SYSTEMATIC REVIEW article
Front. Psychiatry
Sec. Anxiety and Stress Disorders
Association between Androgenetic Alopecia and Psychological Well-being: A Systematic Review and Meta-analysis
Provisionally accepted- 1Department of Dermatology, Beijing Changping Hospital of Integrated Chinese and Western Medicine, Beijing, China
- 2Department of Physical Fitness and Health, School of Sport Science, Beijing Sport University, Beijing, China
- 3Key Laboratory of Exercise and Physical Fitness (Beijing Sport University), Ministry of Education, Beijing, China
Select one of your emails
You have multiple emails registered with Frontiers:
Notify me on publication
Please enter your email address:
If you already have an account, please login
You don't have a Frontiers account ? You can register here
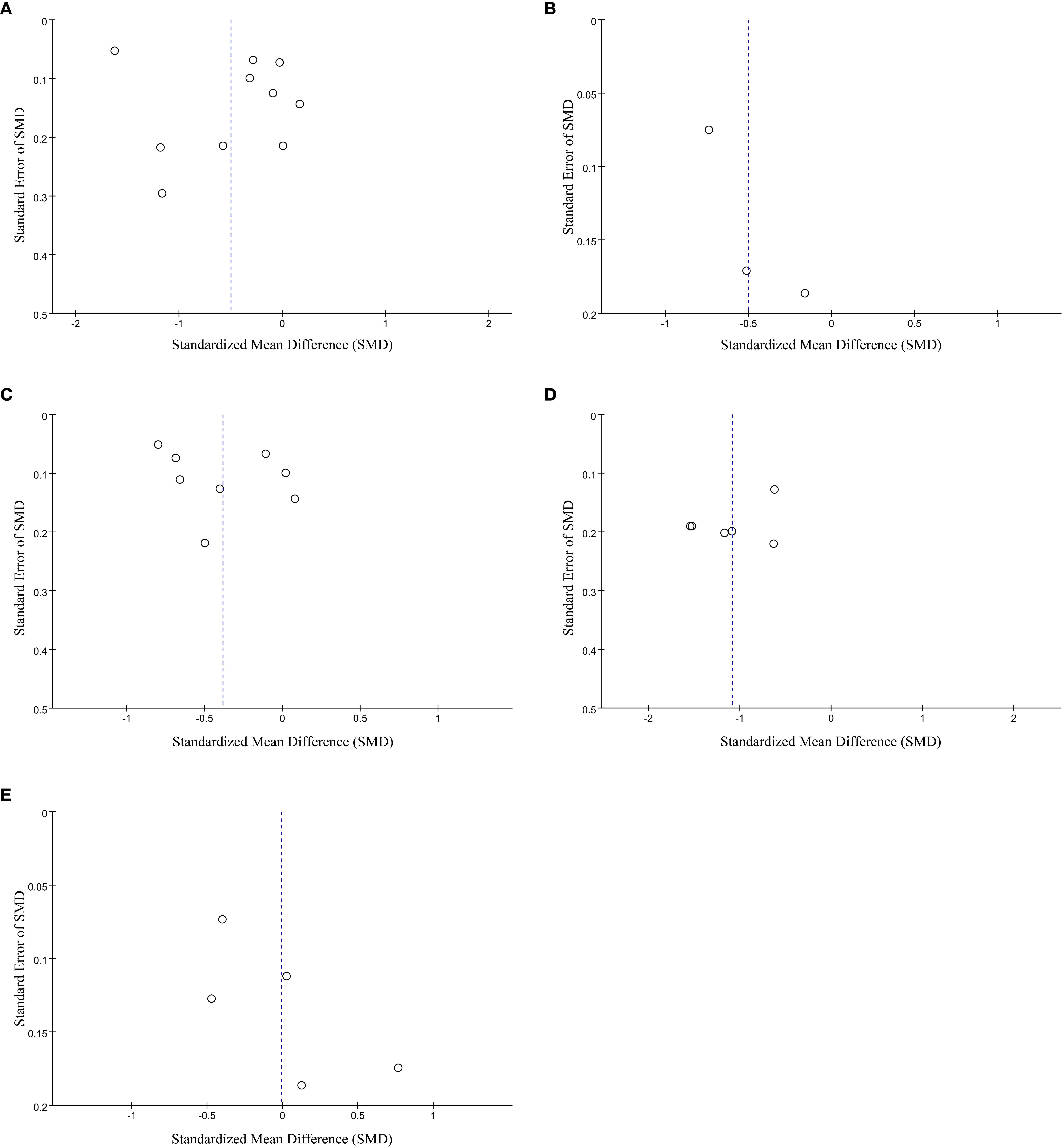
Background: Androgenetic alopecia (AGA) is a prevalent chronic condition with health burden, yet its association with psychological well-being remains inconsistent. This study systematically examines differences in psychological well-being between AGA patients and non-AGA controls, focusing on symptoms of anxiety, symptoms of depression, stress, and other psychological issues. Methods: Following the Preferred Reporting Items for Systematic Reviews and Meta-Analyses guidelines, a systematic search was conducted across 7 databases (CNKI, Wanfang, PubMed, Web of Science, Cochrane, EMBASE, EBSCO series) from their inception to June 30, 2025. A total of 13 studies were included, comprising 2,737 AGA patients and 17,382 controls. Study quality was assessed using the Agency for Healthcare Research and Quality (AHRQ) tool for cross-sectional studies and Newcastle-Ottawa Scale (NOS) for case-control studies. Effect sizes were pooled using a random-effects model, supplemented by sensitivity analysis and publication bias assessment to ensure the robustness of the results. Results: Compared to non-AGA controls, AGA patients demonstrated significantly higher levels of generalized anxiety symptoms (pooled SMD = -0.50, 95% CI [-0.99, 0.00], p = 0.05), social anxiety symptoms (pooled SMD = -0.50, 95% CI [-0.84,-0.16], p = 0.004), depression symptoms (pooled SMD = -0.38, 95% CI [-0.65,-0.12], p = 0.004), and perceived stress (pooled SMD = -1.09, 95% CI [-1.43,-0.74], p < 0.001). However, no significant difference was observed in general distress (pooled SMD = -0.01, 95% CI [-0.39,0.37], p = 0.97). Qualitatively, AGA patients also exhibited reduced self-esteem, life satisfaction, and emotional intelligence dimensions, along with greater body image dissatisfaction, somatization, interpersonal sensitivity, and psychoticism. This is a provisional file, not the final typeset article Conclusion: AGA patients experience increased levels of symptoms of anxiety, symptoms of depression, stress, body image dissatisfaction, somatization, interpersonal sensitivity, and psychoticism, as well as decreased self-esteem, life satisfaction, emotional intelligence, self-actualization, problem-solving ability, optimism, and happiness. In the future, clinical treatment should focus on patient psychological well-being through assessments and timely interventions, and further research should be conducted to provide precise clinical guidance. Systematic review registration: https://www.crd.york.ac.uk/PROSPERO/, identifier CRD420250655604.
Keywords: Androgenetic alopecia1, Psychology2, anxiety3, depression4, stress5, Meta6
Received: 15 Sep 2025; Accepted: 10 Nov 2025.
Copyright: © 2025 Kong, Shang and Zhang. This is an open-access article distributed under the terms of the Creative Commons Attribution License (CC BY). The use, distribution or reproduction in other forums is permitted, provided the original author(s) or licensor are credited and that the original publication in this journal is cited, in accordance with accepted academic practice. No use, distribution or reproduction is permitted which does not comply with these terms.
* Correspondence: Liuwei Zhang, 2466@bsu.edu.cn
Disclaimer: All claims expressed in this article are solely those of the authors and do not necessarily represent those of their affiliated organizations, or those of the publisher, the editors and the reviewers. Any product that may be evaluated in this article or claim that may be made by its manufacturer is not guaranteed or endorsed by the publisher.
