Abstract
To enhance urban governance and bolster community disaster resilience, it is urgent to innovate and develop an urban community security system to cope with the complex and volatile social security situation. From the perspective of resilience, the concept, layout, and structure of the security system are organized. Considering the current situation and development trend of the social security system, and based on the constructed cost-capability model, the cost and benefit of the two modes are analyzed and compared. Subsequently, from the perspective of multi-agent participation, a game model between governments and enterprises is constructed. The evolutionary stability strategies of enterprises are analyzed, and simulation analysis is conducted on the factors influencing enterprises. Finally, to propose targeted improvement measures based on the community security capabilities of different communities, a grey fuzzy comprehensive evaluation method is employed. The community security comprehensive capabilities of the top 10 cities in China are quantitatively analyzed and evaluated. The results indicate that the urban community security system from a resilience perspective is more comprehensive compared to the traditional security system. Adopting mode 2 is relatively effective to improving government emergency management capability. In a certain range, reducing C, increasing F, reducing R2, and increasing h can achieve the effect of promoting enterprise to participate in construction. The urban community security capability is within the upper-medium level in general, close to the level of good. The urban community security system constructed in this paper can provide a theoretical basis for the government to formulate policies of the urban community security system and serve as a reference for strengthening the comprehensive capability of the urban community security.
1 Introduction
With the rapid development of urban construction and the completion of the industrial revolution, global urbanization has now covered a significant portion of the world’s population (United Nations, 2016; Kiviaho and Einolander, 2023). Urban communities have gradually emerged as the primary carriers of security (Patel and Burkle, 2012; Elfversson and Höglund, 2023). Urban community security has consistently been a focal topic in the fields of urban planning and social policy (Contardo et al., 2023). The initial research on urban community security can be traced back to the evolution of crime from the 1960s to the 1990s, a period when urban crime rates around the world exhibited exponential growth (Findlay, 1999). In recent years, global climate change has led to various risks for urban communities, including frequent extreme weather events (Ghosh et al., 2021; Li et al., 2021; Yang et al., 2023), global infectious diseases (Korkietpitak et al., 2013; Nova et al., 2022), natural disasters (Rus et al., 2018; Xiang et al., 2018), and urbanization issues (Colozza et al., 2023). The notion of community resilience is gaining popularity due to its potential to provide tools for risk preparation, as well as deal with and recover from the consequences of disasters (Elkady et al., 2023). Accordingly, scholars have built a food system (Menconi et al., 2022), water security system (Varady et al., 2020), and transportation system (Luo and Yang, 2021) around community development. To explore the current research hotspots and trends in the field of urban community security, “urban community security” was used as the search term to collect literature from the Web of Science core collection published from 2000 to July 2, 2023. A total of 2,755 papers were obtained and subjected to bibliometric analysis. The publication distribution of urban community security literature is shown in Figure 1, indicating a steady growth in research on urban community security. This suggests that the issue of urban community security has been receiving attention from both the academic and decision-making levels. This trend closely aligns with the accelerating global urbanization process and the increasing security challenges associated with it.
Figure 1

Number of publications on urban community security from 2000 to 2023.
In terms of document types, research papers and academic journal articles dominate, which reflects that urban community security research is a highly academic field, where researchers provide critical insights into various security issues for policymakers through in-depth analysis. Additionally, conference papers and government reports also hold a significant share in the literature, indicating the crucial impact of collaboration between the government and the academic community on urban community security research.
In terms of Web of Science categories, most studies are concentrated in environmental science (18.9% of the literature), environmental research (17.4%), public environmental occupational health (13.2%), urban studies (11.6%), green and sustainable development (8.7%), and urban geography, including urban regional planning (6.2%). These areas cover some of the most crucial and pressing issues in both society and the scientific community, with global relevance and urgency. The reasons contributing to this phenomenon can be summarized in the following five aspects: (1) global environmental concerns: in recent years, there has been a growing global concern about environmental issues such as climate change, air and water pollution, and ecosystem degradation. Researchers are inclined to invest more in the fields of environmental science and environmental research as a response to these concerns. (2) Health and public policy issues: the impact of the COVID-19 pandemic on a global scale has highlighted the importance of public environmental health as a subfield. Researchers are interested in studying the influence of environmental factors on human health, particularly in the context of urban medical environments, urban health security capabilities, and urban public health policies. (3) Urbanization and urban issues: studies in fields like urban research and urban geography play a crucial role in the process of urbanization. With the continuous growth of the global population, urbanization has become a significant research topic. Researchers are interested in studying how urban environments, as the dwelling places of citizens, and different urbanization processes affect social security. (4) Importance of sustainable development: green and sustainable development is one of the critical global topics today. Urban community security and sustainable development are closely related and serve as focal areas in research. Researchers aim to balance economic growth with resource conservation. (5) Policy-making and social impact: environmental issues are not limited to scientific research but also have substantial implications for government policies and societal decisions. Researchers may focus on the formulation and implementation of environmental policies and the societal impact of environmental problems.
This article further conducts keyword and topic analysis on 2,755 core papers, using VOSviewer to cluster keywords in article titles and abstracts, as shown in Figure 2. Through the analysis of the most frequently occurring topic clusters in related urban community security research, the main research themes include food safety, dietary health, drinking water safety, human health, agriculture, business environment, temperature and climate, geographical environment, infectious diseases, child health, women’s health, social factors, healthcare, international migration, technological development, and social crime, among others. These keywords reflect the extensive diversity of urban community security research, encompassing various aspects from social factors to environmental issues. Additionally, topics like social inequality, environmental sustainability, and urban planning strategies (Salmistu and Kotval, 2023) are also closely examined by researchers, underscoring the complexity of urban community security research. In general, the hot topics and key issues in urban community security research revolve around areas such as cities, agriculture, social aspects, family dynamics, food security, vulnerable populations (including women and children), and health-related matters. The change in the research theme of urban community security in recent years is shown in Figure 3, recent articles have focused on research themes related to climate change (Banwell et al., 2018; Tomatis et al., 2023), population aging (Ma and Xu, 2023), food security (Steenkamp et al., 2021; Yazew et al., 2023), and the impact of COVID-19 on urban sustainability (Robillard et al., 2023), among other pertinent urban community security concerns (Prashar et al., 2013). Analyzing the hot topics and research trends in urban community security research, we can summarize several scientific patterns and research priorities: (1) interdisciplinary research: urban community security research is inherently interdisciplinary, encompassing fields such as urban planning, agriculture, sociology, family studies, food security, vulnerable populations, and health. Researchers increasingly recognize the need to comprehensively consider various factors and knowledge from across these disciplines to address urban community security issues. (2) Addressing current challenges: in recent years, urban community security research has placed a heightened focus on addressing contemporary global challenges, including climate change, population aging, food security, and the effects of COVID-19. This reflects a tendency among researchers to prioritize urgent issues with broad societal impacts. (3) Social equity and vulnerable groups: urban community security research underscores the importance of social equity and vulnerable populations. This includes a focus on women, children, and other groups susceptible to the impacts of social insecurities, aiming to ensure that security strategies are inclusive and equitable. (4) Sustainable development: sustainable development is a key research focus, especially concerning the future of urban communities (Tang et al., 2023). Researchers are dedicated to identifying sustainable solutions that enhance urban community security, including topics like low-carbon development (Zhang et al., 2023), clean energy, and related subjects, to ensure the long-term well-being of society and the environment. (5) Timeliness and practicality: the distribution of publication dates highlights researchers’ attention to timeliness and practicality. They not only concentrate on theoretical research but also prioritize studies with the potential to directly influence policymaking and community practices. In summary, urban community security research trends are characterized by their comprehensiveness, interdisciplinary nature, and practical orientation. The field addresses pressing societal and environmental challenges while striving to improve the sustainability, inclusivity, and security of urban communities. This development contributes to enhancing security measures in cities and communities and drives progress in related policies and practices.
Figure 2

