study's effect size is shown with confidence intervals. Group sports (95% CI: -1.59, -0.88) and individual sports (95% CI: -0.68, -0.26) are analyzed. Overall effect favors the experimental groups with a total standardized mean difference of -1.14 (95% CI: -1.57, -0.72). Substantial heterogeneity is present, with I² values of 90% for group sports, 73% for individual sports, and 86% overall.

Figure 9. Forest plot of subgroup analysis by exercise intervention model.

Sensitivity analysis and publication bias

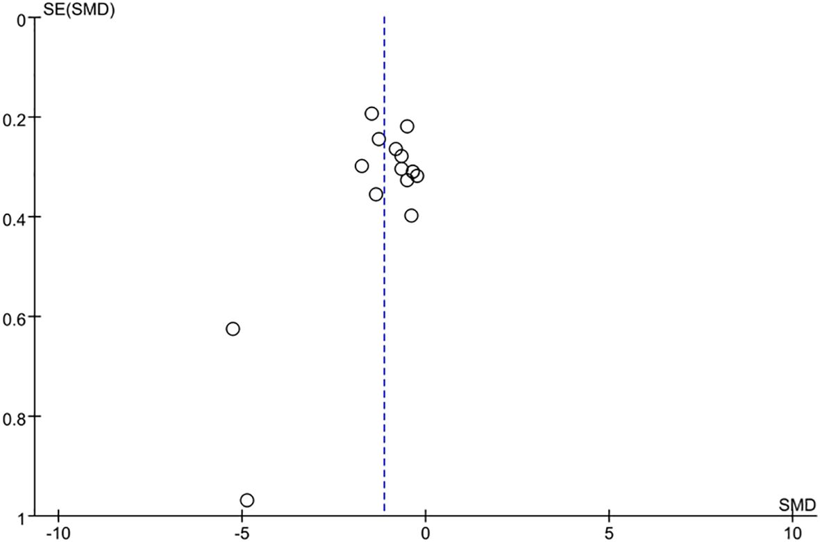
The sensitivity analysis performed with the leave-one-out approach revealed that the overall effect size remained stable and did not show statistically significant variations when any individual study was omitted, highlighting a strong consistency in the findings. A funnel plot was used to evaluate potential publication bias, and the results showed a mostly symmetrical distribution with a few dispersed spots (Figure 10). Furthermore, p > 0.05 from the Egger’s test indicated that there was no proof of publication bias (47).

Figure 10
Scatter plot depicting Standard Error (SE) against Standard Mean Difference (SMD). Points are clustered near the vertical line at zero SMD, with a few outliers distributed along the x-axis from -10 to 10.

Figure 10. Publication bias analysis results.

Discussion

This meta-analysis and systematic review, which focused on randomized controlled trials (RCTs), assessed the impact of exercise interventions on children and adolescents who have been diagnosed with depression. Rigorous inclusion criteria guaranteed that all participants possessed a confirmed diagnosis of depression. The findings revealed the therapeutic benefits of exercise for this population, addressed existing research gaps, and further validated the generalizability of exercise as a treatment for depression.

The findings provide compelling evidence for the beneficial therapeutic effects of exercise by showing that it can considerably reduce depression symptoms in this population. This conclusion aligns with earlier research results and further strengthens the significance of exercise as a powerful non-drug intervention. Notably, substantial evidence from neuroscience and physiology offers a solid foundation for explaining the antidepressant effects of exercise interventions (21, 22). Initially, engaging in physical activity stimulates the release and rebalancing of various neurotransmitters within the central nervous system, such as serotonin (5-HT), dopamine (DA), and norepinephrine (NE) (48). These neurochemicals are essential for mood regulation, the mediation of reward processes, and the body’s response to stress (49). Low levels of 5-HT and DA are often associated with depressive symptoms, whereas exercise increases their concentrations, helping to enhance emotional stability and motivation. Second, it has been shown that exercise promotes the release of BDNF, or brain-derived neurotrophic factor (50). This essential chemical promotes neuroplasticity and the development of new neurons, which greatly aids in learning, memory, and emotional regulation (51). A recent analysis shows that engaging in physical activity leads to lower levels of catabolic cortisol and enhances neuroplasticity within specific brain regions. This phenomenon correlates with advancements in synaptogenesis, neurogenesis, the release of neurotrophic factors, as well as various neuroendocrine modifications. Such changes might be associated with improvements in cognitive and emotional processes, potentially resulting in a decrease in psychosocial stress symptoms over time (52). Moreover, disruptions in circadian rhythms are recognized as a significant contributor to depression. Research indicates that regular physical exercise positively impacts the organization and growth of the brain, aiding in its ability to adjust the circadian rhythm in response to external temporal signals (53). Additionally, exercise can influence the function of the hypothalamic-pituitary-adrenal (HPA) axis, which is closely linked to the symptoms of major depression (54, 55). Hyperactivation of the HPA axis leads to chronically elevated cortisol levels, which is one of the major mechanisms underlying the onset and persistence of depression (56). Changes in cortisol levels are conducive to enhancing cognitive abilities, helping children and adolescents improve their academic performance and develop a sense of academic self-efficacy (57). Moreover, they also contribute to reducing physiological stress load and promoting homeostatic balance (58). Research has indicated that both lower and higher levels of exercise intensity can enhance neurogenesis. Nevertheless, exercise of higher intensity tends to produce more significant positive impacts on neurocognitive function, primarily due to its association with increased testosterone release, which is strongly linked to cognitive performance (59, 60). It is worth noting that some studies have reported no conclusive interaction between aerobic exercise and BDNF or cortisol. Nevertheless, these findings acknowledge that such inconsistencies may result from methodological differences in exercise type, duration, prescribed intensity, and frequency, which further underscores the importance of scientifically designing exercise programs (61). Meanwhile, exercise exerts beneficial effects on other bodily functions closely related to depression. For example, regular exercise improves sleep architecture and sleep quality, while sleep disturbances are both an important trigger and a sustaining factor of depression (62, 63). Exercise also enhances immune system functioning and reduces chronic inflammatory responses (64). There is mounting evidence that the severity of depressive symptoms is strongly associated with elevated levels of inflammatory markers, such as TNF-α and IL-6. In contrast, engaging in exercise can reduce these inflammatory markers, leading to antidepressant effects (65). However, it should be noted that not all forms of exercise lead to significant improvements in individual depression control. A systematic review indicated that even after engaging in various types of chronic exercise interventions, the participating children and adolescents gained only limited benefits in terms of depression regulation (66). Therefore, when using exercise as a strategy to alleviate depressive symptoms, it may be advisable to avoid employing different forms of chronic exercise.

