Abstract
The economic and ecological importance of pollinators and the increasingly evident decline of their populations have drawn concern from scientists, governments, and individuals alike. While research has focused on the ecological causes and solutions to pollinator declines, it is less understood how to motivate actual behavior changes to help conserve pollinators. Behavioral psychologists have developed many theories to explain how human behavioral drivers affect the adoption of pro-environmental behaviors such as recycling and other sustainability actions. A comprehensive model incorporating norm activation theory, the new ecological paradigm, values-belief-norm theory, and the theory of planned behavior suggests various psychological determinants that drive changes in pro-environmental behaviors. A survey was constructed using Qualtrics software to measure and analyze >1,500 individuals' responses to questions designed to test the relationships between different types of pollinator conservation behaviors and the sociopsychological determinants of an individual's intention to perform said behaviors. Previous behaviors, issue awareness, and positive attitudes toward pollinators consistently predict increased intention to perform pollinator conservation behaviors, which supports related research on pro-environmental behaviors. Other determinants, such as ascription of responsibility and perceived behavioral control, had positive effects on the intention to perform some of the tested pollinator conservation behaviors. Understanding these relationships could help improve efforts to educate and increase the adoption of these pollinator conservation behaviors. Finally, many determinants had mixed and fewer significant relationships with the intention to perform conservation behaviors, which suggests the need for revisions to the specific wording of the survey tools and additional testing of these psychological determinants.
Introduction
Estimates of the global economic value attributed to animal crop pollination range approximately from $195 to 380 billion (Porto et al., 2020), but the broader ecosystem service value exceeds these estimates when you consider that 87% of all angiosperms, including many non-crop plants, are pollinated by animals (Ollerton et al., 2011). Given the growing evidence for a global decline in pollinator populations, concerns regarding the loss of these crucial ecosystem services (Potts et al., 2016) have sparked interest in supporting conservation efforts (IPBES, 2016). Among the many drivers of pollinator declines, land management, cover, and configuration are considered by experts to be the most important. Wild pollinator diversity, yield instability, and pollination deficits are the greatest risks to human wellbeing due to pollinator declines (Dicks et al., 2021). While primary focus has been given to the ecological causes and solutions to pollinator declines (IPBES, 2016), our understanding of encouraging individuals and communities to support pollinator conservation efforts is hindered (Hall and Martins, 2020). Furthermore, environmental conservation largely relies on large-scale social change to foster individuals' environmentally responsible and sustainable behaviors (Clayton et al., 2016; Fabi et al., 2017; Asilsoy and Oktay, 2018). In an effort to bridge the gap between conservation science and societal adoption, we are investigating the human behavioral drivers associated with the adoption of pro-environmental behaviors.
Despite the documented benefits of ecosystem service-enhancing practices that support pollinators, their adoption is limited (Kleijn et al., 2019). While public pollinator knowledge is well documented (Knapp et al., 2020) and educational strategies are commonly used as intervention functions (Marselle et al., 2020), there is limited documentation regarding knowledge and/or awareness of the costs and benefits of actions that support pollinator conservation (Uyttenbroeck et al., 2016; Penn et al., 2019). Furthermore, the majority of those who employ land management tools known to benefit pollinators do so without intending to promote pollinators (Breeze et al., 2019; Turo and Gardiner, 2019). This suggests limited conscious adoption of pro-environmental pollinator conservation behaviors. However, positive attitudes toward and knowledge of pollinators alone do not guarantee that individuals will engage in conservation actions (Mass et al., 2019; Hevia et al., 2020; Westlake and Hunt, 2021). Incorporating theory from related fields like conservation psychology to define pro-biodiversity behaviors and their drivers (Selinske et al., 2018) can help researchers understand and address this implementation gap.
In the sociopsychological literature, three fundamental theoretical frameworks have been used to explain pro-environmental behaviors and their determinants. First, the theory of planned behavior (TPB; Ajzen, 1985, 1991) includes the central determinants of attitudes toward the action, perceived behavioral control, and subjective norms predicting the intention to perform pro-environmental behavior. Attitude toward pro-environmental behavior is based on the individual's perceived costs and benefits of exhibiting said pro-environmental behavior. Perceived behavioral control of pro-environmental behavior is determined by the individual's perception of the influence external forces may have on the adoption or hindrance of said pro-environmental behavior. Subjective norms regarding pro-environmental behavior are defined by an individual's belief that peers and other significant people in their lives expect them to adopt said pro-environmental behavior. Second, the norm activation model (NAM; Schwartz, 1977) includes the central determinants of the personal norm: awareness of consequences and ascription of responsibility. Personal (hereafter referred to as moral) norm refers to the sense of moral obligation that motivates an individual to adopt pro-environmental behavior. Awareness of consequences encompasses an individual's “level of consciousness of adverse consequences” (Han, 2015, p. 166) due to not adopting pro-environmental behavior. Ascription of responsibility is a measure of an individual's belief that they are responsible for the negative consequences of not adopting said pro-environmental behavior. Third, the value-belief-norm theory (VBN; Stern et al., 1999) is an extension of NAM that includes the New Ecological Paradigm (NEP; Dunlap et al., 2000) and another determinant, Values. The NEP is a tool that is used to measure an individual's ecological worldview and general concern for the environment. The Values determinant is usually divided into three categories: Biospheric, Altruistic, and Egoistic Values to comprehensively assess an individual's values. Additionally, previous behaviors (habits) and green self-identity (Steg and Vlek, 2009; Paquin and Keating, 2017) are other determinants of pro-environmental behaviors that are increasingly viewed as important predictors.
Previously published studies have used surveys structured around individual theories, e.g., TPB (Knapp et al., 2020; Westlake and Hunt, 2021) and NAM/VBN (Herbert et al., 2023). However, a comprehensive model incorporating these theories exhibited superior predictive power compared to the individual theories (Gkargkavouzi et al., 2019). We have applied this comprehensive model to assess the sociopsychological determinants that drive individual (private-sphere) environmental behaviors related to pollinator conservation. To our knowledge, this is the first time that a more holistic approach combining TPB, NAM, and VBN theories has been used to assess the effects of determinants on the adoption of pollinator conservation behaviors.
Beyond the individual pro-environmental behaviors studied in the literature, the correlation between the different types of behaviors and the consistency with which they are adopted is understudied (Maki and Rothman, 2017). An individual is more likely to adopt additional pro-environmental behavior if the two behaviors are similar (Margetts and Kashima, 2017; Maki et al., 2019). Individuals can adopt many lists of behaviors to help conserve pollinators (Baldock, 2020; Kawahara et al., 2021; Braman and Griffin, 2022). Among the different behaviors, broad categories can be observed, where the adoption of behaviors within types and settings is expected to be similar (Larson et al., 2015). We propose three broad types of behaviors to categorize a diverse list of pro-environmental behaviors involving pollinator conservation (hereafter referred to as best management practices; BMP). The active BMP type involves an individual who is actively engaging in pro-environmental behavior that benefits pollinators. The behavioral BMP type refers to an individual modifying existing behaviors that affect pollinators. The societal BMP type describes behaviors where an individual interacts with others to support pollinator conservation. Testing the proposed latent structure of these behaviors can help determine the potential for spillover of one behavior, increasing the adoption of another (Maki et al., 2019).