Clustering of research topics on urban community security from 2000 to 2023.
Figure 3

Timing map of papers on “urban community security” from 2015 to 2020.
In addition, international cooperation plays a crucial role in urban community security research. International collaboration is on the rise, with many studies being conducted by multinational teams. This cross-border collaboration facilitates knowledge exchange and experience sharing, and it will continue to be essential in urban community security research. Collaborative efforts among international teams will strengthen to address global challenges, such as climate change, disease outbreaks, and food security. This will enhance the breadth and depth of research, promote interdisciplinary knowledge exchange, and provide robust support for the safety and sustainable development of global urban communities. Furthermore, as urban smart technology continues to advance, digital technology will play an increasingly significant role in urban community security research. For instance, smart city monitoring systems can help identify safety issues in advance and respond to natural disasters and public health threats effectively.
Based on logical reasoning and scientific predictions, the future of urban community security research will exhibit a multidisciplinary trend, emphasizing the importance of international collaboration, digital technology (Song et al., 2022), and urban intelligence. Research in urban security construction and related areas focus more on social innovation and community involvement to develop new strategies for urban community security. This includes close collaboration with community residents (Buchori et al., 2022) to jointly address issues and encourage social innovation in response to security challenges. Social health inequality issues will continue to be a concern to reduce health disparities among different communities. Ecosystem services and urban ecology will provide new perspectives on urban community security, as urban communities need to enhance their climate resilience and adaptability. Research will focus on how to build more resilient urban communities to address extreme climate events and other disasters, emphasizing the protection and restoration of natural capital. Finally, health security and infectious disease management will remain a focal point, especially considering the threats posed by diseases like COVID-19. In October 2020, the Fifth Plenary Session of the 19th CPC Central Committee proposed to “build resilient cities, improve urban governance, and strengthen risk prevention and control in mega-city governance” (Zhang et al., 2023). Resilient communities provide new ideas for community security system construction, which is conducive to preparing communities for emergencies, recovering quickly after problem-solving, and providing strong support for the security and sustainable development of urban communities worldwide. Extensive and in-depth researches on the construction of resilient community have been conducted, primarily focusing on resilience assessment, analysis of factors influencing resilient communities, and decision-making. Assessment methods include advanced community resilience models, multi-layer fuzzy comprehensive evaluation models based on entropy weight, AHP-TOPSIS (Wang et al., 2022), and Comprehensive Community Disaster Resilience Index (CCDRI) (Al Rifat and Liu, 2020). The decision support model can determine the optimal recovery strategy to maximize the disaster recovery capability (Yang et al., 2024).
Based on the current research status and trend, this study intends to explore how to improve the urban community security system from the perspective of resilience and based on the constructed urban community system model. The following structure of this article is as follows. In section 2, the urban community security system is defined and described. In section 3, a cost-capability relation model is proposed from the perspective of economics, and the cost and emergency management capability under the two modes are analyzed and compared. In section 4, the game model of the community security system is constructed, the evolutionary stability strategy of enterprises is analyzed, and the influencing factors of enterprises are numerically simulated. In section 5, an urban security capability evaluation method is proposed to evaluate the comprehensive community security capabilities of the top 10 cities in China’s GDP, and targeted improvement measures are proposed. In section 6, the main content is summarized.
2 Community security system description
From the perspective of resilience, the resilient urban community security system is a multi-functional rescue work system, which is based on the economy of community security, oriented by socialization, informatization and the whole process of community security, led by government departments, with the participation of diverse social entities, and can implement all-round, time-space and multi-level comprehensive control for emergency rescue, relying on modern information technology. Compared with the previous urban community security system, the urban resilient community security system has five characteristics, such as the plurality of execution subjects, the diversity of implementation methods, the coordination of implementation process, the core of public service work and the scientific and technological content.
2.1 Community security system layout
According to the spatial layout of urban economic development and the general characteristics of community security environment in China, based on the three-dimensional perspective, the land plane, three-dimensional space and different time nodes are coordinated, and the layout is carried out from the perspectives of location reference objects, event characters and behavior patterns. The overall layout of community security system is divided into four dimensions, as shown in Figure 4, and the layout description is shown in Table 1.
Figure 4

