Abstract
With rapid urban growth posing major environmental and social challenges, nature-based solutions (NbS) are at the heart of urban strategies for sustainability and resilience. They help to maintain biodiversity and respond to contemporary climatic and societal challenges. To be best planned and implemented, they need to consider geographical and socio-cultural contexts, including the local perceptions and experiences of residents. Lack of information on social aspects and absence of data are often obstacles to implementation. This article is part of a study on the challenges and opportunities of implementing nature-based solutions for sustainable urban development in Ouagadougou. This study aimed to explore how socio-demographic factors influence perceptions and experiences of urban nature, and to identify implications for urban planning and the implementation of nature-based solutions. Questionnaire surveys were conducted among 401 people, with different socio-demographic profiles and different places of residence. Group interviews with 20 people were then conducted to triangulate the collected data to understand the different interactions between the residents and urban nature. The main results show that, overall, residents perceive urban nature positively. Perceptions and experiences of nature vary considerably according to respondents’ socio-demographic profiles and proximity to green spaces. The study also identified the need for appropriate maintenance and management, as well as participatory planning to align nature-based solutions with residents’ expectations, with a focus on benefits. The recommendations offered to practitioners, planners, and those involved in urban development for implementing nature-based solutions and identifying limitations, such as a lack of revenue data, provide a solid basis for future action.
1 Introduction
Cities and urban populations are rapidly growing. By 2050, nearly 70% of the population will live in urban areas (United Nations, 2019). This increase is likely to increase the environmental and ecological problems already faced by some cities, the most pressing of which are flood risks (Chen et al., 2016; O’Donnell and Thorne, 2020), heat waves (Simwanda et al., 2019; Tong et al., 2021), air pollution (Wang et al., 2020) and biodiversity loss (Ren et al., 2023).
In this context, nature-based solutions represent an opportunity to respond to urban problems. The International Union for Conservation of Nature (IUCN) defines the concept of nature-based solutions as “actions to protect, sustainably manage and restore natural or modified ecosystems and restore natural or modified ecosystems that respond effectively and efficiently and adaptively to societal challenges, while providing benefits in terms of human wellbeing and biodiversity” (Cohen-Shacham et al., 2016, p. ix). Seddon et al. proposed an even simpler definition of nature-based solutions as “working with and enhancing nature to help address societal challenges” (Seddon et al., 2020, p. 2). In urban systems, NbS provide multiple benefits in terms of reducing the impact of natural hazards such as flooding, erosion, landslides, drought, and extreme heat (Ozment et al., 2019; Sudmeier-Rieux et al., 2021).
Globally, NbS has grown in importance in recent decades in response to social, ecological, and climatic issues. For example, between 2012 and 2021, World Bank investments represented over 100 projects, with a notable acceleration since 2018, for a cumulative commitments of around $5.5 billion (World Bank, 2023). Furthermore, the breakdown of approved projects with components integrating NbS by region shows that for the same period, the majority of projects were implemented in Africa and East Asia-Pacific. These projects aim to support urban climate resilience and improve the living conditions of the urban population. However, Kabisch et al. (2022) point out that the creation, planning, and implementation of NbS require the integration of knowledge from a variety of disciplines and types of knowledge. This has led to a remarkable increase in investment in the implementation and subject-focused investigation of nature-based solutions (Frantzeskaki and McPhearson, 2022), particularly in cities. In a literature review conducted on the implementation of nature-based solutions, Ferret and Laurans (2020) observed that the existing literature deals with political and institutional brakes, as well as psychological, economic, ecological and technological brakes. They recommend new governance to better integrate NbS, reduce uncertainties and facilitate implementation. In their view, this would help to change the narrative of the complexity of NbS projects. However, most studies on the implementation of nature-based solutions focus mainly on cities in developed countries, rather than those in developing countries.
Nature is considered an inseparable structuring element of a city. They play a supporting role in the resilience and sustainable transformation of the urban environment. Urban nature is at the heart of climate change adaptation strategies (McPhearson et al., 2023). However, its presence in the urban strategies of African cities remains unclear. Indeed, urban development in Africa is not sufficiently aligned with the 2050 vision for biodiversity (a world living in harmony with nature) of the Global Framework for Biodiversity [Convention of Biological Diversity (CBD), 2022]. The evolution of African cities is characterized by land consumption that encroaches on nature (Mensah, 2014; Awoyemi and Ibáñez-Álamo, 2023; Kamana et al., 2024). Moreover, the continent’s cities are not spared from the dual climate-biodiversity crisis that the world is facing. This overview of African cities reveals that envisioning a sustainable urban future for the continent involves fostering a greater presence of nature in cities and supporting the global biodiversity agenda and Sustainable Development Goals.
In an urban environment, nature can take on a variety of forms, either enhancing or detracting from the living environment. They are often influenced by individual feelings and preferences. The definition of urban nature has yet to find consensus among researchers and urban planning practitioners, due to its opposition to the city (Lévy and Hajek, 2016) but also because of the debate over its constituent elements. Hartig et al. (2014) distinguished between objective nature in terms of physical features and processes, including plants and animals, lakes, rivers, and landscape features, and subjective nature that people perceive and experienced by people. According to Turrini and Knop (2015), urban nature constitutes the whole of life in a city, including extensive and relatively wild green and blue spaces as well as gardens, green roofs, street trees, birds and butterflies. In this study, the definition of Newman and Dale (2013), which defines urban nature in three forms (residential nature, cultivated nature and exposed nature), was adopted. This definition considers spaces that escape development due to topography and geomorphology (cliffs and riverbanks), living walls, green roofs, and rooftop gardens, allotments, and living sewage plants, as well as highly mediatized spaces (parks, formal gardens, etc.).
However, these forms of nature still occupy an ambiguous place in the planning and operation of many African cities. They refer to perceptions or value judgments, even political ones, influenced by the geographical, cultural, socio-demographic, economic and residential contexts (Tian et al., 2020; Atiqul Haq et al., 2021). There is a limit to the understanding of perceptions of urban nature, and a lack of consensus on the elements that influence its perception. In a systematic review of urban green spaces in the African sub-region, Mensah (2014) revealed that the nature and distribution of green spaces in Africa are influenced by the continent’s ecological zones and climatic conditions as well as by challenges such as uncooperative attitudes and political instability that hinder their development.
