Abstract
Introduction:
With the increasing urgency of sustainable development, understanding the role of the digital economy in promoting green and low-carbon transformation has become a key research focus. This study investigates the impact of the digital economy on urban green and low-carbon development in China, examining its underlying mechanism and spatial spillover effect.
Methods:
This study employs panel data from 278 prefecture-level and above cities in China from 2012 to 2023. Urban green and low-carbon development is measured by green total factor productivity, calculated using the super-efficiency SBM model and the Global Malmquist-Luenberger index. Digital economy is calculated through principal component analysis. The empirical analysis employs OLS and two-way fixed effects model, while threshold model and spatial Durbin model are applied to examine the threshold effect of environmental regulation and the spatial spillover effect of digital economy.
Results:
The digital economy promotes urban green and low-carbon development, with the impact mechanism being the optimization and upgrading of industrial structure, enhancement of green innovation efficiency, and improvement of resource allocation efficiency. The stricter the environmental regulation, the more significant the promoting effect of the digital economy. The impact of the digital economy is more significant in capital cities, central regions, non-resource-based cities, and the third batch of low-carbon pilot cities. The digital economy generates a negative spillover effect on the green and low-carbon development of surrounding cities.
Discussion:
These results highlight the dual effects of the digital economy, both in driving local green and low-carbon development and in potentially intensifying regional disparities. Policy implications include the need to strengthen digital infrastructure, reinforce environmental regulations, and promote regional coordination to mitigate spillover risks and achieve balanced green and low-carbon development.
1 Introduction
With the intensification of global climate change and the acceleration of environmental degradation, achieving sustainable urban development has become a central focus for policymakers and scholars. As centers of economic activity and hubs of resource consumption, cities play a crucial role in promoting green and low-carbon development. Green and low-carbon development not only entails reducing carbon emissions and improving energy efficiency but also involves integrating environmentally sustainable technologies into urban infrastructure and industrial systems. However, despite the implementation of policies by governments worldwide aimed at promoting low-carbon urban growth, existing measures often face challenges due to structural inefficiencies, technological limitations, and imbalances in regional economic development. For example, traditional low-carbon policies typically rely on strict environmental regulations and resource allocation, but in practice, these measures often struggle to achieve ideal outcomes due to differences in economic development levels and infrastructure construction.
Against this backdrop, the rapid expansion of the digital economy provides unprecedented opportunities for driving urban green and low-carbon development. Through the widespread application of technologies such as big data, artificial intelligence, blockchain, and the Internet of Things, the digital economy is reshaping traditional industries (Ma and Zhu, 2022), optimizing resource allocation (Pei et al., 2019), and improving environmental governance (Zhao et al., 2024). In areas such as smart energy management, real-time pollution monitoring, and data-driven industrial upgrading, digital technologies also show great potential to drive green innovation and provide new momentum for urban low-carbon transformation (Shen et al., 2023). Additionally, digital financial services, such as green credit and carbon trading platforms, offer new economic incentives for businesses and individuals, promoting environmentally sustainable practices (Chen and Xu, 2025). While the digital economy has several macroeconomic effects, existing research has overlooked its environmental benefits. The impact and mechanisms of the digital economy in promoting urban green and low-carbon development remain unclear. Furthermore, regarding spatial spillover effects, some scholars argue that the diffusion of digital technologies can create regional synergies, promoting low-carbon transformation in neighboring cities (Zhang and Zhang, 2024), while others contend that core cities absorb the spillover effects of the digital economy from surrounding areas (Chen et al., 2025), which may lead to the concentration of talent and capital in core cities, thus hindering low-carbon transformation in neighboring regions. Therefore, whether the development of the digital economy promotes or hinders the green and low-carbon development of neighboring areas requires empirical investigation. To fill the gap, this paper uses panel data from 278 prefecture-level cities and constructs an econometric model to explore the impact, mechanisms, and spatial spillover effects of the digital economy on urban green and low-carbon development, providing empirical evidence for policymakers.
The contributions of this study are as follows: First, it explores the specific mechanisms through which the digital economy drives urban green and low-carbon development. It empirically tests the existence of three pathways—the industrial structure upgrading effect, the green innovation effect, and the resource allocation effect. This enriches the theoretical framework of digital economy and low-carbon development. Second, the study examines the threshold effect of environmental regulation on the digital economy’s promotion of green and low-carbon development. It reveals the non-linear relationship between the two, providing theoretical support for further understanding the synergistic effects of environmental policies and digital economy integration. Furthermore, to investigate the complexity of the digital economy’s impact on urban green and low-carbon development, the study tests the differences in this impact across cities with varying administrative levels, geographical locations, resource endowments, and policy environments. This enriches the understanding of the digital economy’s differential effects in different contexts. Finally, the study analyzes the spatial spillover effects of the digital economy on urban green and low-carbon development. It explores the dual effects of regional collaboration and competition between cities, providing innovative perspectives and practical insights for promoting coordinated and sustainable regional development.
The structure of this paper is as follows: Section 2 presents the literature review, Section 3 provides the theoretical analysis and research hypotheses, Section 4 presents the empirical design, Section 5 discusses the benchmark results, the endogeneity treatment, and the robustness tests, Section 6 includes further analysis, such as mechanism analysis, threshold effects, and heterogeneity analysis, Section 7 examines spatial spillover effects, and Section 8 concludes with the findings and policy recommendations.
2 Literature review
2.1 Multidimensional characteristics of the digital economy
The emergence of a new wave of technological innovation has made the digital economy an important catalyst for economic expansion and a key factor in reshaping the global economic landscape. At the enterprise level, the digital economy fosters innovation in business objectives, governance structures, and production models (Qi et al., 2020), significantly reduces transaction costs (Teece, 2018), and enhances core competitiveness, average wages (Lyu and Liu, 2021), and innovation performance. It facilitates the rapid integration of production factors (Bunje et al., 2022) and improves resource allocation efficiency (Ling et al., 2024). In terms of industrial modernization, the digital economy accelerates the transformation process, drives industrial restructuring, and promotes overall development (Ranta et al., 2021). From a macroeconomic perspective, the digital economy promotes the integration of factor markets (Han and Jiang, 2024), facilitates the cross-regional flow of innovation factors, and improves innovation performance (Ge et al., 2024; Li et al., 2020), thereby enhancing regional innovation capabilities and total factor productivity (Pan et al., 2022). Although information technology initially may increase carbon emissions, the ripple effects of technological innovation ultimately led to a significant reduction in carbon emissions (Wang et al., 2021). Moreover, the relationship between the digital economy and carbon emissions is not linear; influenced by network effects, it exhibits a trend of rising first and then declining (Li et al., 2021).
2.2 Influence pathways of urban green and low-carbon development
The factors influencing urban green and low-carbon development are diverse. Existing studies have shown that variables such as economic and social development potential, urban population size, and resource allocation can significantly affect urban low-carbon transformation (Wang et al., 2010). Among them, the industrial framework of cities plays a crucial role in the low-carbon transition process. Through modernizing the industrial structure, cities can reduce the dominance of high-carbon sectors and promote the expansion of low-carbon industries (Zhang et al., 2014). Rational urban planning can effectively reduce sources of carbon emissions and provide support for the application of low-carbon technologies (Kim et al., 2021). Improving energy efficiency and promoting the use of renewable energy are key factors in advancing low-carbon development (Zhang et al., 2014). The policy environment and regional strategies also play an important role in this process, such as free trade zones (Wang et al., 2023) and new energy pilot cities (He et al., 2025), which have facilitated the development of green technologies and industries. Low-carbon pilot city policies provide specific cities with quantifiable targets and practical guidance, contributing to the effective implementation of green and low-carbon policies (Wan et al., 2024). Additionally, environmental regulations, such as environmental protection taxes, can encourage enterprises to engage in green technology innovation by internalizing the external costs of pollution, significantly promoting the development of low-carbon cities (Huang and Lei, 2021).
2.3 Digital economy and urban green low-carbon development
The digital economy is a catalytic force for rapid economic development, a key driver for advancing carbon neutrality and sustainable growth, and introduces pioneering strategies for eco-friendly urban development. First, it enhances the government’s capacity to implement low-carbon governance. Through technologies such as big data and cloud computing, the digital economy significantly reduces the cost of information collection and improves the government’s ability to track key indicators like carbon emissions (Ma and Zhu, 2022). The digital economy also promotes synergies between the manufacturing and service sectors, accelerates the evolution of the industrial framework, improves energy efficiency, and reduces consumption and emissions in infrastructure development (Li and Wang, 2022). Second, the development of the internet accelerates the flow of market information, reduces the cost of industrial information search, alleviates information asymmetry, and thus improves total factor productivity (Rehman and Nunziante, 2023). Moreover, digitization helps enterprises in their low-carbon transition, facilitates the adoption of low-carbon technologies by high-emission industries (Wu et al., 2022), promotes green investment (Qi et al., 2020), reduces urban energy consumption (Ren et al., 2021), encourages environmental innovation, reduces pollution, and supports regional low-carbon economies (Zhang et al., 2022; Long et al., 2024). Finally, the popularity of digital consumption platforms has altered consumer behavior, raised environmental awareness among residents, and further promoted the adoption of low-carbon lifestyles (Zhou, 2024).
2.4 Research gaps
Although existing literature explores the impact of the digital economy on low-carbon transformation from various perspectives, there remain several research gaps. First, current studies often overlook the alignment between China’s economic growth objectives and environmental protection, and lack quantitative analysis of how the digital economy affects the environment. Second, urban green low-carbon development is not only related to carbon emissions but also involves multiple factors such as economic development, industrial structure, and social environment. Many studies rely too heavily on carbon total factor productivity or carbon emissions as key indicators, thus limiting the breadth of research. This paper aims to fill this gap by using the Global Malmquist-Luenberger (GML) index to study the broad impact of the digital economy on urban green low-carbon transformation. It covers aspects such as green technology innovation, industrial structure improvement, and resource allocation, and explores how the digital economy generates spatial spillover effects.
3 Theoretical analysis and research hypothesis
The rapid development of the digital economy has made its role in promoting urban green and low-carbon development increasingly prominent, becoming a focal point globally. In China and developed countries, the impact of the digital economy on green and low-carbon transformation varies significantly, owing to different stages of development and environmental contexts. Developed countries typically possess mature digital infrastructure and advanced technological capabilities, allowing their digital economies to more smoothly drive innovation and application of green low-carbon technologies. In contrast, in China, the digital economy is still in an expansive phase, with substantial regional disparities, especially with uneven digital infrastructure and technological levels. Under these conditions, the digital economy faces unique challenges and opportunities in promoting green low-carbon transformation. Therefore, understanding the specific mechanisms through which the digital economy contributes to China’s green low-carbon transformation is crucial for further deepening the country’s low-carbon development strategy. Figure 1 illustrates the specific pathways through which the digital economy impacts urban low-carbon development.
Figure 1

Pathways of digital economy’s impact on urban green and low-carbon development.