We used a survey to identify the sociopsychological determinants that predict a person's intention to engage in different types of pollinator BMPs. The sociopsychological determinants were tested using an online questionnaire to determine if they predicted the intention to perform different types of pollinator BMPs by members of the public and university students in the US. We completed a confirmatory factor analysis to determine the validity of the proposed three-factor model for the types of pollinator BMPs. We also tested linear and ordered logistic regression models developed to predict how a relative change in a determinant might affect the intention of adopting pollinator BMPs. Our hypotheses are as follows: (1) the proposed latent relationship between the types of pollinator BMPs is valid and can determine the potential for spillover between types; (2) the intention to adopt a pollinator BMP will increase as values for each determinant increase. These results help expand our understanding of pro-environmental behaviors and ways to increase the adoption of pollinator BMPs.
Methods
Sample
Our survey was targeted at readily available populations of respondents, including 887 undergraduate students enrolled in the University of Georgia (UGA) in Athens, GA, 534 individuals enrolled in the UGA Master Gardener program, and 136 individuals from those who received the Pollinator Census Newsletter in association with the UGA Extension program. Undergraduate students in introductory biology classes at the University of Georgia, Athens, GA, were surveyed, coordinated via their professors, shared links to the survey, and offered nominal extra credit as an incentive from 11 April 2022 to 2 May 2022. Members of the Master Gardeners at the University of Georgia and recipients of the Georgia Pollinator Census Newsletter were surveyed from 24 June 2022 to 15 July 2022. Among these respondents, 1,115 identified as female, and 287 identified as male. The mean and median age ranges reported were 25–34 and 18–24 years, respectively. The mean and median education reported were “some post-high school, no bachelor's degree.” The mean and median income brackets reported were $80,000–89,000 and $100,000–109,000, respectively. The mean and median political ideologies reported were somewhat liberal and neither liberal nor conservative, respectively.
Procedures
An online survey questionnaire (Supplementary material) was used to collect data and evaluate the research hypotheses. We broadly used the comprehensive model assessing the determinants (described below) from TPB, NAM, and VBN, among others (Gkargkavouzi et al., 2019), as a framework to organize the questionnaire and interpret the findings. The survey consisted of multiple questions collecting responses related to each of the sociopsychological determinants and demographic information (Supplementary material). We used intention to perform the behavior as it has been demonstrated to be the strongest predictor of adopting said behavior (Ajzen, 1991; Huijts et al., 2012; Klöckner, 2013), and we wanted to minimize bias commonly found in self-reported behavior, more commonly known as socially desirable bias (Chao and Lam, 2011; Larson, 2019). Questions discussed pollinators generally rather than specifying wild or managed pollinators, as it was assumed that most people would be unable or confused when asked to differentiate between wild or managed pollinators. The study was approved by the University of Georgia's IRB on 5 April 2022 (ID PROJECT00005125). We performed a “think aloud” exercise with three individuals prior to the release of the survey to ensure comprehension and make minor edits based on the results. The final questionnaire was then shared, and data were collected from three groups of individuals throughout the spring and summer months of 2022.
Measures
The survey consisted of many questions designed to collect demographic data from individual respondents, including gender, age, education, living area, income, and political ideology. Additionally, multiple questions (items) were included for each of the determinants and measured on a 7-point Likert scale coded from −3 (strongly disagree) to +3 (strongly agree) with a true neutral option. The number of previous behaviors (PB) was calculated as the number of behaviors reported by the respondent. The value of each other determinant is defined (Equation 1) as the sample mean, where i is each item of a determinant, xi is the response for each item, and n is the number of items a respondent answered for each determinant.
The nature connectedness (NC) value was measured using six items (e.g., “being in nature makes me happy”) based on those published in the Monitor of Engagement with the Natural Environment (MENE; Natural England, 2018). This determinant measures an individual's expression of relational values (Whitburn et al., 2019; Chawla, 2020) and is used as a proxy for the identity and values determinants (Knapp et al., 2020). Subjective norm (SN) value was measured using five items (e.g., “People who are important to me think that I should conserve pollinators”). The moral norm (MN) value was measured using four items (e.g., “I feel morally obligated to engage in pollinator conservation regardless of what others are doing”). Ascription of responsibility (AR) value was measured using five items (e.g., “It is my responsibility to talk to others in my community about pollinator conservation”). The ecological worldview was measured using five items from the New Ecological Paradigm (NEP) scale (Dunlap et al., 2000: e.g., “The balance of nature is very delicate and easily upset”). Previously published literature has used a subset of questions from the original 15 questions with equal or superior model performance (Zhu and Lu, 2017). Insect opinion (IO) was measured using three items (e.g., “to what extent do you like or dislike honey bees”). This determinant was included as an extension of attitude to account for the difference between general attitudes toward insects and more specific attitudes toward specific pollinator conservation behaviors (Newhouse, 1990; Topal et al., 2021). Awareness of consequences [hereafter referred to as issue awareness (IA)] was measured using eight items (e.g., “To what extent do you agree or disagree that habitat loss is a major cause of pollinator decline”). Perceived knowledge (hereafter referred to as knowledge: KN) was measured using four items (e.g., “I know how to behave to support pollinators/pollinator conservation”). The determinant of awareness of consequences was subdivided into issues of awareness and knowledge to reflect the effect each individual component could have on intention (Topal et al., 2021). Perceived behavioral control (PBC) was measured with five items (e.g., “I am confident that I can do things to help conserve pollinators”). Attitudes (AT) toward pollinators were measured using five items (e.g., “pollinators are important to me”). Intention (INT) to adopt a pollinator conservation behavior was measured using 17 items in the following types of behaviors: (1) active engagement (e.g., “I intend to plant flowering trees or shrubs”), (2) behavioral engagement (e.g., “I intend to avoid using herbicides whenever possible”), and (3) societal engagement (e.g., “I intend to sign a conservation petition or participate in a conservation campaign”). Each intention type (active engagement, behavioral engagement, and societal) was calculated using the items from their respective types. The items used to measure these determinants were based on previously published literature using similar surveys (Knapp et al., 2020; Bloom et al., 2021; Westlake and Hunt, 2021).
Analysis
Analyses and visualizations of data were completed using R 4.2.2 (R Core Team, 2022). Conditional mosaic plots to compare high (≥2) scores of the determinants among the different demographic categories (political position, age, and gender) were constructed using the vcd package (Zeileis et al., 2007). The confirmatory factor analysis (CFA) was completed to assess the aggregation of the items into the three types of best management practices (e.g., active, behavioral, and societal). The cfa function in the Lavaan package in R was used to complete this analysis (Rosseel, 2012). We tested linear and ordinal logistic regression models using the 10 predictor variables (NC, SN, MN, AR, NEP, IA, PBC, AT, KN, and PB) along with the demographic data (survey population, gender, age, education, living area, income, and political ideology) to explain the intention (response variable) an individual would have to exhibit various pro-environmental pollinator BMPs. The linear regression model used the aggregated intention models (active, behavioral, and societal), with the items included based on the results from the CFA (items with poor standardized factor loadings removed). The ordinal logistic regression model is appropriate given that the characteristics of the response variable are discrete categories in ascending order (Hosmer et al., 2013). This model has wide applicability and an intuitive interpretation, further supporting its use in the pro-environmental literature (Namazkhan et al., 2019).