The subgroup analysis of intervention frequency showed that exercise performed less than three times, exactly three times, or more than three times per week was effective in reducing depressive symptoms, with the best outcomes observed at a frequency of more than three sessions per week, followed by less than three sessions per week. This finding indicates that exercise exhibits a “more is better” dose–response relationship within a certain range, which is consistent with previous research findings (49, 67). Higher-frequency interventions may more fully exert exercise’s neuroregulatory and psychological benefits, producing positive physiological and psychological effects and leading to greater symptom improvement in the short term (68). At the same time, low-frequency exercise interventions also showed positive effects, likely due to their greater feasibility and adherence (69). For children and adolescents, lower-frequency programs are easier to integrate into academic and daily routines, reducing additional time burdens and supporting long-term adherence, thereby providing a stable means of emotional regulation (70). Therefore, exercise prescriptions should strike a balance between “maximizing effectiveness” and “ensuring sustainability,” and be tailored to individual needs. Such programs can be more easily integrated into the daily lives of this population as part of the curriculum or as extracurricular physical activity initiatives (71). For those with strong motivation or more severe depressive symptoms, more than three sessions per week can be recommended, whereas for adolescents with lower adherence or heavy academic workloads, even about two regular sessions per week can still yield significant benefits (72).

The subgroup analysis of intervention duration showed that both sessions shorter than 60 minutes and those lasting 60 minutes or longer significantly alleviated depressive symptoms, but shorter sessions proved more effective. This result is consistent with previous findings (73). Exercise duration is not necessarily “the longer, the better”; rather, moderate sessions within a certain range may be more advantageous (74). First, shorter exercise sessions can effectively stimulate the release of neurotransmitters and emotion-regulating molecules while avoiding the fatigue and physical burden associated with prolonged activity (75, 76). For example, sudden excessive exercise may trigger stress responses, lactic acid accumulation, and elevated cortisol levels, which could in turn diminish the antidepressant effects of exercise (77). In contrast, sessions kept within 60 minutes are more likely to maintain positive emotional experiences and physiological adaptability, thereby promoting mental health more consistently (78). Second, shorter sessions are more easily accepted and adhered to by children and adolescents. For this population, prolonged exercise may increase feelings of boredom and fatigue or conflict with busy academic and daily schedules, leading to reduced compliance. By comparison, moderate durations of 30 to 60 minutes provide a sufficient exercise dosage while remaining manageable, making them better suited to the psychological characteristics and lifestyle patterns of students in school (79). Studies have shown that the immediate positive emotional experience during exercise is an important driving force for adolescents’ adherence, and that a moderate duration of exercise is more conducive to sustaining this positive experience (80).

The subgroup analysis of intervention duration indicated that short-term (<8 weeks), medium-term (=8 weeks), and long-term (>8 weeks) exercise interventions all effectively alleviated depressive symptoms, with the most significant effects observed in the medium-term interventions. This may be explained by several factors. On the one hand, medium-term interventions may coincide with the psychological and behavioral adaptation window (81). In the initial weeks of the intervention, individuals are primarily in an adjustment phase, and the emotional improvements brought about by exercise may not yet be stable. When the intervention extends beyond eight weeks, although positive effects may still occur, factors such as diminished novelty, reduced adherence, or conflicts with academic and daily demands may weaken its overall effectiveness (82, 83). Therefore, a duration of around eight weeks may achieve a relative balance between these factors, thereby producing the most favorable outcomes. On the other hand, the development of healthy behaviors requires a certain amount of time. A cycle of about two months is sufficient for adolescents to gradually establish regular exercise routines and experience tangible physical and psychological benefits, thereby enhancing self-efficacy and motivation to persist (84, 85). By comparison, too short an intervention period may be insufficient to build such habits, while an overly long duration may lead to diminished motivation or external disruptions, making adherence more difficult and consequently reducing effectiveness (18).

Examination of the control groups within each subgroup showed that the no-exercise group exhibited a greater improvement in depressive symptoms compared with the routine treatment group. This result not only supports the efficacy of exercise as a standalone intervention but also highlights its considerable potential for tackling depression in children and adolescents, consistent with previous research findings (86, 87). Although conventional treatments such as medication and psychotherapy remain the primary approaches for depression, they are often accompanied by certain side effects, limited accessibility, or heavy economic burdens (88). Exercise interventions, while improving depressive symptoms, bring almost no additional medication-related side effects. Based on the study data, it can be concluded that an appropriately designed exercise intervention demonstrates significant practical value in improving depressive symptoms, offering dual advantages of cost-effectiveness and universality. It can serve as an effective complement to traditional therapies. This finding is particularly relevant in regions with limited medical resources, providing a new adjunctive treatment approach for the underage population. From an integrated intervention perspective, exercise can complement psychotherapy or pharmacological treatments. Studies have demonstrated that exercise not only boosts mood directly but also raises self-esteem, enhances sleep quality, and strengthens cognitive performance, thus increasing the efficacy of traditional therapies (89). This suggests that exercise interventions may serve as an important catalyst within the traditional treatment system.