3.1 Industrial structure upgrading effect
The core of promoting green low-carbon transformation lies in the reorganization of the industrial framework, which operates in three key areas. First, it necessitates a shift from industries that rely on manual labor and raw materials to those driven by innovation and expertise. Second, it requires a transition from high-pollution, energy-consuming sectors to cleaner, more sustainable alternative industries. Lastly, it emphasizes the shift of the economic focus from traditional primary and secondary industries to a service-based tertiary industry. The digital economy plays a pivotal role in this process. By enhancing information flow and resource integration efficiency, the digital economy breaks down barriers between upstream and downstream in traditional industrial chains, promoting deep integration and collaborative innovation across industries. The digital economy utilizes internet platforms and big data technologies to accelerate the movement of production factors, significantly enhancing the integration effects within industrial chains (Zhou et al., 2022). The fusion of digital technologies with traditional industries has led to the emergence of sustainable industrial practices such as smart energy systems, the sharing economy, and low-carbon logistics, thereby modernizing the industrial framework and improving the overall green productivity of sectors (Qian et al., 2024). Through technological advancements and cost-effective measures, the digital economy has driven the transformation of high-pollution industries, promoted intelligent and automated production processes, and significantly reduced energy consumption and emissions. Moreover, the application of digital tools enables businesses to optimize operations and resource allocation, redirecting saved funds into investments in green innovation. This dynamic accelerates the decline of energy-intensive and high-pollution industries and paves the way for cleaner and more sustainable alternative industries. Additionally, the digital economy has substantially reshaped the service sector. Emerging digital platforms—such as e-commerce, smart city services, and online education—reduce resource consumption and effectively curb the carbon footprint in areas like transportation and infrastructure. This shift moves the economic focus from resource-intensive to knowledge-driven and service-oriented industries, providing new impetus for low-carbon growth. Furthermore, the digital economy, through its “green effect,” amplifies its impact on the environment, reducing harmful emissions such as sulfur dioxide and industrial wastewater, and lowering overall carbon intensity (Sun and Hu, 2021). This multi-dimensional transformation not only drives the modernization of industrial structures but also fosters the development of sustainable, low-carbon industries, marking a key step toward a green future.
3.2 Green innovation effect
The digital economy has also provided robust technological and managerial support for low-carbon transformation through accelerating green technological innovation. First, the digital transformation of enterprises has greatly expanded the scope and intensity of ecological technological advancements. In terms of quantity, digital technologies have lowered R&D costs and optimized technological pathways, thus enhancing the output of green technological innovations. In terms of quality, digitalized management and intelligent production have improved the specificity and practicality of innovations, thereby enhancing the quality and efficiency of green technologies (Chen et al., 2023). It is particularly noteworthy that, although the digital economy is still developing in certain regions, the impact of digital progress on green technological innovation is more significant in regions where environmental policies are actively implemented (Zhang Z. et al., 2023). The flourishing digital economy not only provides the funding, information, and technology needed for green innovation but also amplifies this process when combined with government supportive policies. Second, the digital economy has promoted the improvement of green total factor productivity. By seamlessly integrating digital technologies into manufacturing and resource management, enterprises can significantly improve energy efficiency, minimize material waste, and reduce carbon emissions through real-time monitoring and intelligent coordination (Zhou and Chu, 2025). The application of cutting-edge green technologies has not only made traditional industries more sustainable but has also driven the rapid development of new environmentally friendly industries. This dual impact has provided strong technological support for achieving green and low-carbon development goals. The digital economy, through upgrading industrial chains and enhancing technologies, has expanded the spillover effects of green technological innovations, promoting the widespread application of green technologies in traditional sectors such as agriculture, industry, transportation, and construction, and advancing their low-carbon transformation. At the same time, digital technology-based green innovations can be disseminated more broadly, forming cross-industry and cross-regional technology sharing and collaborative effects. This diffusion effect not only strengthens the green development capabilities of different industries but also significantly enhances the overall efficiency of green innovations. Ultimately, the green technological progress driven by the digital economy provides critical support for achieving carbon peak and carbon neutrality goals, optimizing urban energy frameworks, managing pollution emissions, and developing low-carbon industries, thus offering important solutions for addressing global climate change and promoting sustainable development.
3.3 Resource allocation effect
The digital economy improves resource efficiency by optimizing resource allocation, especially in the horizontal and vertical utilization of resources. Through information technology and intelligent methods, the digital economy can more precisely identify inefficiencies in resource allocation, thereby reducing resource waste. For instance, real-time monitoring systems based on big data can dynamically track resource flow, quickly identify mismatches, and ensure efficient movement of resources between polluting and green industries. This accelerates the expansion of efficient, low-pollution industries and facilitates the elimination of high-energy-consuming industries. Additionally, the digital economy has created a more equitable competitive environment for capital flows, helping environmental protection industries and green technology companies gain access to financing channels, driving the rational allocation of funds and technologies in high-tech industries, and improving resource utilization efficiency, thereby reducing carbon emission effects (Tamazian et al., 2009). The application of blockchain technology has also made capital flows more transparent, reducing non-productive capital occupation, further enhancing resource utilization efficiency. The digital economy has also played a significant role in promoting the rational allocation of resources between cities, helping resource-constrained areas improve energy efficiency and accelerate the adoption of green energy solutions (Xu et al., 2022). This collaborative model helps bridge regional development gaps, foster sustainable and eco-friendly synergies, and coordinate resource allocation through efficient digital platforms in urban clusters and metropolitan areas, reducing redundant construction and resource waste, and ultimately achieving regional low-carbon development goals.
3.4 Spatial spillover effect
With the rapid development of the digital economy, its influence is no longer confined to a single region but affects the green low-carbon transformation of surrounding cities through spatial spillover effects. The concept of spatial spillovers is based on spatial economics and technology diffusion theory, emphasizing that the economic performance of a region is not only influenced by its own situation but also by the dynamic influences of neighboring regions. The digital economy, as a highly penetrating and interactive economic form, impacts not just its own region but can also, through technology diffusion, information sharing, and capital flow, influence the green low-carbon processes of neighboring cities, triggering interactions in green low-carbon transformation between different cities (Bai et al., 2024). Specifically, large cities typically have more digital infrastructure and resource advantages, enabling them to promote green low-carbon technologies more rapidly, whereas smaller cities, due to lower levels of digitalization and insufficient resources and technological reserves, may be constrained in their green low-carbon transformation. At the same time, due to the industrial shifts caused by the digital economy, surrounding cities of large cities may become the relocation destinations for high-pollution enterprises, resulting in negative environmental impacts and generating negative spillover effects.
Based on the above analysis, this study proposes the following hypotheses:
Hypothesis 1. The development of the digital economy promotes urban green and low-carbon development.
Hypothesis 2. The digital economy promotes urban green and low-carbon development by facilitating industrial structure upgrading, driving green innovation, and optimizing resource allocation.
Hypothesis 3. The digital economy has spatial spillover effects on urban green and low-carbon transformation.
4 Empirical design
4.1 Model specification
Drawing on Roy et al.'s (2023) work, the baseline regression model is set as follows (Equation 1):
Where: GTFPit denotes the level of urban green low-carbon development in city i in year t. Digit is the level of digital economy development. Controlit represents the set of control variables. μi, σt are city and year fixed effects, respectively. εit is the random error term of the equation. The definitions of the variables are shown in Table 1.
Table 1
| Category | Variable | Symbol | Definition |
|---|---|---|---|
| Explained variable | Level of urban green and low-carbon development | GTFP | Green total factor productivity |
| Core explanatory variable | Level of digital economy development | Dig | Principal component analysis |
| Control variable | Degree of government intervention | Gov | General fiscal budget expenditures/regional GDP |
| Foreign direct investment | Fdi | The proportion of foreign enterprise investment in the country | |
| Level of economic development | Pgdp | The logarithm of regional GDP | |
| Population density | Des | Permanent population/urban area | |
| Industrial structure adjustment | Str | Value added of secondary and tertiary industries/value added of primary industry | |
| Degree of openness to the outside world | Ope | Total exports and imports/regional GDP | |
| Level of infrastructure | Inf | Fixed asset investment/regional GDP | |
| Level of financial development | Fin | Year-end financial institution loan and deposit balance/regional GDP |
Variable definitions.
4.2 Explained variable
This research evaluates the progress of urban green and low-carbon initiatives by leveraging green total factor productivity (GTFP), adopting the framework established by Dai et al. (2025). To this end, a non-radial, non-oriented super-efficiency SBM model is utilized to quantify GTFP, providing a robust and nuanced analysis of sustainable urban development. The indicator system used to construct the model is shown in Table 2. The specific model is as follows (Equation 2):
Table 2
| Type | Elements | Definition | Unit |
|---|---|---|---|
| Input indicators | Labor input | Year-end number of employed persons | Thousands of people |
| Capital stock | The perpetual inventory method is used to calculate the capital stock: where K is the capital stock and δ is the depreciation rate |
Ten thousand yuan | |
| Energy input | Electricity consumption | kWh | |
| Output indicators | Expected output | Real GDP | Billion yuan |
| Non-expected output | Total industrial sulphur dioxide emissions | Ten thousand tons | |
| Total industrial wastewater discharge | Tons | ||
| Total industrial smoke and dust emissions | Tons |
Indicator system for the level of urban green and low-carbon development.
Where: ρ is the efficiency value; j is the number of decision units; m, q1, q2 are the index numbers of input, expected output and non-expected output respectively; are their corresponding relaxation variables, respectively.
Since innovation is a continuous and long-term process, and GTFP is measured at a specific time point based on the super-efficiency SBM model, this study employs the GML index introduced by Chung et al. (1997) to ensure temporal comparability of efficiency values and capture the dynamic evolution of TFP. The formula for calculating this index is as follows (Equation 3):
The GML index is decomposed into technical efficiency change index EC and technological progress change index TC (Equations 4–6):
Among them, the GML index is used to indicate the green transition efficiency, the EC index reflects the changes in internal systems, management styles and other factors, and the TC index reflects the progress and improvement in the level of production technology and processes. When these indices exceed 1, it indicates an enhancement in green total factor productivity over the prior period.
4.3 Core explanatory variable
Level of digital economy development. This research adopts the methodology outlined by Horvey et al. (2024), utilizing four key metrics to evaluate the progression of the digital economy: internet accessibility, workforce engagement in tech-related fields, productivity in associated industries, and mobile phone usage. The indicator system for the level of digital economy development is shown in Table 3. Specifically, Broadband internet access, acts as the cornerstone of digital economic growth, offering a clear snapshot of a region’s digital infrastructure. By analyzing the number of broadband users per 100 residents, this paper can assess the reach of the digital economy and how effectively the public leverages online resources. Meanwhile, employment in computer services and software industries represents a critical pillar of the digital economy, highlighting its significance in driving innovation and economic transformation. The number and share of workers in these industries reflect the scale and technological intensity of digital economic development. This indicator captures the demand for human resources and the reshaping of the labor market, revealing regional human capital accumulation and innovation capabilities in the digital economy. Per Capita Telecommunication Business Volume measures the overall output of telecommunication, internet, and related digital services, as well as the intensity of demand for these services by residents and businesses. This indicator can be used to assess the direct contribution of the digital economy to regional economic growth. Mobile Phone Penetration reflects the extent to which mobile communication technology is integrated into daily life and indicates the level of application and social reach of mobile communication services. However, since the digital economy is a broad and complex concept, the indicators selected in this study mainly reflect some core and representative aspects of its development. While these indicators can effectively capture its key features, there may still be some dimensions that are not covered. To mitigate these potential limitations, this paper will employ various robustness checks, such as replacing core variables, in subsequent sections to ensure the validity and reliability of the research findings.