The function lm was used to fit the linear regression models. The function “polr” was used to fit the logistic regression models for the ordered factor response in the MASS package (Venables and Ripley, 2002). Model coefficients estimated by the ordered logistic regression models as log (odds ratios) were exponentiated to produce odds ratios for ease of interpretation. We evaluated the direction and strength of these associations by interpreting the odds ratios, where odds ratios <1 and >1 indicate that a predictor is associated with lower and higher odds of an outcome (intention to perform the behavior), respectively. Figures depicting the change in predicted probabilities from linear and ordinal logistic regression models associated with changes in the model coefficients were produced using the mean and median values (when appropriate). Model assumptions (e.g., homoscedasticity, normality) for the linear regression models were assessed and found to be met (data not shown). The proportional odds assumption, where the relationship (regression coefficient) between each pair of outcome groups is the same, is commonly tested using the Brant (1990) test. However, this test has been described as anti-conservative, resulting in a higher likelihood of rejecting the null hypothesis (O'Connell, 2006), especially with many explanatory variables (Brant, 1990) or large sample size (Clogg and Shihadeh, 1994; Allison, 1999). Partial proportional odds models were fitted (data not shown) using the “vglm” function in the VGAM package (Yee, 2010), and the coefficients were compared across the different levels of the response ordinal variable and found to be essentially equal.
Results
Sociodemographic variables
Conditional mosaic tables for political affiliation, gender, and age vary in which demographics are more or less likely to score high or low for the determinants measured. Liberal individuals are more likely to score high and less likely to score low on NEP (a measure of an individual's concern for nature), and conservative individuals are more likely to score lower and less likely to score highly on NEP (Figure 1). Males were more likely to score lower and less likely to score higher on NEP, and females were less likely to score lower on NEP and more likely to score higher on NEP (Figure 2). Younger respondents were more likely to score lower and less likely to score higher on NC, and older respondents were more likely to score higher and less likely to score lower on NC (Figure 3). Similar patterns in political affiliation, gender, and age were observed for other determinants (Supplementary Figures S1–S30).
Figure 1

Conditional mosaic figure for political position and the determinant new ecological paradigm.
Figure 2

Conditional mosaic figure for gender and the determinant new ecological paradigm.
Figure 3

Conditional mosaic figure for age and the determinant nature connectedness.
Confirmatory factor analysis
The initial results from the Confirmatory Factor Analysis (CFA) indicated that several items should be deleted due to poor standardized factor loadings (<0.7; Hair et al., 2010). The items removed include Int_9, Int_12, and Int_5. The final CFA results demonstrate an acceptable fit for the proposed three-factor model (χ2 = 1,524.54; df = 74, p = 0.00; df/χ2 = 20.60; CFI = 0.987; TLI = 0.983; RMSEA = 0.132). The results of the final CFA are shown in Table 1, which supports our first hypothesis that the proposed latent relationship between the types of pollinator BMPs is valid.
Table 1
| Constructs | Items | Standardized factor loadings | Cronbach's alpha | CR | AVE | MSV |
|---|---|---|---|---|---|---|
| Active | Int_1 | 0.901*** | 0.867 | 0.907 | 0.660 | 0.711 |
| Int_2 | 0.859*** | |||||
| Int_3 | 0.825*** | |||||
| Int_10 | 0.728*** | |||||
| Int_11 | 0.736*** | |||||
| Behavioral | Int_4 | 0.753*** | 0.868 | 0.936 | 0.711 | 0.711 |
| Int_6 | 0.784*** | |||||
| Int_7 | 0.912*** | |||||
| Int_8 | 0.913*** | |||||
| Int_14 | 0.840*** | |||||
| Societal | Int_13 | 0.714*** | 0.825 | 0.906 | 0.654 | 0.583 |
| Int_15 | 0.934*** | |||||
| Int_16 | 0.818*** | |||||
| Int_17 | 0.753*** |
Results from confirmatory factor analysis.
CR, Composite Reliability; AVE, Average Variance Extracted; MSV, Maximum Shared Variance. All standardized factor loadings are significant at the p = 0.001 level (***).
Linear regression models
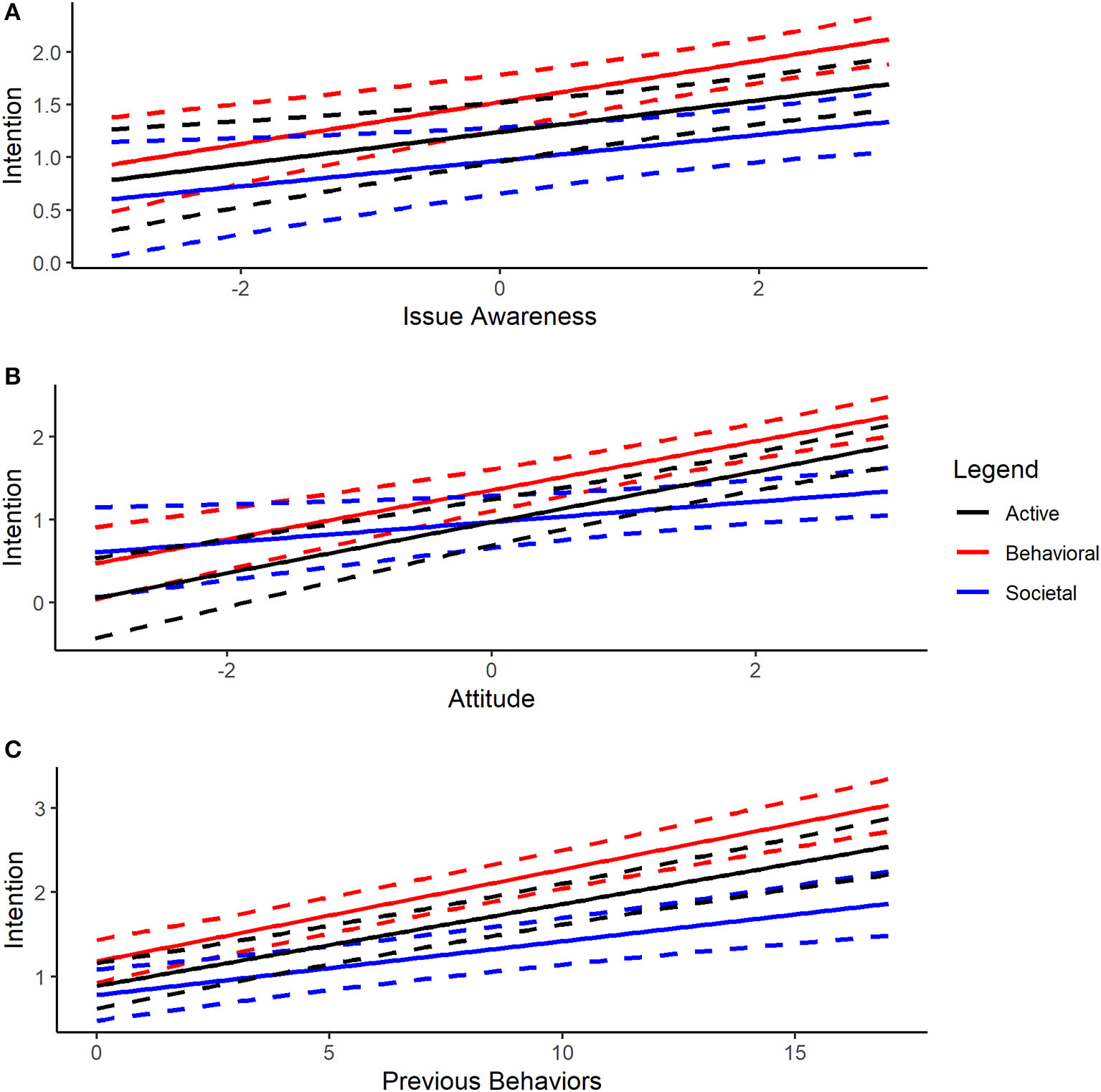
The results from the linear regression models demonstrated unique patterns of significant sociopsychological and demographic predictors of the intention to perform different types of pollinator BMPs (Table 2). Our second hypothesis, that the intention to adopt a pollinator BMP would increase as values for each determinant increased, had inconsistent support. IA, AT, and PB had a significant positive relationship with the respondent's intention to perform every type of behavior. Additionally, female respondents had higher intentions to perform every type of behavior than male respondents. Among the different types of pollinator conservation behaviors, societal had the lowest predicted respondent's intention to adopt said behavior, with active and behavioral types having the intermediate and highest predicted respondent's intention (respectively) (Figure 4). Other determinants were less consistently significant (e.g., SN, AR, NEP, IO, PBC, KN, age, education, and political ideology), and age had a negative significant relationship with the intention to perform active behaviors. NC, MN, income, and the living area did not have a significant relationship with the respondent's intention to adopt any type of behavior. Item non-response throughout the survey resulted in a variable number of observations for each model (Table 2).