It should also be pointed out that, although ecosystem services from nature are more widely studied than ecosystem disservices in African cities, they remain generally under-treated compared to other cities in the world (e.g., Europe and North America). Furthermore, research in Africa is geographically unevenly distributed. Previous research has shown that studies on the ecosystem services of green and natural spaces are concentrated in cities in South and East Africa (Cilliers et al., 2013; Kamana et al., 2024) and in a few English-speaking cities in West Africa. City-nature and city-dweller relationships are not sufficiently documented from a sustainable urban planning perspective from both health, wellbeing, ecological, environmental, and socio-cultural perspectives to inform and guide urban greening strategies in francophone West African cities. A literature review conducted by Atiqul Haq et al. (2021) on public perceptions of urban green spaces concluded that no planning, implementation, management, or protection of urban green spaces could thrive without real understanding. Interrogating the concept of nature-based solutions for cities through the various positive and negative perceptions and interactions with urban nature from different perspectives (e.g., health, wellbeing, ecological, environmental and sociocultural), with regard to the field today enables us to nourish and lead new reflections on the planning and design of green, sustainable and resilient cities, as well as to assess the relevance and opportunities for their implementation in the West African context.
Therefore, this study aims to explore the influence of human-urban nature interactions on the implementation of nature-based solutions for the city of Ouagadougou, focusing on three main objectives:
-
Understanding residents’ attitudes toward urban nature.
-
Analyze the residents’ use and experience of urban nature.
-
Analyze the benefits of nature-based solutions and the factors that may influence their implementation in Ouagadougou.
2 Materials and methods
The materials and methods section are organized into two main parts. The first part presents the study area, the city of Ouagadougou. The second part deals with the process of data collection, analysis and visualization. The presentation is structured around the questionnaire survey, the focus group, the photographs taken in the field, and the approach to statistical and thematic analysis.
2.1 Study area
Ouagadougou is the capital of Burkina Faso. It is a West African city with a surface area of 520 km2 and is located in the center of Burkina Faso between longitudes 1°40′00′′ W and 1°28′00′′ W and between latitudes 12°12′00′′ N and 12°30′00′′ N (Figure 1). Its spatial dynamics are characterized by horizontal urbanization and rapid population growth. In 2019, Ouagadougou had a population of 2,977,154 [Institut National de la Statistique et de la Démographie (INSD), 2022]. It benefits from a Sudano-Sahelian climate characterized by a long dry season and a short rainy season. The city of Ouagadougou was particularly vulnerable to drought. Biodiversity loss, soil degradation, flooding, and heatwaves are recurrent phenomena in this city. Public green spaces in Ouagadougou are inadequate. In addition, urban activities contribute to the deterioration of the quality of life in Ouagadougou.
Figure 1

Study area and sampling point.
2.2 Data collection
To understand the diverse perceptions and complex interactions of urban nature, it is necessary to combine several methods or opt for interdisciplinarity (Farahani and Maller, 2018). Similarly, other studies (e.g., Sanesi and Chiarello, 2006; Bonnes et al., 2011; Haq, 2011) have also suggested privileged integrated, mixed, and multidisciplinary methodological approaches to explore people’s perceptions and interactions concerning green spaces. Thus, for this study, data were collected through a mixed survey of city dwellers used closed questions, and group interviews, and photographs of the patterns of use of urban nature spaces. Data collection took place between June and July 2023 for the administration of the questionnaire, and between September and October 2023 for the group interviews.
2.3 Survey and questionnaire
The questionnaire covered several themes, including positive and negative perceptions of nature in the city, residents’ use patterns and experiences of urban nature, and conditions likely to influence the implementation of nature-based solutions for the city (Appendix A). In addition, demographic information on the respondents was collected to analyze the variations according to their profiles. Demographic variables included age (18–30, 31–50, >50 years), gender (female, male), and level of education achieved (not attended, primary school or below, secondary school, university level or above, not pronounced). Data on participants’ professional status, average monthly income, and place of birth were also collected. The questionnaire was administered on weekends (Saturday and Sunday). Finally, the sample size required for the study was determined using official data from the 2019 population census using Cochran’s formula (Sandelowski, 2000) as illustrated in Equation 1:
In this Equation, n denotes the minimum threshold of participants required for the survey; z represents the value 1.96, that is, at a 95% confidence level; p corresponds to the population of Ouagadougou in 2019; and e represents the tolerated margin of error (5%). By replacing these values in Equation 1, a total population of 385 individuals was obtained as the minimum threshold of participants deemed acceptable for the survey. Finally, 401 participants were surveyed (Table 1). Participants were randomly selected from the city of Ouagadougou near open public spaces, urban roads, and residents of notable urban green spaces (see Figure 1 for the spatial distribution of collection points among participants). Data were collected using the digital form of the kobocollect platform. The questionnaire was first administered to young volunteers involved in nature and biodiversity conservation activities. The amendments and comments collected during the tests were incorporated into the final forms.
Table 1
| Variables | N = 401 | |
|---|---|---|
| Gender | Female | 106 (26.4%) |
| Male | 295 (73.6%) | |
| Age | 18–30 | 281 (70.1%) |
| 31–50 | 103 (25.7%) | |
| >50 | 17 (4.2%) | |
| Education level | Not attended | 45 (11.2%) |
| Not pronounced | 42 (10.5%) | |
| Primary school or below | 16 (4.0%) | |
| Secondary school | 183 (45.6%) | |
| University level or above | 115 (28.7%) | |
| Employment status | Employed | 277 (69.1%) |
| Not employed/retired | 37 (9.2%) | |
| Student | 87 (21.7%) | |
| Engagement in nature conservation | No | 319 (79.6%) |
| Yes | 82 (20.4%) | |
| Birthplace | Ouagadougou (OAU) | 216 (53.9%) |
| Outside OUA | 185 (46.1%) | |
| Income level | ≤ 35,000 XOFc | 65 (16.2%) |
| 35,000–200,000 XOF | 191 (47.6%) | |
| > 200,000 XOF | 31 (7.7%) | |
| Not pronounced | 114 (28.4%) | |
Profiles of survey participants.
cAt the time of our survey, 1USD = 611.2046 XOF. XOF is the currency of French-speaking West African countries.
2.3.1 Focus group discussion
Group interviews were based on communication and interaction within groups, where each participant was encouraged to express himself or herself and give his opinion. This approach aims to delve deeper into how residents perceive urban nature and their own experiences. The topics covered included ecosystem services and disservices of urban nature, individual experiences with nature, green space management, public participation, knowledge of nature-based solutions and their potential benefits for their city.
Twenty voluntary participants, different from those in the questionnaire survey, participated in these group interviews and were divided into two groups. The participants included 13 women and seven men, three of whom had no formal education and seven had a university degree. The participants ranged in age from 21 to 62 years old. Each interview included 10 participants with diverse profiles selected according to criteria such as age, sex, level of education, and professional status. The profiles included market gardeners, horticulturists, farmers, students, urban planners, civil engineers, journalists, communicators and housewives. Discussions were fully tape-recorded in the local language (mooré) and in French and then transcribed after processing and thematic analysis.
2.3.2 Photographs
Field observations were aimed at characterizing the state of urban nature encountered in the city, as well as the activities carried out there and their level of protection. To this end, photographs were taken in different areas of the city, such as urban park, riverbanks, wetlands, tree lines along traffic roads, and open public spaces. Potential waste management problems and inappropriate use patterns were photographed to gain a better understanding of their negative uses. This phase of observing the uses of urban nature was conducted during and after the questionnaire survey and group interviews.
