Abstract
The rapid development of digitalization has brought disruptive changes to the economy and life. The effect of digitalization on energy efficiency is explored using a time series dataset from 2003–2019 in Zhejiang Province and is discussed in four aspects: physical foundation, participant, medium, and pathway. The ridge regression estimation results show that digitalization has a positive effect on energy efficiency. Network infrastructure, communication service development, information technology industry development, and digital technology innovation have various degrees of positive contribution to energy efficiency. This study provides valuable insights for improving energy efficiency. Enhancing the physical foundation, participant, medium, and pathway of digitalization are confirmed as ways to improve energy efficiency. This study enriches the theory of energy efficiency in the context of digitalization and has practical implications for improving regional energy efficiency in the digital era.
1 Introduction
The International Energy Agency (IEA) 2017 Global Energy Efficiency Report points out: Energy efficiency is one of the keys to promoting the transformation of the global energy system and improving the environmental problems caused by energy consumption. Exploring energy efficiency in different contexts cuts across the ages and is vital for development and sustainability. Digital technologies and the digital economy permeate numerous energy systems and economic development areas, reshaping business and operational models and disrupting almost all industries (Gómez-Barroso and Marbán-Flores, 2020; Gómez-Barroso and Marbán-Flores, 2020; Li et al., 2021). With the advent of the digital era, the world has experienced an unprecedented digitalization process, and the digital economy and digital transformation continue to grow and prosper (Pan et al., 2022). The digital economy has positive externalities as an intangible asset that reduces information frictions, optimizes the matching of supply and demand, generates significant value, and is virtually costless (Spence, 2021). According to the New Picture of the Global Digital Economy (2020) released by the China Academy of ICT in October 2020, the digital economic aggregate took another step up in 2019. In recent years, the trend of digitalization of the global economy has become more and more prominent. Traditional industries have accelerated the transformation and upgrading to digitalization, networking, and intelligence. The scale of the digital economy has continued to expand. The scale of the value-added of the digital economy has expanded from $30.2 trillion to $31.8 trillion from 2018 to 2019, an increase of $ 1.6 trillion in scale, and the digital economy has become the new driving force of global economic development (Li, 2021). China’s digital economy has entered a mature stage of development. In 2019, China pushed technological innovation and model innovation. The volume of the digital economy ranked second in the world with a scale of $5.2 trillion, surpassing countries such as Germany, Japan, the United Kingdom, and France. In 2019, the scale of digital value-added of domestic industries reached $287524 billion, up 15.56% year-on-year, accounting for 29.0% of GDP, becoming an influential force supporting the development of the national economy (Qianzhan Industrial Research Institute, 2020).
Scholars argue that the digital industry has brought new service forms that have led to the flourishing of the tertiary sector, contributing to macroeconomic growth and industrial structure upgrading (Zhang, 2020). The new scenario brought by the digital economy and digital industries to energy efficiency has triggered a series of studies. A a group of views exists that the use of digital technologies to address energy efficiency is promising. It is argued that the gap between renewable energy attributes and the existing technologies (e.g., intermittent and unpredictable demand compounding) significantly reduces the energy efficiency of renewable energy. It hinders its application, for which energy systems combined with new digital technologies bring a possible benefit (Luo et al., 2019). Scholars believe that an energy revolution with digital and intelligent features has become the development goal for building a clean, low-carbon, secure and efficient energy system in the future (Winskel and Kattirtzi, 2020). However, the boom of the digital industry has also brought some controversies. Some scholars have suggested that the rapid development of networked information technology in the digital economy and new forms of the networked economy such as the energy Internet may affect energy consumption (Ren et al., 2021). The rapid growth of the digital economy, with the increasing use of communication technology-supported tools and products, has led to a surge in demand for electricity in developing countries (Danish et al., 2018). Large-scale power consumption is accompanied by the conversion of different forms of energy, which poses a challenge to energy efficiency. Digitalization is related to regional economic development, industrial structure, and energy structure and should not be built at the expense of energy efficiency. Energy efficiency is a critical energy policy strategy to secure energy supply, reduce energy consumption and greenhouse gas emissions globally, and is also an essential source of competitive advantage that can reduce operational costs (Jiang, 2016; Dunlop, 2019; Smith et al., 2021). In order to achieve energy efficiency goals, it is necessary and urgent to explore the relationship between digitalization and energy efficiency for the improvement of energy efficiency in the digitalization process.
