Abstract
With the rapid development of economy and the improvement of people's living standard, the domestic waste is greatly increasing. Based on the multi-agent evolutionary game theory, an evolutionary game model among the recycling industry, urban management officer and government is established to address the environmental issues of rising municipal solid waste production and low recycling utilization rates in China. Through numerical example analysis, the relationship between relevant factors on the evolutionary stable state of the system is studied. The findings demonstrate that when the likelihood of severe oversight by the government and of significant enforcement by urban management officers grows, the recycling industry becomes more ready to select waste separation strategy. Additionally, the government is far more affected by the likelihood of significant enforcement by urban management officers than the recycling industries are. In addition, effective acceleration of waste sorting may be achieved by giving the recycling industries the proper government subsidies and increasing the recycling industries' profits from garbage sorting. Moreover, the government's increased fines for the urban management officers can significantly lower the incidence of bribery between the recycling industries and the urban management officers.
1. Introduction
The problem of “garbage siege” has become more prevalent as a result of China's economy and society developing so quickly (Tang et al., 2022; Zhang et al., 2022). Modernizing urban growth has been severely hampered by the outdated domestic waste management system and trash disposal practices now in use (Yu, 2012). Therefore, it has become crucial for economic and social growth to figure out how to reduce and recycle household garbage (Fan and Wang, 2021; Gupta et al., 2022). According to estimates from the National Bureau of Statistics on the amount of domestic rubbish cleared, as of December 2021, China had removed 248.692 million tons of waste, up 5.8%1 over the previous year. China has worked hard to boost domestic garbage sorting and recycling over the past 10 years (Liu et al., 2019). Major cities like Shanghai and Beijing enacted garbage separation regulations in 2020. The globe will enter an age of energy conservation and CO2 emission reduction in the same year that carbon neutrality was initially suggested during the UN General Assembly's 75th session. Thus, it follows that the future's primary research and development focus will be on how to successfully promote resource recycling, implement sustainable development methods, and encourage trash separation and recycling.
Separating municipal waste involves a game between the government, the urban management officer and the recycling industry. In some literature studies on the influencing factors of waste separation and recycling in recent years, most academics' research mostly concentrate on the behavioral strategies of residents' waste separation and recycling with a single dimension. Few scholars have studied waste separation from multiple factors and perspectives that affect the awareness of each participating subject. It is significant to note that the urban management officer's stringent enforcement and inspection is a crucial assurance for urban domestic waste classification. In reality, many cities in China actively carry out “strict enforcement of urban management officer” to further strengthen administrative penalties for violations and to promote responsible units to fulfill their obligations of domestic waste separation. The majority of the present study on government incentives for citizens participating in trash separation and recycling is concentrated on residents (Guo et al., 2017; Chen F. et al., 2019; Kuang and Lin, 2021; Peng et al., 2021), with less attention being paid to urban management officers and recycling industries. In reality, government subsidies to the recycling industry can better promote the recycling of recyclable resources after separation, reduce the amount of waste generated and solve the problem of waste siege. Therefore, it is necessary to consider multiple participating subjects and focus on the interactive perspective of multiple influencing factors to explore strategies to promote waste separation policies and provide reasonable countermeasures and suggestions for all parties involved in waste separation and recycling.
In addition, the subject of rubbish categorization and recycling study is now somewhat constrained. The majority of waste research focuses on a single waste product, such as construction waste, waste electronics, etc., (Lauridsen and Jørgensen, 2010; Peng et al., 2022), and little attention is paid to the classification and recycling of different wastes in daily life, especially against the backdrop of China's garbage siege, which lacks common research. Therefore, the research object of this paper is urban household waste. Currently, the majority of research on waste sorting and recycling is qualitative, with some quantitative study thrown in for good measure. Additionally, qualitative research lacks a quantitative analysis and verification that is particular and scientific, and theoretical research has long lagged behind the growth of practice. In view of this, this paper considers the possible bribery behavior between the recycling industry and the urban management officer, constructs a tripartite evolutionary game model between the government, the urban management officer and the recycling industry, analyzes the strategy stability of each game subject and the influence of each influencing factor on the evolutionary stability state of the system, and verifies the validity of the evolutionary stability analysis of this paper through numerical case analysis, and then proposes countermeasures and suggestions to promote the effective implementation of waste separation based on the analysis conclusion. The results of this study are conducive to maximizing resource utilization, reducing total economic energy consumption and carbon emissions, and effectively distributing the responsibilities, powers and benefits of relevant parties in the process of recyclable waste processing and recycling, forming a win-win mechanism with shared responsibilities and benefits for multiple parties. At the same time, it promotes the secondary use of renewable resources by enterprises, reduces production costs, improves the financial performance of recycling enterprises, promotes the overall green transformation of the economic society, and ultimately forms the development model of a circular economic society with Chinese characteristics. Thus, it contributes to the construction of ecological civilization, the realization of high-quality development, the construction of resource-saving and environment-friendly “two-oriented society,” and the ultimate realization of the long-term goal of “no waste country.”