The analysis of subgroup variations regarding exercise intervention types indicated that both group and individual sports were effective in alleviating depressive symptoms; however, group sports yielded a notably stronger positive impact. This discovery indicates that social interaction might significantly contribute to the antidepressant effects of exercise interventions. Participating in group exercise not only offers the physical advantages associated with activity but also promotes emotional connections and friendships among participants, thereby enhancing social support and creating a sense of community that improves therapeutic results (90). For young people, taking part in group exercise in a secure and encouraging social setting can boost self-esteem, lessen feelings of isolation, and enhance emotional regulation, resulting in more successful reduction of depressive symptoms (91). Moreover, engaging in group exercise typically entails collaboration, rivalry, and the attainment of goals—experiences that have the potential to enhance self-efficacy and foster a sense of achievement, thereby encouraging positive emotional states (92). While solitary exercise also plays a role in mood regulation, the absence of social interaction might restrict emotional backing and outside motivation, leading to a somewhat reduced effectiveness. Consequently, when creating exercise intervention strategies, it is recommended to focus on activities that are group-oriented, such as aerobics sessions, team sports, or training in small groups, in order to fully leverage the additional psychological advantages that come from social support and group dynamics.

Our study revealed the intervention effects of exercise on children and adolescents with depression. It provided an in-depth discussion of the efficacy and possible mechanisms across different intervention frequencies, session durations, intervention periods, and control group types. This study, however, does have particular limitations. First, the intervention characteristics among the included studies were not fully standardized. Differences existed in exercise intensity, duration, and frequency, which may have contributed to the observed heterogeneity and affected the pooled results. Although we conducted subgroup analyses to minimize this influence, the diversity in intervention designs still poses challenges for interpreting the overall effect. Furthermore, restricting the included studies to English-language peer-reviewed publications may have introduced language and publication bias, since studies in other languages or local journals that reported null or less favorable results might have been overlooked. This limitation may slightly reduce the comprehensiveness of our findings. In addition, although we prioritized studies with higher methodological quality during the screening process, the methodological risks present in some of the included studies still, to some extent, affected the credibility of the clinical evidence, thereby reducing the level of confidence in the study conclusions. Finally, some studies involved relatively small sample sizes, which may have methodological limitations and restrict the generalizability of the findings. In future studies, we plan to investigate and compare different types of exercise interventions, conducting multicenter randomized controlled trials and long-term follow-ups to clarify the differences among various exercise modalities in alleviating depressive symptoms, maintaining long-term efficacy, and improving psychosocial functioning. We also intend to include studies published in multiple languages to expand the search scope, reduce potential bias, and provide more comprehensive insights.

Conclusion

The results of this study indicate that exercise interventions have significant therapeutic effects for children and adolescents with depression. Appropriate exercise frequencies are effective, with the best outcomes observed at more than three sessions per week. Sessions lasting less than 60 minutes were more effective than those lasting 60 minutes or longer. The eight-week intervention produced the most favorable results. Compared with traditional treatment methods, exercise interventions have achieved similarly positive effects. These findings provide strong evidence for optimizing exercise prescriptions and health management strategies for adolescent mental health. Educators, parents, and school administrators should incorporate age-appropriate physical activities into daily life and develop exercise programs with suitable frequency, duration, and intervention periods.

Data availability statement

The original contributions presented in the study are included in the article/Supplementary Material. Further inquiries can be directed to the corresponding author.

Author contributions

HY: Writing – review & editing, Writing – original draft, Software, Data curation, Conceptualization, Methodology. RC: Investigation, Software, Methodology, Writing – original draft, Data curation. DC: Data curation, Supervision, Writing – review & editing, Conceptualization. CL: Validation, Writing – review & editing.

Funding

The author(s) declare that no financial support was received for the research and/or publication of this article.

Acknowledgments

We extend our gratitude to all the researchers for their strong support of this study.

Conflict of interest

The authors declare that the research was conducted in the absence of any commercial or financial relationships that could be construed as a potential conflict of interest.

Generative AI statement

The author(s) declare that no Generative AI was used in the creation of this manuscript.

Any alternative text (alt text) provided alongside figures in this article has been generated by Frontiers with the support of artificial intelligence and reasonable efforts have been made to ensure accuracy, including review by the authors wherever possible. If you identify any issues, please contact us.

Publisher’s note

All claims expressed in this article are solely those of the authors and do not necessarily represent those of their affiliated organizations, or those of the publisher, the editors and the reviewers. Any product that may be evaluated in this article, or claim that may be made by its manufacturer, is not guaranteed or endorsed by the publisher.

Supplementary material

The Supplementary Material for this article can be found online at: https://www.frontiersin.org/articles/10.3389/fpsyt.2025.1699554/full#supplementary-material

References

1. Vos T, Allen C, Arora M, Barber RM, Bhutta ZA, Brown A, et al. Global, regional, and national incidence, prevalence, and years lived with disability for 310 diseases and injuries, 1990–2015: a systematic analysis for the Global Burden of Disease Study 2015. Lancet. (2016) 388:1545–602. doi: 10.1016/S0140-6736(16)31678-6

PubMed Abstract | Crossref Full Text | Google Scholar

2. Hua Z, Wang S, and Yuan X. Trends in age-standardized incidence rates of depression in adolescents aged 10–24 in 204 countries and regions from 1990 to 2019. J Affect Disord. (2024) 350:831–7. doi: 10.1016/j.jad.2024.01.009

PubMed Abstract | Crossref Full Text | Google Scholar

3. Lu B, Lin L, and Su X. Global burden of depression or depressive symptoms in children and adolescents: a systematic review and meta-analysis. J Affect Disord. (2024) 354:553–62. doi: 10.1016/j.jad.2024.03.074

PubMed Abstract | Crossref Full Text | Google Scholar

4. Psychogiou L, Navarro MC, Orri M, Côté SM, and Ahun MN. Childhood and adolescent depression symptoms and young adult mental health and psychosocial outcomes. JAMA Network Open. (2024) 7:e2425987–e2425987. doi: 10.1001/jamanetworkopen.2024.25987

PubMed Abstract | Crossref Full Text | Google Scholar

5. Grossberg A and Rice T. Depression and suicidal behavior in adolescents. Med Clinics. (2023) 107:169–82. doi: 10.1016/j.mcna.2022.04.005