In the past few years, we have seen significant acceleration of the digitalization process, and countries have formulated policies to accelerate digital development. The scale of China’s digital economy continues to expand, digital industrialization is steadily increasing, industrial digitalization is accelerating, and digital governance is gradually improving. From 2014 to 2019, the contribution of China’s digital economy to GDP growth has consistently remained above 50%, and in 2019 it was as high as 67.7%, significantly higher than the contribution of the three industries to economic growth. In 2019, the scale of digital industrialization added value reached 7.1 trillion yuan (Xu, 2021). The digitalization of Zhejiang Province is steadily advancing, and the kinetic energy of the digital economy continues to increase. Zhejiang Province actively promotes the construction and transformation of next-generation Internet (IPv6), with 92.69 million IPv6-covered users. IoT development users reached 121 million in 2019. Since 2014 to 2019, the entire digital economy of the province has increased from 1,094 billion yuan to 269.94 billion yuan, an overall increase of 1.47 times. The proportion of total digital economy to GDP increased by 3.21% per year, from 27.25% to 43.3%. The value-added of the core industries of the digital economy increased by an average annual growth of 16.9%, from 285.4 billion yuan to 622.89 billion yuan (Economy and Information Technology Department of Zhejiang, 2020).
The rapid development of digitalization in Zhejiang Province and China, in general, encouraged the authors to conduct a study and determine its effect on energy efficiency. The primary purpose of this study is to clarify whether the effect of digitalization on energy efficiency is positively promoted or negatively inhibited and to investigate whether digitalization brings about an increase or decrease in energy efficiency. This study aims to understand better the role and significance of the digitalization process on energy efficiency. In addition, the effect of digitalization on energy efficiency and the extent of the effect is carefully explored in terms of physical foundation, participant, media, and pathway. A literature search showed that, there is a scarcity of studies that use empirical methods to explore the effect of digitalization on energy efficiency. Empirical studies help us to grasp the intrinsic link between the two and provide more reliable results for the study. Therefore, we would like to conduct the study as an empirical research.
The primary purpose of this study makes an effort to explore the link between digitalization and energy efficiency in Zhejiang Province. The possible research questions in this study are to investigate 1) whether the effect of digitalization on energy efficiency is positive or negative; 2) which elements brought about by digitalization affect energy efficiency. This study chooses digitalization as the core explanatory variable and energy efficiency as the explanatory variable. It uses time series analysis to analyze the effect of digitalization and energy efficiency in Zhejiang province. We used the ADF test to determine the smooth level of the study factors and obtained the smooth series by taking logarithms. Considering the results of the multicollinearity test of the variables, we use ridge regression estimation to eliminate the effect of multicollinearity. This study will provide suggestions on how the digital boom affects energy efficiency through physical basis, players, mediums, and paths. The rest of the paper is organized as follows. Section 2 is the literature review; Section 3 is the indicator selection and digitalization index system construction; Section 4 contains the methodology and model setting; Section 5 is the results analysis and discussion; Section 6 is the conclusions and suggestions.