2. Garbage classification and tripartite game process
Waste separation enhances resource usage and promotes a healthy, eco-friendly, green, and ecologically conscious way of living, all of which are beneficial to humankind (Ma and Zhu, 2021). Municipal household waste has considerable value in terms of resources utilization and holds great wealth (Meng et al., 2018). Recyclable, hazardous, kitchen, and other garbage are the four basic categories of household waste. According to the circular economy theory of “resource-product-renewable resource,” waste separation and recycling can effectively alleviate the current situation of garbage siege and promote the recycling of resources and sustainable development. As shown in Figure 1, non-recyclable hazardous waste is safely disposed of by special means. Other wastes such as sludge and ceramics can be disposed of by sanitary landfill. For recyclable domestic waste, it will be further sorted and reprocessed by the recycling industry and eventually used as a new raw material for product production. For instance, food waste (Wei et al., 2021) may be composted, and waste paper is utilized to create recycled paper (Mansikkasalo et al., 2014). Additionally, plastic packaging can be recycled, waste glass packaging may be processed and utilized to create crafts and other items, and scrap steel can be used in the creation of new steel. In the process of recycling, the urban management officer supervises the recycling process of the recycling industry, and the government, through the constraints of economic policies, promotes the recycling industry to separate waste for recycling and urges the urban management officer to enforce the law seriously.
Figure 1

The main process of municipal domestic waste recycling and related game subjects.
3. Literature review
Waste separation and recycling are progressively catching the attention of specialists and academics due to the significant impact resource and environmental issues have on the economy and society. The advancement of trash separation and recycling is a cutting-edge topic researched to encourage resource recycling and is essential to nations' attempts to promote sustainable economic growth. Research on trash separation, recycling, and treatment is currently widespread both domestically and internationally, but it primarily focuses on two levels: examining efficient waste separation management strategies and behavioral aspects impacting waste separation. At the level of waste separation management policy, Guman et al. (2020) studied the current issues in the area of household waste treatment in certain countries across the world and proposed some solutions to the problems. In the book < Effective Front-End Strategies to Reduce Waste on Construction Projects>, Rundle's research proposes implementing a coordinated construction waste management system through regulations to reduce construction waste and promote recovery, reuse and recycling (Rundle et al., 2019). The book < Electronic Waste: Recycling and Reprocessing for a Sustainable Future> gives readers a thorough review of the situation of e-waste creation, disposal, laws, recycling technology, and describes practices in both developed and developing countries (Holuszko et al., 2022). Although all of the aforementioned research used qualitative analytic techniques, they lacked rigorous quantitative analysis and verification, which limited the conclusions drawn from them.
Therefore, in order to solve the shortcomings of this analysis method, subsequent scholars used quantitative analysis to improve the stability and credibility of studies related to garbage classification. Evolutionary games as a quantitative research method have been widely used in the field of environmental protection. For instance, Wang and Fu (2020) reviewed recent advances in evolutionary game theory in the direction of ecological dilemmas. Habib et al. (2022) developed two game models for PV and CF power generation systems, respectively. According to the research, government subsidies are successful in encouraging the production of electricity by having a considerable impact on the evolutionary tendency of the evolutionary game strategy. In order to determine what policies are most likely to promote the adoption of low-carbon production methods, Zheng and Zhou (2020) constructed an evolutionary game model of corporate production strategy choice. A three-way evolutionary game model of the government, waste producers, and waste recyclers was created by Su (2020). According to the study, government regulation and laws are essential for raising the percentage of businesses that employ recycling tactics. As the recycling industry develops and becomes more lucrative, government participation in businesses will progressively decline until it ceases altogether.
4. Evolutionary game model
This section first presents the tripartite evolutionary game model involving government, urban management officers and recycling industries. And then, the stability conditions are derived according to the Lyapunov stability theory.
4.1. Assumptions of game model
Due to the complexity, diversity and uncertainty of social reality, the government, urban management officers and recycling industries cannot grasp complete information to choose the best strategy, that is, the government, urban management officers and recycling industries can only make satisfactory decisions based on limited information. Therefore, this paper assumes that the government, urban management officers and the recycling industries are all bounded rationality. They can constantly learn and adapt to environmental changes and adjust their strategies to maximize their own interests.
In the tripartite dynamic game of implementing garbage sorting policy, the government censors the urban management officers while the urban management officers regulate the recycling industries. However, in order to gain more revenue, some recycling industries may abandon the garbage sorting policy and engage in bribery behavior to the city administration. The relationship between the government, city administration and recycling industries is shown in Figure 2.
Figure 2

Government, city administration, and recycling industry game relationship.
Based on the above tripartite game relationship, some complex conditions are simplified without changing the nature of the problem, and the following assumptions are made.
-
(1) Government. The benefits to the government are influenced by economic benefits, social benefits and fiscal policy. When the recycling industry adopts the waste separation policy, it will produce certain economic and social benefits. Conversely, if it does not adopt policies, economic and social benefits will not be generated. In order to ensure economic and social benefits, the government adopts economic policies to promote the implementation of waste separation policies. The government's behavioral strategy set is {strict review, lenient review}. When the government strictly regulates, it rewards the recycling industry as Sa if it adopts a waste separation policy, and rewards city officials who take their regulatory duties seriously as Sb. While if the recycling industry fails to separate waste, the government will fine it Fa, and those who neglect their duties and practice fraud will be fined Fb. On the contrary, if the government is lax in regulation, it cannot obtain relevant information and does not reward or punish relevant departments. In addition, if the recycling industry fails to separate garbage and the city administration fails to supervise carefully. When the government scrutinizes strictly, to maintain the social environment, the political cost to the government is Fg; and when the government scrutinizes leniently, it will be pursued by the relevant higher regulatory authorities, setting an administrative penalty of Fn.