PubMed Abstract | Crossref Full Text | Google Scholar

6. Fonseca-Pedrero E, Al-Halabí S, Pérez-Albéniz A, and Debbané M. Risk and protective factors in adolescent suicidal behaviour: A network analysis. Int J Environ Res Public Health. (2022) 19:1784. doi: 10.3390/ijerph19031784

PubMed Abstract | Crossref Full Text | Google Scholar

7. Copeland WE, Alaie I, Jonsson U, and Shanahan L. Associations of childhood and adolescent depression with adult psychiatric and functional outcomes. J Am Acad Child Adolesc Psychiatry. (2021) 60:604–11. doi: 10.1016/j.jaac.2020.07.895

PubMed Abstract | Crossref Full Text | Google Scholar

8. Miller L and Campo JV. Depression in adolescents. New Engl J Med. (2021) 385:445–9. doi: 10.1056/NEJMra2033475

PubMed Abstract | Crossref Full Text | Google Scholar

9. Strawn JR, Mills JA, Poweleit EA, Ramsey LB, and Croarkin PE. Adverse effects of antidepressant medications and their management in children and adolescents. Pharmacother: J Hum Pharmacol Drug Ther. (2023) 43:675–90. doi: 10.1002/phar.2767

PubMed Abstract | Crossref Full Text | Google Scholar

10. Thapar A, Eyre O, Patel V, and Brent D. Depression in young people. Lancet. (2022) 400:617–31. doi: 10.1016/S0140-6736(22)01012-1

PubMed Abstract | Crossref Full Text | Google Scholar

11. Siciliani L, Moran V, and Borowitz M. Measuring and comparing health care waiting times in OECD countries. Health Policy. (2014) 118:292–303. doi: 10.1016/j.healthpol.2014.08.011

PubMed Abstract | Crossref Full Text | Google Scholar

12. Kalaman CR, Ibrahim N, Shaker V, Cham CQ, Ho MC, Visvalingam U, et al. Parental factors associated with child or adolescent medication adherence: a systematic review. Healthcare. (2023) 11:501. doi: 10.3390/healthcare11040501

PubMed Abstract | Crossref Full Text | Google Scholar

13. Samari E, Teh WL, Roystonn K, Devi F, Cetty L, Shahwan S, et al. Perceived mental illness stigma among family and friends of young people with depression and its role in help-seeking: a qualitative inquiry. BMC Psychiatry. (2022) 22:107. doi: 10.1186/s12888-022-03754-0

PubMed Abstract | Crossref Full Text | Google Scholar

14. Carney R and Firth J. Exercise interventions in child and adolescent mental health care: An overview of the evidence and recommendations for implementation. JCPP Adv. (2021) 1:e12031. doi: 10.1002/jcv2.12031

PubMed Abstract | Crossref Full Text | Google Scholar

15. Imboden C, Gerber M, Beck J, Eckert A, Lejri I, Pühse U, et al. Aerobic exercise and stretching as add-on to inpatient treatment for depression have no differential effects on stress-axis activity, serum-BDNF, TNF-alpha and objective sleep measures. Brain Sci. (2021) 11:411. doi: 10.3390/brainsci11040411

PubMed Abstract | Crossref Full Text | Google Scholar

16. Pickersgill JW, Turco CV, Ramdeo K, Rehsi RS, Foglia SD, and Nelson AJ. The combined influences of exercise, diet and sleep on neuroplasticity. Front Psychol. (2022) 13:831819. doi: 10.3389/fpsyg.2022.831819

PubMed Abstract | Crossref Full Text | Google Scholar

17. Ye J, Jia X, Zhang J, and Guo K. Effect of physical exercise on sleep quality of college students: Chain intermediary effect of mindfulness and ruminative thinking. Front Psychol. (2022) 13:987537. doi: 10.3389/fpsyg.2022.987537

PubMed Abstract | Crossref Full Text | Google Scholar

18. Sunesson E, Haglund E, Bremander A, Jarbin H, and Larsson I. Adolescents’ experiences of facilitators for and barriers to maintaining exercise 12 months after a group-based intervention for depression. Int J Environ Res Public Health. (2021) 18:5427. doi: 10.3390/ijerph18105427

PubMed Abstract | Crossref Full Text | Google Scholar

19. Noetel M, Sanders T, Gallardo-Gómez D, Taylor P, del Pozo Cruz B, Van Den Hoek D, et al. Effect of exercise for depression: systematic review and network meta-analysis of randomised controlled trials. bmj. (2024), 384. doi: 10.1136/bmj-2023-075847

PubMed Abstract | Crossref Full Text | Google Scholar

20. Zhang CS, Cheng L, Chen X, Wang Y, Wei S, and Sun J. The strategies of exercise intervention for adolescent depression: A meta-analysis of randomized controlled trials. Front Psychol. (2023) 13:974382. doi: 10.3389/fpsyg.2022.974382

PubMed Abstract | Crossref Full Text | Google Scholar

21. Recchia F, Bernal JD, Fong DY, Wong SH, Chung PK, Chan DK, et al. Physical activity interventions to alleviate depressive symptoms in children and adolescents: a systematic review and meta-analysis. JAMA Pediatr. (2023) 177:132–40. doi: 10.1001/jamapediatrics.2022.5090

PubMed Abstract | Crossref Full Text | Google Scholar

22. Wang X, Cai ZD, Jiang WT, Fang YY, Sun WX, and Wang X. Systematic review and meta-analysis of the effects of exercise on depression in adolescents. Child Adolesc Psychiatry Ment Health. (2022) 16:16. doi: 10.1186/s13034-022-00453-2

PubMed Abstract | Crossref Full Text | Google Scholar

23. Li J, Zhou X, Huang Z, and Shao T. Effect of exercise intervention on depression in children and adolescents: a systematic review and network meta-analysis. BMC Public Health. (2023) 23:1918. doi: 10.1186/s12889-023-16824-z

PubMed Abstract | Crossref Full Text | Google Scholar

24. Axelsdottir B, Biedilæ S, Sagatun Å, Nordheim LV, and Larun L. Exercise for depression in children and adolescents–a systematic review and meta-analysis. Child Adolesc Ment Health. (2021) 26:347–56.