Urban community security system layout.
Table 1
| Dimension | Description |
|---|---|
| Three-dimensional space | The spatial layout can basically cover urban areas, which is distributed in eight types of three-dimensional networks of security areas: street and intersection security three-dimensional network, community public areas security three-dimensional network, enterprises and public institutions security three-dimensional network, key trans-regional boundary security three-dimensional network, internet virtual space security three-dimensional network, video security three-dimensional network in key public places, air patrol security dynamic network and underground public places security three-dimensional network |
| Time dynamization | Through the dynamics of the security environment and the occurrence time nodes of security incidents and the changes in the time laws of climate, season, day and night, the security prediction, early warning and preventive measures in different time series stages are improved to respond to the police, calm the situation, and detect and handle the cases as soon as possible. The incidents are followed up and handled within the specified time limit to achieve the response due to the situation and the tracking and prevention of the whole time axis |
| Dimensional distribution | Node layout control shall be implemented according to the dimensional distribution characteristics of three-dimensional space, with reference to the security dimension elements such as natural persons, buildings, main roads, special parts, urban construction infrastructure, and gathering points of places. The control shall be distributed in time intervals and segments, and the grid information elements shall be collected for various monitoring elements, so as to do a good job in information verification and supervision |
| Diversified means | The diversification of administrative means refers to the diversification of administrative measures led by public security departments and assisted by social mobilization forces, so that administrative measures with different roles can effectively affect every unit, community and family in society, enhance the administrative law enforcement capability of public security functions as the core, and make full use of a variety of administrative means to strengthen the publicity of security policy concepts. The use of social third-party channels of multiple means to popularize security common sense |
Description of urban community security system layout.
2.2 System structure
Urban community security system has three-dimensional characteristics, including security agents, security space and security means. The security agents present a vertical structure in the government sector, and the authority system is distributed from top to bottom. In the non-government sector, there is a horizontal structure. The security space is related to the grid layout, and consists of four aspects. Dynamic monitoring runs through the whole process of the security system, and consists of four means. The structure of urban community security system is shown in Figure 5.
Figure 5

Urban community security system structure.
According to the structure of urban community security system, it is understood that the functions of urban community security system mainly include: unified command and dispatch function, intelligent collection and judgment function, cross-departmental linkage and response function, and social security tracking and monitoring function. The resilient community security system can solve the incomplete management of public security functional departments, the incomplete police mechanism, the incomplete operating mechanism, the inadequate safeguard mechanism, the weak citizen information management, the single public security administration, the inflexible internal management of public security administration, the lack of management mechanism, and the acute contradictions among the people.
3 Cost-capability model
In the context of urban security system construction, the government is transitioning from the traditional emergency management concept of “resource integrating and utilizing first, technology second” (model 1) to the new emergency management concept of “technology first, taking into account resource integrating and utilizing” (model 2). To explore the impact of these two models on enhancing urban security system construction, this study uses a basic economic model to analyze the relationship between the cost of urban community security system under the two modes and government emergency management capability.
3.1 Basic economic model
The basic economic model of the cost of urban community security system and government emergency management capability is established, as shown in Figure 6.
Figure 6

Basic economic model of urban community security system.
In order to improve the government emergency management capability, it is necessary to increase the investment in system construction accordingly. Therefore, the construction cost of urban resilient community security system is positively correlated with the government emergency management capability, as shown in curve C1. Due to the increase in the construction cost of building the security system, the resilience of the security system has been improved, the system has fewer and fewer loopholes, the function has been gradually optimized, and the emergency rescue work efficiency has been continuously enhanced. Correspondingly, the operation cost to ensure the normal operation of the security system has been reduced. Therefore, the operation cost of the security system presents a negative correlation curve with the government emergency management capability, as shown in curve C2. The construction cost and operation cost of the urban community security system constitute the total cost. The relationship between the total cost and the government emergency management capability is shown in curve C. Point X indicates that the construction cost is equal to the operation cost, and the value of its emergency management capability is A, corresponding to point Z on the total cost curve C. At this point, the total cost is the smallest, with a value of B, and the government emergency management capability is the best.
3.2 Comparative analysis of the two modes
3.2.1 Mode 1: resource integrating and utilizing first, technology second
In mode 1, as the government has ignored the impact of technological innovation of the security system on the improvement of emergency management capabilities, and has seriously underinvested in the construction of the security system, the government applies a large number of emergency management resources to enhance emergency management capabilities, resulting in a relatively low utilization rate of emergency management resources. The resilience of the security system is relatively weak. In this mode, the curve C1 in Figure 7 moves to the left, as shown by the arrow. At the same time, the operation cost is increasing, and the curve C2 moves to the right, as shown by the arrow. When the government faces sudden public incidents and adopts the approach of mode 1 to improve its emergency management capability, the construction cost curve and the operation cost curve intersect at a new point X1, and the value of its emergency management capability is A1, which corresponds to point Z1 on the new total cost curve. At this point, the total cost is the smallest, with a value of B1. By comparing Figure 6 with Figure 7, it can be seen that B1 > B, A1 < A, indicating that when facing public emergencies, the Chinese government adopts the approach of mode 1 to improve the government emergency management capability, which not only costs more construction cost and operation cost, but also does not improve the government emergency management capability and rescue efficiency.
Figure 7

Economic analysis of mode 1.
3.2.2 Mode 2: technology first, taking into account resource integrating and utilizing
In mode 2, the government redistributes emergency management resources to emergency response, emergency management and the construction of a scientific and efficient urban community security system. This aims to promote technological innovation and upgrade the urban community security system, enhance the utilization rate of emergency resources, and ultimately improve government emergency management capability and rescue efficiency. In the new mode, the investment in the construction of the security system has been increased, and the technological innovation capability of the security system has been improved. At this time, the construction cost curve C1 moves to the right, as shown by the arrow in Figure 8. At the same time, the operation cost is decreasing, so the operation cost curve C2 moves to the left, as shown by the arrow in Figure 8. In mode 2, the construction cost curve and the operation cost curve intersect at the new point X2, and the value of its emergency management capability is A2, corresponding to point Z2 on the total cost curve C. At this point, the total cost is the smallest, with a value of B2. By comparing Figures 7, 8, it can be seen that B1 > B > B2, A1 < A < A2, which means that when the government adopts mode 2, the total cost is the smallest, and the government emergency management capability and rescue efficiency are the biggest. It shows that adopting mode 2 to improve the government emergency management capability is relatively effective.
Figure 8