Table 2
| Active | Behavioral | Societal | |
|---|---|---|---|
| Constant | −1.31 (0.45)** | −0.84 (0.42)* | −2.09 (0.5)*** |
| NC | 0.02 (0.03) | −0.01 (0.03) | −0.04 (0.04) |
| SN | 0.04 (0.03) | −0.01 (0.03) | 0.09 (0.04)* |
| MN | 0.05 (0.040 | 0.06 (0.04) | −0.01 (0.04) |
| AR | 0.15 (0.04)*** | 0.05 (0.04) | 0.24 (0.04)*** |
| NEP | −0.03 (0.04) | 0.05 (0.04) | 0.12 (0.04)** |
| IO | 0.06 (0.03) | 0.07 (0.03)* | 0.01 (0.04) |
| IA | 0.15 (0.04)*** | 0.20 (0.04)*** | 0.12 (0.05)* |
| PBC | 0.04 (0.04) | 0.03 (0.04) | 0.10 (0.05)* |
| AT | 0.31 (0.05)*** | 0.29 (0.04)*** | 0.26 (0.05)*** |
| KN | 0.10 (0.03)*** | 0.02 (0.03) | 0.06 (0.03) |
| PB | 0.10 (0.01)*** | 0.11 (0.01)*** | 0.06 (0.01)*** |
| Pollinator census | −0.11 (0.13) | 0.15 (0.12) | 0.01 (0.15) |
| Undergraduates | 0.09 (0.23) | 0.4 (0.22) | 1.36 (0.26)*** |
| Female | 0.34 (0.08)*** | 0.31 (0.07)*** | 0.32 (0.09)*** |
| Age | −0.10 (0.05)* | −0.03 (0.04) | 0.12 (0.05)* |
| Suburbs | 0.05 (0.09) | −0.04 (0.08) | 0.03 (0.10) |
| Rural | 0.02 (0.11) | −0.01 (0.1) | −0.09 (0.12) |
| Other | 0.17 (0.61) | −0.56 (0.57) | 0.11 (0.69) |
| Income | 0.004 (0.01) | −0.01 (0.01) | −0.01 (0.01) |
| Education | 0.09 (0.03)** | 0.04 (0.03) | 0.004 (0.04) |
| Political | 0.07 (0.02)*** | 0.01 (0.02) | −0.01 (0.02) |
| Observations | 799 | 795 | 790 |
| R2 | 0.57 | 0.54 | 0.41 |
| Adjusted R2 | 0.56 | 0.53 | 0.39 |
| Residual std. error | 0.85 (df = 777) | 0.79 (df = 773) | 0.95 (df = 768) |
| F statistic | 48.92*** (df = 21; 777) | 43.45*** (df = 21; 773) | 25.06*** (df = 21;768) |
Linear regression models show the beta estimates (±SE) for each predictor of the intention to perform the active, behavioral, and societal best management practices.
The reference category (constant) for the categorical variables (e.g., gender, population, and living area) are male, master gardeners, and urban. *p < 0.05, **p < 0.01, ***p < 0.001.
Figure 4

Predicted probabilities of the intention to adopt the different types of pollinator conservation behaviors as a function of the respondent's (A) issue awareness, (B) attitude, and (C) previous behaviors determinants.
Proportional odds models
Ordinal logistic regression analyses also demonstrated unique patterns of significant sociopsychological and demographic predictors of the intention to perform different pollinator BMPs (Supplementary Tables S1–S3). AT and PB had a positive significant relationship with the intention to perform every behavior. Others were less consistently significant (e.g., AR, IA, KN, NEP, NC, IO, MN, and PBC), and some had occasional negative significant relationships with the intention to perform a behavior (e.g., NC, MN, and NEP). SN and the living area did not have a significant relationship with the respondent's intention to adopt any behavior (Supplementary Figures S31–S47).
Discussion
This research demonstrated the reliability and internal validity of the proposed three-factor structure of active, behavioral, and societal types of pollinator BMPs and the variety of sociopsychological determinants and sociodemographic factors that predict a respondent's intention to adopt these behaviors. The uniqueness between the different types of pollinator BMPs suggests further study into the potential for spillover between types (Maki et al., 2019). Further investigations into the spillover effect could also consider the setting (public vs. private spaces) of pollinator BMPs (Verfuerth et al., 2021). Programs seeking to increase the adoption of various pollinator BMPs can benefit from a refined understanding of how an individual who is encouraged to adopt new behaviors may be more likely to adopt other types of behaviors. Positive attitudes toward pollinators and previous behaviors related to pollinator conservation consistently predicted an increased likelihood of responding positively to the intention to adopt pollinator BMPs for both linear and ordinal logistic regression models. Issue awareness also predicted an increased likelihood of responding positively to the intention to adopt pollinator BMPs for the linear regression models. These results highlight the importance of these determinants in designing efforts to encourage the adoption of pollinator BMPs. A person's intention to adopt pollinator BMPs is predicted to increase by increasing pollinator awareness and activating positive perceptions toward pollinators. Furthermore, programs aimed at building on previous pollinator BMPs are likely to achieve success.