Table 3
| Elements | Definition | Unit |
|---|---|---|
| Internet accessibility | The density of broadband users per 100 individuals | % |
| Workforce engagement in tech-related fields | The share of employees in computer services and software sectors compared to total urban employment | % |
| Productivity in associated industries | The average revenue generated per person in telecommunications | yuan |
| Mobile phone usage | The prevalence of mobile phone users per 100 residents | % |
Indicator system for the level of digital economy development.
To accurately assess the development level of the digital economy, this study employs Principal Component Analysis (PCA). PCA enables the reduction of the dimensionality of complex data while preserving the variance that is crucial to understanding the digital economy’s development. Specifically, PCA allows the four key metrics to be combined into a single composite indicator, which simplifies the analysis by aggregating different aspects of digital economic development into one score. This approach not only improves the interpretability of the data but also helps mitigate potential multicollinearity among the indicators, making the results more robust and reliable. The steps are as follows:
In the first step, the raw indicator data are standardized and transformed to obtain the standardized matrix Z, with Zij as its elements (Equation 7).
Where:
Second, the correlation coefficient matrix R of the normalized matrix Z is calculated (Equation 8).
Where rij (i, j = 1, 2, …, p) is the correlation coefficient between xi and xj.
Third, solve the characteristic equation |R-θIp| = 0 to find the p eigenvalues θi (i = 1, 2, …, p) and the eigenvectors ei (i = 1, 2, …, p) corresponding to the eigenvalues θi, where θi ≥ 0 and ‖ei‖ = 1. Take the eigenvalues θ1, θ2, …, θm (m ≤ p) and the corresponding m principal components with the cumulative contribution rate (i = 1,2, …, p) of 85% or more, and solve the system of equations Rb = θj b to obtain the unit eigenvector set.
Fourth, principal component loadings were calculated to reflect the degree of inter-correlation between the principal components and the original variables (Equation 9).
Fifth, calculate the composite index score of the principal components of the digital economy PCAi = a1i X1 + a2i X2 + ⋯ + api XP (i = 1, 2, …, m). This calculation yields the final evaluation value, with the weight assigned based on the variance contribution rate of each principal component.
Finally, the indicator scores are standardized using the formula (Equation 10):
Where: Xi represents the indicator value, Ximax and Ximin denote the maximum and minimum values for that particular indicator, respectively.
4.4 Control variable
Based on the study by Qian et al. (2024), several control variables that may influence the green and low-carbon development of cities are selected. Specifically, (1) Degree of Government Intervention: The government can drive urban green and low-carbon transformation by leveraging policy frameworks, financial incentives, and regulatory oversight (Shao et al., 2022). (2) Foreign Direct Investment: FDI not only injects capital and technological advancements but also fosters urban green initiatives and low-carbon growth through technology transfer and the adoption of eco-friendly production methods (Dong and Xia, 2022). (3) Level of Economic Development: A city’s economic development level serves as a vital metric for assessing its economic vitality and the quality of life for its inhabitants, both of which significantly shape the demand and capacity for sustainable practices (Guo et al., 2023). (4) Population Density: Population density has a direct impact on how quickly resources are used up and how polluted a city gets, so it’s a big factor in how easily a city can go green and cut emissions (Hussain et al., 2022). (5) Industrial Structure Adjustment: By streamlining the industrial base and reducing industries with high energy consumption and high pollution, the status of environmental protection and low-carbon industries can be truly enhanced (Wan et al., 2024). (6) Degree of openness to the outside world: Trade openness exacerbates environmental problems in both the short and long term (Ozkan et al., 2023). (7) Level of infrastructure: The state of a city’s infrastructure is a cornerstone for advancing green and low-carbon initiatives, encompassing the robustness of transportation networks, energy systems, and environmental protection measures (Zhang et al., 2021). (8) Level of financial development: green finance, green investments, and other financial instruments play an important role in promoting urban green and low-carbon development, affecting the financial support and resource allocation efficiency for green initiatives (Hou and Shi, 2024).
4.5 Data sources and descriptive statistics
The data for this study were sourced from the National Bureau of Statistics of China, the China Urban Statistical Yearbook, the China Population Statistical Yearbook, the Green Patent Database, the National Energy Administration, the government work reports of various cities, and the Digital Finance Research Center of Peking University. To ensure data accessibility, the sample includes 278 prefecture-level cities and above in China from 2012 to 2023. Missing data were supplemented using linear interpolation, and to minimize the impact of outliers, all variables underwent a 1% bilateral shrinking tail treatment. The descriptive statistics of the obtained indicators are presented in Table 4.
Table 4
| Variables | N | Mean | SD | Min | Max |
|---|---|---|---|---|---|
| GTFP | 3,336 | 1.332 | 0.518 | 0.139 | 3.777 |
| Dig | 3,336 | 0.349 | 0.115 | 0.0280 | 0.692 |
| Gov | 3,336 | 0.192 | 0.0930 | 0.0110 | 0.537 |
| Fdi | 3,336 | 0.0160 | 0.0170 | 0 | 0.130 |
| Pgdp | 3,336 | 10.87 | 0.560 | 9.007 | 12.48 |
| Des | 3,336 | 5.753 | 0.910 | 1.063 | 7.255 |
| Str | 3,336 | 1.099 | 0.548 | 0.0630 | 3.214 |
| Ope | 3,336 | 0.174 | 0.260 | 0.0170 | 1.940 |
| Inf | 3,336 | 0.901 | 0.405 | 0.182 | 2.436 |
| Fin | 3,336 | 2.625 | 1.152 | 0.637 | 7.607 |
Descriptive statistics of variables.
5 Baseline results
5.1 Baseline regression
This study begins with a baseline regression analysis, the outcomes of which are detailed in Table 5. Across columns (1) through (4), the coefficients for Dig consistently demonstrated a positive trend, all reaching statistical significance at the 1%level. These findings underscore the substantial, beneficial impact of the digital economy on fostering urban green and low-carbon development, thereby bolstering the credibility of research hypothesis 1.
Table 5
| Variables | Pooled OLS | FE | Pooled OLS | FE |
|---|---|---|---|---|
| (1) | (2) | (3) | (4) | |
| Dig | 1.0721*** (0.0755) | 0.9077*** (0.2151) | 0.6177*** (0.0738) | 0.5932*** (0.1897) |
| Control | No | No | Yes | Yes |
| City FE | No | Yes | No | Yes |
| Year FE | No | Yes | No | Yes |
| N | 3,336 | 3,336 | 3,336 | 3,336 |
| R-squared | 0.0567 | 0.0804 | 0.2702 | 0.2745 |
Baseline regression.
Values in parentheses are standard errors, ***p < 0.01.
5.2 Endogeneity test
5.2.1 Instrumental variables estimation
Given that multiple factors influence the green and low-carbon development of cities, this paper acknowledges that some relevant variables may be omitted, despite controlling for several key factors. To address the endogeneity issue, the instrumental variable (IV) method is employed. Drawing from Huang et al. (2019), this paper uses the number of fixed-line telephones per 100 people in 1984 as an instrumental variable for the digital economy. First, fixed-line telephones, as a key component of traditional communication infrastructure, reflect the early development level of communication networks in a region. The growth of the digital economy is closely linked to the advancement of infrastructure such as broadband networks and data centers, which are often built upon the foundation of traditional communication technologies, thus satisfying the relevance condition. Second, since this is historical data, it is temporally separated from the measurement of current digital economy development, ensuring exogeneity. Building on the methodology outlined by Nunn and Qian (2014), this paper incorporates an interaction term between the per capita count of fixed-line telephones in 1984 and the prior year’s revenue from national IT services as an instrumental variable. To address potential heteroskedasticity, all variables undergo log transformation. As illustrated in Table 6, the re-estimated coefficient for the variable Dig remains statistically significant at the 1% level following the application of the instrumental variable approach.
Table 6
| Variables | First stage | Second stage |
|---|---|---|
| Dig | GTFP | |
| (1) | (2) | |
| lnIV | 0.2136*** (0.034) | |
| lnDig | 4.2544*** (0.578) | |
| Control | Yes | Yes |
| City FE | Yes | Yes |
| Year FE | Yes | Yes |
| Kleibergen-Paap rk LM | 8.023 [0.0015] | |
| Kleibergen-Paap rk Wald F | 12.862 {8.96} | |
| N | 3,336 | 3,336 |
Endogeneity test (1).
Values in parentheses are standard errors, ***p < 0.01. Standard errors in small brackets; p-values in middle brackets; Stock-Yogo test critical values in large brackets.
5.2.2 SYS-GMM
The results from the benchmark regression indicate that the digital economy promotes urban green low-carbon development. However, green low-carbon development may also reverse its influence on the progress of the digital economy, implying the existence of bidirectional causality. To address this endogeneity issue, this study employs the SYS-GMM model, using lagged dependent variables as instrumental variables. The results in Table 7 show that the level of digital economy development has a significantly positive impact on urban green low-carbon development, which corroborates the conclusions of the benchmark model. Additionally, the AR(1) and AR(2) test results suggest that only first-order autocorrelation exists, in line with the assumptions for SYS-GMM estimation. Therefore, the positive effect of the digital economy on urban green low-carbon development is robust.
Table 7
| Variables | GMM |
|---|---|
| Dig | 1.0078*** (0.0759) |
| Control | Yes |
| City FE | Yes |
| Year FE | Yes |
| AR(1) | 4.79 |
| P-AR(1) | 0.000 |
| AR(2) | 1.35 |
| P-AR(2) | 0.177 |
| N | 3,058 |
Endogeneity test (2).
Values in parentheses are standard errors, ***p < 0.01.
5.3 Robustness test
5.3.1 Replacement of core variables
(1) Replacement of Explained Variables. Green total factor energy efficiency serves as a holistic metric to evaluate the sustainability of an economy’s production processes, striking a balance between economic performance and environmental stewardship. Building on the foundation of traditional total factor productivity, it integrates critical elements such as energy usage and pollution levels. Reference to the practice of Arabi et al. (2015), this study employs the SBM-Malmquist-Luenberger index as a substitute for the primary explanatory variables to gauge green total factor energy efficiency. After re-running the regression, the findings, detailed in column (1) of Table 8, reveal that the coefficient for Dig continues to hold a positive value. This indicates that the findings from the baseline regression are not affected by the substitution of the core explanatory variables.
Table 8
| Variables | Replace explained variable | Replace explanatory variable | Control more variables | Excluding 2020 | Consider relevant policies | |
|---|---|---|---|---|---|---|
| (1) | (2) | (3) | (4) | (5) | (6) | |
| Dig | 0.1985*** (0.0584) | 1.1342*** (0.2255) | 0.6282*** (0.1939) | 0.6194*** (0.1941) | 0.5818*** (0.1899) | 0.5951*** (0.1884) |
| HR | 1.9987* (1.0802) | 2.1539** (1.0870) | ||||
| ST | −1.7069 (1.1456) | |||||
| NE | 0.1361** (0.0537) | |||||
| Control | Yes | Yes | Yes | Yes | Yes | Yes |
| City FE | Yes | Yes | Yes | Yes | Yes | Yes |
| Year FE | Yes | Yes | Yes | Yes | Yes | Yes |
| N | 3,336 | 3,336 | 3,336 | 3,336 | 3,058 | 3,336 |
| R-squared | 0.2392 | 0.2782 | 0.2785 | 0.2805 | 0.2794 | 0.2840 |
Robustness test.