2.3.3 Statistical analysis
Descriptive statistical analyses were performed using Rstudio software (version 2024.04.2). Bivariate analyses were then carried out using functions from the “table,” “lprop,” and “cprop” packages (Wickham, 2009, 2019; Wickham et al., 2023). In addition, Pearson’s chi-square test of independence was performed using the “chisq.test” package function. This confirms or rejects the hypothesis of independence between the observed variables (Bourque and Adlouni, 2016). Thus, two hypotheses were formulated for the test: a null hypothesis (H0), indicating the absence of a relationship between the variables, and an alternative hypothesis (H1), indicating a link between them. The significance level was set at α = 0.05. The “ggplot2” function in Rstudio environment package was used to design the graphs.
2.3.4 Theme analysis
Thematic analysis was used to process the recorded, transcribed and translated interviews. This method involves extracting valuable information by theme, enabling us to gain a better understanding of human interactions with urban nature in the city of Ouagadougou. To this end, the verbatims were grouped into four main themes. The first theme concerned the perception of urban nature and explored respondents’ attitudes and opinions regarding the positive benefits and negative effects generated by it. The second theme dealt with individual experiences of urban nature and described the participants’ interactions with nature. The third theme dealt with the knowledge and benefits of nature-based solutions, as perceived by residents. The fourth theme deals with the conditions for the successful implementation of nature-based solutions in urban environments. This thematic classification followed the logic of the interview guide designed for the group interviews (Appendix B).
3 Results
The results section is divided into four parts. The first part presents the results of the analysis of the profiles of the participants in the questionnaire survey. The results of the perceptions of urban nature in Ouagadougou in relation to the combination of the factors of distance of residence from a green space, level of education and gender are presented in section 3.2. The results of the experiences of using urban nature in relation to the factors of level of education and distance from home to a green space are presented in section 3.3. Finally, the last section presents the results of the perception of benefits as well as the main factors supporting the implementation of nature-based solutions for cities.
3.1 Profile of participants in the survey
Survey respondent’s profiles are presented in Table 1. The study showed that the majority of respondents were men (73.6%) and a minority were women (26.4%). People aged between 18 and 30 years were the most represented (70%), compared with 25% of participants aged between 31 and 50 years. People with a secondary or university education participated more in the questionnaire survey. The number of respondents with employee status was higher than that of students and the unemployed. In addition, almost half of the respondents (47.6%) had an average monthly income of between XOF 35,000 and 200,000. Almost one-third of respondents were reluctant to share information on their average monthly income level.
On the other hand, most respondents were not involved in a nature conservation organization. Respondents involved in an environmental organization campaigning for the conservation of nature and biodiversity accounted for 20.4%. Finally, the study shows that more respondents were born in Ouagadougou (OUA) than outside OUA.
This study examined the variation in the frequency of visits to urban green spaces in relation to respondents’ gender, professional status and residential distance. The results showed that the highest frequency of visits was “monthly” (44.64%), followed by “rarely” (21.70%), “daily” (17.96%), “weekly” (9.48%) and “never” (6.23%). Establishing the link between residential distance to a green space and frequency of visits, the study revealed that people living between 1 and 2 km from a green space visit it mostly daily (40.3%), weekly (42.1%), monthly (38.5%) and very occasionally (54%). The most distant respondents, that is, those living over 2 km from a green space, occupied the second place, with monthly frequency dominating. Those living between 0.5 and 1 km away occupy the third position, with daily frequency dominating (Figure 2). Those living close to a green space (< 0.5 km) represented a small percentage of the respondents, and their dominant frequency was daily (18.1%).
Figure 2

Distribution of visit frequencies according to proximity of residence to green space.
Regarding the distribution of visitation frequencies by gender, men had a monthly frequency, while women had infrequent visits (Figure 3). The results also show that employees and students visit more frequently than retirees and non-employees do.
Figure 3

Distribution of frequency of visits according to proximity of residence to green space, by gender and professional status.
3.2 Perceptions of urban nature
The relationships between perceptions, residential distance to green space, level of education, and gender showed variations. The results indicate that people living <0.5 km from a green space have perceptions of disease risk (20.7%), biodiversity (19%), and urban cooling (17.8%). Although these natural spaces contribute to ecological functioning (water cycle management), urban cooling, and recreational activities, they are also perceived as having a positive impact on the environment. However, they considered that these spaces present a risk for diseases such as malaria due to mosquitoes, hygiene and sanitation problems, insecurity, and crime (Figure 4). For example, one participant involved in this study said that trees help to recycle water run-off and that many more need to be planted to reap the benefits (Participant 01). The group interviews also revealed that, in the context of the city of Ouagadougou, urban nature cannot be dissociated from waste. This is influenced by local cultures regarding interstitial spaces in the city, in this case nature. For example, one participant argued that in the city of Ouagadougou, greenery is inseparable from dumping grounds, as people still throw solid and plastic waste into nature (Participant 07).
Figure 4

Distribution of perceptions of nature according to distance between home and green space.
People living at 0.5–1 km mainly associate urban nature with the following benefits too: urban cooling (33.3%), social cohesion (17.4%), food supply (31.7%), and flood management (26.7%). However, they also point to ecosystem domains, such as hygiene and sanitation problems (21.6%) and crime risks (21.6%), that develop around urban natural areas. Indeed, one participant pointed out during the group discussion that the trees that made up urban nature in the city of Ouagadougou were not predominantly fruit trees (Participant 01). Others lamented the fact that natural areas do not offer enough shade, as is the case with the trees in Bangreogo Park, where life is good (Participants 06 and 08). In addition, people living between 1 and 2 km or more than 2 km away had similar perceptions of others. The major difference between respondents living at a distance from a green space and those living elsewhere was their perception of aesthetic value (55.3%). Regarding the level of education, the analysis revealed that ecosystem services and disservices are mainly perceived by individuals with at least secondary education, who are predominantly male (Figure 5).
Figure 5

Distribution of perceptions of nature according to distance between home and green space, by level of education and gender.
3.3 Uses patterns and experiences of urban nature
In the city of Ouagadougou, residents have different ways of using and experiencing nature. Experiences range from physical activities (sports, walking, cycling, etc.) to social gatherings, leisure, recreation, waste disposal, and urban agriculture. Figure 6 illustrates the types of uses encountered in the city.
Figure 6

Uses of urban nature. (A) Show hedges with aesthetic value in a residential area. (B) shows the use of trees for shade in hot weather. (C) A road infrastructure and wetland invaded by plastic waste. (D) Illustrates the natural area of Bangrewogo urban park reserved for physical activities. (E) Protected animal zone reserved for visits inside the park. (F) Urban agriculture in natural areas.