Economic analysis of mode 2.
4 Game model of urban community security system
The urban community security system is mainly based on the tripartite governance model, which is a multi-stakeholder collaborative model composed of government, enterprises, and the general public. The construction of the urban community security system includes not only the hardware infrastructure construction for disaster risk mitigation but also the optimization of decision-making, enhancement of mobilization, and increase in social communication and interaction as part of software system development. However, this study focuses on the main participants in the construction of hardware infrastructure, namely, the roles and related relationships of the government and enterprises in the security system construction.
4.1 Construction of model
Governments and enterprises participating in the construction of urban community security system play different roles in management, and they have different starting points, different interests to strive for, unequal social resources, and different decisions to make from their own interests. Effective interaction among stakeholders can enhance the resilience of the community security system. Building an integrated urban community security system that combines the strengths of both governments and enterprises can effectively address the long-standing issue of sole government-led construction in the security system sector, optimize the security system, and enhance urban security levels.
To study the behavioral choices and evolutionary patterns of governments and enterprises in the construction of urban community security system, the following hypothesis conditions are proposed for both sides of the game.
Hypothesis 1: There are only two subjects in the construction of the urban community security system, including governments and enterprises.
Hypothesis 2: Both sides of the game satisfy the hypothesis of rational economic man, that is, the goal is to maximize their own interests.
Hypothesis 3: In the construction of urban community security system, both sides of the game have two strategies to choose from. The behavioral strategy choices of governments are recorded as: (active support, negative support). The behavior strategy of enterprises are recorded as: (participate in the construction, not participate in the construction).
Hypothesis 4: Both sides of the game are equal in status, and the game is a complete information static game.
Hypothesis 5: The economic revenue R of enterprises is a function of the output Q, that is, R = R(Q). Q1 represents the output of technology products when the enterprise chooses to participate in the construction, and the corresponding economic revenue of enterprises is R(Q1), denoted as R1. Q2 represents the output of technology products when the enterprise chooses not to participate in the construction, and the corresponding economic revenue of enterprises is R(Q2), denoted as R2. When enterprises choose to participate in the construction, they need a lot of human and financial support. At the same time, the market share of the security technology products produced by enterprises may not reach the expected effect in the initial stage, resulting in low output and low product profit, so Q2 > Q1, R2 > R1.
Hypothesis 6: When enterprises do not participate in the construction, the emergency management capability will be reduced, and the reputation of the enterprise will be seriously damaged. This loss is called reputation cost and recorded as h. When enterprises do not participate in the construction, the actual benefit is R2-h.
Hypothesis 7: Government revenue comes from the individual income tax paid by enterprises, denoted by T. T is a function of the enterprise’s technical product output Q, then T = T(Q). T(Q1) represents the government revenue that when enterprises participate in the construction, denoted by T1. T(Q2) represents the government revenue that when enterprises do not participate in the construction, denoted by T2. So, T2 > T1.
Hypothesis 8: When governments actively support, the support cost is C, and governments give a punishment F to enterprises that do not participate in the construction. If governments negatively support, the technology of the rescue products produced by enterprises may be not advanced, the quality of the rescue products may be not up to standard, the efficiency of emergency rescue may be not guaranteed, the lives and property of the people may be lost, and the government work may also be affected by a series of impacts. All of these effects and losses are called political costs, denoted by H.
Based on the above hypotheses, a payoff matrix for the game between governments and enterprises is established, as shown in Table 2.
Table 2
| Enterprise | Government | |
|---|---|---|
| Active support | Negative support | |
| Nonparticipation | R 2-h-F, T2-H + F-C | R 2-h, T2-H |
| Participation | R 1, T1-C | R 1, T1 |
Payoff matrix for the game between governments and enterprises.
4.2 Evolutionary game analysis
Both governments and enterprises choose their strategies randomly and independently. Suppose that the probability of enterprises not participating in the construction is X (0 ≤ X ≤ 1), then the probability of participating in the construction is (1 − X). Suppose that the probability of governments actively support is Y (0 ≤ Y ≤ 1), then the probability of negative support is (1 − Y). The expected revenues of enterprises not participating and participating in the construction are and respectively, and the average expected revenue is . Equation 1 provides the calculation for Equation 2 for , and Equation 3 for . The expected revenues of the government choosing active support and negative support are and respectively, and the average expected revenue is . Equation 4 provides the calculation for Equation 5 for , and Equation 6 for .
According to the Malthusian model, the replicated dynamic equation for enterprises not participating in construction is given by Equation 7, while the replicated dynamic equation for government actively supporting construction is given by Equation 8.
Let F(X) = 0, then When when Y = Y*, enterprises not participating in construction is a stable state; when Y ≠ Y*, both not participating and participating in construction are stable states, with not participation being stable when Y < Y* and participating being stable when Y > Y*. This indicates that governments’ attitude towards supporting the security system construction affects whether enterprises participate in the construction. The more inclined governments are to actively support, the more likely enterprises are to participate. When regardless of the strategy adopted by the government, enterprises will participate in the construction. When regardless of the strategy adopted by the government, enterprises will not participate in the construction. Let F(Y) = 0, then . When F > C, when X = X*, government actively supporting is a stable state; when X ≠ X*, both active support and negative support are stable states, with negative support being stable when X < X* and active support being stable when X > X*. When F < C, regardless of the strategy adopted by enterprises, governments will negatively support. It can be seen that the stability game strategy of the government and enterprises is affected by C, F, R2, h and other factors.
4.3 Simulation
To understand the dynamic relationship between governments and enterprises in the game, and then provide a basis for governments to make decisions to accelerate the participation of enterprises in the construction of the security system, Eq. 4 is simplified as , which describes the relationship between the revenue of the government’s active support and the probability of enterprises not participating in the construction of the security system, represented by line AB in Figure 9. Point A represents the revenue obtained from the government’s active support when enterprises participate in the construction with a probability of 1, which is denoted as . Point B represents the revenue obtained from the government’s active support when enterprises do not participate in the construction, which is denoted as . Similarly, Eq. 4 is organized and transformed into , which describes the relationship between the revenue of the government’s negative support and the probability of enterprises not participating in the construction, represented by the line CD in Figure 9. Point C represents the revenue obtained from the government’s negative support when enterprises participate in the construction, which is denoted as . Point D represents the revenue obtained from the government’s negative support when enterprises do not participate in the construction, which is denoted as . Line AB and line CD intersect at point E, which indicates that the revenue from the government’s active support strategy and negative support is equal, which means that the government reaches the optimal game equilibrium state. Point E corresponds to point X* on the horizontal coordinate, and the corresponding horizontal coordinate value represents the probability of reaching the optimal game state when enterprises do not participate in the construction, and is denoted as C/F. This is shown in Figure 9. According to Figure 9, the balanced process of behavioral strategy selection between the government and enterprise in the construction of the urban community security system can be intuitively understood. Meanwhile, how relevant factors affect the behavioral selection of the government and enterprises in the construction of the urban community security system can be discovered.
Figure 9