-
(2) Urban management officers. The behavioral strategy of urban management officers is {serious law enforcement, dereliction of duty}. When the urban management officer is carefully supervising, he will not collect any funds given privately by the recycling industry, and the fine imposed by the urban management department on the recycling industry that does not carry out garbage classification is Fc. But when the urban management officer is negligent, he will collect funds from the recycling industry. When the urban management officer does not seriously enforce the regulation, it will incur speculative costs of Cf, which mainly includes costs such as falsifying inspection records.
-
(3) Recycling industry. The behavioral strategy set of the recycling industry is {garbage sorting and recycling, not garbage sorting and recycling}. The use of renewable resources eliminates the cost of purchasing natural materials, so it is assumed that the profit of products made from renewable resources is greater than that of products made from natural materials, that is, R1>R2. In addition, the quality of the products is also related to how carefully recycling workers sort the waste. Hence, let τ be the degree of fineness in executing the waste sorting strategy, and 0 < τ ≤ 1, the larger τ is, the finer the classification is. When the recycling industry does not separate waste for recycling, funds will be given to the urban management officer, and the behavior of the recycling industry does not carry out garbage classification and recovery will generate speculative cost Ct, mainly including the management expenses such as forging the classification and recovery records.
Assuming the proportion of the recycling industry choosing garbage classification and recovery strategy is x, while the proportion that it does not choose this strategy is 1−x. The proportion of urban management officer who takes law enforcement seriously is y, and the probability that urban management officer falsifies and neglects his duties is 1−y. The probability of the government using strict scrutiny is z and the probability of the government using lenient scrutiny is 1−z.
The parameters involved in the model are shown in Table 1.
Table 1
| Symbols | Descriptions |
|---|---|
| U s | Social benefits |
| U e | Environmental benefits |
| C C | The cost of government's strict scrutiny |
| C 0 | Total cost of waste separation |
| S a | Amount of government subsidy when recycling industry adopts classified recycling |
| τ | Garbage classification quality rate |
| F a | Government fines for recycling industries that fail to comply with garbage sorting |
| S b | Government rewards for certified urban management officers who perform their duties |
| F b | Fines imposed by the government when urban management officers fail to monitor carefully |
| F c | Fines imposed by urban management officers on recycling industries that fail to carry out garbage sorting |
| R 1 | Profits made by recycling industries when they adopt waste separation for recycling |
| R 2 | Profits made by recycling industries when they do not use waste separation for recycling |
| C 2 | Funds given to urban management officers by the recycling industry |
| F g | Government remediation costs |
| R 3 | Benefits for urban management officers |
| F n | Accountability by higher regulatory authorities |
| C t | Speculative costs in the recycling industry |
| C f | Speculative costs in urban management officers |
| x | The probability that a recycling company chooses a waste separation and recycling strategy |
| y | The probability that the city administration is serious about enforcing the law |
| z | The probability of the government using strict scrutiny |
Description of symbols.
4.2. Replicator dynamic evolutionary game analysis
The perceived benefits to the recycling industry of choosing and not choosing a waste separation strategy, and the average perceived benefit to the recycling industry are shown in E11, E12 and .
According to the above perceived benefits, the replicating dynamic equation of recycling industries is as follows:
Then, the respective perceived benefits to the urban management officers of choosing conscientious enforcement and falsification and negligence strategy, and the average perceived benefit to the urban management officers are shown in E21, E22 and .
Similarly, the replicating dynamic equation of urban management officers is as follows:
Finally, the respective perceived benefits of the government's strict scrutiny, lenient scrutiny strategy, and the average perceived benefit of the government are shown in E31, E32 and .
Similarly, the replicating dynamic equation of government is as follows:
Based on Eqs (1–3), a three-dimensional dynamical system (S) is obtained as:
When , , , the equilibrium of the system can be obtained asM1 = (0, 0, 0), M2 = (0, 0, 1), M3 = (0, 1, 0), M4 = (1, 0, 0), M5 = (1, 1, 0), M6 = (1, 0, 1), M7 = (0, 1, 1), M8 = (1, 1, 1), M9 = (x0, y0, z0), and (x0, y0, z0)∈(0, 1), which can make, , . However, since the asymptotically stable solution of a multi-intelligent evolutionary game must be a strict Nash equilibrium, which in turn must be a pure strategy equilibrium, a mixed strategy equilibrium in an asymmetric game must not be an evolutionary stable equilibrium. Therefore, only the point M1−M8, followed by further analysis of the stability of each equilibrium point, needs to be considered.