However, the predictive power of other determinants is not consistently positive across the different pollinator BMPs tested, with many yielding fewer or no significant relationships. Among the different types of pollinator BMPs, the KN determinant was a significant predictor only for the active pollinator BMPs (Table 2). The items used to measure the KN determinant were specific to pollinator conservation (e.g., “My knowledge level about pollinators/pollinator conservation is adequate”) rather than general environmental knowledge. The significant relationship between KN and the active types of pollinator BMPs and not the other types of behaviors could suggest the variable predictive power of different types of environmental knowledge in predicting pro-environmental behavior (Geiger et al., 2019). The IO determinant was a significant predictor only for the behavioral pollinator BMPs (Table 2). The behavioral pollinator BMPs more directly benefit pollinators [e.g., “I intend to leave flowering weeds (e.g., dandelions) in my garden, fields, or similar”] rather than behaviors (e.g., “I intend to plant garden plants that are good for pollinators”) that may incidentally help pollinators but are motivated by other factors such as an interest in gardening, generally. Additional considerations regarding general attitudes toward pollinators compared to specific pollinating insects deserve further study (Newhouse, 1990; Topal et al., 2021).
Additionally, the SN, NEP, and PBC determinants were significant predictors only for the societal pollinator BMPs (Table 2). Given the more social nature of the societal pollinator BMPs (e.g., “I intend to encourage other people to protect pollinators”) compared to the other types of pollinator conservation behaviors, it follows that these types of behaviors would be predicted by SN where the respondent is tuned into how others perceive their behaviors (Ajzen, 1985, 1991). The items used to measure the NEP determinant consider environmental concern broadly (Dunlap et al., 2000) and may have had a stronger relationship with respondents' answers to the societal types of pollinator BMPs that discuss conservation more generally (e.g., “I intend to volunteer for a conservation organization”), whereas the items used to measure the other types of pollinator conservation behaviors focus on pollinator conservation. The PBC determinant was measured with five items that consider both components: the “belief of ability to perform” and the “belief about the expected outcome” (Ajzen, 1991). Further investigation into these items may determine the relative influence of this two-factor determinant and then provide insights into why there was only a significant relationship between PBC and societal types of behaviors. Those seeking to encourage the adoption of different pollinator BMPs can benefit from the nuanced understanding of the sociopsychological determinants that drive these behaviors.
Regarding the intention to adopt individual pollinator BMPs, the few instances where AR had no significant relationship [e.g., “plant flowering shrubs,” “leave flowering weeds (e.g., dandelions) in my garden, fields, or similar,” “avoid using herbicides when possible,” “avoid using herbicides when possible,” and “leave areas of vegetation for wildlife”] suggest that these behaviors are not more likely to be adopted when using messaging that engages a person's responsibility to participate in pollinator conservation. More specifically, a person may not feel responsible for planting trees or shrubs, but they are more likely to do so if they have a higher income and education and are more conservative (Supplementary Table S1), suggesting that this may be observed as a financial burden, thus limiting its adoption (Pannell et al., 2006). Additionally, people may not feel responsible for reducing their herbicide and insecticide usage, but they will do so if their moral obligations to protect pollinators are engaged (Supplementary Table S2). Other BMPs, such as leaving flowering weeds and areas of vegetation in gardens or fields, may not be motivated by messaging related to responsibility but are motivated by positive opinions of insects and awareness of issues related to pollinator conservation (Supplementary Table S2). Furthermore, the instances where IA and KN had no significant relationship with the intention to adopt pollinator BMPs (Supplementary Tables S1–S3) suggest prime candidates for improved education and outreach programs to inform the public about how these behaviors positively impact pollinator communities. These examples suggest modifications to messaging campaigns to more effectively encourage people to adopt pollinator BMPs. Other determinants, such as NC, MN, NEP, and PBC, had few significant interactions with the intention to adopt these behaviors, which may result from more variability in how the individual component questions relate to intention, and the averaging of these component questions obscured these relationships.
The negative relationship between MN and the intention to volunteer for a conservation organization (Supplementary Table S3) differs from the other significant positive relationships between MN and the intention to encourage other people to protect pollinators (Supplementary Table S3), avoid using herbicides when possible (Supplementary Table S2), and avoid using insecticides when possible (Supplementary Table S2). Moral norms, referring to the feeling of moral obligation to adopt a behavior (Schwartz and Howard, 1980), are a crucial part of the norm activation model (Schwartz, 1977) and have been demonstrated to positively affect the intention to adopt other pro-environmental behaviors (Gkargkavouzi et al., 2019). The questions used in this survey measure moral norms at a very individual level: “I feel morally obligated to engage in pollinator conservation regardless of what others are doing” and “I feel good about myself if I support pollinator conservation” (Supplementary material). This negative relationship between moral norms and the intention to volunteer for a conservation organization may result from a conflict between how we measure moral norms and the social aspects of volunteering for a conservation organization. The negative relationships between NC and the intention to mow less than once per month in the summer (Supplementary Table S2), sign a petition to save the bees (Supplementary Table S3), and encourage other people to protect pollinators (Supplementary Table S3) are in contrast with the positive relationships between NC and the intention to volunteer for a conservation organization (Supplementary Table S3). Nature connectedness is likely in contrast with mowing less often due to the misinterpretation of the question, where individuals surveyed see mowing their lawns as one of the ways they interact with nature. If the prompt to measure the intention to adopt this behavior were modified to inform the respondent of the beneficial impact this would have on pollinators, the response to the question may be different.
Furthermore, the negative relationship between NC and the intention to sign a petition to save the bees and encourage others to protect pollinators may be viewed as disconnected from nature and discourage respondents from engaging in these behaviors. The negative relationship between NEP and the intention to create a wildflower meadow, strips, or something similar (Supplementary Table S1) stands apart from the significant positive relationships between NEP and the intention to avoid using insecticides when possible (Supplementary Table S2), sign a petition to save the bees (Supplementary Table S3), sign a conservation petition or participate in a conservation campaign (Supplementary Table S3), and volunteer for a conservation organization (Supplementary Table S3). The intention to create wildflower meadows, strips, or something similar may be viewed as an extreme intervention, resulting in a negative relationship where the respondent may believe nature should be left alone. The survey contains a subset of the 15 questions designed to measure NEP (Dunlap et al., 2000). However, some of these questions, such as “the balance of nature is very delicate and easily upset,” may be oversensitive to these interventions aimed at supporting pollinator conservation.