Enterprise behavior choice probability under different government policies.
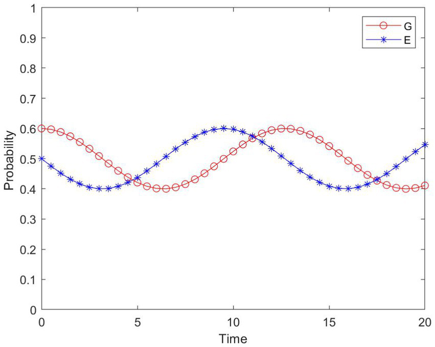
The following is a detailed analysis of the game equilibrium evolution process of four influential factors: reducing the government support cost C, increasing the government’s punishment F for enterprises that do not participate in the construction, reducing the profit R2 when enterprises do not participate in the construction, and increasing the social image loss h of enterprises. In order to facilitate analysis, the initial values of each parameter are set as follows: X = 0.5, Y = 0.6, R1 = 1, R2 = 3, T1 = 1, T2 = 2, C = 1, F = 1, H = 1, h = 1. MATLAB (R2020b) is used to simulate the evolutionary strategy of both sides under the initial parameter settings, as shown in Figure 10.
Figure 10

Game evolution under the original parameter setting.
-
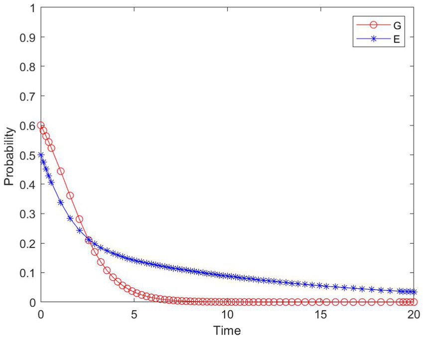
The support cost C of the government’s active support is reduced. The game evolution strategies when C is set to 0.1 are shown in Figure 11.
Figure 11

Game evolution of government reducing the cost of active support.
By comparing Figures 10, 11, it can be seen that if the support cost of the government’s active support is reduced, the benefits of the government’s active support increase. Considering the maximization of their own interests, the government will increase the probability of active support, resulting in a decrease in the benefits of non-participation in construction for enterprises, and an increase in the probability of participating in construction.
-
The government increases the punishment F for enterprises that do not participate in the construction. The game evolution strategies when F is set to 2 are shown in Figure 12.
Figure 12

Game evolution of increasing punishment for nonparticipating enterprises.
Comparing the simulation results of Figures 10, 12, it can be seen that as the government increases the punishment F for enterprises not participating in construction, the government’s active support revenue increases, leading to the increase of the government’s active support. Consequently, due to the reduced benefits, enterprises will decrease their probability of non-participation in construction. As shown in Figure 12, although the strategies of the government and enterprises show cyclical fluctuations, the average probability of enterprises participating in construction has increased compared with Figure 10, indicating that increasing the punishment for enterprises that do not participate in construction can promote their participation in construction.
-
The profit R2 is reduced when the enterprise does not participate in the construction. The game evolution strategies when R2 is set to 2 are shown in Figure 13.
-
The social image loss of enterprises is increased. The game evolution strategies when h is set to 2.1 are shown in Figure 14.
Figure 13

Game evolution under decreasing the profits of nonparticipating enterprises.
Figure 14