Values in parentheses are standard errors, *p < 0.1, **p < 0.05, ***p < 0.01.
(2) Replacement of Core Explanatory Variables. The digital financial inclusion index serves as a barometer for the real-world progress of the digital economy, capturing both the integration of digital tools within the financial industry and the breadth and caliber of financial services offered (Ullah et al., 2025). With this in mind, the study swaps out its primary explanatory variables for the digital financial inclusion index and conducts a fresh regression analysis. As illustrated in column (2) of Table 8, the Dig variable continues to show a strong positive correlation, reinforcing the reliability of the findings.
5.3.2 Control the level of human capital (HR) and science and technology (ST)
The enhancement of human capital promotes the efficient use of resources, technological innovation, and the cultivation of green awareness (Degirmenci et al., 2024), while the development of science and technology contributes to optimizing the energy structure (Jalil et al., 2025), upgrading industries, and fostering green lifestyles (Sridhar et al., 2024). Both of these factors play a significant role in the relationship between the digital economy and urban green low-carbon development. Therefore, this study incorporates the levels of human capital and science and technology to more accurately assess their actual impact. The level of human capital is gauged by the proportion of students enrolled in standard undergraduate programs relative to the overall population at year’s end, while the level of scientific and technological advancement is assessed using the logarithmic value of expenditures in these fields. As illustrated in columns (3) and (4) of Table 8, the regression analysis reveals that the coefficient continues to hold a positive value.
5.3.3 Excluding the year 2020
Given the significant impact of the global COVID-19 pandemic in 2020, which caused substantial changes in economic activity patterns, this paper excludes data from 2020 to eliminate the potential interference of this exceptional event. The regression results show that the coefficient of Dig remains positive.
5.3.4 Considering the impact of relevant policies
In consideration of the potential influence of other related policies, this study incorporates policy variables into the model. Specifically, a dummy variable for whether a city is designated as a “new energy city” and the interaction term with the approval time (NE) are included as control variables. The findings presented in column (6) of Table 8 demonstrate that, even with these policy effects taken into consideration, the digital economy continues to positively influence the advancement of urban green low-carbon initiatives.
6 Further analysis
6.1 Mechanism analysis
Building on the theoretical groundwork laid earlier, the expansion of the digital economy is a real boon to green and low-carbon urban development. It can help traditional industries go digital, promote green innovation, and ensure that resources are used efficiently. With that in mind, this paper will put these three channels to the test, figuring out how they work in practice. The mechanism variables are measured and the regression results are as follows.
6.1.1 Industrial structure upgrading
Industrial Structure High-levelness (IS): This is measured by the proportion of the tertiary industry’s output in GDP (Yu and Li, 2023).
Industrial Structure Rationalization (TL): This is measured using the inverse Theil index, which is a negative indicator (Gan et al., 2011). The calculation formula is as follows (Equation 11):
Where i represents different industries, Y represents the output value, and L represents the number of employees.
6.1.2 Green innovation efficiency (inn)
Measured by taking the logarithm of the total number of green patent applications (Block et al., 2025).
6.1.3 Resource allocation efficiency (all)
Under the influence of market mechanisms, effective resource allocation refers to the condition where factors can freely flow to achieve maximum social output. Resource misallocation or market distortion represents a deviation from this ideal state. To quantify the degree of factor market distortion in various cities, this paper refers to the methodology of Li and Zhangyin (2021), using the production function method. The specific steps are as follows:
First, the Cobb–Douglas production function is set in logarithmic form (Equation 12).
Second, the degree of market distortion is derived by calculating the deviation between the marginal product of the factors and their prices:
Capital Market Distortion (Equation 13):
Labor Market Distortion (Equation 14):
Overall Market Distortion (Equation 15):
Third, actual data for each city are used to calculate the factor market distortion (distit) for each city and year. Here, Y represents GDP, K represents capital stock (estimated using the perpetual inventory method), L represents labor (measured by the total number of employees at the end of the year), r represents the capital price (set at 10%, including a 5% depreciation rate and a 5% real interest rate), and w represents the labor price (measured by the average wage of employees). The capital elasticity α and labor elasticity β are estimated using regression from the Cobb–Douglas production function.
Fourth, ratio of distit value of each city to the maximum value of all cities in the current year was used to measure the degree of resource mismatch of each city as a proxy variable of resource allocation efficiency.
6.1.4 Mechanism test results
As shown in Table 9, column (1) and (2) show that the coefficient of Dig is significantly positive. This indicates that the digital economy has driven the upgrading and rationalization of the industrial structure. With the application of digital technologies, the share of the tertiary sector in the industrial structure has increased, with service industries and high-tech sectors gradually replacing labor- and energy-intensive industries, thereby reducing resource consumption and carbon emissions. At the same time, the digital economy has made resource utilization more efficient through technological means, leading to a more rational industrial structure. Such efficient allocation allows resources to be used more precisely, thereby reducing unnecessary consumption and emissions. Column (3) shows that Dig has a significantly positive coefficient. This means that a thriving digital economy gives green innovation a real boost. As data piles up and machine learning gets smarter, the digital economy is able to dig out and fine-tune valuable information and lessons learned, which provides crucial data for green innovation to flourish. Column (4) shows that the Dig coefficient is significantly negative. This shows that the digital economy can help reduce the mismatch of resources and improve the efficiency of people’s use of existing resources. This result demonstrates that digital technologies, as emerging tools for resource allocation, can break down spatial and temporal limitations, reduce information asymmetries, and improve the efficiency and accuracy of resource allocation. By enhancing resource allocation efficiency, cities can better distribute and utilize various resources, such as energy, land, and water. This helps reduce wasteful consumption, lower carbon emissions, and mitigate environmental pollution, ultimately contributing to green and low-carbon development. These findings validate research hypothesis 2.
Table 9
| Variables | IS | TL | Inn | All |
|---|---|---|---|---|
| (1) | (2) | (3) | (4) | |
| Dig | 0.1049*** (0.0313) | 0.9709** (0.4074) | 0.8404** (0.3641) | −0.0329*** (0.0108) |
| Control | Yes | Yes | Yes | Yes |
| City FE | Yes | Yes | Yes | Yes |
| Year FE | Yes | Yes | Yes | Yes |
| N | 3,336 | 3,336 | 3,336 | 3,336 |
| R-squared | 0.9185 | 0.4312 | 0.7877 | 0.8994 |
Mechanism analysis.
Values in parentheses are standard errors, **p < 0.05, ***p < 0.01.
6.2 Threshold effect
The core objective of environmental regulation is to curb pollution and maintain ecological balance through policy formulation and implementation. Against the background of insufficient environmental regulation, the digital economy has become more of a driving force for economic growth and industrial transformation, and has yet to fully realize its positive role in the field of green and low-carbon. Enterprises in the digital economy often prioritize economic gains and market expansion, with a relatively weak sense of environmental protection. At the same time, the imperfect environmental regulation system may provide space for the development of highly polluting and energy-consuming digital industries, which will aggravate carbon emissions and environmental pressure in cities. As the intensity of environmental regulations increases, the potential of the digital economy to promote green and low-carbon development will be gradually released. Strengthened environmental regulations encourage digital economy companies to adopt cleaner production processes and sustainable business models, effectively reducing carbon emissions and environmental pollution. Therefore, the impact of digital economy on urban green and low-carbon development is characterized by a threshold effect. In this study, the general industrial solid waste comprehensive utilization rate (Env) is used as a proxy variable for environmental regulation, and a threshold regression model is used to investigate the nonlinear impact mechanism of the digital economy on urban green and low-carbon development. In the model setting stage, the number of thresholds was tested by bootstrap self-sampling method. The test results in Table 10 show that the single-threshold model passes the test at the 5% significance level (F = 23.70, p = 0.0130), while the double-threshold model does not reach the significance level. Based on this, the single threshold model was used in this study for the analysis, and the specific model settings are as follows (Equation 16):
Table 10
| Variable | Thresholds | F-value | P-value | BS | Self-sampling critical value | ||
|---|---|---|---|---|---|---|---|
| 10% | 5% | 1% | |||||
| Env | Single | 23.70** | 0.0130 | 300 | 17.8533 | 23.1000 | 33.3102 |
| Double | 6.68 | 0.5767 | 300 | 18.5408 | 23.1783 | 35.8386 | |
Threshold estimation.
** p < 0.05.
where β is the coefficient, I(.) is the indicator function, and Env is the critical value. The other variables are consistent with the baseline model.
According to the results of the regression analysis of the threshold effect in Table 11, when the environmental regulation is at a high level, the promotion of the digital economy on green and low-carbon development is significantly better than the effect at a low level of regulation. The internal mechanism of this phenomenon lies in the fact that strict environmental regulation exerts significant transformation pressure on enterprises, making the traditional high-pollution, high-energy consumption production mode unsustainable, thus forcing enterprises to enhance their core competitiveness through green innovation. In this context, enterprises are more inclined to use the digital economy platform to obtain advanced green technologies, products and service resources, and then promote green innovation practices. The empirical results show that the intensity of environmental regulation is positively correlated with the demand for green technological innovation, and the technologies, information and resources provided by the digital economy can be more easily transformed into green innovations, which significantly enhances the promotion effect.
Table 11
| Variables | GTFP |
|---|---|
| Dig (Env <=89.7) | 0.0774 (0.1448) |
| Dig (Env>89.7) | 0.2763** (0.1121) |
| Control | Yes |
| City FE | Yes |
| Year FE | Yes |
| N | 3,336 |
| R-squared | 0.2484 |
Threshold effect regression results.
Values in parentheses are standard errors, **p < 0.05.
6.3 Heterogeneity analysis
6.3.1 Urban administrative level heterogeneity
Considering that provincial capital cities often serve as regional political, economic, and cultural centers, they typically enjoy higher administrative levels, more abundant resources, and more developed infrastructure. A number of elements can really shape how the digital economy grows and how it affects cities becoming greener and more eco-friendly. With that in mind, this paper breaks our sample down into provincial capitals and other cities to take another look. As shown in column (1) of Table 12, the Dig coefficient is significantly positive. However, in column (2), the coefficient does not quite hit that 5% significance mark. What this seems to tell us is that the digital economy gives urban green and low-carbon development a boost in provincial capitals. But, in other cities, that effect just is not as clear-cut. The reasons likely stem from the fact that provincial capital cities generally have more policy resources, better digital infrastructure, and higher economic development levels, which collectively create favorable conditions for the rapid development of the digital economy and its active role in green and low-carbon development. In contrast, non-provincial capital cities may face some shortcomings in these aspects, limiting the positive effect of the digital economy on green and low-carbon development, making this promotion less pronounced.