The study shows that people without any level of education used urban nature as a space for household waste disposal (50.0%). These uninhabited spaces are alternatives for solid waste disposal due to the lack of an efficient household waste collection system (Figure 7). This was confirmed in the focus group interviews, where participants stressed that urban nature spaces are open-sky dumps and that more attention needs to be paid to the issue; otherwise, the city will soon become unlivable (Participants 02, 03, and 13). Urban natural spaces were used as temporary shelters (40%). One participant explained that the unaffordable cost of urban land drives them to settle temporarily in uninhabited spaces in the hope of not being evicted (Participant 15).
Figure 7

Distribution of respondents’ experiences of urban nature by level of education.
Individuals with primary education or less practiced and experimented with horticulture (21.4%), traditional medicine (16.7%), and urban agriculture (29.8%). Discussions of experiences with urban nature have revealed that nature is a means by which some residents practice collective or private gardens. Others with spiritual culture and beliefs use plants in traditional medicine. This experience is supported by the discussions, and to this end, one participant pointed out that he had already used herbal tea to heal himself (Participant 13).
Participants with secondary education cited social encounters (60.0%), physical activity (53.6%), and academic activities such as botanical experimentation (55.6%) as their personal experiences. The predominance of nature for experimentation in educational settings was highlighted in group exchanges by student participants who testified to their experiential learning of plant species. For example, one participant stated that thanks to nature, she discovered the scientific names of trees, and the benefits associated with them (Participant 04). In addition, the results show that people with a university degree and above (students or teachers) use urban nature for scientific experiments in the field of plant biology and genetics (44.4%) rather than for the classic uses of relaxation and leisure, physical activities and social gatherings (Figure 7).
Furthermore, the results show that people aged between 18 and 30 live 1 or 2 km from a green space have more experience of nature in an urban environment than other categories of people aged over 30, regardless of whether they are close to a green space (Figure 8). Another category of participants who did not wish to disclose their level of education had dominant experience in urban agriculture and shade use. In this respect, one participant shared his daily experience with friends, stressing that shade is very important, and helps improve the quality of life of residents, especially in hot weather (Participant 18).
Figure 8

Distribution of respondents’ experiences of urban nature by age and distance from home to green space.
3.4 Perceived benefits and factors supporting the implementation of nature-based solutions for cities
To successfully implement nature-based solutions in cities, it is important to consider several factors, including political, social, ecological, and economic, or more generally, anthropogenic conditions (Ferret and Laurans, 2020). This study examined how residents perceive the benefits of nature-based solutions. It emerges that people at the university level and above consider support for natural and wild habitats, including the maintenance of urban biodiversity (61.5%), the production of natural resources (43.1%), and stormwater management (36%) for urban flood risk reduction, as the main benefits of nature-based solutions (Figure 9). People with a secondary education had perceptions similar to those above. These benefits represent 52.0% for stormwater management, 50.6% for health/recreation, and 47.1% for heat island reduction.
Figure 9

Frequency distribution of the main benefits of nature-based solutions according to respondents’ level of education.
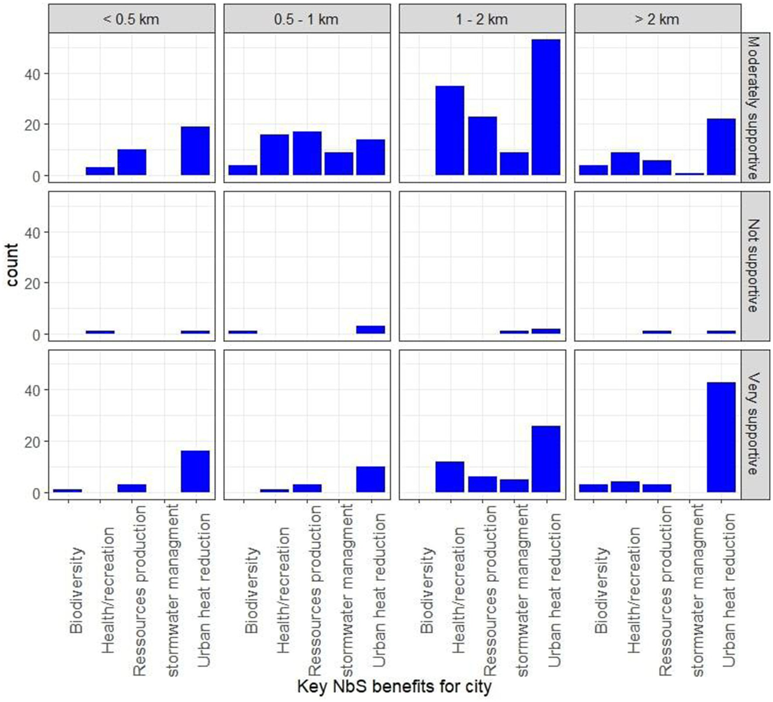
The study also shows that 34% of people are totally in favor of implementing nature-based solutions in the city of Ouagadougou, while 63% are in favor, provided that certain conditions are considered, such as the integration of effective management and maintenance of the actions to be carried out. They fear that the implementation of these nature-based solutions will generate more negative impacts on their wellbeing than positive impacts on their living environments. Only 2% of people doubt the potential benefits of implementing nature-based solutions, as they see it as a Western concept that is not adapted to the practice and experience of urban spaces. Cross-referencing these results with residential proximity to green spaces shows a scattered distribution of respondents who are in favor or totally in favor of implementing NbS in the city (Figure 10).
Figure 10

Frequency distribution of the main benefits of nature-based solutions according to the level of support for NbS and the distance between home and green space.
Regarding the factors to be considered for the political success of NbS in urban environments, participants who were born in Ouagadougou (OUA) or outside OUA, prioritized the creation of green jobs, actions encouraging walking, social interaction, and education, and community involvement as elements (Figure 11). People are unaware of the technical and ecological aspects of the integrating of urban infrastructure and housing development.
Figure 11

Distribution of the main factors to consider when implementing NbS, according to respondents.
For the Pearson chi-square tests of interdependence between the different variables, the study showed that the values of T2, T3, T4, T5, and T6 ranged from 39.755 to 155.957, with an asymptotic significance of <0.001 (Table 2). The value of the T1 test was 22.512, with an asymptotic significance of 0.032. By contrast, the value of T7 is very low and has an asymptotic significance >α (0.05), which is the chosen significance level.
Table 2
| Relationships between variables | Value of Pearson Chi-square test | Asymptotic significance (two-tailed) |
|---|---|---|
| Visit frequency—proximity to UGS (T1) | 22.512 | 0.032 |
| Perceived function of urban nature—proximity to UGS (T2) | 84.913 | <0.001 |
| Perceived function of urban nature—Education level (T3) | 83.157 | <0.001 |
| Experience with urban nature—Education level (T4) | 155.957 | <0.001 |
| Perceived of NbS benefits—Education (T5) | 39.755 | <0.001 |
| In favor of NbS policy—Perceived of NbS benefits (T6) | 49.311 | <0.001 |
| Keys factors in urban NbS policy—Gender (T7) | 0.771 | 0.942 |
Chi-square test between variables.