4.3. Stability analysis of evolutionary games
4.3.1. Analysis of the evolutionary stability of the recycling industry
Let , then
When z = z*, F(x) = 0 holds, at which point for any x is a stable strategy for the recycling industry. When z≠z*, let F(x) = 0, there are x = 0 and x = 1 two evolutionary stability points. By virtue of the stability theorem of the differential equation, it follows that when F′(x) < 0, x is the stable point of the evolutionary game. If z>z*, then F′(0)>0, F′(1) < 0, x = 1 is the evolutionary stability point of the recycling industry. When the probability of the government choosing strict review is higher, the government strengthens control, takes the lead in boosting waste recycling, subsidizes enterprises that take measures to separate recycling, and punishes enterprises that do not take measures to separate recycling, which can effectively regulate the behavior of the recycling industry, prompt its employees to form the awareness of saving resources and protecting the environment, and increase the profit of the recycling industry, so the recycling industry will choose the strategy of separating waste for recycling. While if z<z*, then F′(0) < 0, F′(1)>0, x = 0 is the evolutionary stability point of the recycling industry. When the probability of the government choosing strict review is relatively small, in the context of the slow development of China's recycling industry, immaturity, backward technology and lack of talent, the recycling industry does not choose waste separation to generate more revenues, and thus at this time, the recycling industry chooses not to carry out the recycling strategy of waste separation.
4.3.2. Analysis of the evolutionary stability of the city's management department
Similarly, let F(y)= , then +Cf]. When z = z*, F(y) = 0 holds, at which point for any y is a stable strategy for the urban management officer. When z≠z*, let F(y) = 0, there are y = 0 and y = 1 two evolutionary stable points. Based on the stability theorem of the differential equation, it follows that when F′(y) < 0, y is the stable point of the evolutionary game. If z>z*, then F′(0)>0, F′(1) < 0, y = 1 is the evolutionary stability point of the city administration. When the government chooses a higher probability of strict scrutiny, the government strengthens supervision, regulates the enforcement behavior of the urban management officer, gives financial rewards to the urban management officer who does his duty and is meticulous and sanctions the urban management officer who falsifies and neglects his duties, so the urban management officer tends to choose a serious enforcement strategy at this time. While if z<z*, then F′(0) < 0, F′(1)>0, y = 0 is the evolutionary stability point for the recycling industry. When the probability of the government choosing strict scrutiny is relatively small, the gains from conscientious enforcement by the urban management officer are smaller than the income from bribes, so some poorly qualified urban management officer enforcement officers tend to adopt the strategy of negligence and favoritism.
4.3.3. Evolutionary stability analysis of government
Similarly, let F(z)= , then (1−y) +Fn(1 − x−y+xy)]. When x = x*, F(z) = 0 holds, then for any z is the government's stabilization strategy. When x≠x*, let F(z) = 0, there are z = 0 and z = 1 two evolutionary stable points. By the stability theorem of differential equations, it follows that when F′(z) < 0, z is the stable point of the evolutionary game. If x>x*, thenF′(0) < 0, F′(1)>0, z = 0 is the evolutionary stability point of the government. When the probability of the recycling industry choosing the waste separation strategy is high, it means that the profit of resource recycling is gradually increasing, and the employees of the recycling industry generally have the awareness of saving resources and can take the initiative to take the responsibility of environmental protection, so the recycling industry may choose the waste separation policy spontaneously even without strict government review. While if x<x*, then F′(0)>0, F′(1) < 0, z = 1 is the government's evolutionary stability point. When the probability of the recycling industry choosing the waste separation strategy is small, the social environment will be damaged to a certain extent, which seriously hinders the development process of China's urban modernization and is not conducive to the construction of ecological civilization, and the government has to pay extra remediation costs, for which the government will take strict review measures in this case.
Based on the method proposed by FRIEDMAN (1991), the evolutionary stability strategy of the system of differential equations can be obtained through the local stability analysis of the Jacobi matrix of the system, and the equilibrium point that satisfies all the eigenvalues of the Jacobi matrix are non-positive is the evolutionary stability strategy of the system. The Jacobian matrix J is shown in (5) and the details are in Appendix.
The eigenvalues of the Jacobi matrix corresponding to each equilibrium point are shown in Table 2.
Table 2
| Equilibrium point | Eigenvalue λ1 | Eigenvalue λ2 | Eigenvalue λ3 |
|---|---|---|---|
| (0,0,0) | R 1−τC0+C2−R2+Ct | F c −C2+Cf | −Cc+Fa+Fb+Fn |
| (0,0,1) | S a +R1− τC0+Fa+C2−R2+Ct | F c −C2+Sb+Fb+Cf | −(−Cc+Fa+Fb+Fn) |
| (0,1,0) | R 1− τC0+Fc−R2+Ct | −(Fc−C2+Cf) | −Cc+Fa−Sb |
| (1,0,0) | −(R1−τC0+C2−R2+Ct) | C f | F b −Sa−Cc |
| (1,1,0) | −(R1−τC0+Fc−R2+Ct) | −Cf | −Sa−Cc−Sb |
| (1,0,1) | −(Sa+R1−τC0+Fa+C2−R2+Ct) | S b +Fb+Cf | −(Fb−Sa−Cc) |
| (0,1,1) | S a +R1−τC0+Fc+Fa−R2+Ct | −(Fc−C2+Sb+Fb+Cf) | −(−Cc+Fa−Sb) |
| (1,1,1) | −(Sa+R1−τC0+Fc+Fa−R2+Ct) | −(Sb+Fb+Cf) | S a +Cc+Sb |
Jacobian matrix eigenvalues.