Table 12
| Variables | Provincial capital | Non-provincial capital | Eastern | Central | Western |
|---|---|---|---|---|---|
| (1) | (2) | (3) | (4) | (5) | |
| Dig | 0.8305*** (0.3024) | 0.4665 (0.4256) | 0.2134 (0.4756) | 1.1951*** (0.4204) | 0.1711 (0.2693) |
| Control | Yes | Yes | Yes | Yes | Yes |
| City FE | Yes | Yes | Yes | Yes | Yes |
| Year FE | Yes | Yes | Yes | Yes | Yes |
| N | 312 | 3,024 | 1,200 | 1,188 | 948 |
| R-squared | 0.3999 | 0.2233 | 0.2261 | 0.2740 | 0.3565 |
Heterogeneity analysis (1).
Values in parentheses are standard errors, ***p < 0.01.
6.3.2 Urban location heterogeneity
Due to China’s vast territory, the eastern region, with its higher economic output, better digital infrastructure, and advantageous location, provides a more favorable environment for the development of the digital economy, resulting in a relatively higher level of digital economic development. Conversely, the central and western regions exhibit certain gaps in digital technology application and high-end technological development compared to the eastern region. The digital divide could result in stark disparities in how the digital economy influences urban green and low-carbon initiatives across various regions. To unpack these differences, cities are categorized into three geographical clusters: Eastern, Central, and Western. As illustrated in Table 12, columns (3) and (5), the coefficients for Dig fail to show statistical significance. However, column (4) reveals a significantly positive coefficient at the 5% level. This suggests that the digital economy plays a meaningful role in driving green and low-carbon development in central cities, whereas its impact in Eastern and Western regions appears negligible. The anomaly of a high level of digital economic development in the eastern region with a limited impact on green low-carbon development may be attributed to several factors. First, the eastern region has already undergone significant industrialization, meaning that although the digital economy has brought technological innovation and productivity improvements to the area, the potential for green transformation is relatively limited. The scope for further green transition is therefore smaller. Second, there is competitive pressure among eastern cities, with digital resources being contested and superficial low-carbon initiatives preventing the overall green development effects from materializing. Lastly, as some cities improve their green development levels, pollution and environmental burdens may be shifted to neighboring areas. This cross-regional pollution spillover effect is particularly prominent in regions with rapid digital economic growth. This phenomenon further diminishes the positive impact of the digital economy on the low-carbon transition. In western cities, although the digital economy can contribute to green development to some extent, challenges such as infrastructure deficiencies, technological limitations, and resource constraints may hinder the effectiveness of this promotion. In contrast, central cities may benefit from unique advantages in digital economy development. On the one hand, the central region has relatively good infrastructure and industrial foundations, providing strong support for the digital economy. On the other hand, central cities are likely undergoing industrial transformation, where the digital economy plays a crucial role in driving this shift. Moreover, central cities may not experience pronounced “competition effects” in green development but instead exhibit a more coordinated development trend, facilitating the digital economy’s positive role in promoting green and low-carbon development.
6.3.3 Urban resource endowment heterogeneity
Resource-based cities and non-resource-based cities differ significantly in their economic trajectories, industrial frameworks, and energy usage. Cities built around natural resources often hinge their economies on mining and refining raw materials, resulting in a less diversified industrial landscape and heightened energy demands. This reliance may limit the role of the digital economy in promoting their green and low-carbon development. In contrast, non-resource-based cities generally have more diversified industrial structures and lower dependence on natural resources, providing more potential and space for the digital economy to drive green and low-carbon transformation. To tease out the nuances, the sample was split into resource-dependent and non-resource-dependent cities to see how the digital economy and green, low-carbon growth played out differently. Looking at Table 13, Column (1), the Dig coefficient is not significant, but in Column (2), and it’s a significant positive. What this suggests is that in cities that aren’t so reliant on natural resources, the digital economy, with its agile and varied industrial makeup, can really give a boost to green, low-carbon initiatives. It seems to do this by making better use of resources, getting more bang for their buck in terms of energy, and coming up with new, low-carbon tech solutions to cut down on emissions. However, when it comes to cities heavily invested in resources, the digital economy does not seem to be making much of a dent in promoting greener practices. This is primarily because these cities rely heavily on natural resource extraction, have relatively simple industrial structures, and employ inefficient energy consumption patterns, making transformation challenging. Furthermore, resource-based cities may face issues such as insufficient digital technology penetration, weak innovation capabilities, and talent outflow, which hinder the potential of the digital economy in facilitating their green and low-carbon transformation.
Table 13
| Variables | Resource-based city | The third batch of low-carbon cities | ||
|---|---|---|---|---|
| Yes | No | Yes | No | |
| (1) | (2) | (3) | (4) | |
| Dig | 0.4727 (0.3052) | 0.5821** (0.2366) | 0.6391*** (0.2466) | 0.5662 (0.5437) |
| Control | Yes | Yes | Yes | Yes |
| City FE | Yes | Yes | Yes | Yes |
| Year FE | Yes | Yes | Yes | Yes |
| N | 1,332 | 2004 | 1,317 | 2019 |
| R-squared | 0.1931 | 0.2926 | 0.3341 | 0.2589 |
Heterogeneity analysis (2).
Values in parentheses are standard errors, **p < 0.05, ***p < 0.01.
6.3.4 Urban policy intensity heterogeneity
In an effort to bolster the development of ecological civilization and drive green, low-carbon growth, while ensuring China meets its greenhouse gas emission reduction goals, the National Development and Reform Commission launched two rounds of low-carbon pilot initiatives across provinces and cities in 2010 and 2012. Building on this momentum, the NDRC expanded the national low-carbon city pilot program by introducing a third batch, aiming to encourage a broader range of cities to explore and document innovative approaches to sustainable development. For this study, cities were categorized into two groups based on when they implemented the policy: those in the third pilot batch and those outside the program. Regression analyses were conducted using these groupings. The findings, presented in Table 13, reveal that within the pilot group, the digital economy plays a pivotal role in advancing urban green and low-carbon development. Pilot cities benefit from early access to experimentation and innovation, allowing them to adopt more proactive strategies in areas like policy design, technological advancements, and industrial transformation. These efforts amplify the role of digital technologies in fostering sustainable urban growth, creating a stronger synergy between the digital and green economies. On the other hand, non-pilot cities, lacking comparable policy frameworks and innovative drive, experience a more muted impact from the digital economy in their pursuit of low-carbon development.
7 Spatial spillover effect analysis
When analyzing how the digital economy influences urban green and low-carbon development, baseline regression analysis serves as a useful tool to uncover the direct link between these two factors. However, this approach fails to account for the interconnectedness of cities in geographic space. Cities do not operate in a vacuum—their economic activities, technological advancements, and environmental policies often ripple outward, affecting neighboring areas through trade, investment, information sharing, and other mechanisms. This phenomenon, known as the spatial spillover effect, underscores the importance of adopting a more nuanced analytical framework. By integrating spatial spillover models, which utilize spatial lag and error terms, researchers can better quantify how the digital economy’s influence extends across regions. This approach not only deepens our understanding of the digital economy’s multifaceted role in promoting sustainability but also strengthens the theoretical basis for crafting policies that foster regional collaboration. As such, delving into the spatial spillover effect, building on the foundation of benchmark regression, is an essential and inseparable aspect of this research.
7.1 Spatial weight matrix
In constructing the spatial weight matrix, this study employs three types: the adjacency spatial weight matrix, the geographical distance spatial weight matrix, and the economic-geographical nested matrix. The calculation method is as follows, where i and j represent different cities, respectively.
Adjacency Spatial Weight Matrix is constructed as a 0–1 matrix (Equation 17):
Geographical Distance Spatial Weight Matrix is based on the geographical distance (dij) between two regions (Equation 18):
Economic-Geographical Nested Matrix simultaneously considers the impact of both geographical and economic factors (Equation 19):
7.2 Spatial autocorrelation test
Spatial autocorrelation testing is fundamental to spatial econometric analysis. Spatial autocorrelation can be measured by various statistics, with the most commonly used being Moran’s I index. It considers the ratio of the covariance to the variance of spatial location relationships, with values ranging from [−1,1]. When Moran’s I index is >0, it indicates positive spatial autocorrelation; when <0, it indicates negative spatial autocorrelation; and when it is close to 0, it suggests random spatial distribution. The formula for calculating the global Moran’s I index is as follows (Equation 20):
Where: n represents the total number of regions, x represents the observed values, wij is the spatial weight matrix, is the mean and s2 is the variance of the observed values.
Table 14 presents the Moran’s I index calculation results and test values for urban green and low-carbon development using three different weight matrices from 2012 to 2023. The results show that the Moran’s I index for each year is significantly above zero for each year and clears the 1% significance threshold. This points to a distinct spatial dependency.
Table 14
| Variables | Adjacency spatial matrix | Geographical distance spatial matrix | Economic-geographical nested matrix | |||
|---|---|---|---|---|---|---|
| I | p-value | I | p-value | I | p-value | |
| GTFP2012 | 0.116 | 0.014 | 0.012 | 0.004 | 0.023 | 0.006 |
| GTFP2013 | 0.120 | 0.012 | 0.017 | 0.001 | 0.027 | 0.002 |
| GTFP2014 | 0.117 | 0.004 | 0.031 | 0.009 | 0.020 | 0.001 |
| GTFP2015 | 0.112 | 0.016 | 0.019 | 0.005 | 0.012 | 0.004 |
| GTFP2016 | 0.120 | 0.006 | 0.023 | 0.008 | 0.021 | 0.005 |
| GTFP2017 | 0.103 | 0.002 | 0.014 | 0.000 | 0.024 | 0.005 |
| GTFP2018 | 0.126 | 0.011 | 0.012 | 0.018 | 0.031 | 0.000 |
| GTFP2019 | 0.117 | 0.030 | 0.023 | 0.004 | 0.032 | 0.001 |
| GTFP2020 | 0.129 | 0.070 | 0.037 | 0.005 | 0.055 | 0.000 |
| GTFP2021 | 0.155 | 0.004 | 0.051 | 0.001 | 0.066 | 0.009 |
| GTFP2022 | 0.170 | 0.050 | 0.062 | 0.001 | 0.067 | 0.004 |
| GTFP2023 | 0.173 | 0.040 | 0.065 | 0.002 | 0.057 | 0.004 |
Global Moran’s I index of urban green and low-carbon development.