While these results provide valuable information that can be used to better inform education and outreach programs and increase the adoption of pollinator BMPs, we recognize the limitations of this study and advise caution when interpreting the generalizability of these results. The population of respondents surveyed is predominantly undergraduate students, which may impact their exposure to or potential to participate in pollinator BMPs. However, the students included in this study were from introductory biology courses for both major and non-major students, which should broaden the potential background of the students surveyed. Additionally, the inconsistency of the relationships between the determinants and intention to adopt behaviors is discussed above. There are many ways that future versions of this survey could be modified using refined language to hopefully resolve these issues and lead to a more accurate measurement of the latent nature of these determinants. Finally, while the proportional odds model is an appropriate and commonly used approach in the pro-environmental literature (Hosmer et al., 2013; Namazkhan et al., 2019), we recognize that additional analyses such as exploratory and confirmatory factor analysis (Hunter and Gerbing, 1982) may provide more nuance in our understanding of the interrelatedness among determinants of these pollinator conservation behaviors (Vicente-Molina et al., 2018).
Conclusion
This research provides additional nuance to sociopsychological research seeking to understand the motivation behind the adoption of personal pro-environmental behaviors such as pollinator conservation. The use of a more comprehensive model to capture the many dimensions and determinants of pro-environmental behavior and evaluate the differences between types of behavior will provide valuable insight for governments, policymakers, non-governmental organizations, and local authorities when designing education and outreach materials for pollinator conservation. Our findings suggest that awareness of pollinator conservation issues, positive attitudes toward pollinators, and previous behaviors consistently improve the adoption of pollinator conservation behaviors. Activities that improve knowledge and awareness of pollinators, such as participating in a pollinator census (Griffin and Braman, 2021), can improve an individual's attitudes (Stanisavljevic and Stanisavljevic, 2017) toward pollinators and potentially lead to future behaviors to support pollinators (Griffin et al., 2021). Our results also suggest that there is limited benefit in increasing the adoption of various pollinator BMPs when incorporating other determinants (e.g., NC, MN, NEP, and PBC) in pro-environmental program designs. When comparing specific and/or types of pollinator conservation behaviors, we can discern which sociopsychological determinants have stronger effects on the adoption of said behaviors. We encourage further study of these relationships to refine the measurement tools and collect data from other populations to improve the generalizability of these results. Many diverse social-cultural contexts could provide additional information on which determinants predict the intention to adopt pro-environmental behaviors.
Our future study will focus on surveying additional populations to better represent the regional and national breadth of sociodemographic characteristics in society. These efforts will improve the generalizability and use of this research and hopefully lead to more targeted education and outreach programming. Furthermore, we hope to use these results to inform studies of other types of pollinator BMPs. While this research focuses on private-sphere behaviors, environmental activism behaviors have their own suite of predictors and play an important role in pollinator conservation. Our ability to meet our goals for sustainability lies in our understanding of the different determinants of people's environmental behaviors.
Statements
Data availability statement
The raw data supporting the conclusions of this article will be made available by the authors, without undue reservation.
Ethics statement
The studies involving humans were approved by University of Georgia Institutional Review Board. The studies were conducted in accordance with the local legislation and institutional requirements. The participants provided their written informed consent to participate in this study. Written informed consent was obtained from the individual(s) for the publication of any potentially identifiable images or data included in this article.
Author contributions
CF and SB contributed to the conception and design of the study. CF organized the survey, performed the statistical analysis, and wrote the first draft of the manuscript. All authors contributed to the manuscript revision and read and approved the submitted version.
Funding
This project is based on research that was partially supported by the Georgia Agricultural Experiment Station with funding from the Hatch Act (Accession Number 224057) through the USDA National Institute of Food and Agriculture.
Acknowledgments
We are grateful for the reviewers who helped improve the quality and presentation of this manuscript. We thank Peggy Brickman and Erin Dolan for their guidance during the survey's development. We appreciate the support of Peggy Brickman, Morgan Meyers, Patricia Moore, Erin Dolan, Tessa Andrews, Wolfgang Lukowitz, Sheri Dorn, and Becky Griffin in distributing the survey among the different audiences.
Conflict of interest
The authors declare that the research was conducted in the absence of any commercial or financial relationships that could be construed as a potential conflict of interest.
Publisher’s note
All claims expressed in this article are solely those of the authors and do not necessarily represent those of their affiliated organizations, or those of the publisher, the editors and the reviewers. Any product that may be evaluated in this article, or claim that may be made by its manufacturer, is not guaranteed or endorsed by the publisher.
Supplementary material
The Supplementary Material for this article can be found online at: https://www.frontiersin.org/articles/10.3389/frsc.2023.1165296/full#supplementary-material
References
1
Ajzen I. (1985). “From intentions to actions: a theory of planned behaviour,” in Action Control SSSP Springer Series in Social Psychology, ed. J. Kuhl and J. Beckmann (Berlin, Heidelberg: Springer), 11–39.
2
Ajzen I. (1991). The theory of planned behavior. Organiz. Behav. Hum. Dec. Proc. 50, 179–311. 10.1016/0749-5978(91)90020-T
3
Allison P. D. (1999). Logistic Regression Using the SAS System: Theory and Application. Cary, NC: SAS Institute.
4
Asilsoy B. Oktay D. (2018). Exploring environmental behaviour as the major determinant of ecological citizenship. Sustain. Cities Soc. 39, 765–771. 10.1016/j.scs.2018.02.036
5
Baldock K. C. R. (2020). Opportunities and threats for pollinator conservation in global towns and cities. Curr. Opin. Insect Sci. 38, 63–71. 10.1016/j.cois.2020.01.006
6
Bloom E. H. Bauer D. M. Kaminksi A. Kaplan I. Szendrei Z. (2021). Socioecological factors and farmer perceptions impacting pesticide use and pollinator conservation on cucurbit farms. Front. Sustain. Food Syst. 5, 672981. 10.3389/fsufs.2021.672981
7
Braman S. K. Griffin B. (2022). Opportunities for and impediments to pollinator conservation in urban settings: a review. J. Integr. Pest Manage. 13, 1–15. 10.1093/jipm/pmac004
8
Brant R. (1990). Assessing proportionality in the proportional odds model for ordinal logistic regression. Biometrics46, 1171–1178. 10.2307/2532457
9
Breeze T. D. Boreux V. Cole L. Dicks L. Klein A. Pufal G. et al . (2019). Linking farmer and beekeeper preferences with ecological knowledge to improve crop pollination. People Nat. 1, 562–572. 10.1002/pan3.10055
10
Chao Y. L. Lam S. P. (2011). Measuring responsible environmental behavior: self-reported and other-reported measures and their differences in testing a behavioral model. Environ. Behav. 43, 53–71. 10.1177/0013916509350849
11
Chawla L. (2020). Childhood nature connection and constructive hope: a review of research on connecting with nature and coping with environmental loss. People Nat. 2, 619–642. 10.1002/pan3.10128
12
Clayton S. Devine-Wright P. Swim J. Bonnes M. Steg L. Whitmarsh L. et al . (2016). Expanding the role for psychology in addressing environmental challenges. Am. Psychol. 71, 199–215. 10.1037/a0039482
13
Clogg C. Shihadeh E. S. (1994). Statistical Models for Ordinal Variables. Thousand Oaks, CA: Sage publications.