When all eigenvalues of the Jacobi matrix are non-positive, the equilibrium is an evolutionary stable strategy. To analyze the positive and negative signs of the corresponding eigenvalues and to determine the stability of each equilibrium, it is assumed that:
-
The sign assumes that all values in the table are positive
-
F a +Fb+Fn>Cc
4.3.4. Stability analysis in different contexts
Scenario 1: The system has a unique evolutionary stability point (1, 1, 0) when R1−τC0+Fc−R2+Ct>0. The corresponding evolutionary stability strategy is (waste sorting, careful enforcement, lenient censorship).
Scenario 2: The system has a unique evolutionary stability point (0, 0, 1) when Sa+R1− τC0+Fa+C2−R2+Ct < 0,and Fc−C2+Sb+Fb+Cf < 0,
the corresponding evolutionary stability strategy is (no classification, neglect of duty, and strict scrutiny).
Scenario 3: The system has a unique evolutionary stability point (0, 1, 0) when C2−Cf<Fc<R2+τC0−R1−Ct, Fa<Sb+Cc and its corresponding evolutionary stability strategy is (no classification, careful enforcement, lenient review).
Scenario 4: The system has a unique evolutionary stability point (0, 1, 1) when C2−Sb−Fb−Cf<Fc < τC0+R2−Ct−Fa−Sa−R1, Fa>Sb+Ccand its corresponding evolutionary stability strategy is (no classification, careful enforcement, and strict scrutiny).
5. Evolutionary simulation studies
This section verifies the validity of the evolutionary stability analysis of the article for the two more ideal stability states of the system (1,1,0) (Case 1) and (0,0,1) (Case 2), and analyzes the effect of the recycling industry's revenue from adopting a waste separation strategy, the level of fineness of waste separation, different initial ratios, the strength of government penalties on urban management officers, and the strength of government subsidies to the recycling industry on the evolution of the system for Case 1. This section uses MATLAB2018a software for numerical simulations. Array 1:Cc = 20, C0 = 50, Sa = 15, τ = 0.9, Fa = 45, Sb = 6, Fb = 50, Fc = 45, R1 = 155, R2 = 105, C2 = 10, Fg = 15, R3= 60, Fn = 35, Ct = 5, Cf = 5. Array 2:Cc = 20, C0 = 50, Sa = 1, τ = 0.9, Fa = 1, Sb = 1, Fb = 1, Fc = 2, R1 = 125, R2 = 105, C2 = 20, Fg = 15, R3 = 60, Fn = 35, Ct = 1, Cf = 2.
5.1. Model testing
To test the validity of the evolutionary stability analysis of the system in this paper, array 1 and array 2 are brought into the model for simulation, and the results of the runs are shown in Figures 3, 4, respectively.
Figure 3

Simulation diagram of the system evolution 50 times under array 1.
Figure 4

Simulation diagram of the system evolution 50 times under array 2.
From Figures 3, 4, the system under the array 1 condition eventually evolves to the point (1, 1, 0), which is consistent with the conclusion of Case 1. The system under the array 2 condition will eventually evolve to the point (0, 0, 1), which is consistent with the conclusion of case 2. The simulation analysis is consistent with the conclusion of the evolutionary stability analysis of the system in the article, and the model is valid and has important practical guidance for the government, urban management and recycling enterprises.
5.2. Simulation analysis
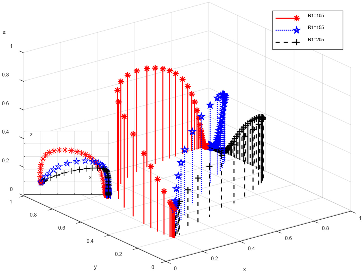
First, to analyze the effect of the change of R1 on the choice of the parties' participation strategies, let R1 equals to 105, 155, and 205, respectively, and run the simulation results as shown in Figure 5. Let τ equals to 0.1, 0.5, and 0.9, respectively, and run the simulation results as shown in Figure 6.
Figure 5

Impact of changes in recycling industry earnings for choosing waste separation.
Figure 6

Impact of the fineness of waste sorting.
Figure 5 shows that during the gradual evolution of the system to a point of stability, an increase in the revenue of the recycling industry that chooses a waste separation strategy accelerates the evolution of its choice of waste separation strategy. The probability of the recycling industry choosing a waste separation strategy increases and the probability of strict government regulation decreases with the increase of R1. For the recycling industry, recycling valuable products in the supply chain is a good business with a huge market potential (Kerr and Ryan, 2001), which helps to form a “natural resource—product—recycled resource” circular economy loop in the whole society, which is energy saving and environmental friendly, and can bring more economic benefits to the society. Therefore, the government can take appropriate measures to ensure the revenue of the recycling industry, which in turn will increase the motivation of the recycling industry to choose the waste separation strategy and ensure the recycling of resources.
From Figure 6, it can be seen that in the evolution process, the probability of choosing waste separation strategy by recycling industry increases and the probability of serious enforcement by city administration and strict review by government decreases with decreasing τ. The government can promote the recycling industry to choose waste separation strategy more often by training the employees of the recycling industry, promoting the idea of waste separation to them and raising their awareness of energy saving and environmental protection (Kurniawan et al., 2021), or raising the awareness of responsibility of the recycling industry through social media disclosure, etc., to promote the recycling industry to choose waste separation strategy more often while ensuring the quality rate of waste separation.