An asymptotic significance of less than 0.001 indicates a very strong rejection of the null hypothesis (H0) for the corresponding tests. This means that the test results for these variables are statistically highly significant.
4 Discussion
In Ouagadougou, the residents’ overall perceptions of urban nature are positive. On the one hand, their perceptions and experiences vary according to notable factors such as socio-demographic profile (age, gender, level of education, etc.) and residential distance. On the other hand, benefits include urban cooling, flood management, food provision, social interaction and aesthetics, as well as negative perceptions such as disease risks, hygiene problems, urban sanitation as well as insecurity and crime risks. The results highlight the association between perceptions of urban nature and socio-demographic profiles. In a literature review of the public perception of biodiversity, Bele and Chakradeo (2021) found that socioeconomic aspects such as gender, age, religion, and marital status are important factors in the perception of nature-related benefits. In Ethiopia, Gashu et al. (2020) obtained similar results, establishing an association between demographic and socioeconomic factors and multiple perceptions of green infrastructure. These factors have also been confirmed in Bangladesh (Haq and Ahmed, 2017) Chile, Germany, and Spain through a study of the perception and value of nature in the urban landscape (Priego et al., 2008). However, it is possible to note that the income factor of residents’ perception was not included in our study, whereas previous studies have shown that it can have impact on the perception of nature (Krajter Ostoić et al., 2017). Almost one-third of the fact that almost one-third of respondents (28.4%) did not wish to communicate their average monthly income.
With regard to the association between proximity and positive perception, the observational study of urban park development in African cities by Van Nieuwenhuizen (2021) showed that proximity to green spaces was indeed associated with a more positive perception of urban nature by residents. However, this is not necessarily the case of Ouagadougou. On the one hand, our results do show that people living close to green spaces have a positive relationship with nature. This is because these residents are directly exposed to the benefits of urban nature: islands of freshness, wellbeing, and health. On the other hand, it was revealed that this residential proximity is also associated with negative perceptions of nature due to recurrent exposure to hygiene and sanitation problems, disease risks, insecurity, and crime. This shows the extent to which the quality and maintenance of these spaces are essential for factors for a good perception of nature in the city. Our results also indicate that educational level promotes a better understanding of nature’s wellbeing and environmental benefits. These results corroborate those reported by Abass et al. (2019). Specifically, participants with a high school education or higher were more likely to perceive the ecosystem services of urban nature. As pointed out by Hui and Jim (2022), educational level is a predictor of the positive or negative value of urban nature.
Regarding insecurity and hygiene issues, our results showed no significant difference between the sexes. However, some studies (Muralidharan et al., 2015; Codina and Pestana, 2019) point out that women attach greater importance to the safety and hygiene of natural spaces. In line with this observation, Stessens et al. (2020) in their study of the relationship between the various characteristics of urban green spaces and the perception of their qualities, underlined the need to take gender into account when analyzing perceptions of public green spaces. Indeed, their results revealed that in Belgium, women paid more attention to safety issues than men.
Regarding experiences of nature in the city of Ouagadougou, most participants in our study had multiple uses that varied among physical activities (sports, walking, cycling, etc.), social gatherings, leisure and relaxation activities, and urban agriculture. Our results show that current users of urban nature have different characteristics according to their educational level and age: medical experience, stress reduction, education, shade use, horticulture, etc. Although these uses correspond to the aspirations of a large proportion of respondents, there are also conflicts between users with have different values. For example, waste disposal in nature is not shared by all users, who express dissatisfaction with those who practice it.
Similar to the study by Tabrizi et al. (2023), our results indicated that older adults associate their experiences of nature with their mental health. Our research has also shown that people constantly exposed to stress in professional and academic environments use nature connections as therapy to improve their daily emotional experiences and reduce stress. Other studies conducted in various urban environments (e.g., Mansor et al., 2017; Nath, 2022) have concluded that many residents use urban nature for physical activities such as walking, jogging, and playing, as well as for social activities such as picnics and community gatherings. These findings corroborates our previously highlighted findings. Hirsch et al. (2016) noted that urban agriculture contributes to food security and additional income in developing countries. These practices are similar to those in the city of Ouagadougou, and are indeed a vital resource for residents, particularly those with an attained level of education below secondary school.
A study of research trends in nature-based solutions by Yang et al. (2024) mentioned the 2023 classification of NbS themes by the International Union for Conservation of Nature (IUCN) into the categories of (a) agriculture and soil biodiversity, (b) disaster risk reduction, (c) ecosystem restoration, (d) nature-based solutions for climate, and (e) nature-based solutions for cities. Over the past few decades, research on nature-based solutions has been conducted worldwide and in Africa has been conducted by Parker et al. (2020), Castellanos et al. (2020), Nyika and Dinka (2022), and Shu et al. (2023). These studies have addressed the potential benefits of integrated environmental management, green infrastructure, stormwater runoff, climate change mitigation and adaptation, flood risks and biodiversity, and health and food security. Our results indicate that perceptions of these issues vary according to education level. Respondents with higher levels of education have a very strong interest in NbS, which targets biodiversity conservation, natural resource production, and stormwater management, while those with less than a high school education have a strong preference for actions that target health, and recreation, and heat island reduction. Preferences for NbS in urban environments have not been directly addressed in the existing literature. However, by broadening the context of the association between education level and environmental awareness (Baró and Gómez-Baggethun, 2017; Kabisch et al., 2017) it is worth noting that the higher the education level, the more sensitive people are to the issue of genetic diversity, which is difficult for others to grasp.
Concentrating on the attitudes of Ouagadougou residents toward NbS, as well as their concerns and conditions, there is general support and some set conditions. Indeed, 34% of people are totally in favor of implementing NbS. This indicated that less than half of the respondents were enthusiastic about implementing these solutions. 63% were in favor but with significant reservations. This means that the most of residents are aware of the challenges involved in implementing these solutions and are keen on ensuring that they meet their expectations. This underscores the importance of planning and managing actions to support residents. Indeed, the governance challenges of nature-based solutions have been addressed in recent research (Malekpour et al., 2021; Stork et al., 2023). In a study on the development of NbS for sustainable cities, van der Jagt et al. (2021) emphasized the need for collaboration and pooling of efforts among various players. However, nature-based solutions are vulnerable to co-optation by powerful interests, which limits their contributions to a wide range of sustainability goals. As mentioned by Seddon et al. (2020), the effective management of stormwater drainage in watersheds using nature-based approaches requires joint decision making between different local, regional, or even national governments and between several ministries. The same applies to the city of Ouagadougou. Integrating residents’ perceptions of their demographic and socioeconomic characteristics into the design and implementation of nature-based solutions is an essential condition to consider in this approach. Brokking et al. (2021) recommended participatory approaches in the planning process to improve NbS acceptance. In addition, Alves Carvalho Nascimento (2021) stressed that community involvement would ensure that actions were aligned with local needs and values.
