ORIGINAL RESEARCH article
Front. Sustain.
Sec. Quantitative Sustainability Assessment
Fostering Sustainable Transition: Policy Mix and Governance Evolution of China's Green Building Sector Based on Large-Scale Text Analysis (2004-2024)
Provisionally accepted- 1Faculty of Humanities and Social Sciences, Macao Polytechnic University, Macau, Macao, SAR China
- 2School of Mathematics and Statistics, Beijing Institute of Technology, Beijing, China
Select one of your emails
You have multiple emails registered with Frontiers:
Notify me on publication
Please enter your email address:
If you already have an account, please login
You don't have a Frontiers account ? You can register here
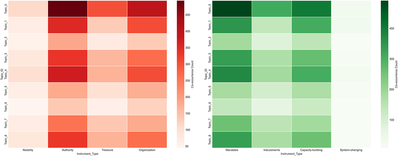
To systematically reveal the policy efforts and evolutionary logic behind China's sustainable transition in the building sector, this study conducts a large-scale text analysis of 2,945 central and local policy documents from 2004 to 2024, integrating non-negative matrix factorization (NMF) topic modeling, policy instrument coding, and multi-level governance (MLG) comparison. The findings indicate that the policy agenda for green building in China has followed a clear trajectory from "foundation-laying" (macro-planning and standard-setting) to "implementation-deepening" (certification management and process supervision), closely linked with national sustainable development strategies. The policy mix is characterized by a "regulation-dominant" approach, with mandatory instruments at its core, supplemented by organizational and capacity-building tools. Incentive-based instruments are applied periodically, while informational and system-changing instruments remain relatively underutilized. In the multi-level governance structure, the central government focuses on strategic guidance, whereas local governments exhibit significant strategic adaptation based on regional heterogeneity. This study provides empirical evidence and theoretical insights into how China utilizes dynamic policy mixes and evolving governance to foster a sustainable transition in a specific sector, offering practical implications for optimizing future policy design to better cultivate endogenous market drivers.
Keywords: Green Building, Sustainable transition, Policy mix, multi-level governance, text analysis, policy evolution, China
Received: 04 Oct 2025; Accepted: 04 Nov 2025.
Copyright: © 2025 Cai, Xie, Yin, Wang and Hu. This is an open-access article distributed under the terms of the Creative Commons Attribution License (CC BY). The use, distribution or reproduction in other forums is permitted, provided the original author(s) or licensor are credited and that the original publication in this journal is cited, in accordance with accepted academic practice. No use, distribution or reproduction is permitted which does not comply with these terms.
* Correspondence: Haoqian Hu, hqhu356@gmail.com
Disclaimer: All claims expressed in this article are solely those of the authors and do not necessarily represent those of their affiliated organizations, or those of the publisher, the editors and the reviewers. Any product that may be evaluated in this article or claim that may be made by its manufacturer is not guaranteed or endorsed by the publisher.