Game evolution of increasing social image loss of enterprise.
By comparing Figures 10, 13, 14, it can be seen that both reducing the profits of enterprises when they do not participate in the construction and increasing the loss of their social image can promote the participation of enterprises in the construction. Figures 13, 14 show that these two measures can increase the probability of enterprise participation in construction. As the probability of enterprises participating in construction increases, the tax revenue obtained by the government will also decrease accordingly, resulting in the probability of the government’s active support decreasing accordingly. The results show that reducing R2 and increasing h can achieve the effect of promoting enterprises participating in the construction.
5 Security capability evaluation model
5.1 Construction of evaluation indicator system
Through exchanges and discussions with domestic experts and scholars in the field of emergency management, the community security capability of cities is evaluated from four aspects: socialization capability of community security, informatization capability of community security, whole-process capability of community security, and economy of community security, and a corresponding evaluation indicator system is established. It is divided into target level, fist and secondary indicators, as shown in Table 3.
Table 3
| Target level | First indicators | Secondary indicators |
|---|---|---|
| Urban community security capability | Social capability of community security U1 | International cooperation capability U11 |
| Subject socialization capability U12 | ||
| Emergency coordination socialization capability U13 | ||
| Fund socialization capability U14 | ||
| Informatization capability of community security U2 | Emergency response informatization capability U21 | |
| Emergency security informatization capabilityU22 | ||
| Rehabilitation informatization capability U23 | ||
| Emergency warning informatization capability U24 | ||
| Whole-process capability of community security U3 | Emergency mobilization support capability U31 | |
| Emergency decision-making and response capability U32 | ||
| Emergency early warning capability U33 | ||
| Emergency post-recovery capability U34 | ||
| Economic capability of community security U4 | Socialized economy U41 | |
| Information-based economy U42 | ||
| Social cost U43 | ||
| Whole-process economy U44 |
Evaluation indicator system of community security capabilities.
5.2 Evaluation method
-
Calculating feature weight.
The analytic hierarchy process is used to calculate the feature weights. Each factor belonging to the same layer is compared in pairwise according to the nine-level scale method, and the importance judgment matrix is constructed. Then the eigenvalue method is used to calculate the weight of the first indicator , and the vector of weights for the first indicator is obtained, denoted by . The weight of the secondary indicator is calculated, and the vectors a1, a2, a3, and a4 of weights for the secondary indicators are obtained, where . The consistency test of the judgment matrix shows that CR is less than 0.1, and the matrix has satisfactory consistency.
-
Getting the comment set and sample matrix.
The level of security capability of urban community is divided into 5 levels, and the set of comments is set as G = {G1, G2, G3, G4, G5}, where G1, G2, G3, G4, and G5 represent excellent, good, medium, worse and poor in turn, with values of 5, 4, 3, 2 and 1 respectively, and values of 4.5, 3.5, 2.5 and 1.5 for adjacent grades. Experts in the field of emergency management are invited to score the secondary indicators, with each indicator’s score ranging from 1 to 5, represented by .
-
Constructing evaluation grey classifications and whiteness weight functions.
Grey evaluation method was used to construct the evaluation indicator weight matrix, and the evaluation grades of the secondary indicators were divided into 5 evaluation grey classifications, and the serial numbers of the grey classifications were set as , which indicate excellent, good, medium, worse and poor respectively. The whiteness weight function of the indicator is constructed according to the size of , as follows:
The first grey classification: “excellent” {n = 1}, grey number , and the calculation of the whitening weight function is given by Equation 9:
The secondary grey classification: “good” {n = 2}, grey number , and the calculation of the whitening weight function is given by Equation 10.
The third grey classification: “medium” {n = 3}, grey number , and the calculation of the whitening weight function is given by Equation 11.
The fourth grey classification: “worse” {n = 4}, grey number , and the calculation of the whitening weight function is given by Equation 12.
The Fifth grey classification: “poor” {n = 5}, grey number , and the calculation of the whitening weight function is given by Equation 13.
-
Calculating the grey evaluation coefficient.
The grey evaluation coefficient of secondary indicator belonging to the n grey classification is , , where p represents the number of experts invited, and the total grey evaluation coefficient of secondary indicator belonging to each grey classification is , .
-
Calculating the grey evaluation weight vector and weight matrix.
The evaluation weight vector of the indicator is calculated, and the evaluation weight vectors of 16 secondary indicators were obtained, namely , , , …, . Then, the evaluation weight matrixes of the four first indicators are as follows:
-
Calculating the comprehensive evaluation value.
First, the first indicator is evaluated, and the evaluation result is . Then the evaluation result vector is:
Then, the comprehensive evaluation value is calculated and value is . The grades of evaluation grey classifications are assigned, and “excellent” is assigned 5, “good” is assigned 4, “medium” is assigned 3, “worse” is assigned 2, and “poor” is assigned 1, then the vector for grades of grey classifications is , and the grey fuzzy comprehensive evaluation value of urban community security capabilities is .
5.3 Case analysis
The top 10 cities in China’s GDP in 2021 are Shanghai (SH), Beijing (BJ), Shenzhen (SZ), Guangzhou (GZ), Chongqing (CQ), Suzhou (SZ), Chengdu (CD), Hangzhou (HZ), Wuhan (WH) and Nanjing (NJ), and these 10 cities are selected to carry out case analysis on the constructed grey fuzzy comprehensive evaluation method. Ten experts in the field of emergency management were invited to score each secondary indicator of the community security capability of these 10 cities, and the evaluation sample matrix of each city is D1, D2, D3, D4, D5, D6, D7, D8, D9, D10. Through the grey fuzzy comprehensive evaluation method, the grey fuzzy comprehensive evaluation value of the community security capability of each city is calculated, as shown in Figure 15.
Figure 15