14
Dicks L. V. Breeze T. D. Ngo H. T. Senpathi D. An J. Aizen M. A. et al . (2021). A global-scale expert assessment of drivers and risks associated with pollinator decline. Nature5, 1453–1461. 10.1038/s41559-021-01534-9
15
Dunlap R. E. Van Liere K. D. Mertig A. G. Jones R. E. (2000). Measuring endorsement of the new ecological paradigm: a revised NEP scale. J. Soc. Issues56, 425–442. 10.1111/0022-4537.00176
16
Fabi V. Di Nicoli M. V. Spigliantini G. Corgnati S. P. (2017). Insights on pro-environmental behavior towards post-carbon society. Energy Proc. 134, 462–469. 10.1016/j.egypro.2017.09.604
17
Geiger S. M. Geiger M. Wilhelm O. (2019). Environment-specific vs. general knowledge and their role in pro-environmental behavior. Front. Psychol. 10, 718. 10.3389/fpsyg.2019.00718
18
Gkargkavouzi A. Halkos G. Matsiori S. (2019). Environmental behavior in a private-sphere context: integrating theories of planned behavior and value belief norm, self-identity and habit. Resour. Conserv. Recycl. 148, 145–156. 10.1016/j.resconrec.2019.01.039
19
Griffin B. Braman R. Griffin M. Sarieg Y. (2021). The strategic use of multimedia in the Great Georgia Pollinator Census citizen science project. Citizen Sci. 6, 1–13. 10.5334/cstp.334
20
Griffin B. Braman S. K. (2021). School and community garden pollinator census: a pilot project in Georgia. J. Entomol. Sci. 56, 287–304. 10.18474/JES20-38
21
Hair J. Black W. C. Babin B. J. Anderson R. E. (2010). Multivariate data analysis.Upper Saddie River: Pearson Education International, 7th ed.
22
Hall D. M. Martins D. J. (2020). Human dimensions of insect pollinator conservation. Curr. Opin. Insect Sci. 38, 1–8. 10.1016/j.cois.2020.04.001
23
Han H. (2015). Travelers' pro-environmental behavior in a green lodging context: converging value-belief-norm theory and the theory of planned behavior. Tour. Manage. 47, 164–177. 10.1016/j.tourman.2014.09.014
24
Herbert S. Bradley P. Everard M. (2023). Exploring the prioritization of biodiversity amongst small- to medium-sized enterprise leaders with strong bigger-than-self value orientation. Busin. Strat. Environ. 34, 1–17. 10.1002/bse.3440
25
Hevia V. García-Llorente M. Martínez-Sastre R. Palomo S. García D. Miñarro M. et al . (2020). Do farmers care about pollinators? A cross-site comparison of farmers' perceptions, knowledge, and management practices for pollinator-dependent crops. Int. J. Agric. Sustain. 19, 1–15. 10.1080/14735903.2020.1807892
26
Hosmer D. W. Lemeshow S. Sturdivant R. X. (2013). Applied Logistic Regression.New York: John Wiley and Sons, 398.
27
Huijts N. M. A. Molin E. J. E. Steg L. (2012). Psychological factors influencing sustainable energy technology acceptance: a review-based comprehensive framework. Renew. Sustain. Energy Rev. 16, 525–531. 10.1016/j.rser.2011.08.018
28
Hunter J. E. Gerbing D. W. (1982). Unidimensional measurement, second order factor analysis, and causal models,” in Research in Organizational Behavior, eds. B. M. Shaw and L. L. Cummings (Greenwich, CT: JAI Press), 267–320.
29
IPBES (2016). The assessment report of the Intergovernmental Science-Policy Platform on Biodiversity and Ecosystem Services on pollinators, pollination, and food production. Technical Report.
30
Kawahara A. Y. Reeves L. E. Barber J. R. Black S. H. (2021). Eight simple actions that individuals can take to save insects from global declines. Proc. Natl. Acad. Sci. 118, 1–6. 10.1073/pnas.2002547117
31
Kleijn D. Bommarco R. Fijen T. P. M. Garibaldi L. A. Potts S. G. van der Putten W. H. (2019). Ecological intensification: bridging the gap between science and practice. Trends Ecol. Evol. 34, 154–166. 10.1016/j.tree.2018.11.002
32
Klöckner C. A. (2013). A comprehensive model of the psychology of environmental behavior-a meta-analysis. Global Environ. Change23, 1028–1038. 10.1016/j.gloenvcha.2013.05.014
33
Knapp J. L. Phillips B. B. Clements J. Shaw R. F. Osborne J. L. (2020). Sociopsychological factors, beyond knowledge, predict people's engagement in pollinator conservation. People Nat. 3, 204–220. 10.1002/pan3.10168
34
Larson L. R. Stedman R. C. Cooper C. B. Decker D. J. (2015). Understanding the multi-dimensional structure of pro-environmental beahvior. J. Environ. Psychol.43, 112–124. 10.1016/j.jenvp.2015.06.004
35
Larson R. B. (2019). Controlling social desirability bias. Int. J. Market Res. 61, 534–547. 10.1177/1470785318805305
36
Maki A. Carrico A. R. Raimi K. T. Truelove H. B. Araujo B. Yeung K. L. (2019). Meta-analysis of pro-environmental behavior spillover. Nat. Sustain. 2, 307–315. 10.1038/s41893-019-0263-9
37
Maki A. Rothman A. J. (2017). Understanding proenvironmental intentions and behavior: the importance of considering both the behavior setting and the type of behavior. J. Soc. Psychol. 157, 517–531. 10.1080/00224545.2016.1215968
38
Margetts E. A. Kashima Y. (2017). Spillover between pro-environmental behaviors: the role of resources and perceived similarity. J. Environ. Psychol. 49, 30–42. 10.1016/j.jenvp.2016.07.005
39
Marselle M. R. Turbe A. Shwartz A. Bonn A. Colléony A. (2020). Addressing behavior in pollinator conservation policies to combat the implementation gap. Conserv. Biol. 35, 610–622. 10.1111/cobi.13581
40
Mass B. Toomey A. Loyola A. (2019). Exploring and expanding the spaces between research and implementation in conservation science. Biol. Conserv. 240, 108290. 10.1016/j.biocon.2019.108290
41
Namazkhan M. Albers C. Steg L. (2019). The role of environmental values, socio-demographics and building characteristics in setting room temperatures in winter. Energy. 171, 1183–1192. 10.1016/j.energy.2019.01.113
42
Natural England (2018). Monitor of engagement with the natural environment: Technical report to the 2009-2018 surveys. Available online at: https://www.gov.uk/government/statistics/monitor-of-engagement-with-the-natural-environment-headline-reports-and-technical-reports-2016-2017-to-2017-2018 (accessed April 15, 2022).
43
Newhouse N. (1990). Implications of attitude and behavior research for environmental conservation. J. Environ. Educ. 22, 26–32. 10.1080/00958964.1990.9943043
44
O'Connell A. (2006). Logistic Regression Models for Ordinal Response Variables. Thousand Oaks: Sage Publications.