To investigate the effect of different initial ratios on the evolution of the system, let x, y and z be 0.1, 0.5, and 0.9, respectively, with other parameters held constant, and the evolutionary path of each party is shown in Figure 7.
Figure 7

Effect of different initial ratios on the evolution of the system. (A) Recycling industry, (B) urban management officer, and (C) government.
As can be seen in Figure 7, as the probability of the recycling industry choosing a waste sorting strategy increases, the probability of the urban management officer choosing serious enforcement decreases and eventually evolves toward 1; the probability of the government choosing lenient review gradually increases and accelerates, eventually evolving to stabilize at 0.
As the probability of urban management officers' serious enforcement increases, the probability that the recycling industry chooses the waste separation strategy increases and eventually evolves toward 1. The probability that the government chooses a lenient review also gradually increases and accelerates and eventually evolves toward 0. The change in the probability of serious enforcement by the urban management officer has a much greater impact on the government than on the recycling industry, so the increase in the probability of serious enforcement by the city government facilitates the system to achieve evolutionary stability.
As the probability of strict government scrutiny increases, the recycling industry's choice of waste separation strategies and the city administration's choice of serious enforcement gradually accelerate. This illustrates that strict government scrutiny is conducive to the recycling industry and the city administration to act in accordance with the law, and to the construction of a resource-saving and environment-friendly two-type society.
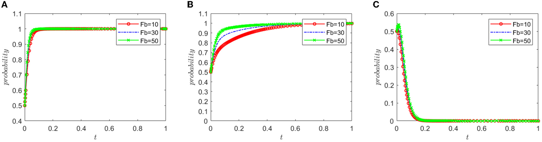
In order to explore the effect of the amount of government punishment to the urban management officer on the speed of strategy choice of each party involved, let Fb equals to 10, 30, and 50, respectively, the evolutionary path of each party is shown in Figure 8.
Figure 8

The trajectory of the evolution of the strategies of the three subjects under different levels of punishment by the government to the city administration. (A) Recycling industry, (B) Urban management officer, and (C) Government.
The government plays an important role in garbage sorting (Chen J. et al., 2019). The phenomenon of “bad money driving out good money” (Yang and Hu, 2012) often occurs when individual efforts vary greatly and do not yield the corresponding results. In order to avoid this phenomenon, the government should enact laws and regulations to ensure strict enforcement by urban management officers. As can be seen in Figure 8, the increase in the amount of government penalties on the urban management officer accelerates the rate at which the recycling industry and the urban management officer reach equilibrium, and its impact on the urban management officer is much greater than that of the recycling industry. However, the increase in the amount of government penalties on the urban management officer increases the government's incentive to scrutinize and slows down the government's rate of reaching equilibrium. Therefore, the government should establish appropriate penalties to promote the recycling industry's choice of waste separation policy and to prompt urban management officers to enforce the law carefully, in order to promote scientific, rational and efficient waste separation and recycling, and to achieve harmony between people and nature.
In order to explore the influence of government incentives to recycling industry on the evolutionary game process and results, Sa is assigned to 0, 15, and 30, respectively. The evolutionary paths of all parties are shown in Figure 9.
Figure 9

Effect of the size of government subsidies to the recycling industry on the dynamic evolutionary outcomes of the game participants.
As shown in Figure 9, the probability of strict government scrutiny decreases and the probability of serious enforcement by city officials decreases as the evolutionary stability process Sa increases. It can be concluded that although government incentives for the recycling industry can motivate them to choose a waste separation policy, it is not conducive to the performance of the urban management officers. For this reason, the government needs to develop an appropriate subsidy strategy to promote recycling businesses for secondary use of recyclables while ensuring that urban management officers are diligent in their duties. According to the industry life cycle theory (Lumpkin and Dess, 2001), the government can increase subsidies and incentives in the early stages of recycling business development, but as the recycling industry reaches a mature stage, the government can reduce subsidies to effectively promote waste separation.
6. Conclusions
This paper constructs a three-way evolutionary game model of government, urban management officer, and recycling industry based on the current environmental problems in China, such as the yearly increase in municipal waste generation and low resource recycling rate, and draws the following conclusions.
-
(1) From the perspective of the recycling industry, the final strategy choice of the recycling industry is mainly influenced by the strength of government subsidies, penalties, revenue from the adoption of waste separation, and the quality rate of waste separation. The simulation results show that the rate of evolutionary stability of the recycling industry is accelerated with the increase of revenue from the adoption of waste separation strategies. Technology changes life, and the recycling industry can actively research and develop to innovate the traditional waste sorting and recycling mode, improve the quality of waste sorting and recycling, reduce the cost of recycling, and increase the profit, so as to promote more recycling industry to choose waste sorting strategy and form a “burden reduction effect” for government departments.