Grey fuzzy comprehensive evaluation value of community security capability in 10 cities.
The average grey fuzzy comprehensive evaluation value of community security capability in 10 cities is 3.885. According to the evaluation criteria, the security capability of urban community is at a medium to upper level, which is close to the good level. As can be seen from Figure 15, the average score of the traditional quasi-first-tier cities “Beijing, Shanghai, Guangzhou and Shenzhen” is 4.166, representing the highest level of community security in China, and the comprehensive evaluation score shows a downward trend with the decline of GDP. The scores for Beijing, Shanghai and Shenzhen are 4.260, 4.258 and 4.161 respectively. The comprehensive capability scores of these three cities exceed 4 points, and their community security capabilities are good. Guangzhou scores 3.986, and it is the only city among the four first-tier cities that scores less than 4 points. It is necessary for Guangzhou to strengthen the socialization capability of community security in detail.
The average score of the remaining 6 quasi-first-tier cities is 3.698. According to the evaluation criteria, the community security capability of these cities is at a medium to upper level with a noticeable gap compared to the first-tier cities. There is no significant correlation between the comprehensive evaluation score and the level of GDP, but the overall data show that the community security capability of eastern cities (average score of 3.878) is higher than that of central cities (average score of 3.602), and that of central cities is higher than that of western cities (average score of 3.477). The overall score of central and western cities lags behind that of eastern coastal cities. The central and western cities should focus on improving the community security capability in two secondary indicators, namely the subject socialization capability of the community security, and the emergency decision-making and disposal capability of the community security.
6 Conclusion
The research objective is to explore how to improve the urban community security capability from the perspective of resilience, based on the constructed urban community security system model. The specific research content and the summary of research results are as follows.
First, the urban community security system from a resilient perspective was constructed, and an overview of its concept, layout, and structure was provided. The constructed security system has five major characteristics, including unified command and dispatch function, intelligent collection and judgment function, cross-departmental linkage and response function, and social security tracking and monitoring function, which can address multiple issues within public security departments.
Then, a cost-capability model of the urban community security system is constructed from the perspective of economics, and the costs and emergency management capabilities under two modes are analyzed and compared. The results are as follows: (1) when the government adopts mode 1 to enhance its emergency management capability, it not only incurs significant costs in security system construction and operation, but also fails to improve the government’s emergency management capability and rescue efficiency; (2) when the government adopts mode 2, the total cost of the security system is reduced. Simultaneously, the government’s emergency management capability and rescue efficiency are significantly improved. It shows that mode 2 is relatively effective to improve the government emergency management capability.
Subsequently, based on the interest conflict between governments and enterprises in the construction of the urban community security system, a game model between governments and enterprises is constructed. The evolutionary stability strategies of enterprises are analyzed, and simulation analysis is conducted on the factors influencing enterprises. The static game results show that: (1) when when Y=Y*, enterprises not participating in construction is a stable state; when Y ≠ Y*, both not participating and participating in construction are stable states, with not participation being stable when Y < Y* and participating being stable when Y > Y*. This indicates that governments’ attitude towards supporting the security system construction affects whether enterprises participate in the construction. The more inclined governments are to actively support, the more likely enterprises are to participate; (2) when regardless of the strategy adopted by the government, enterprises will participate in the construction; (3) when regardless of the strategy adopted by the government, enterprises will not participate in the construction; (4) when F > C, when X = X*, government actively supporting is a stable state; when X ≠ X*, both active support and negative support are stable states, with negative support being stable when X < X* and active support being stable when X > X*; (5) when F < C, regardless of the strategy adopted by enterprises, governments will negatively support; (6) in a certain range, reducing C, increasing F, reducing R2, and increasing h can achieve the effect of promoting enterprise to participate in construction.
Finally, the grey fuzzy comprehensive evaluation method of urban community security capabilities is constructed, and the case analysis is conducted on the top 10 cities in China’s GDP in 2021. The results show that the average grey fuzzy comprehensive evaluation value of community security capability in these 10 cities is 3.885, and the urban community security capability is at a medium to upper level, which is close to the good level. Guangzhou needs to enhance the socialization capability of community security. Central and western cities need to strengthen the subject socialization capability of the community security, and the emergency decision-making and disposal capability of the community security. The case analysis verifies that the grey fuzzy comprehensive evaluation method is scientific and feasible to evaluate the comprehensive capability of urban community security, and can provide a reference for strengthening the comprehensive capability construction of the urban community security.
The urban community security system models constructed can be applied to the construction of security system in other countries to enhance the urban community security capabilities. The construction of urban community security system involves multiple participating entities. This study only considers the binary game between the government and enterprises, which has certain limitations. This will be addressed as the next step in research and further perfected in future studies.
Statements
Data availability statement
The raw data supporting the conclusions of this article will be made available by the authors, without undue reservation.
Author contributions
YS: Investigation, Resources, Supervision, Writing – review & editing. YZ: Data curation, Formal analysis, Investigation, Methodology, Validation, Visualization, Writing – original draft. HY: Data curation, Formal analysis, Methodology, Validation, Writing – review & editing.
Funding
The author(s) declare that financial support was received for the research, authorship, and/or publication of this article. This work was supported by the National Social Science Foundation of China (21&ZD127).
Conflict of interest
The authors declare that the research was conducted in the absence of any commercial or financial relationships that could be construed as a potential conflict of interest.
Publisher’s note
All claims expressed in this article are solely those of the authors and do not necessarily represent those of their affiliated organizations, or those of the publisher, the editors and the reviewers. Any product that may be evaluated in this article, or claim that may be made by its manufacturer, is not guaranteed or endorsed by the publisher.
References
1
Al Rifat S. A. Liu W. B. (2020). Measuring community disaster resilience in the conterminous coastal United States. ISPRS Int. J. Geo Inf.9:469. doi: 10.3390/ijgi9080469
2
Banwell N. Rutherford S. Mackey B. Street R. Chu C. (2018). Commonalities between disaster and climate change risks for health: a theoretical framework. Int. J. Environ. Res. Public Health15:538. doi: 10.3390/ijerph15030538
3
Buchori I. Zaki A. Pangi P. Sejati A. W. Pramitasari A. Liu Y. (2022). Adaptation strategies and community participation in government-led mitigation projects: a comparison between urban and suburban communities in Pekalongan, Indonesia. Int. J. Disaster Risk Reduct.81:103271. doi: 10.1016/j.ijdrr.2022.103271