Concerns about the negative impacts could be explained by previous experiences or a lack of awareness of NbS and its potential benefits. Furthermore, the differentiation of opinions according to residential distance from green spaces may be explained by the fact that those who live closer are receptive to NbS, depending on their own experience of urban nature.
Furthermore, respondents’ priorities showed an orientation toward tangible, immediate benefits such as jobs and social interaction, rather than technical aspects. These results indicate that clear communication on both the immediate and long-term benefits of NbS and ensuring that technical aspects are considered in the planning and implementation of actions are essential to the success of NbS policies.
5 Limitation of the research and pathways for implementing sustainable nature-based solutions in Ouagadougou
The process of planning and implementing nature-based solutions for sustainable urban development in Ouagadougou must promote the integration of multiple perceptions, residents’ experiences, and the identified challenges. Socially, the approach should be based on a participatory and integrated approach to address local concerns and increase acceptance of actions, with an emphasis on immediate benefits, such as (green) employment and social interactions. In addition, the authors suggest clear and insistent communication on long term benefits, as residents often tend to have aspirations they want to see in the immediate or short term. On the technical side, as the respondents mentioned, the quality maintenance and management of the spaces concerned must be at the heart of all operationalization strategies to alleviate hygiene and safety problems. However, the authors regret the incomplete data on average monthly income, which does not allow for a proper analysis of potential links with residents’ level of perception, how it may influence experiences of nature, or an assessment of the possibilities for contributing to the financing of the implementation of these nature-based solutions in the city of Ouagadougou.
6 Conclusion
This research aimed to explore the influence of socio-demographic factors on urban nature to identify their implication on nature-based solutions in the city of Ouagadougou through a mixed methodological approach (quantitative and qualitative). The main results show that perceptions and experiences of nature vary considerably according to respondents’ socio-demographic profiles and proximity to green spaces. Interactions have both notable benefits and limitations. Unlike the results of similar research, residential proximity to green spaces is not always a factor in positive perceptions and experiences of urban nature. In Ouagadougou, people living close to green spaces have negative perceptions and experiences. Hygiene and sanitation issues, disease risks, insecurity and urban crime were all highlighted. This implies risks to be considered when developing nature-based solutions in urban planning.
The research suggests the need for adaptive maintenance and management, as well as participatory planning to align nature-based solutions with residents’ expectations, with a focus on immediate and tangible benefits. This study makes a significant contribution to understanding local perceptions and conditions that need to be integrated into sustainable and resilient green city planning. It also provides recommendations to planners, urban designers and urban development actors for the implementation of nature-based solutions. In addition, the authors encourage an integrative approach to the perceptions and experiences of residents in the process of sustainable transformation of Ouagadougou, while enriching the debate on nature-based solutions in African urban contexts.
Statements
Data availability statement
The datasets presented in this study can be found in online repositories. The names of the repository/repositories and accession number(s) can be found in the article/Supplementary material.
Ethics statement
Ethical review and approval was not required for the study on human participants in accordance with the local legislation and institutional requirements. Written informed consent from the patients/participants or patients/participants legal guardian/next of kin was not required to participate in this study in accordance with the national legislation and the institutional requirements.
Author contributions
YC: Conceptualization, Data curation, Formal analysis, Investigation, Methodology, Software, Visualization, Writing – original draft, Writing – review & editing. BA: Funding acquisition, Project administration, Supervision, Validation, Visualization, Writing – review & editing.
Funding
The author(s) declare that financial support was received for the research, authorship, and/or publication of this article. This study was supported by grant number IDA 5360 TG from the World Bank through the Regional Center of Excellence on Sustainable Cities in Africa (CERViDA-DOUNEDON).
Acknowledgments
The authors are deeply grateful to the World Bank for funding this research through the Regional Center of Excellence on Sustainable Cities in Africa (CERViDA-DOUNEDON) and the Association of African Universities (AAU).
Conflict of interest
The authors declare that the research was conducted in the absence of any commercial or financial relationships that could be construed as a potential conflict of interest.
Publisher’s note
All claims expressed in this article are solely those of the authors and do not necessarily represent those of their affiliated organizations, or those of the publisher, the editors and the reviewers. Any product that may be evaluated in this article, or claim that may be made by its manufacturer, is not guaranteed or endorsed by the publisher.
Supplementary material
The Supplementary material for this article can be found online at: https://www.frontiersin.org/articles/10.3389/frsc.2024.1487272/full#supplementary-material
References
1
Abass K. Appiah D. O. Afriyie K. (2019). Does green space matter? Public knowledge and attitude towards urban greenery in Ghana. Urban For. Urban Green.46:126462. doi: 10.1016/j.ufug.2019.126462
2
Alves Carvalho Nascimento L. (2021). Nature-based solutions in environmental planning: ecosystem-based adaptations, green infrastructures, and ecosystem services to promote diversity in urban landscapes. Portland, OR: Portland State University.
3
Atiqul Haq S. M. Islam M. N. Siddhanta A. Ahmed K. J. Chowdhury M. T. A. (2021). Public perceptions of urban green spaces: convergences and divergences. Front. Sustain. Cities3:755313. doi: 10.3389/frsc.2021.755313
4
Awoyemi A. G. Ibáñez-Álamo J. D. (2023). Status of urban ecology in Africa: a systematic review. Landsc. Urban Plan.233:104707. doi: 10.1016/j.landurbplan.2023.104707
5
Baró F. Gómez-Baggethun E. (2017). “Assessing the potential of regulating ecosystem services as nature-based solutions in urban areas” in Nature-based solutions to climate change adaptation in urban areas: Linkages between science, policy and practice. eds. KabischN.KornH.StadlerJ.BonnA. (Cham: Springer International Publishing), 139–158.
6
Bele A. Chakradeo U. (2021). Public perception of biodiversity: a literature review of its role in urban green spaces. J. Landscape Ecol.14, 1–28. doi: 10.2478/jlecol-2021-0008
7
Bonnes M. Passafaro P. Carrus G. (2011). The ambivalence of attitudes toward urban green areas: between proenvironmental worldviews and daily residential experience. Environ. Behav.43, 207–232. doi: 10.1177/0013916509354699
8
Bourque J. Adlouni S.-E. E. (2016). Manuel d’introduction à la statistique appliquée aux science. Quebec City, QC: Presses de l’Université Laval.