-
(2) From the standpoint of urban management officer, government incentives and sanctions have a significant impact on the ultimate strategy decision. The government may provide the right incentives to encourage the local administration to take legal compliance seriously and behave legally. According to the simulation results, there is a considerably higher chance that municipal administration will choose to execute the law strictly as the likelihood of severe government scrutiny and the severity of punishment grows. The government should make relevant laws and regulations to ensure urban management officers to strictly enforce the law, and improve the administrative accountability system to give severe administrative punishment to those urban management officers who falsify and play favorites.
-
(3) From the government's point of view, the government's final strategy choice is influenced by the strength of its subsidies, but also by the strength of the penalties imposed by the higher regulatory authorities. From the simulation results, it is clear that the evolution rate of the government's choice of lenient censorship policy gradually accelerates as the recycling industry chooses the waste separation policy and the probability of urban management officer choosing serious enforcement increases. The government should unquestionably take the lead in waste separation. For the time being, the government should make greater investments in the environmental sector, develop a focused environmental talent pool, and use economic constraints to motivate local authorities and the recycling sector. In addition, the government can also create a favorable social atmosphere by means of media exposure and other means to morally condemn the bad behavior of companies that fail to separate garbage and urban management officers who neglect their duties and play favorites.
Statements
Data availability statement
The original contributions presented in the study are included in the article/supplementary material, further inquiries can be directed to the corresponding author.
Author contributions
NY: conceptualization, model construction, numerical example analysis, and writing–original draft. XT: writing–original draft and paper revision. YZ: visualization and validation. YQ: resources and supervision. XH: writing–review and editing. ZL: conceptualization, funding acquisition, resources, and supervision. All authors contributed to the article and approved the submitted version.
Funding
This work was sponsored by National Natural Science Foundation of China NSFC (grant numbers: 72002153 and 41971249).
Acknowledgments
We would like to give our great appreciation to all the reviewers and editors who contributed this study.
Conflict of interest
The authors declare that the research was conducted in the absence of any commercial or financial relationships that could be construed as a potential conflict of interest.
Publisher’s note
All claims expressed in this article are solely those of the authors and do not necessarily represent those of their affiliated organizations, or those of the publisher, the editors and the reviewers. Any product that may be evaluated in this article, or claim that may be made by its manufacturer, is not guaranteed or endorsed by the publisher.
Footnotes
1.^ Data source: < China Statistical Yearbook>, www.stats.gov.cn/tjsj/ndsj.
References
1
Chen F. Chen H. Wu M. Li S. Long R. (2019). Research on the driving mechanism of waste separation behavior: based on qualitative analysis of chinese urban residents. Int. J. Environ. Res. Public Health, 16, 1859. 10.3390/ijerph16101859
2
Chen J. Hua C. Liu C. (2019). Considerations for better construction and demolition waste management: identifying the decision behaviors of contractors and government departments through a game theory decision-making model. J. Clean. Prod.212, 190–199. 10.1016/j.jclepro.2018.11.262
3
Fan Z. Wang J. (2021). Model and suggestions on classified treatment of rural domestic waste. IOP Conference Series. Earth Environ. Sci.781, 32023. 10.1088/1755-1315/781/3/032023
4
FRIEDMAN D. (1991). Evolutionary games in economics. Econometrica59, 637–666. 10.2307/2938222
5
Guman O. Krinochkina O. Khomenko V. Wegner-Kozlova E. (2020). Municipal solid waste management in some countries of the world. E3S Web Conferences217, 4010. 10.1051/e3sconf/202021704010
6
Guo S. Ding G. Zhao Q. Jiang M. (2017). Bonus point system for refuse classification and sustainable development: a study in china. Sustainability9, 1776. 10.3390/su9101776
7
Gupta T. Joshi R. Mukhopadhyay D. Sachdeva K. Jain N. Virmani D. et al . (2022). A deep learning approach based hardware solution to categorise garbage in environment. Complex Intell Syst.8, 1129–1152. 10.1007/s40747-021-00529-0
8
Habib M. A. Kabir K. M. A. Tanimoto J. (2022). Evolutionary game analysis for sustainable environment under two power generation systems. Evergreen9, 326–344. 10.5109/4793672
9
Holuszko M. E. Kumar A. Espinosa D. C. R. Ohio Library Information Network . (2022). Electronic Waste: Recycling and Reprocessing for a Sustainable Future. Hoboken: Wiley.10.1002/9783527816392
10
Kerr W. Ryan C. (2001). Eco-efficiency gains from remanufacturing: a case study of photocopier remanufacturing at fuji xerox australia. J. Clean. Prod.9, 75–81. 10.1016/S0959-6526(00)00032-9
11
Kuang Y. Lin B. (2021). Public participation and city sustainability: evidence from urban garbage classification in china. Sustain Cities Soc.67, 102741. 10.1016/j.scs.2021.102741