4
Colozza D. Wang Y. C. Avendano M. (2023). Does urbanisation lead to unhealthy diets? Longitudinal evidence from Indonesia. Health Place83:103091. doi: 10.1016/j.healthplace.2023.103091
5
Contardo J. I. Gosselin C. C. Zepeda D. G. Vives R. M. (2023). Resilient civic design evaluation criteria for response capacity within a seismic risk context in Santiago, Chile. The case of residential communities affected by the San Ramón fault. Int. J. Disaster Risk Reduct.87:103597. doi: 10.1016/j.ijdrr.2023.103597
6
Elfversson E. Höglund K. (2023). Urban growth, resilience, and violence. Curr. Opin. Environ. Sustain.64:101356. doi: 10.1016/j.cosust.2023.101356
7
Elkady S. Hernantes J. Labaka L. (2023). Towards a resilient community: a decision support framework for prioritizing stakeholders’ interaction areas. Reliab. Eng. Syst. Saf.237:109358. doi: 10.1016/j.ress.2023.109358
8
Findlay M. (1999). The globalisation of crime. Aust. Q.71:23. doi: 10.2307/20637835
9
Ghosh S. Das Chatterjee N. Dinda S. (2021). Urban ecological security assessment and forecasting using integrated DEMATEL-ANP and CA-Markov models: a case study on Kolkata metropolitan area, India. Sustain. Cities Soc.68:102773. doi: 10.1016/j.scs.2021.102773
10
Kiviaho A. Einolander J. (2023). Digital transformation, well-being and shrinking communities: narrowing the divides between urban and rural. Heliyon9:e18801. doi: 10.1016/j.heliyon.2023.e18801
11
Korkietpitak W. Raungratanaamporn I. S. Kaewkumkong A. Jaiborisudhi W. (2013). Human security and Japan International Cooperation Agency and non-governmental organizations collaboration (a case study of great East Japan Earthquake/Tsunami). Procedia Environ. Sci.17, 909–917. doi: 10.1016/j.proenv.2013.02.109
12
Li Z. H. Guo L. P. Sha Y. Z. Yang K. H. (2021). Knowledge map and global trends in extreme weather research from 1980 to 2019: a bibliometric analysis. Environ. Sci. Pollut. Res.28, 49755–49773. doi: 10.1007/s11356-021-13825-6
13
Luo Z. W. Yang B. (2021). Towards resilient and smart urban road networks: connectivity restoration via community structure. Sustain. Cities Soc.75:103344. doi: 10.1016/j.scs.2021.103344
14
Ma Y. Xu W. (2023). How does the intelligent monitoring system influence the sense of security of the elderly in home care? A case study of the Hubin community in Ningde city. Buildings13:1255. doi: 10.3390/buildings13051255
15
Menconi M. E. Stella G. Grohmann D. (2022). Revisiting global food production and consumption patterns by developing resilient food systems for local communities. Land Use Policy119:106210. doi: 10.1016/j.landusepol.2022.106210
16
Nova N. Athni T. S. Childs M. L. Mandle L. Mordecai E. A. (2022). Global change and emerging infectious diseases. Ann. Rev. Resour. Econ.14, 333–354. doi: 10.1146/annurev-resource-111820-024214
17
Patel R. B. Burkle F. M. (2012). Rapid urbanization and the growing threat of violence and conflict: a 21st century crisis. Prehosp. Disaster Med.27, 194–197. doi: 10.1017/S1049023X12000568
18
Prashar S. Shaw R. Takeuchi Y. (2013). Community action planning in East Delhi: a participatory approach to build urban disaster resilience. Mitig. Adapt. Strateg. Glob. Change18, 429–448. doi: 10.1007/s11027-012-9368-4
19
Robillard P. Sekercioglu F. Edge S. Young I. (2023). Resilience in the face of crisis: investigating COVID-19 impacts on urban community gardens in Greater Toronto Area, Canada. Br. Food J.125, 4048–4061. doi: 10.1108/BFJ-02-2023-0179
20
Rus K. Kilar V. Koren D. (2018). Resilience assessment of complex urban systems to natural disasters: a new literature review. Int. J. Disaster Risk Reduct.31, 311–330. doi: 10.1016/j.ijdrr.2018.05.015
21
Salmistu S. Kotval Z. (2023). Spatial interventions and built environment features in developing age-friendly communities from the perspective of urban planning and design. Cities141:104417. doi: 10.1016/j.cities.2023.104417
22
Song F. F. Zhang G. J. Ramanathan V. Leung L. R. (2022). Trends in surface equivalent potential temperature: a more comprehensive metric for global warming and weather extremes. Proc. Natl. Acad. Sci. U.S.A.119:e2117832119. doi: 10.1073/pnas.2117832119
23
Steenkamp J. Cilliers E. J. Cilliers S. S. Lategan L. (2021). Food for thought: addressing urban food security risks through urban agriculture. Sustainability13:1267. doi: 10.3390/su13031267
24
Tang H. Hou K. Wu S. Liu J. W. Ma L. X. Li X. X. (2023). Interpretation of the coupling mechanism of ecological security and urbanization based on a computation-verification-coupling framework: quantitative analysis of sustainable development. Ecotoxicol. Environ. Saf.263:115294. doi: 10.1016/j.ecoenv.2023.115294
25
Tomatis F. Egerer M. Correa-Guimaraes A. Navas-Gracia L. M. (2023). Urban gardening in a changing climate: a review of effects, responses and adaptation capacities for cities. Agriculture13:502. doi: 10.3390/agriculture13020502
26
United Nations (2016). The World’s cities in 2016. United Nations. Available at:https://www.un-ilibrary.org/content/books/9789210582766. (Accessed September 6, 2023).
27
Varady R. G. Albrecht T. R. Gerlak A. K. Wilder M. O. Mayer B. M. Zuniga-Teran A. et al . (2020). The exigencies of transboundary water security: insights on community resilience. Curr. Opin. Environ. Sustain.44, 74–84. doi: 10.1016/j.cosust.2020.06.005
28
Wang K. Wang Z. Deng J. Feng Y. Y. Li Q. F. (2022). Study on the evaluation of emergency management capacity of resilient communities by the AHP-TOPSIS method. Int. J. Environ. Res. Public Health19:16201. doi: 10.3390/ijerph192316201
29
Xiang P. C. Wang Y. M. Deng Q. (2018). Research on urban renewal from the perspective of natural disaster vulnerability. Sustainable development and planning IX. WIT Press. 85–93. Available at:https://www.proquest.com/docview/2255637231?pq-origsite=wos&accountid=26781. (Accessed September 7, 2023).
30
Yang C. Shi S. Runeson G. (2023). Towards sustainable urban communities: investigating the associations between community parks and place attachment in master-planned estates in Sydney. Sustain. Cities Soc.96:104659. doi: 10.1016/j.scs.2023.104659
31
Yang S. Zhang Y. Lu X. Z. Guo W. Miao H. Q. (2024). Multi-agent deep reinforcement learning based decision support model for resilient community post-hazard recovery. Reliab. Eng. Syst. Saf.242:109754. doi: 10.1016/j.ress.2023.109754
32
Yazew T. Daba A. Hordofa L. Garedew G. Negash A. Merga G. et al . (2023). Covid-19 related factors to food security and dietary diversity among urban households in western Oromia, Ethiopia. Heliyon9:e14476. doi: 10.1016/j.heliyon.2023.e14476
33
Zhang P. K. Wang M. T. Deng G. Q. (2023). Evolutionary game analysis of resilient community construction driven by government regulation and market. Sustainability15:3251. doi: 10.3390/su15043251
34
Zhang W. Xu Y. Streets D. G. Wang C. (2023). Can new-type urbanization realize low-carbon development? A spatiotemporal heterogeneous analysis in 288 cities and 18 urban agglomerations in China. J. Clean. Prod.420:138426. doi: 10.1016/j.jclepro.2023.138426
Summary
Keywords
urban community security system, resilience, cost-capability model, game model of human capital, grey fuzzy comprehensive evaluation method
Citation
Song Y, Zhang Y and Yu H (2024) Urban community security system model from the perspective of resilience: a study on Chinese cities. Front. Sustain. Cities 6:1292740. doi: 10.3389/frsc.2024.1292740
Received
25 September 2023
Accepted
20 June 2024
Published
18 September 2024
Volume
6 - 2024
Edited by
Masaru Yarime, Hong Kong University of Science and Technology, Hong Kong SAR, China
Reviewed by
Francesco Sica, Sapienza University of Rome, Italy
Francesca Pirlone, University of Genoa, Italy
Updates
Copyright
© 2024 Song, Zhang and Yu.
This is an open-access article distributed under the terms of the Creative Commons Attribution License (CC BY). The use, distribution or reproduction in other forums is permitted, provided the original author(s) and the copyright owner(s) are credited and that the original publication in this journal is cited, in accordance with accepted academic practice. No use, distribution or reproduction is permitted which does not comply with these terms.
*Correspondence: Huiqin Yu, 1548181478@qq.com
Disclaimer
All claims expressed in this article are solely those of the authors and do not necessarily represent those of their affiliated organizations, or those of the publisher, the editors and the reviewers. Any product that may be evaluated in this article or claim that may be made by its manufacturer is not guaranteed or endorsed by the publisher.