45
Ollerton J. Winfree R. Tarrant S. (2011). How many flowering plants are pollinated by animals?Oikos120, 321–326. 10.1111/j.1600-0706.2010.18644.x
46
Pannell D. J. Marshall G. R. Barr N. Curtis A. Vanclay F. Wilkinson R. (2006). Understanding and promoting adoption of conservation technologies by rural landholders. Austr. J. Exper. Agric. 46, 1407–1424. 10.1071/EA05037
47
Paquin R. S. Keating D. M. (2017). Fitting identity in the reasons action framework: a meta-analysis and model comparison. J. Soc. Psychol. 157, 47–63. 10.1080/00224545.2016.1152217
48
Penn J. Hu W. Penn H. J. (2019). Support for solitary bee conservation among the public versus beekeepers. Am. J. Agric. Econ. 101:1386–1400. 10.1093/ajae/aaz050
49
Porto R. G. Fernades de Almeida R. Cruz-Neto O. Tabarelli M. Viana B. F. Peres C. A. et al . (2020). Pollination ecosystem services: a comprehensive review of economic values, research funding and policy actions. Food Secur. 12, 1425–1442. 10.1007/s12571-020-01043-w
50
Potts S. G. Imperatriz-Fonseca C. Ngo H. T. Aizen M. A. Beismeijer J. C. Breeze T. D. et al . (2016). Safeguarding pollinators and their values to human well-being. Nature540, 220–229. 10.1038/nature20588
51
R Core Team (2022). R: a language and environment for statistical computing. Vienna, Austria: R Foundation for Statistical Computing. Available online at: https://www.R-project.org/ (accessed December 5, 2022).
52
Rosseel Y. (2012). lavaan: an R package for structural equation modeling. J. Statist. Softw. 48, 1–36. 10.18637/jss.v048.i02
53
Schwartz S. H. (1977). “Normative influence on altruism,” in Advances in Experimental Social Psychology, ed. L. Berkowitz (New York: Academic Press) 221–279. 10.1016/S0065-2601(08)60358-5
54
Schwartz S. H. Howard J. A. (1980). Explanations of the moderating effect of responsibility denial on the personal norm-behavior relationship. Soc. Psychol. Quart. 43, 441–446. 10.2307/3033965
55
Selinske M. J. Garrard G. E. Bekessy S. A. Gordon A. Kusmanoff A. M. Fidler F. (2018). Revisiting the promise of conservation psychology. Conserv. Biol. 32, 1464–1468. 10.1111/cobi.13106
56
Stanisavljevic J. D. Stanisavljevic L. Z. (2017). Attitudes of university students of biology towards bees and their protection. J. BioSci. Biotechnol. 6, 215–219.
57
Steg L. Vlek C. (2009). Encouraging pro-environmental behaviour: an integrative review and research agenda. J. Environ. Psychol. 29, 309–317. 10.1016/j.jenvp.2008.10.004
58
Stern P. C. Dietz T. Abel T. Guagnano G. A. Jalof L. (1999). A value-belief-norm theory of support for social movements: the case of environmental concern. Hum. Ecol. Rev.6, 81–97.
59
Topal A. F. Hunt D. V. L. Rogers C. D. F. (2021). Exploring urban sustainability understanding and behaviour: a systematic review towards a conceptual framework. Sustainability13, 1–33. 10.3390/su13031139
60
Turo K. J. Gardiner M. M. (2019). From potential to practical: conserving bees in urban public green spaces. Front. Ecol. Environ. 17, 167–175. 10.1002/fee.2015
61
Uyttenbroeck R. Hatt S. Paul A. Boeraeve F. Piqueray J. Francis F. et al . (2016). Pros and cons of flowers strips for farmers. A review. Biotechnol. Agron. Soc. Environ. 20, 225–235. 10.25518/1780-4507.12961
62
Venables W. N. Ripley B. C. (2002). Modern Applied Statistics with S.Fourth Edition. New York: Springer.
63
Verfuerth C. Gregory-Smith D. Oates C. J. Jones C. R. Alevizou P. (2021). Reducing meat consumption at work and at home: facilitators and barriers that influence contextual spillover. J. Market. Manage. 37, 671–702. 10.1080/0267257X.2021.1888773
64
Vicente-Molina M. A. Fernández-Sainz A. Izagirre-Olaizola J. (2018). Does gender make a difference in pro-environmental behavior? The case of the Basque country university students. J. Clean. Prod. 176, 89–98. 10.1016/j.jclepro.2017.12.079
65
Westlake S. M. Hunt K. M. (2021). Human dimensions of pollinator conservation: the development and testing of survey measures for best management practice adoption. Soc. Nat. Resour. 34, 467–483. 10.1080/08941920.2020.1843744
66
Whitburn J. Linklater W. Abrahamse W. (2019). Meta-analysis of human connection to nature and proenvironmental behavior. Conserv. Biol. 34, 180–193. 10.1111/cobi.13381
67
Yee T. W. (2010). The VGAM package for categorical data analysis. J. Statist. Softw. 32, 1–34. 10.18637/jss.v032.i10
68
Zeileis A. Meyer D. Hornik K. (2007). Residual-based shadings for visualizing conditional independence. J. Comput. Graph. Stat. 16, 507–525. 10.1198/106186007X237856
69
Zhu X. Lu C. (2017). Re-evaluation of the new ecological paradigm scale using item response theory. J. Environ. Psychol. 54, 79–90. 10.1016/j.jenvp.2017.10.005
Summary
Keywords
theory of planned behavior, value-belief-norm theory, pollinator conservation, pro-environmental behavior, social psychology, intentions, attitudes
Citation
Fair CG and Braman SK (2023) Harnessing behavioral psychology to encourage individuals' adoption of pollinator conservation behaviors. Front. Sustain. Cities 5:1165296. doi: 10.3389/frsc.2023.1165296
Received
13 February 2023
Accepted
21 August 2023
Published
19 September 2023
Volume
5 - 2023
Edited by
Isabel Seifert-Dähnn, Norwegian Institute for Water Research (NIVA), Norway
Reviewed by
Menelaos Stavrinides, Cyprus University of Technology, Cyprus; Shannon M. Cruz, The Pennsylvania State University (PSU), United States
Updates
Copyright
© 2023 Fair and Braman.
This is an open-access article distributed under the terms of the Creative Commons Attribution License (CC BY). The use, distribution or reproduction in other forums is permitted, provided the original author(s) and the copyright owner(s) are credited and that the original publication in this journal is cited, in accordance with accepted academic practice. No use, distribution or reproduction is permitted which does not comply with these terms.
*Correspondence: Conor G. Fair cfair13@uga.edu
Disclaimer
All claims expressed in this article are solely those of the authors and do not necessarily represent those of their affiliated organizations, or those of the publisher, the editors and the reviewers. Any product that may be evaluated in this article or claim that may be made by its manufacturer is not guaranteed or endorsed by the publisher.