The above results indicate that there is spatial correlation between high-quality agricultural development in this region. However, local correlation analysis is necessary to know in which provinces the spatial aggregation phenomenon exists. The following formula is used to determine the local Moran’s I index (Equation 21):
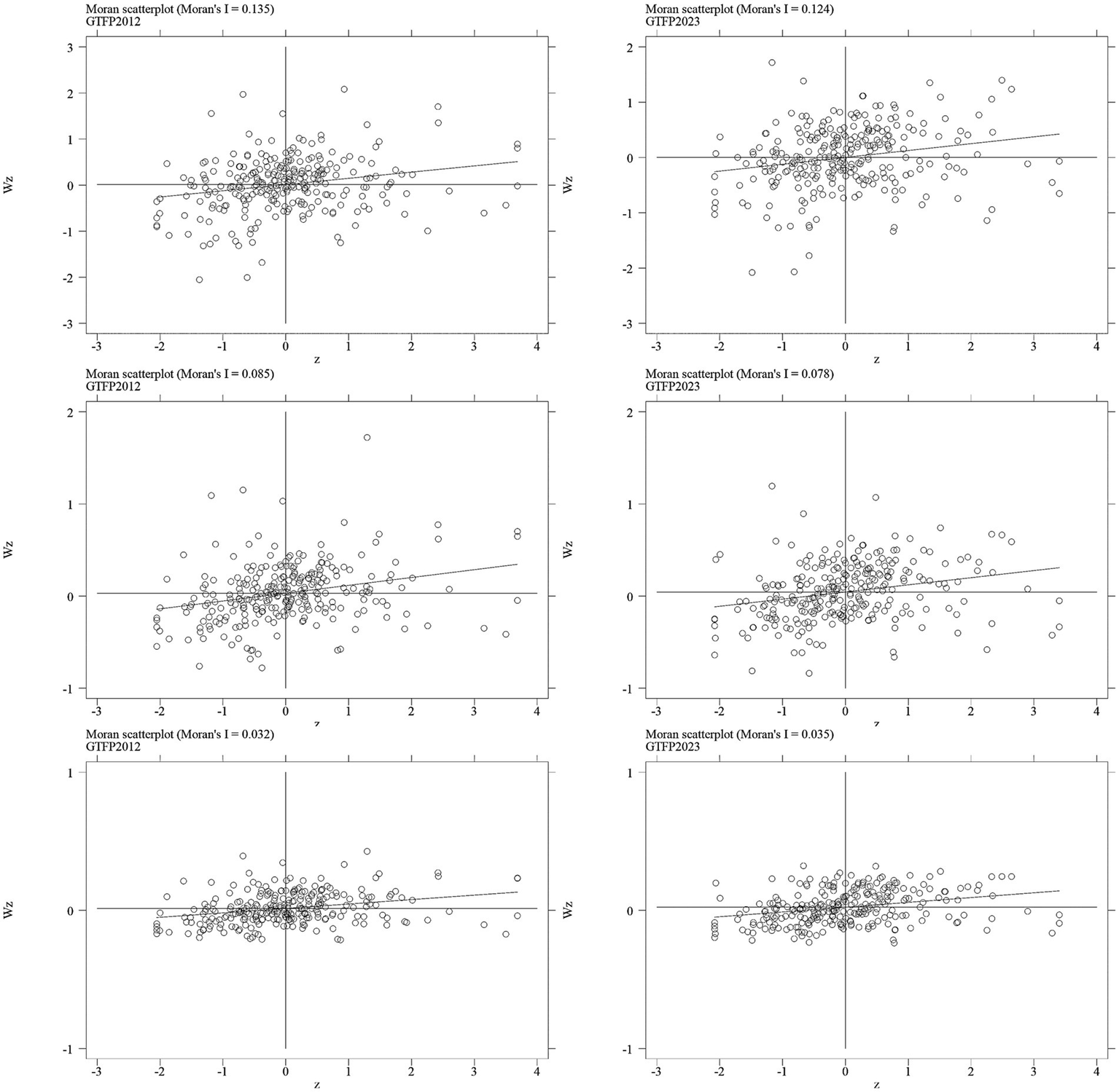
Figure 2 draws the Local Moran’s I scatter plots of 278 cities at prefecture level and above in China in 2012 and 2023 from top to bottom by using the adjacency space weight matrix, geographical distance space weight matrix and economic geography nested matrix. The local Moran’s I of most provinces are distributed in H-H and L-L type regions, indicating the existence of positive spatial autocorrelation.
Figure 2

Moran scatter plot for GTFP in 2012 and 2023.
To further explore the spatial and temporal evolution of urban green low-carbon development, four years—2012, 2016, 2020, and 2023—were selected for analysis of the spatial characteristics of urban green low-carbon development. As illustrated in Figure 3, this research utilizes the natural breakpoint approach to categorize urban green low-carbon development into five distinct tiers. Over time, from 2012 to 2023, the majority of cities have seen a notable uptick in their green low-carbon initiatives. Geographically, however, the landscape is far from uniform, with stark contrasts between regions. Cities in the eastern part of the country generally lead the pack, boasting higher levels of green low-carbon development, while their counterparts in the central and western areas lag behind. Additionally, neighboring cities often mirror each other’s progress, highlighting a clear spatial clustering effect. From a regional perspective, the northeastern and central zones have made significant strides, with a visible trend of interconnected growth. A larger number of cities have climbed to the third and fourth tiers of development, underscoring the accelerated pace of green low-carbon progress in these regions.
Figure 3

Spatial and temporal evolution characteristics of urban green and low-carbon development in 278 prefecture-level cities in China in 2012, 2016, 2020 and 2023.
7.3 Selection of spatial econometric model
Before conducting the econometric regression analysis, a series of diagnostic tests are required to determine the most appropriate model. The preliminary tests begin with a spatial correlation test to assess whether there are interactive effects between regions. The post-estimation tests consist of three steps: First, the Hausman test is used to determine whether to apply a fixed effects or random effects model. Second, a Likelihood Ratio (LR) test is conducted, where the Spatial Durbin Model (SDM) is assumed initially, and then comparisons are made to determine if it deteriorates into a Spatial Error Model (SEM) or Spatial Lag Model (SLM). Third, a Wald test is performed, also to assess whether the SDM degrades into the SEM or SLM. Finally, the results of these tests are compared to determine the most suitable spatial econometric model.
The test results are shown in Table 15. The Hausman test results indicate that the null hypothesis can be rejected, suggesting the use of a fixed effects model. Furthermore, based on the LR and Wald test results, both support the selection of SDM. Therefore, the study chooses SDM for empirical analysis.
Table 15
| Method | Results | ||
|---|---|---|---|
| Adjacency spatial matrix | Geographical distance spatial matrix | Economic-geographical nested matrix | |
| LR spatial lag | 83.23*** | 75.61*** | 104.43*** |
| LR spatial error | 82.14*** | 76.20*** | 102.99*** |
| Wald spatial lag | 40.96*** | 47.17*** | 36.56*** |
| Wald spatial error | 39.79*** | 46.59*** | 41.90*** |
| Hausman Test | 40.49*** | 40.80*** | 42.15*** |
Hausman test, LR test and Wald test results.
*** p < 0.01.
7.4 Spatial econometric model specification and results
Based on the comprehensive analysis in the previous sections, this study establishes a dynamic Spatial Durbin Model that includes a one-period lag of the dependent variable. The specific model specification is as follows (Equation 22):
Where: is the spatial lag term of the explained variable. is the spatial lag term of the explanatory variable. ρ is the spatial autocorrelation coefficient. Other variables are the same as above.
Table 16 outlines the decomposition results from the Spatial Durbin Model, revealing distinct patterns in the relationship between digital economy growth and urban green and low-carbon development. Across all three weight matrices, the direct and total effects show positive coefficients, whereas the indirect effects are negative. This suggests that while a region’s digital economy advancement directly boosts its own green and low-carbon initiatives, it may inadvertently hinder similar efforts in nearby cities. Essentially, the rise of the digital economy drives industrial restructuring, fosters green technology innovation, improves information flow efficiency, and optimizes resource distribution. These shifts enable cities to phase out polluting, energy-intensive industries, making local production processes more efficient, sustainable, and eco-friendly, thereby curbing carbon emissions. However, this progress can come at a cost to neighboring areas. As one city aggressively expands its digital economy, it often draws resources away from surrounding regions, stifling their capacity to invest in green and low-carbon projects. In some instances, this dynamic may even result in environmental burdens being displaced onto adjacent areas, exacerbating regional disparities in sustainability efforts. For example, high-pollution and high-energy-consuming industries might be relocated to nearby cities due to cost or policy factors, thus increasing the environmental burden and carbon emissions in those cities. This finding supports the validity of hypothesis 3.
Table 16
| Variables | Adjacency spatial matrix | Geographical distance spatial matrix | Economic-geographical nested matrix | ||||||
|---|---|---|---|---|---|---|---|---|---|
| Direct | Indirect | Total | Direct | Indirect | Total | Direct | Indirect | Total | |
| (1) | (2) | (3) | (4) | (5) | (6) | (7) | (8) | (9) | |
| Dig | 0.6759*** (0.0000) | −0.3228*** (0.0222) | 0.3530*** (0.0139) | 0.6565*** (0.0000) | −0.1647** (0.0663) | 0.4918*** (0.0121) | 0.6346*** (0.0000) | −0.3760*** (0.0199) | 0.2586*** (0.0121) |
| Control | Yes | Yes | Yes | Yes | Yes | Yes | Yes | Yes | Yes |
| City FE | Yes | Yes | Yes | Yes | Yes | Yes | Yes | Yes | Yes |
| Year FE | Yes | Yes | Yes | Yes | Yes | Yes | Yes | Yes | Yes |
| rho | −0.1040*** | −0.1908*** | −1.2806*** | ||||||
| (0.0003) | (0.0010) | (0.0000) | |||||||
| sigma2_e | 0.1881*** | 0.1889*** | 0.1861*** | ||||||
| (0.0000) | (0.0000) | (0.0000) | |||||||
| N | 3,336 | 3,336 | 3,336 | 3,336 | 3,336 | 3,336 | 3,336 | 3,336 | 3,336 |
| R-squared | 0.2844 | 0.2844 | 0.2844 | 0.2751 | 0.2751 | 0.2751 | 0.2266 | 0.2266 | 0.2266 |
Decomposition effects of SDM model estimation results.
Values in parentheses are standard errors, **p < 0.05, ***p < 0.01.
8 Conclusion and policy recommendations
8.1 Conclusion and discussion
This study uses panel data from 278 prefecture-level and above cities in China from 2012 to 2023 to empirically examine the impact of the digital economy on urban green low-carbon development and explore its underlying mechanisms. Additionally, this study analyzes the spatial spillover effects to reveal the dynamic impact of the digital economy on regional green low-carbon development. The results show that the digital economy significantly promotes urban green low-carbon development, which is consistent with existing literature (Liu M. R. et al., 2024; Tan et al., 2024). However, the novelty of this study lies in further exploring how the digital economy promotes urban green low-carbon transformation through the transformation and upgrading of traditional industries, the promotion of green innovation, and the optimization of resource allocation efficiency.
The threshold effect test results indicate that when the intensity of environmental regulation reaches a higher level, the positive effect of the digital economy on urban green low-carbon development is significantly enhanced. Similar conclusions are found in the studies of Wang et al. (2024) and Liu Y. et al. (2024), further validating the key role of environmental policies in fostering the synergy between the digital economy and green low-carbon development.
In terms of heterogeneity analysis, existing research generally suggests that the impact of the digital economy on green low-carbon development is more significant in regions with more developed digital economies (Zhang W. K. et al., 2023). However, this study innovatively finds that the promotion of green low-carbon development by the digital economy is more pronounced in capital cities, central regions, non-resource-based cities, and the third batch of low-carbon pilot cities. This finding is of great significance, as it indicates that the low-carbon promotion effect of the digital economy exhibits heterogeneity across different regions and stages of development, suggesting that policymakers should design differentiated low-carbon development strategies based on regional characteristics.