Google Scholar

25. Amatriain-Fernández S, Ezquerro García-Noblejas M, and Budde H. Effects of chronic exercise on the inhibitory control of children and adolescents: A systematic review and meta-analysis. Scandinavian J Med Sci Sports. (2021) 31:1196–208.

PubMed Abstract | Google Scholar

26. Page MJ, McKenzie JE, Bossuyt PM, Boutron I, Hoffmann TC, Mulrow CD, et al. The PRISMA 2020 statement: an updated guideline for reporting systematic reviews. bmj. (2021) 372.

Google Scholar

27. Bu T, Popovic S, Huang H, Fu T, and Gardasevic J. Relationship between national economic development and body mass index in Chinese children and adolescents aged 5–19 from 1986 to 2019. Front Pediatr. (2021) 9:671504. doi: 10.3389/fped.2021.671504

PubMed Abstract | Crossref Full Text | Google Scholar

28. Budde H, Schwarz R, Velasques B, Ribeiro P, and Wegner M. The need for differentiating between exercise, physical activity, and training. Autoimmun Rev. (2016) 15:110–1. doi: 10.1016/j.autrev.2015.09.004

PubMed Abstract | Crossref Full Text | Google Scholar

29. Sterne JA, Savović J, Page MJ, Elbers RG, Blencowe NS, Boutron I, et al. RoB 2: a revised tool for assessing risk of bias in randomised trials. bmj. (2019) 366. doi: 10.1136/bmj.l4898

PubMed Abstract | Crossref Full Text | Google Scholar

30. Cumpston M, Li T, Page MJ, Chandler J, Welch VA, Higgins JP, et al. Updated guidance for trusted systematic reviews: a new edition of the Cochrane Handbook for Systematic Reviews of Interventions. Cochrane Database systematic Rev. (2019) 2019:ED000142. doi: 10.1002/14651858.ED000142

PubMed Abstract | Crossref Full Text | Google Scholar

31. Viechtbauer W and Cheung MWL. Outlier and influence diagnostics for meta-analysis. Res synthesis Methods. (2010) 1:112–25. doi: 10.1002/jrsm.11

PubMed Abstract | Crossref Full Text | Google Scholar

32. Jeong YJ, Hong SC, Lee MS, Park MC, Kim YK, and Suh CM. Dance movement therapy improves emotional responses and modulates neurohormones in adolescents with mild depression. Int J Neurosci. (2005) 115:1711–20. doi: 10.1080/00207450590958574

PubMed Abstract | Crossref Full Text | Google Scholar

33. Nabkasorn C, Miyai N, Sootmongkol A, Junprasert S, Yamamoto H, Arita M, et al. Effects of physical exercise on depression, neuroendocrine stress hormones and physiological fitness in adolescent females with depressive symptoms. Eur J Public Health. (2006) 16:179–84. doi: 10.1093/eurpub/cki159

PubMed Abstract | Crossref Full Text | Google Scholar

34. Mohammadi M. A study and comparison of the effect of team sports (soccer and volleyball) and individual sports (table tennis and badminton) on depression among high school students. Aust J Basic Appl Sci. (2011) 5:1005–11.

Google Scholar

35. Hughes CW, Barnes S, Barnes C, DeFina LF, Nakonezny P, and Emslie GJ. Depressed Adolescents Treated with Exercise (DATE): A pilot randomized controlled trial to test feasibility and establish preliminary effect sizes. Ment Health Phys activity. (2013) 6:119–31. doi: 10.1016/j.mhpa.2013.06.006

PubMed Abstract | Crossref Full Text | Google Scholar

36. Carter T, Guo B, Turner D, Morres I, Khalil E, Brighton E, et al. Preferred intensity exercise for adolescents receiving treatment for depression: a pragmatic randomised controlled trial. BMC Psychiatry. (2015) 15:247. doi: 10.1186/s12888-015-0638-z

PubMed Abstract | Crossref Full Text | Google Scholar

37. Turner D, Carter T, Sach T, Guo B, and Callaghan P. Cost-effectiveness of a preferred intensity exercise programme for young people with depression compared with treatment as usual: an economic evaluation alongside a clinical trial in the UK. BMJ Open. (2017) 7:e016211. doi: 10.1136/bmjopen-2017-016211

PubMed Abstract | Crossref Full Text | Google Scholar

38. Wunram HL, Hamacher S, Hellmich M, Volk M, Jänicke F, Reinhard F, et al. Whole body vibration added to treatment as usual is effective in adolescents with depression: a partly randomized, three-armed clinical trial in inpatients. Eur Child Adolesc Psychiatry. (2018) 27:645–62. doi: 10.1007/s00787-017-1071-2

PubMed Abstract | Crossref Full Text | Google Scholar

39. Zhang J, Qin S, Zhou Y, Meng L, Su H, and Zhao S. A randomized controlled trial of mindfulness-based Tai Chi Chuan for subthreshold depression adolescents. Neuropsychiatr Dis Treat. (2018), 2313–21. doi: 10.2147/NDT.S173255

PubMed Abstract | Crossref Full Text | Google Scholar

40. Silva LAD, Doyenart R, Henrique Salvan P, Rodrigues W, Felipe Lopes J, Gomes K, et al. Swimming training improves mental health parameters, cognition and motor coordination in children with Attention Deficit Hyperactivity Disorder. Int J Environ Health Res. (2020) 30:584–92. doi: 10.1080/09603123.2019.1612041

PubMed Abstract | Crossref Full Text | Google Scholar

41. Lin K, Stubbs B, Zou W, Zheng W, Lu W, Gao Y, et al. Aerobic exercise impacts the anterior cingulate cortex in adolescents with subthreshold mood syndromes: a randomized controlled trial study. Trans Psychiatry. (2020) 10:155. doi: 10.1038/s41398-020-0840-8

PubMed Abstract | Crossref Full Text | Google Scholar

42. Zhang J and Ji W. Exercise intervention improves the quality of life, anxiety, and depression of adolescent depression patients. Int J Clin Exp Med. (2021) 14:1292–300.