9
Brokking P. Mörtberg U. Balfors B. (2021). Municipal practices for integrated planning of nature-based solutions in urban development in the Stockholm region. Sustain. For.13:10389. doi: 10.3390/su131810389
10
Castellanos L. A. Versini P.-A. Bonin O. Tchiguirinskaia I. (2020). A text-mining approach to compare impacts and benefits of nature-based solutions in Europe. Sustain. For.12:7799. doi: 10.3390/su12187799
11
Chen Y. Samuelson H. W. Tong Z. (2016). Integrated design workflow and a new tool for urban rainwater management. J. Environ. Manag.180, 45–51. doi: 10.1016/j.jenvman.2016.04.059
12
Cilliers S. Cilliers J. Lubbe R. Siebert S. (2013). Ecosystem services of urban green spaces in African countries—perspectives and challenges. Urban Ecosyst.16, 681–702. doi: 10.1007/s11252-012-0254-3
13
Codina N. Pestana J. V. (2019). Time matters differently in leisure experience for men and women: leisure dedication and time perspective. Int. J. Environ. Res. Public Health16:2513. doi: 10.3390/ijerph16142513
14
Cohen-Shacham E. Walters G. Janzen C. Maginnis S. (2016). Nature-based solutions to address global societal challenges. Gland: IUCN International Union for Conservation of Nature.
15
Convention of Biological Diversity (CBD) . (2022). Decision adopted by the conference of the parties to the convention on biological diversity 15/4. Kunming-Montreal global biodiversity Framework. Available at: https://www.cbd.int/doc/decisions/cop-15/cop-15-dec-04-en.pdf
16
Farahani L. M. Maller C. J. (2018). Perceptions and preferences of urban greenspaces: a literature review and framework for policy and practice. Landscape Online61, 1–22. doi: 10.3097/LO.201861
17
Ferret A. Laurans Y. (2020). Mise en œuvre des solutions fondées sur la nature (SFN): une revue de littérature. Paris: IDDRI, 25.
18
Frantzeskaki N. McPhearson T. (2022). Mainstream nature-based solutions for urban climate resilience. Bioscience72, 113–115. doi: 10.1093/biosci/biab105
19
Gashu K. Gebre-Egziabher T. Wubneh M. (2020). Local communities’ perceptions and use of urban green infrastructure in two Ethiopian cities: Bahir Dar and Hawassa. J. Environ. Plan. Manag.63, 287–316. doi: 10.1080/09640568.2019.1578643
20
Haq S. M. A. (2011). Urban green spaces and an integrative approach to sustainable environment. J. Environ. Prot.2, 601–608. doi: 10.4236/jep.2011.25069
21
Haq S. M. Ahmed K. J. (2017). Does the perception of climate change vary with the socio-demographic dimensions? A study on vulnerable populations in Bangladesh. Nat. Hazards85, 1759–1785. doi: 10.1007/s11069-016-2664-7
22
Hartig T. Mitchell R. De Vries S. Frumkin H. (2014). Nature and health. Annu. Rev. Public Health35, 207–228. doi: 10.1146/annurev-publhealth-032013-182443
23
Hirsch D. Meyer C. Klement J. Hamer M. Terlau W. (2016). Urban AgriCulture and food systems dynamics: urban gardening and urban farming of the Bonn-Rhein-Sieg region, Germany. Proc. Food Syst. Dyn., 406–419. doi: 10.18461/PFSD.2016.1646
24
Hui L. C. Jim C. Y. (2022). Urban-greenery demands are affected by perceptions of ecosystem services and disservices, and socio-demographic and environmental-cultural factors. Land Use Policy120:106254. doi: 10.1016/j.landusepol.2022.106254
25
Institut National de la Statistique et de la Démographie (INSD) (2022). RGPH5-Monographie de la commune de Ouagadougou. Ouagadougou: Institut national de la statistique et de la démographie (INSD).
26
Kabisch N. Frantzeskaki N. Hansen R. (2022). Principles for urban nature-based solutions. Ambio51, 1388–1401. doi: 10.1007/s13280-021-01685-w
27
Kabisch N. Korn H. Stadler J. Bonn A. (2017). Nature-based solutions to climate change adaptation in urban areas: Linkages between science, policy and practice. Cham: Springer International Publishing.
28
Kamana A. A. Radoine H. Nyasulu C. (2024). Urban challenges and strategies in African cities – a systematic literature review. City Environ. Inter.21:100132. doi: 10.1016/j.cacint.2023.100132
29
Krajter Ostoić S. Konijnendijk van den Bosch C. C. Vuletić D. Stevanov M. Živojinović I. Mutabdžija-Bećirović S. et al . (2017). Citizens’ perception of and satisfaction with urban forests and green space: results from selected southeast European cities. Urban For. Urban Green.23, 93–103. doi: 10.1016/j.ufug.2017.02.005
30
Lévy J.-P. Hajek I. (2016). La nature urbaine, une utopie paradoxale. Futuribles441, 61–72.
31
Malekpour S. Tawfik S. Chesterfield C. (2021). Designing collaborative governance for nature-based solutions. Urban For. Urban Green.62:127177. doi: 10.1016/j.ufug.2021.127177
32
Mansor M. Said I. Mohamad I. (2017). Experiential contacts with green infrastructure’s diversity and well-being of urban community. Asian J. Environ. Behav. Stu.2, 65–79. doi: 10.21834/aje-bs.v2i2.178
33
McPhearson T. Kabisch N. Frantzeskaki N. (2023). Nature-based solutions for cities. Cheltenham: Edward Elgar Publishing.
34
Mensah C. A. (2014). Nature and challenges of urban green spaces in Africa. Urban green spaces dialogue Wits University 2. Available at:https://scholar.google.com/scholar?cluster=7030683289679024828&hl=en&oi=scholarr (Accessed April 5, 2024).
35
Muralidharan A. Elledge M. Krishnan S. Hartmann M. Rowe B. (2015). Bring the change you want to see: scripting women and girls into India’s urban sanitation actions. Research Triangle Park, NC: RTI Press.
36
Nath T. K. (2022). “Urban green space, green exercise and health outcomes: evidence from Kuala Lumpur, Malaysia” in Urban forestry and arboriculture in Malaysia. eds. MaruthaveeranS.ChenW. Y.MorgenrothJ. (Singapore: Springer Nature Singapore), 343–356.
37
Newman L. Dale A. (2013). Celebrating the mundane: nature and the built environment. Environ. Values22, 401–413. doi: 10.3197/096327113X13648087563827
38
Nyika J. Dinka M. O. (2022). Integrated approaches to nature-based solutions in Africa: insights from a bibliometric analysis. Nat. Based Solut.2:100031. doi: 10.1016/j.nbsj.2022.100031
39
O’Donnell E. C. Thorne C. R. (2020). Drivers of future urban flood risk. Philos. Trans. R. Soc. A Math. Phys. Eng. Sci.378:20190216. doi: 10.1098/rsta.2019.0216
40
Ozment S. Ellison G. Jongman B. (2019). Nature-based solutions for disaster risk management. Washington, DC: World Bank Group.