Spatial econometric analysis shows that the digital economy has a significant positive impact on regional green low-carbon development, but it generates a negative spatial spillover effect on surrounding cities. This result aligns with some of the controversies in existing research. Some studies argue that the digital economy has a positive spillover effect within a region (Zhang and Zhang, 2024), while other studies point out that the spillover effect of the digital economy may exhibit a negative impact in certain cases (Yuan et al., 2024). The findings of this study suggest that, while the digital economy plays a positive role in promoting green low-carbon development, its spillover effects need further attention, especially in the context of policy coordination and regional cooperation, to mitigate adverse spillover effects and promote green collaborative development across regions.
8.2 Policy recommendations
(1) Strengthening digital infrastructure to drive urban green and low-carbon development. Governments at all levels should increase investment in digital infrastructure, prioritizing the development of high-speed networks, cloud computing platforms, and artificial intelligence systems. These infrastructures not only directly support green and low-carbon urban development but also provide the technological foundation for industrial digital transformation, facilitating cross-sectoral carbon reduction efforts. Additionally, governments should introduce targeted fiscal support policies. On the one hand, attracting private capital to participate in digital infrastructure construction can diversify and sustain funding sources. On the other hand, incentivizing corporate green innovation can enhance the efficiency of innovation resource allocation and promote urban green transitions.
(2) Rationalize environmental regulations and improve the mix of incentive-compatible policies. Governments can incentivize enterprises to engage in green innovation by introducing progressively increasing environmental requirements, so as to avoid falling into a “passive carbon reduction” mode of merely meeting minimum requirements. Policies should encourage enterprises to utilize the technological advantages of the digital economy to improve resource efficiency and reduce pollutant emissions through the provision of financial subsidies and tax exemptions to promote digital green transformation. The government should also focus on avoiding disrupting the normal relationship between supply and demand, and ensuring that the transition does not lead to a break in the production chain or economic volatility. Overly stringent or sudden policy changes may affect the stability of enterprises’ production or even trigger market instability. Therefore, policy design should take into account the need to balance environmental and economic objectives to ensure that environmental regulations can be smoothly integrated into existing market mechanisms and promote green and low-carbon development without destroying the industrial structure.
(3) Implementing differentiated policies based on city characteristics to ensure a low-carbon transition driven by the digital economy. Government should tailor digital economy policies to their cities’ economic structures, resource endowments, and low-carbon transition needs. For provincial capital cities, policies should leverage their regional influence by promoting digital economy innovation projects that drive low-carbon development across surrounding areas. Resource-based cities should explore new green development models underpinned by digital technologies to break away from traditional resource-dependent growth patterns. Such localized policy designs will enhance policy effectiveness and implementation efficiency while ensuring sustainable urban development.
(4) Establishing regional coordination mechanisms to mitigate the negative effects of spatial spillovers. To prevent regional competition issues arising from uneven digital economy development, cities should establish cross-regional cooperation mechanisms that facilitate the sharing of information, technology, and financial resources. Specifically, Low-Carbon Cooperation Zones could be established between neighboring cities to promote the shared application of green and low-carbon technologies. Strengthening regional collaboration will optimize resource allocation, prevent imbalances in development, and ensure that the benefits of digital economy growth extend across broader regions, ultimately fostering a more widespread green and low-carbon transition.
8.3 Limitations and future research directions
This study is based on data from China, which, as the world’s second-largest economy, is of certain representativeness. However, due to its unique political, economic, and social context, the generalizability of the findings may be limited. Future research could expand the sample to include data from other countries or regions to further validate the broader applicability and regional differences of the impact of the digital economy on low-carbon development.
Second, while this study has chosen three mainstream spatial weight matrices, spatial correlations in reality are often multidimensional, involving factors such as economic, geographical, and historical-cultural elements. However, existing spatial econometrics methods typically set spatial weight matrices based on a single factor, failing to fully capture the complex spatial relationships between economies. Therefore, future studies should place greater emphasis on the scientific design of spatial matrices, conducting systematic research to explore how to accurately set and test the validity of spatial weight matrices.
Statements
Data availability statement
The datasets presented in this study can be found in online repositories. The names of the repository/repositories and accession number(s) can be found in the article/Supplementary material.
Author contributions
JL: Conceptualization, Data curation, Formal analysis, Methodology, Software, Validation, Writing – review & editing. CQ: Project administration, Supervision, Validation, Writing – review & editing.
Funding
The author(s) declare that financial support was received for the research and/or publication of this article. This research was funded by the National Social Science Foundation of China (No. 23CJY019).
Conflict of interest
The authors declare that the research was conducted in the absence of any commercial or financial relationships that could be construed as a potential conflict of interest.
Generative AI statement
The author(s) declare that no Gen AI was used in the creation of this manuscript.
Publisher’s note
All claims expressed in this article are solely those of the authors and do not necessarily represent those of their affiliated organizations, or those of the publisher, the editors and the reviewers. Any product that may be evaluated in this article, or claim that may be made by its manufacturer, is not guaranteed or endorsed by the publisher.
Supplementary material
The Supplementary material for this article can be found online at: https://www.frontiersin.org/articles/10.3389/frsc.2025.1591826/full#supplementary-material
References
1
Arabi B. Munisamy S. Emrouznejad A. (2015). A new slacks-based measure of Malmquist–Luenberger index in the presence of undesirable outputs. Omega51, 29–37. doi: 10.1016/j.omega.2014.08.006
2
Bai D. Li M. Wang Y. Mallek S. Shahzad U. (2024). Impact mechanisms and spatial and temporal evolution of digital economy and green innovation: a perspective based on regional collaboration within urban agglomerations. Technol. Forecast. Soc. Chang.207:123613. doi: 10.1016/j.techfore.2024.123613
3
Block J. Lambrecht D. Willeke T. Cucculelli M. Meloni D. (2025). Green patents and green trademarks as indicators of green innovation. Res. Policy54:105138. doi: 10.1016/j.respol.2024.105138
4
Bunje M. Y. Abendin S. Wang Y. (2022). The multidimensional effect of financial development on trade in Africa: the role of the digital economy. Telecommun. Policy46:102444. doi: 10.1016/j.telpol.2022.102444
5
Chen R. Wang Y. F. Wang Q. Zhang L. L. Xiong R. X. (2025). Unleashing the digital dividend: exploring how the digital economy promotes the construction of new urbanization in China's 284 prefecture-level cities?Econ. Anal. Policy85, 818–834. doi: 10.1016/j.eap.2024.12.028
6
Chen Z. Xu W. (2025). The role of the digital economy in enhancing green innovation: evidence from Chinese A-share listed enterprises. Financ. Res. Lett.71:106381. doi: 10.1016/j.frl.2024.106381
7
Chen X. Zhou P. Hu D. (2023). Influences of the ongoing digital transformation of the Chinese economy on innovation of sustainable green technologies. Sci. Total Environ.875:162708. doi: 10.1016/j.scitotenv.2023.162708
8
Chung Y. H. Färe R. Grosskopf S. (1997). Productivity and undesirable outputs: a directional distance function approach. J. Environ. Manag.51, 229–240. doi: 10.1006/jema.1997.0146
9
Dai S. Tang D. Li Y. Lu H. (2025). Digital trade, trade openness, FDI, and green total factor productivity. Int. Rev. Financ. Anal.97:103777. doi: 10.1016/j.irfa.2024.103777
10
Degirmenci T. Aydin M. Cakmak B. Y. Yigit B. (2024). A path to cleaner energy: the nexus of technological regulations, green technological innovation, economic globalization, and human capital. Energy311:133316. doi: 10.1016/j.energy.2024.133316
11
Dong Y. Xia W. (2022). Foreign direct investment and green total factor productivity in China: an empirical study based on systematic GMM and threshold models. Shanghai J. Econ.8, 94–106. doi: 10.19626/j.cnki.cn31-1163/f.2022.08.009
12
Gan C. Zheng R. Yu D. (2011). The impact of industrial structure change on economic growth and fluctuation in China. Econ. Res. J.46:4-16+31.
13
Ge Y. Xia Y. Wang T. (2024). Digital economy, data resources and enterprise green technology innovation: evidence from A-listed Chinese firms. Resour. Policy92:105035. doi: 10.1016/j.resourpol.2024.105035
14
Guo B. N. Wang Y. Zhang H. Liang C. Y. Feng Y. Hu F. (2023). Impact of the digital economy on high-quality urban economic development: evidence from Chinese cities. Econ. Model.120:106194. doi: 10.1016/j.econmod.2023.106194
15
Han J. Jiang R. (2024). Enabling low-carbon development in digital economy: theoretical logic and practical path. Stat. Res.41, 54–67. doi: 10.19343/j.cnki.11-1302/c.2024.04.005
16
He Y. Zhang X. Zhang Y. (2025). Can new energy policy promote corporate total factor energy efficiency? Evidence from China's new energy demonstration city pilot policy. Energy318:134782. doi: 10.1016/j.energy.2025.134782
17
Horvey S. S. Odei-Mensah J. Moloi T. Bokpin G. A. (2024). Digital economy, financial development and energy transition in Africa: exploring for synergies and nonlinearities. Appl. Energy376:124297. doi: 10.1016/j.apenergy.2024.124297
18
Hou G. Shi G. (2024). Green finance and innovative cities: dual-pilot policies and collaborative green innovation. Int. Rev. Financ. Anal.96:103673. doi: 10.1016/j.irfa.2024.103673
19
Huang L. Lei Z. (2021). How environmental regulation affect corporate green investment: evidence from China. J. Clean. Prod.279:123560. doi: 10.1016/j.jclepro.2020.123560
20
Huang Q. Yu Y. Zhang S. (2019). Internet development and productivity improvement in manufacturing: internal mechanisms and China's experience. China Indust. Econ.8, 5–23. doi: 10.19581/j.cnki.ciejournal.2019.08.001
21
Hussain M. Wang W. Wang Y. W. (2022). Natural resources, consumer prices and financial development in China: measures to control carbon emissions and ecological footprints. Resour. Policy78:102880. doi: 10.1016/j.resourpol.2022.102880
22
Jalil M. F. Marikan D. A. B. A. Jais M. B. Arip M. A. B. (2025). Kickstart manufacturing SMEs' go green journey: a green hydrogen acceptance framework to enhance low carbon emissions through green digital technologies. Int. J. Hydrog. Energy105, 592–610. doi: 10.1016/j.ijhydene.2025.01.210
23
Kim H. Oh K. Lee D. (2021). The contribution of ecosystem regulating services based on their interrelationship in the urban ecosystem. Appl. Sci.11:9610. doi: 10.3390/app11209610
24
Li K. Kim D. J. Lang K. R. Kauffman R. J. Naldi M. (2020). How should we understand the digital economy in Asia? Critical assessment and research agenda. Electron. Commer. Res. Appl.44:101004. doi: 10.1016/j.elerap.2020.101004
25
Li X. Liu J. Ni P. (2021). The impact of the digital economy on CO2 emissions: a theoretical and empirical analysis. Sustain. For.13:7267. doi: 10.3390/su13137267
26
Li Z. Wang J. (2022). The dynamic impact of digital economy on carbon emission reduction: evidence City-level empirical data in China. J. Clean. Prod.351:131570. doi: 10.1016/j.jclepro.2022.131570
27
Li Q. Zhangyin S. (2021). Financial openness and resource allocation efficiency: evidence from foreign banks entering China. China Indust. Econ.5, 95–113. doi: 10.19581/j.cnki.ciejournal.2021.05.016
28
Ling S. Gao H. Yuan D. (2024). Catalytic role of the digital economy in fostering corporate green technology innovation: a mechanism for sustainability transformation in China. Econ. Anal. Policy84, 278–292. doi: 10.1016/j.eap.2024.09.005
29
Liu M. R. Li S. X. Li Y. Shi J. R. Bai J. (2024). Evaluating the synergistic effects of digital economy and government governance on urban low-carbon transition. Sustain. Cities Soc.105:105337. doi: 10.1016/j.scs.2024.105337
30
Liu Y. Xie Y. X. Zhong K. Y. (2024). Impact of digital economy on urban sustainable development: evidence from Chinese cities. Sustain. Dev.32, 307–324. doi: 10.1002/sd.2656
31
Long Y. Liu L. Yang B. (2024). The effects of enterprise digital transformation on low-carbon urban development: empirical evidence from China. Technol. Forecast. Soc. Chang.201:123259. doi: 10.1016/j.techfore.2024.123259
32
Lyu W. Liu J. (2021). Artificial intelligence and emerging digital technologies in the energy sector. Appl. Energy303:117615. doi: 10.1016/j.apenergy.2021.117615
33
Ma D. Zhu Q. (2022). Innovation in emerging economies: research on the digital economy driving high-quality green development. J. Bus. Res.145, 801–813. doi: 10.1016/j.jbusres.2022.03.041
34
Nunn N. Qian N. (2014). US food aid and civil conflict. Am. Econ. Rev.104, 1630–1666. doi: 10.1257/aer.104.6.1630
35
Ozkan O. Sharif A. Mey L. S. Tiwari S. (2023). The dynamic role of green technological innovation, financial development and trade openness on urban environmental degradation in China: fresh insights from carbon efficiency. Urban Clim.52:101679. doi: 10.1016/j.uclim.2023.101679
36
Pan W. Xie T. Wang Z. Ma L. (2022). Digital economy: an innovation driver for total factor productivity. J. Bus. Res.139, 303–311. doi: 10.1016/j.jbusres.2021.09.061
37
Pei C. Ni J. Li Y. (2019). Approaching digital economy from the perspective of political economics. China Finance Econ. Rev.8, 3–32. doi: 10.1515/cfer-2019-080102
38
Qi Y. Xiao X. Cai C. (2020). Digital reconstruction of industrial organization. J. Beijing Normal Univ.2, 130–147.