Google Scholar

43. Philippot A, Dubois V, Lambrechts K, Grogna D, Robert A, Jonckheer U, et al. Impact of physical exercise on depression and anxiety in adolescent inpatients: A randomized controlled trial. J Affect Disord. (2022) 301:145–53. doi: 10.1016/j.jad.2022.01.011

PubMed Abstract | Crossref Full Text | Google Scholar

44. Seddigh S, Bagheri S, Sharifi N, Moravej H, and Hadian Shirazi Z. The effect of yoga therapy directed by virtual training on depression of adolescent girls with type 1 diabetes: a randomized controlled trial. J Diabetes Metab Disord. (2023) 22:1273–81. doi: 10.1007/s40200-023-01245-x

PubMed Abstract | Crossref Full Text | Google Scholar

45. Uebelacker LA, Wolff JC, Guo J, Conte K, Tremont G, Kraines M, et al. Assessing feasibility and acceptability of yoga and group CBT for adolescents with depression: A pilot randomized clinical trial. Clin Child Psychol Psychiatry. (2023) 28:525–40. doi: 10.1177/13591045221092885

PubMed Abstract | Crossref Full Text | Google Scholar

46. Gu Q, Zhao X, Lin L, Teo WP, Liu L, and Yuan S. Effects of open-skill and closed-skill exercise on subthreshold depression in female adolescents: a randomized controlled trial. Int J Clin Health Psychol. (2024) 24:100512. doi: 10.1016/j.ijchp.2024.100512

PubMed Abstract | Crossref Full Text | Google Scholar

47. Peters JL, Sutton AJ, Jones DR, Abrams KR, and Rushton L. Comparison of two methods to detect publication bias in meta-analysis. Jama. (2006) 295:676–80. doi: 10.1001/jama.295.6.676

PubMed Abstract | Crossref Full Text | Google Scholar

48. Qiu X, Lu P, Zeng X, Jin S, and Chen X. Study on the mechanism for SIRT1 during the process of exercise improving depression. Brain Sci. (2023) 13:719. doi: 10.3390/brainsci13050719

PubMed Abstract | Crossref Full Text | Google Scholar

49. Ren J and Xiao H. Exercise for mental well-being: exploring neurobiological advances and intervention effects in depression. Life. (2023) 13:1505. doi: 10.3390/life13071505

PubMed Abstract | Crossref Full Text | Google Scholar

50. Rico-González M, González-Devesa D, Gómez-Carmona CD, and Moreno-Villanueva A. Exercise as modulator of brain-derived neurotrophic factor in adolescents: A systematic review of randomized controlled trials. Sports. (2025) 13:253. doi: 10.3390/sports13080253

PubMed Abstract | Crossref Full Text | Google Scholar

51. Ballesio A, Zagaria A, Curti DG, Moran R, Goadsby PJ, Rosenzweig I, et al. Peripheral brain-derived neurotrophic factor (BDNF) in insomnia: A systematic review and meta-analysis. Sleep Med Rev. (2023) 67:101738. doi: 10.1016/j.smrv.2022.101738

PubMed Abstract | Crossref Full Text | Google Scholar

52. Budde H, Dolz N, Mueller-Alcazar A, Schacht F, Velasques B, Ribeiro P, et al. A 10 years update of effects of exercise on depression disorders—in otherwise healthy adults: A systematic review of meta-analyses and neurobiological mechanisms. PloS One. (2025) 20:e0317610. doi: 10.1371/journal.pone.0317610

PubMed Abstract | Crossref Full Text | Google Scholar

53. Yalçin M, Mundorf A, Thiel F, Amatriain-Fernández S, Kalthoff IS, Beucke JC, et al. It’s about time: the circadian network as time-keeper for cognitive functioning, locomotor activity and mental health. Front Physiol. (2022) 13:873237.

PubMed Abstract | Google Scholar

54. Refsgaard E, Schmedes AV, and Martiny K. Salivary cortisol awakening response as a predictor for depression severity in adult patients with a major depressive episode performing a daily exercise program. Neuropsychobiology. (2022) 81:246–56. doi: 10.1159/000521234

PubMed Abstract | Crossref Full Text | Google Scholar

55. Budde H, Velasques B, Ribeiro P, MaChado S, Emeljanovas A, Kamandulis S, et al. Does intensity or youth affect the neurobiological effect of exercise on major depressive disorder? Neurosci Biobehav Rev. (2018) 84:492–4. doi: 10.1016/j.neubiorev.2016.09.026

PubMed Abstract | Crossref Full Text | Google Scholar

56. Agorastos A and Chrousos GP. The neuroendocrinology of stress: the stress-related continuum of chronic disease development. Mol Psychiatry. (2022) 27:502–13. doi: 10.1038/s41380-021-01224-9

PubMed Abstract | Crossref Full Text | Google Scholar

57. Knatauskaitė J, Pukėnas K, Trinkūnienė L, and Budde H. A randomized controlled trial on the influence of two types of exercise training vs control on visuospatial processing and mathematical skills: The role of cortisol. Physiol Behav. (2021) 229:113213. doi: 10.1016/j.physbeh.2020.113213

PubMed Abstract | Crossref Full Text | Google Scholar

58. Caplin A, Chen FS, Beauchamp MR, and Puterman E. The effects of exercise intensity on the cortisol response to a subsequent acute psychosocial stressor. Psychoneuroendocrinology. (2021) 131:105336. doi: 10.1016/j.psyneuen.2021.105336

PubMed Abstract | Crossref Full Text | Google Scholar

59. Gronwald T, Velasques B, Ribeiro P, MaChado S, Murillo-Rodríguez E, Ludyga S, et al. Increasing exercise’s effect on mental health: Exercise intensity does matter. Proc Natl Acad Sci. (2018) 115:E11890–1. doi: 10.1073/pnas.1818161115

PubMed Abstract | Crossref Full Text | Google Scholar

60. Akko DP, Koutsandréou F, Murillo-Rodríguez E, Wegner M, and Budde H. The effects of an exercise training on steroid hormones in preadolescent children - a moderator for enhanced cognition? Physiol Behav. (2020) 2):113168.

