ORIGINAL RESEARCH article
Front. Psychiatry
Sec. Aging Psychiatry
Effectiveness of a group intervention to enhance resilience and improve the well-being of family caregivers of dementia patients
Provisionally accepted- 1Centro de Salud de Armunia (León), León, Spain
- 2HeQoL Research Group, Department of Nursing and Physiotherapy, University of León, León, Spain
- 3HeQoL Research Group. Nursing and Physiotherapy Department. University of León, León, Spain
- 4Department of Nursing and Physiotherapy, University of León, León, Spain
Select one of your emails
You have multiple emails registered with Frontiers:
Notify me on publication
Please enter your email address:
If you already have an account, please login
You don't have a Frontiers account ? You can register here
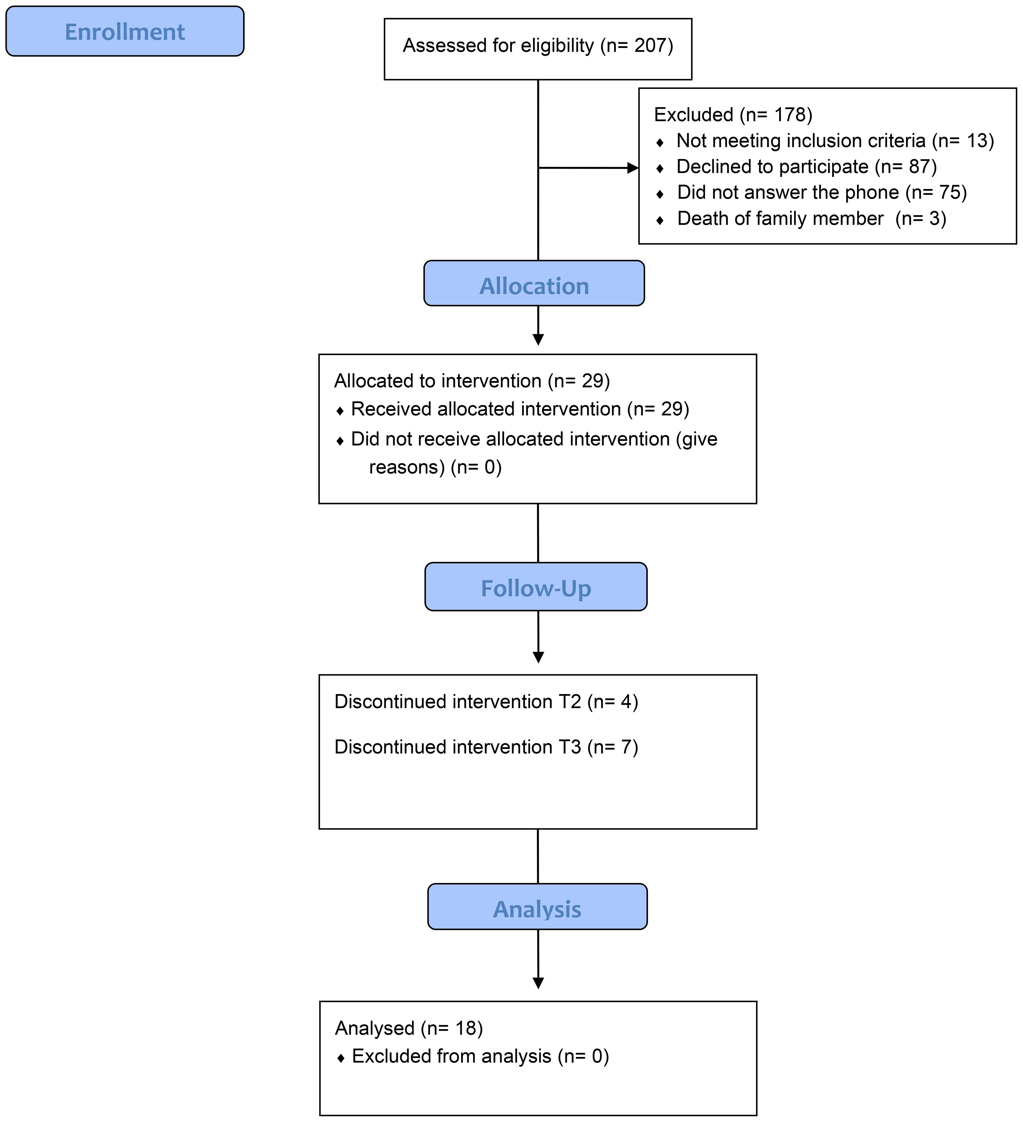
IResilience is a key psychological resource for managing the emotional and physical demands associated with caring for people with dementia. It promotes psychological stability and protects caregiver health. However, evidence on structured interventions specifically designed to strengthen resilience in this population remains scarce. This study aimed to evaluate the effectiveness of a group-based intervention to enhance resilience in dementia caregivers, primary outcome, and to determine whether effects persisted three months post-intervention. Caregiver burden, coping strategies, and social support were examined as secondary outcomes. Methods: A quasi-experimental study with a single-group pre-test/post-test design was conducted with data collected at three time points: baseline (T1), post-intervention (T2), and three months post-intervention (T3). Sociodemographic characteristics were recorded, and resilience was measured using the CD-RISC 10. Caregiving burden was assessed with the Zarit Burden Interview, coping strategies with the CSQ Questionnaire, and perceived social support with the MOS Social Support Survey. The Wilcoxon signed-rank test was used for multiple comparisons (T1–T2–T3). Results: A significant increase in resilience was observed at post-intervention (T1–T2; p = 0.036), maintained at three-month follow-up (T1–T3; p = 0.040). Significant differences were found in caregiver burden (Zarit) between T2–T3 (p = 0.033), and in coping strategies: problem-solving (T2–T3, p = 0.032; T1–T3, p = 0.021), open emotional expression (T1–T2, p = 0.011; T1–T3, p = 0.041), and use of religion (T1–T2, p = 0.026). No significant changes were found in perceived social support. Conclusions: The intervention effectively enhanced resilience, improved adaptive coping strategies, and reduced caregiver burden. Healthcare professionals are encouraged to promote such interventions to support the well-being of dementia caregivers.
Keywords: resilience, Dementia, caregiver, Health Education, Public Health, Nurses, Community Health
Received: 09 Sep 2025; Accepted: 12 Nov 2025.
Copyright: © 2025 LOMA RAMOS, Fernández-Martínez, González, Bello-Corral and Sánchez-Valdeón. This is an open-access article distributed under the terms of the Creative Commons Attribution License (CC BY). The use, distribution or reproduction in other forums is permitted, provided the original author(s) or licensor are credited and that the original publication in this journal is cited, in accordance with accepted academic practice. No use, distribution or reproduction is permitted which does not comply with these terms.
* Correspondence: Elena Fernández-Martínez, elena.fernandez@unileon.es
Disclaimer: All claims expressed in this article are solely those of the authors and do not necessarily represent those of their affiliated organizations, or those of the publisher, the editors and the reviewers. Any product that may be evaluated in this article or claim that may be made by its manufacturer is not guaranteed or endorsed by the publisher.