39
Qian J. Zhou Y. Hao Q. (2024). The effect and mechanism of digital economy on green total factor productivity — empirical evidence from China. J. Environ. Manag.372:123237. doi: 10.1016/j.jenvman.2024.123237
40
Ranta V. Aarikka-Stenroos L. Väisänen J.-M. (2021). Digital technologies catalyzing business model innovation for circular economy—multiple case study. Resour. Conserv. Recycl.164:105155. doi: 10.1016/j.resconrec.2020.105155
41
Rehman N. U. Nunziante G. (2023). The effect of the digital economy on total factor productivity in European regions. Telecommun. Policy47:102650. doi: 10.1016/j.telpol.2023.102650
42
Ren L. Zhou S. Peng T. Ou X. (2021). A review of CO2 emissions reduction technologies and low-carbon development in the iron and steel industry focusing on China. Renew. Sust. Energ. Rev.143:110846. doi: 10.1016/j.rser.2021.110846
43
Roy S. Gupta S. Tourky R. (2023). The impact of Long-term orientation traits on pandemic fatigue behavior: evidence from the Columbian exchange. J. Econ. Growth28, 1–42. doi: 10.1007/s10887-022-09218-0
44
Shao S. Fan M. Yang L. (2022). Economic restructuring, green technology progress and low-carbon transformation in China: an empirical study from the perspective of overall technology frontier and spatial spillover effect. J. Manage. World38, 46–69+44-10. doi: 10.19744/j.cnki.11-1235/f.2022.0031
45
Shen Y. Yang Z. Zhang X. (2023). Impact of digital technology on carbon emissions: evidence from Chinese cities. Front. Ecol. Evol.11:1166376. doi: 10.3389/fevo.2023.1166376
46
Sridhar K. Akram A. Banat F. (2024). Green extraction technologies for valorization of date seed waste to achieve sustainable development goals: biofunctional and innovative food applications. Food Res. Int.198:115392. doi: 10.1016/j.foodres.2024.115392
47
Sun Y. Hu Z. (2021). Digital economy, industrial upgrading and urban environmental quality improvement. Stat. Decis.37, 91–95. doi: 10.13546/j.cnki.tjyjc.2021.23.020
48
Tamazian A. Chousa J. P. Vadlamannati K. C. (2009). Does higher economic and financial development lead to environmental degradation: Evidence from BRIC countries. Energy Policy37, 246–253. doi: 10.1016/j.enpol.2008.08.025
49
Tan L. S. Yang Z. D. Irfan M. Ding C. J. Hu M. J. Hu J. (2024). Toward low-carbon sustainable development: exploring the impact of digital economy development and industrial restructuring. Bus. Strateg. Environ.33, 2159–2172. doi: 10.1002/bse.3584
50
Teece D. J. (2018). Profiting from innovation in the digital economy: enabling technologies, standards, and licensing models in the wireless world. Res. Policy47, 1367–1387. doi: 10.1016/j.respol.2017.01.015
51
Ullah S. Liew C. Y. Nobanee H. (2025). Digital transactions and financial development: the moderating role of global integration across income levels. Int. Rev. Econ. Finance98:103861. doi: 10.1016/j.iref.2025.103861
52
Wan G. Zhang W. Li C. (2024). How does low-carbon city pilot policy catalyze companies toward ESG practices? Evidence from China. Econ. Anal. Policy81, 1593–1607. doi: 10.1016/j.eap.2024.02.036
53
Wang L. Chen Y. Ramsey T. S. Hewings G. J. D. (2021). Will researching digital technology really empower green development?Technol. Soc.66:101638. doi: 10.1016/j.techsoc.2021.101638
54
Wang Q. Sun J. Y. Pata U. K. Li R. R. Kartal M. T. (2024). Digital economy and carbon dioxide emissions: examining the role of threshold variables. Geosci. Front.15:101644. doi: 10.1016/j.gsf.2023.101644
55
Wang F. Wu L. Yang C. (2010). Research on driving factors of carbon emission growth in China's economic development. Econ. Res. J.45, 123–136.
56
Wang Z. Yu Z. Ma L. (2023). Has the establishment of China's pilot free trade zone promoted low-carbon urban development?China Popul. Resour. Environ.33, 48–61. doi: 10.12062/cpre.20230511
57
Wu R. Hua X. Peng L. Liao Y. Yuan Y. (2022). Nonlinear effect of digital economy on carbon emission intensity—based on dynamic panel threshold model. Front. Environ. Sci.10:943177. doi: 10.3389/fenvs.2022.943177
58
Xu N. Zhao D. Zhang W. Liu M. Zhang H. (2022). Does digital transformation promote agricultural carbon productivity in China?Land11:1966. doi: 10.3390/land11111966
59
Yu H. Li H. (2023). How does the global metal industry value network affect industrial structure upgrading? The perspective of industry chain. Resour. Policy85:104055. doi: 10.1016/j.resourpol.2023.104055
60
Yuan R. X. Wang C. Q. Masron T. A. Ibrahim H. (2024). Digital economy empowerment on carbon emission reduction: an analysis of spatial spillover effects based on temporal heterogeneity. Appl. Econ. 56, 1–15. doi: 10.1080/00036846.2024.2364924
61
Zhang W. K. Fan H. X. Zhao Q. W. (2023). Seeing green: how does digital infrastructure affect carbon emission intensity?Energy Econ.127:107085. doi: 10.1016/j.eneco.2023.107085
62
Zhang M. Liu X. Ding Y. (2021). Assessing the influence of urban transportation infrastructure construction on haze pollution in China: a case study of Beijing-Tianjin-Hebei region. Environ. Impact Assess. Rev.87:106547. doi: 10.1016/j.eiar.2020.106547
63
Zhang Y.-J. Liu Z. Zhang H. Tan T.-D. (2014). The impact of economic growth, industrial structure and urbanization on carbon emission intensity in China. Nat. Hazards73, 579–595. doi: 10.1007/s11069-014-1091-x
64
Zhang Z. Qian X. Coao X. (2023). Research on the green innovation effect of Enterprise digital transformation: substantive innovation or strategic innovation?Ind. Econ. Res.1, 86–100. doi: 10.13269/j.cnki.ier.2023.01.003
65
Zhang T. Zhang R. (2024). The spatial effect of low-carbon development of regional industries driven by the digital economy: evidence from Chinese cities. Human. Soc. Sci. Commun.11:706. doi: 10.1057/s41599-024-03215-x
66
Zhang W. Zhou H. Chen J. Fan Z. (2022). An empirical analysis of the impact of digital economy on manufacturing green and low-carbon transformation under the dual-carbon background in China. Int. J. Environ. Res. Public Health19:13192. doi: 10.3390/ijerph192013192
67
Zhao Z. Zhao Y. Shi X. Zheng L. Fan S. Zuo S. (2024). Green innovation and carbon emission performance: the role of digital economy. Energy Policy195:114344. doi: 10.1016/j.enpol.2024.114344
68
Zhou Q. (2024). Does the digital economy promote the consumption structure upgrading of urban residents? Evidence from Chinese cities. Struct. Chang. Econ. Dyn.69, 543–551. doi: 10.1016/j.strueco.2024.04.001
69
Zhou D. Chu J. (2025). The carbon emission reduction effect of the digital economy from the perspective of biased technological progress. J. Environ. Manag.373:123857. doi: 10.1016/j.jenvman.2024.123857
70
Zhou C. Zhang D. Chen Y. (2022). Theoretical framework and research prospect of the impact of China’s digital economic development on population. Front. Earth Sci.10:943177. doi: 10.3389/feart.2022.988608
Summary
Keywords
green and low-carbon development, digital economy, threshold effect, spatial spillover effect, green innovation
Citation
Liang J and Qiao C (2025) The impact of digital economy on urban green and low-carbon development: mechanism and spatial spillover effect. Front. Sustain. Cities 7:1591826. doi: 10.3389/frsc.2025.1591826
Received
13 March 2025
Accepted
29 April 2025
Published
19 May 2025
Volume
7 - 2025
Edited by
Ismail Suardi Wekke, Institut Agama Islam Negeri Sorong, Indonesia
Reviewed by
Xiumei Xu, Baoshan University, China
Mengru Liu, China University of Geosciences Wuhan, China
Updates
Copyright
© 2025 Liang and Qiao.
This is an open-access article distributed under the terms of the Creative Commons Attribution License (CC BY). The use, distribution or reproduction in other forums is permitted, provided the original author(s) and the copyright owner(s) are credited and that the original publication in this journal is cited, in accordance with accepted academic practice. No use, distribution or reproduction is permitted which does not comply with these terms.
*Correspondence: Cuixia Qiao, qiaocuixia@sdnu.edu.cn
Disclaimer
All claims expressed in this article are solely those of the authors and do not necessarily represent those of their affiliated organizations, or those of the publisher, the editors and the reviewers. Any product that may be evaluated in this article or claim that may be made by its manufacturer is not guaranteed or endorsed by the publisher.