PubMed Abstract | Google Scholar

61. Khede Lamego M, Marcos de Souza Moura A, Paes F, Barbosa Ferreira Rocha N, Souza de Sá Filho A, Lattari E, et al. Aerobic exercise does not predict brain derived neurotrophic factor and cortisol alterations in depressed patients. CNS Neurological Disorders-Drug Targets-CNS Neurological Disorders). (2015) 14:1116–28. doi: 10.2174/1871527315666151111125402

PubMed Abstract | Crossref Full Text | Google Scholar

62. McGranahan MJ and O’Connor PJ. Exercise training effects on sleep quality and symptoms of anxiety and depression in post-traumatic stress disorder: a systematic review and meta-analysis of randomized control trials. Ment Health Phys Activity. (2021) 20:100385. doi: 10.1016/j.mhpa.2021.100385

Crossref Full Text | Google Scholar

63. Zhang MM, Ma Y, Du LT, Wang K, Li Z, Zhu W, et al. Sleep disorders and non-sleep circadian disorders predict depression: A systematic review and meta-analysis of longitudinal studies. Neurosci Biobehav Rev. (2022) 134:104532. doi: 10.1016/j.neubiorev.2022.104532

PubMed Abstract | Crossref Full Text | Google Scholar

64. Da Silveira MP, da Silva Fagundes KK, Bizuti MR, Starck É, Rossi RC, and de Resende e Silva DT. Physical exercise as a tool to help the immune system against COVID-19: an integrative review of the current literature. Clin Exp Med. (2021) 21:15–28. doi: 10.1007/s10238-020-00650-3

PubMed Abstract | Crossref Full Text | Google Scholar

65. Pahlavani HA. Possible role of exercise therapy on depression: Effector neurotransmitters as key players. Behav Brain Res. (2024) 459:114791. doi: 10.1016/j.bbr.2023.114791

PubMed Abstract | Crossref Full Text | Google Scholar

66. Verburgh L, Königs M, Scherder EJ, and Oosterlaan J. Physical exercise and executive functions in preadolescent children, adolescents and young adults: a meta-analysis. Br J sports Med. (2014) 48:973–9. doi: 10.1136/bjsports-2012-091441

PubMed Abstract | Crossref Full Text | Google Scholar

67. Cooney GM, Dwan K, Greig CA, Lawlor DA, Rimer J, Waugh FR, et al. Exercise for depression. Cochrane Database systematic Rev. (2013) 9). doi: 10.1002/14651858.CD004366.pub6

PubMed Abstract | Crossref Full Text | Google Scholar

68. Xie Y, Wu Z, Sun L, Zhou L, Wang G, Xiao L, et al. The effects and mechanisms of exercise on the treatment of depression. Front Psychiatry. (2021) 12:705559. doi: 10.3389/fpsyt.2021.705559

PubMed Abstract | Crossref Full Text | Google Scholar

69. Yu D, Shimura M, and Kawanishi M. Influence of different training regimens and regular exercise habits on physical strength, anxiety, and depression in adolescents. Sci Rep. (2025) 15:24016. doi: 10.1038/s41598-025-09793-3

PubMed Abstract | Crossref Full Text | Google Scholar

70. Chu-Ko F, Chong ML, Chung CJ, Chang CC, Liu HY, and Huang LC. Exploring the factors related to adolescent health literacy, health-promoting lifestyle profile, and health status. BMC Public Health. (2021) 21:2196. doi: 10.1186/s12889-021-12239-w

PubMed Abstract | Crossref Full Text | Google Scholar

71. Budde H, Gronwald T, and Vancampfort D. Context and differentiation in antidepressant effects of physical activity in children and adolescents. JAMA Pediatr. (2023). doi: 10.1001/JAMAPEDIATRICS.2023.0505

PubMed Abstract | Crossref Full Text | Google Scholar

72. Ji C, Yang J, Lin L, and Chen S. Physical exercise ameliorates anxiety, depression and sleep quality in college students: experimental evidence from exercise intensity and frequency. Behav Sci. (2022) 12:61. doi: 10.3390/bs12030061

PubMed Abstract | Crossref Full Text | Google Scholar

73. Rethorst CD, Wipfli BM, and Landers DM. The antidepressive effects of exercise: a meta-analysis of randomized trials. Sports Med. (2009) 39:491–511. doi: 10.2165/00007256-200939060-00004

PubMed Abstract | Crossref Full Text | Google Scholar

74. Islam H, Gibala MJ, and Little JP. Exercise snacks: a novel strategy to improve cardiometabolic health. Exercise sport Sci Rev. (2022) 50:31–7. doi: 10.1249/JES.0000000000000275

PubMed Abstract | Crossref Full Text | Google Scholar

75. Chen YC, Chen C, and Cheng Y. Neural mechanisms Underlying Affective Regulation During Exercise. In: Sport and Exercise Psychophysiology. Springer Nature Switzerland, Cham (2025). p. 371–89.

Google Scholar

76. Yan K, Gao H, Liu X, Zhao Z, Gao B, and Zhang L. Establishment and identification of an animal model of long-term exercise-induced fatigue. Front Endocrinol. (2022) 13:915937. doi: 10.3389/fendo.2022.915937

PubMed Abstract | Crossref Full Text | Google Scholar

77. Shi R, Zhang J, Fang B, Tian X, Feng Y, Cheng Z, et al. Runners’ metabolomic changes following marathon. Nutr Metab. (2020) 17:19. doi: 10.1186/s12986-020-00436-0

PubMed Abstract | Crossref Full Text | Google Scholar

78. Peng Y, Zhang G, and Pang H. Impact of short-duration aerobic exercise intensity on executive function and sleep. arXiv preprint arXiv:2503.09077. (2025).