41
Parker J. Simpson G. D. Miller J. E. (2020). Nature-based solutions forming urban intervention approaches to anthropogenic climate change: a quantitative literature review. Sustain. For.12:7439. doi: 10.3390/su12187439
42
Priego C. Breuste J. Rojas J. (2008). Perception and value of nature in urban landscapes: a comparative analysis of cities in Germany, Chile and Spain. Landscape Online7, 1–22. doi: 10.3097/LO.200807
43
Ren Q. He C. Huang Q. Zhang D. Shi P. Lu W. (2023). Impacts of global urban expansion on natural habitats undermine the 2050 vision for biodiversity. Resour. Conserv. Recycl.190:106834. doi: 10.1016/j.resconrec.2022.106834
44
Sandelowski M. (2000). Combining qualitative and quantitative sampling, data collection, and analysis techniques in mixed-method studies. Res. Nurs. Health23, 246–255. doi: 10.1002/1098-240X(200006)23:3<246::AID-NUR9>3.0.CO;2-H
45
Sanesi G. Chiarello F. (2006). Residents and urban green spaces: the case of Bari. Urban For. Urban Green.4, 125–134. doi: 10.1016/j.ufug.2005.12.001
46
Seddon N. Chausson A. Berry P. Girardin C. A. J. Smith A. Turner B. (2020). Understanding the value and limits of nature-based solutions to climate change and other global challenges. Philos. Trans. Royal Soc. B Biol. Sci.375:20190120. doi: 10.1098/rstb.2019.0120
47
Shu S. Tang J. Geng X. (2023). Acoustic environment and its restorative potential in small urban green spaces. Inter Noise268, 1559–1569. doi: 10.3397/IN_2023_0236
48
Simwanda M. Ranagalage M. Estoque R. C. Murayama Y. (2019). Spatial analysis of surface urban Heat Islands in four rapidly growing African cities. Remote Sens.11:1645. doi: 10.3390/rs11141645
49
Stessens P. Canters F. Huysmans M. Khan A. Z. (2020). Urban green space qualities: an integrated approach towards GIS-based assessment reflecting user perception. Land Use Policy91:104319. doi: 10.1016/j.landusepol.2019.104319
50
Stork S. Pölling B. Lorleberg W. Morgenstern R. Feil J.-H. (2023). Clustering business models of heterogeneous nature-based solutions implementing innovative governance and financing concepts. Land12:2116. doi: 10.3390/land12122116
51
Sudmeier-Rieux K. Arce-Mojica T. Boehmer H. J. Doswald N. Emerton L. Friess D. A. et al . (2021). Scientific evidence for ecosystem-based disaster risk reduction. Nat. Sustain.4, 803–810. doi: 10.1038/s41893-021-00732-4
52
Tabrizi N. Lak A. Moussavi A. S. M. F. R. (2023). Green space and the health of the older adult during pandemics: a narrative review on the experience of COVID-19. Front. Public Health11:1218091. doi: 10.3389/fpubh.2023.1218091
53
Tian Y. Wu H. Zhang G. Wang L. Zheng D. Li S. (2020). Perceptions of ecosystem services, disservices and willingness-to-pay for urban green space conservation. J. Environ. Manag.260:110140. doi: 10.1016/j.jenvman.2020.110140
54
Tong S. Prior J. McGregor G. Shi X. Kinney P. (2021). Urban heat: an increasing threat to global health. BMJ375:n2467. doi: 10.1136/bmj.n2467
55
Turrini T. Knop E. (2015). A landscape ecology approach identifies important drivers of urban biodiversity. Glob. Chang. Biol.21, 1652–1667. doi: 10.1111/gcb.12825
56
United Nations (2019). World Urbanization Prospects: The 2018 Revision (ST/ESA/SER.A/420). New York, NY: United Nations, Department of Economic and Social Affairs, population division.
57
van der Jagt A. P. N. Kiss B. Hirose S. Takahashi W. (2021). Nature-based solutions or debacles? The politics of reflexive governance for sustainable and just cities. Front. Sustain. Cities2:583833. doi: 10.3389/frsc.2020.583833
58
Van Nieuwenhuizen A. (2021). “Urban parks in Africa” in Why cities need large parks. ed. MurrayR. (New York, NY: Routledge), 447–457.
59
Wang S. Gao S. Li S. Feng K. (2020). Strategizing the relation between urbanization and air pollution: empirical evidence from global countries. J. Clean. Prod.243:118615. doi: 10.1016/j.jclepro.2019.118615
60
Wickham H. (2009). Ggplot2: Elegant graphics for data analysis. New York, NY: Springer.
61
Wickham H. (2019). Advanced R. Second Edn. Boca Raton, MA: CRC Press/Taylor and Francis Group.
62
Wickham H. Çetinkaya-Rundel M. Grolemund G. (2023). R for data science: import, tidy, transform, visualize, and model data. 2nd Edn. Beijing: O’Reilly.
63
World Bank (2023). Nature-based solutions for climate resilience in the World Bank portfolio. Washington, DC: World Bank.
64
Yang H. Chae J. Song C. Choi E. (2024). Research trends of nature-based solutions: from urban to climate change. Front. For. Glob. Change7:1351189. doi: 10.3389/ffgc.2024.1351189
Summary
Keywords
urban nature, local perceptions, sustainable city, nature-based solutions, Ouagadougou
Citation
Combary YEF and Atchrimi BT (2024) Residents’ perceptions of urban nature and nature-based solutions in Ouagadougou. Front. Sustain. Cities 6:1487272. doi: 10.3389/frsc.2024.1487272
Received
27 August 2024
Accepted
12 November 2024
Published
25 November 2024
Volume
6 - 2024
Edited by
Haijun Bao, Hangzhou City University, China
Reviewed by
Maria Chiara Pastore, Polytechnic University of Milan, Italy
Sara Tarek, Cairo University, Egypt
Updates
Copyright
© 2024 Combary and Atchrimi.
This is an open-access article distributed under the terms of the Creative Commons Attribution License (CC BY). The use, distribution or reproduction in other forums is permitted, provided the original author(s) and the copyright owner(s) are credited and that the original publication in this journal is cited, in accordance with accepted academic practice. No use, distribution or reproduction is permitted which does not comply with these terms.
*Correspondence: Youmanli Enok Ferdinand Combary, youmanli.combary@cervida-togo.org; ferdinand.enok@gmail.com
Disclaimer
All claims expressed in this article are solely those of the authors and do not necessarily represent those of their affiliated organizations, or those of the publisher, the editors and the reviewers. Any product that may be evaluated in this article or claim that may be made by its manufacturer is not guaranteed or endorsed by the publisher.