12
Kurniawan T. A. Lo W. Singh D. Othman M. H. D. Avtar R. Hwang G. H. et al . (2021). A societal transition of MSW management in xiamen (china) toward a circular economy through integrated waste recycling and technological digitization. Environ. Pollut.277, 116741. 10.1016/j.envpol.2021.116741
13
Lauridsen E. H. Jørgensen U. (2010). Sustainable transition of electronic products through waste policy. Res. Policy39, 486–494. 10.1016/j.respol.2010.01.021
14
Liu X. Wang Z. Li W. Li G. Zhang Y. (2019). Mechanisms of public education influencing waste classification willingness of urban residents. Resources Conserv. Recycling149, 381–390. 10.1016/j.resconrec.2019.06.001
15
Lumpkin G. T. Dess G. G. (2001). Linking two dimensions of entrepreneurial orientation to firm performance: The moderating role of environment and industry life cycle. J. Bus. Ventur.16, 429–451. 10.1016/S0883-9026(00)00048-3
16
Ma W. Zhu Z. (2021). Internet use and willingness to participate in garbage classification: an investigation of chinese residents. Appl. Econ. Lett.28, 788–793. 10.1080/13504851.2020.1781766
17
Mansikkasalo A. Lundmark R. Söderholm P. (2014). Market behavior and policy in the recycled paper industry: a critical survey of price elasticity research. Forest Policy Econ.38, 17–29. 10.1016/j.forpol.2013.08.011
18
Meng X. Wen Z. Qian Y. (2018). Multi-agent based simulation for household solid waste recycling behavior. Resources Conserv. Recycl.128, 535–545. 10.1016/j.resconrec.2016.09.033
19
Peng H. Shen N. Ying H. Wang Q. (2021). Factor analysis and policy simulation of domestic waste classification behavior based on a multiagent study—Taking shanghai's garbage classification as an example. Environ. Impact Assess. Rev.89, 106598. 10.1016/j.eiar.2021.106598
20
Peng Z. Lu W. Webster C. (2022). If invisible carbon waste can be traded, why not visible construction waste? establishing the construction waste trading “missing market”. Resources Conserv. Recycling187, 106607. 10.1016/j.resconrec.2022.106607
21
Rundle P. G. Bahadori A. Doust K. Ohio Library Information Network . (2019). Effective Front-end Strategies to Reduce Waste on construction Projects. Berlin: Springer.10.1007/978-3-030-12399-4
22
Su Y. (2020). Multi-agent evolutionary game in the recycling utilization of construction waste. Sci. Total Environ.738, 139826–139826. 10.1016/j.scitotenv.2020.139826
23
Tang D. Shi L. Huang X. Zhao Z. Zhou B. Bethel B. J. et al . (2022). Influencing factors on the household-waste-classification behavior of urban residents: a case study in shanghai. Int. J. Environ. Res. Public Health19, 6528. 10.3390/ijerph19116528
24
Wang X. Fu F. (2020). Eco-evolutionary dynamics with environmental feedback: cooperation in a changing world. Europhys. Lett.132, 10001. 10.1209/0295-5075/132/10001
25
Wei Z. Zuo H. Li J. Ding G. Zhan Y. Zhang L. et al . (2021). Insight into the mechanisms of insoluble phosphate transformation driven by the interactions of compound microbes during composting. Environ. Sci. Pollut. Res. Int.28, 32844–32855. 10.1007/s11356-021-13113-3
26
Yang Y. Hu J. (2012). Gresham's law in environmental protection. Environ. Econ. Policy Stud.14, 103–122. 10.1007/s10018-011-0025-z
27
Yu B. (2012). Research on Industrial Chain Design of municipal Solid Waste—Takingwuhan for Example.
28
Zhang L. Liu G. Li S. Yang L. Chen S. (2022). Model framework to quantify the effectiveness of garbage classification in reducing dioxin emissions. Sci. Total Environ.814, 151941–151941. 10.1016/j.scitotenv.2021.151941
29
Zheng J. Zhou Y. (2020). Will enterprises choose low-carbon production technology? evolutionary game model considering consumers' environmental protection moral and market clearing. IOP Conference Series. Mater. Sci. Eng.790, 12126. 10.1088/1757-899X/790/1/012126
Appendix
Summary
Keywords
municipal solid waste, classified recycling, multi-agent, evolutionary game, simulated analysis
Citation
Yao N, Tan X, Zhang Y, Qu Y, Han X and Li Z (2023) Multi-agent evolutionary game analysis on the implementation of municipal solid waste classification policy. Front. Sustain. Cities 5:954323. doi: 10.3389/frsc.2023.954323
Received
27 May 2022
Accepted
23 January 2023
Published
21 February 2023
Volume
5 - 2023
Edited by
Reza Mortazavi, Dalarna University, Sweden
Reviewed by
Jun Tanimoto, Kyushu University, Japan; Catia Cialani, Dalarna University, Sweden
Updates
Copyright
© 2023 Yao, Tan, Zhang, Qu, Han and Li.
This is an open-access article distributed under the terms of the Creative Commons Attribution License (CC BY). The use, distribution or reproduction in other forums is permitted, provided the original author(s) and the copyright owner(s) are credited and that the original publication in this journal is cited, in accordance with accepted academic practice. No use, distribution or reproduction is permitted which does not comply with these terms.
*Correspondence: Zhi Li ✉ lizhi@tiangong.edu.cn
This article was submitted to Urban Resource Management, a section of the journal Frontiers in Sustainable Cities
Disclaimer
All claims expressed in this article are solely those of the authors and do not necessarily represent those of their affiliated organizations, or those of the publisher, the editors and the reviewers. Any product that may be evaluated in this article or claim that may be made by its manufacturer is not guaranteed or endorsed by the publisher.