Google Scholar

79. Huang W and Wong TL. Exercise prescriptions for young people’s emotional wellbeing: a systematic review of physical activity intensity, duration, and modality. Front Psychol. (2025) 16:1552531. doi: 10.3389/fpsyg.2025.1552531

PubMed Abstract | Crossref Full Text | Google Scholar

80. Bernstein EE, Curtiss JE, Wu GW, Barreira PJ, and McNally RJ. Exercise and emotion dynamics: An experience sampling study. Emotion. (2019) 19:637. doi: 10.1037/emo0000462

PubMed Abstract | Crossref Full Text | Google Scholar

81. Rivera-Brown AM and Frontera WR. Principles of exercise physiology: responses to acute exercise and long-term adaptations to training. Pm&r. (2012) 4:797–804.

PubMed Abstract | Google Scholar

82. Zhou T, Cheng G, Wu X, Li R, Li C, Tian G, et al. The associations between sleep duration, academic pressure, and depressive symptoms among Chinese adolescents: results from China family panel studies. Int J Environ Res Public Health. (2021) 18:6134. doi: 10.3390/ijerph18116134

PubMed Abstract | Crossref Full Text | Google Scholar

83. Lakicevic N, Gentile A, Mehrabi S, Cassar S, Parker K, Roklicer R, et al. Make fitness fun: could novelty be the key determinant for physical activity adherence? Front Psychol. (2020) 11:577522. doi: 10.3389/fpsyg.2020.577522

PubMed Abstract | Crossref Full Text | Google Scholar

84. Singh B, Murphy A, Maher C, and Smith AE. Time to form a habit: A systematic review and meta-analysis of health behaviour habit formation and its determinants. Healthcare (Basel Switzerland). (2024) 12:2488. doi: 10.3390/healthcare12232488

PubMed Abstract | Crossref Full Text | Google Scholar

85. Shao T and Zhou X. Correlates of physical activity habits in adolescents: A systematic review. Front Physiol. (2023) 14:1131195. doi: 10.3389/fphys.2023.1131195

PubMed Abstract | Crossref Full Text | Google Scholar

86. Wegner M, Amatriain-Fernández S, Kaulitzky A, Murillo-Rodriguez E, MaChado S, and Budde H. Systematic review of meta-analyses: Exercise effects on depression in children and adolescents. Front Psychiatry. (2020) 11:81. doi: 10.3389/fpsyt.2020.00081

PubMed Abstract | Crossref Full Text | Google Scholar

87. Carter T, Morres ID, Meade O, and Callaghan P. The effect of exercise on depressive symptoms in adolescents: a systematic review and meta-analysis. J Am Acad Child Adolesc Psychiatry. (2016) 55:580–90. doi: 10.1016/j.jaac.2016.04.016

PubMed Abstract | Crossref Full Text | Google Scholar

88. Braund TA, Tillman G, Palmer DM, Gordon E, Rush AJ, and Harris AW. Antidepressant side effects and their impact on treatment outcome in people with major depressive disorder: an iSPOT-D report. Trans Psychiatry. (2021) 11:417. doi: 10.1038/s41398-021-01533-1

PubMed Abstract | Crossref Full Text | Google Scholar

89. Hossain MN, Lee J, Choi H, Kwak YS, and Kim J. The impact of exercise on depression: how moving makes your brain and body feel better. Phys activity Nutr. (2024) 28:43. doi: 10.20463/pan.2024.0015

PubMed Abstract | Crossref Full Text | Google Scholar

90. Dingle GA, Sharman LS, Haslam C, Donald M, Turner C, Partanen R, et al. The effects of social group interventions for depression: Systematic review. J Affect Disord. (2021) 281:67–81. doi: 10.1016/j.jad.2020.11.125

PubMed Abstract | Crossref Full Text | Google Scholar

91. Stevens M, Lieschke J, Cruwys T, Cárdenas D, Platow MJ, and Reynolds KJ. Better together: How group-based physical activity protects against depression. Soc Sci Med. (2021) 286:114337. doi: 10.1016/j.socscimed.2021.114337

PubMed Abstract | Crossref Full Text | Google Scholar

92. Reinodt S, Haglund E, Bremander A, Jarbin H, and Larsson I. Adolescents’ long-term experiences of manageability, comprehensibility, and meaningfulness of a group-based exercise intervention for depression. Int J Environ Res Public Health. (2022) 19:2894. doi: 10.3390/ijerph19052894

PubMed Abstract | Crossref Full Text | Google Scholar

Keywords: exercise intervention, depression, children and adolescents, meta-analysis, systematic review

Citation: Yan H, Chen R, Chen D and Li C (2025) Effectiveness of exercise intervention on children and adolescents with depression: a systematic review and meta-analysis of randomized controlled trial. Front. Psychiatry 16:1699554. doi: 10.3389/fpsyt.2025.1699554

Received: 05 September 2025; Accepted: 20 October 2025;
Published: 04 November 2025.

Edited by:

Jiansong Zhou, Central South University, China

Reviewed by:

Herli Pardilla, Sekolah Tinggi Olahraga dan Kesehatan Bina Guna, Indonesia
Katja Kauczor-Rieck, University Homburg, Germany

Copyright © 2025 Yan, Chen, Chen and Li. This is an open-access article distributed under the terms of the Creative Commons Attribution License (CC BY). The use, distribution or reproduction in other forums is permitted, provided the original author(s) and the copyright owner(s) are credited and that the original publication in this journal is cited, in accordance with accepted academic practice. No use, distribution or reproduction is permitted which does not comply with these terms.

*Correspondence: Haoming Yan, eWhtNTI1Mzc3MzIyQDE2My5jb20=

Disclaimer: All claims expressed in this article are solely those of the authors and do not necessarily represent those of their affiliated organizations, or those of the publisher, the editors and the reviewers. Any product that may be evaluated in this article or claim that may be made by its manufacturer is not guaranteed or endorsed by the publisher.