2 Literature Review
Researches on digitalization and energy efficiency can be broadly categorized into four areas:
2.1 Digital Technology Application and Effect Analysis
Technological advances in digitalization have contributed to the intelligence of energy systems. Research related to digital technologies focuses on technology development and application perspectives. These studies are the underlying theoretical support for applying and disseminating energy systems and even digital technologies. Correlational studies include an intelligent system for managing energy efficiency (Zekic-Susac et al., 2021), intelligent building energy efficiency sensing and analysis system based on the Internet of Things (IoT) (Plageras et al., 2018), big data in smart grid energy management (Diamantoulakis et al., 2015), blockchain, and energy efficiency management (Schletz et al., 2020), ICT and energy landscape (Khatoon et al., 2019). Some of these scholars have also focused on exploring the effects of digital technology applications. Scholars such as Shehzad are fully aware of the transformative power of digitalization and ICT. Scholars have raised interesting research questions in the face of the disruptive changes brought about by digitalization and have explored and validated the effect of ICT, a vital element of digital research. Related studies have explored the effect of ICT and some related factors on the environment, economic growth, tourism, and related relationships (Shehzad et al., 2019, 2021a, 2021b, 2022; Zeraibi et al., 2020). These results emphasize the importance of ICT development and the positive effect it has on the economy, environment, and several industry development. These results support digitalization, economic development, carbon emissions, and tourism development and policymaking in Asian countries such as Pakistan and China.
2.2 Digitalization for Energy Structure Optimization
Conventional distributed renewable energy sources are limited by technology and therefore inefficient in energy utilization. Digital technologies is groundbreaking for the development of distributed renewables, which opens up new possibilities for digital transformation and clean, sustainable development in the energy sector (Varela, 2018; Borowski, 2021; Kueppers et al., 2021; Sheveleva et al., 2021). Digital technologies can facilitate the adoption of energy storage solutions (Song, 2021). Digitalization and decentralization enhance consumer-centric energy-aware services, which are critical enablers of a transactional energy Internet (Wu et al., 2021). Cloud computing can deliver large-scale data and applications to multiple users, meet the data management of distributed energy, and ensure confidentiality and privacy (Foster et al., 2008; Armbrust et al., 2010; Rusitschka et al., 2010). IoT increases the share of renewable energy in the energy system by connecting energy data to the network and transforming it into information to optimize the energy system (Collier, 2016). These new digital technologies increase the share of renewable energy, thus optimizing the energy structure.
2.3 Effect of Digitalization on Energy Efficiency
Relevant studies explore the energy efficiency improvements resulting from digitalization from the microscopic perspective of companies. As Borowski (2021) shows, companies use emerging digital technologies to improve energy efficiency, reduce operational costs, and boost efficiency (Borowski, 2021). Technological advances and upgrades in emerging digital technologies (e.g., digital twins, virtual and augmented reality, and big data intelligence analytics) have significantly increased automation, connectivity, and flexibility, resulting in increased energy efficiency (Mawson and Hughes, 2019; Seo et al., 2021).
2.4 Technological Advances in the Digital Economy, Industrial Structure and Economic Development
Digital technologies have influenced the development of the circular economy (Okorie et al., 2018). The digital economy has been changing the industrial structure. The need for digital transformation has driven the development of the information industry, which results in rationalization and upgrading of the industrial structure and reduces energy intensity. Most studies hold a supportive view on the effect of digitalization on energy efficiency. However, there are also relevant views that the rapidly developing digital economy has driven economic development, leading to increased energy consumption. The effect on energy efficiency is not apparent. It has been argued that the growth in domestic electricity consumption is closely related to Internet and IT products or services, with large amounts of data moving from devices to data centres requiring relatively high electricity consumption (Andrae and Edler, 2015). These arguments seem to be presented to question the positive effect, and there is no consensus on the effect of digitalization on energy efficiency.
The studies mentioned above reveal that digitalization can give rise to a transformative changes on energy efficiency. The actual results focus on the management and technical application of digitalization, the contribution of digitalization to the energy structure, and the micro and macro effects of digitalization on energy efficiency. The changes brought about by the digital economy improve energy efficiency. Relevant research results focus on representing the application of digital technologies and their results or describing the digital economy’s effects. These results demonstrate the effect of digitalization on companies, organizations, and processes and reveal the ways in which digitalization affects energy efficiency. However, among these results, the effects of digitalization on energy efficiency are still fragmented and inadequate, and the extent of the effect has rarely been explored clearly. There are not enough direct studies on the relationship between the two, and few empirical studies have explored the effect of digitalization on energy efficiency. Therefore, in contrast to previous studies, we adopt a quantitative approach to explore the effect of digitalization on energy efficiency and select representative regions for empirical studies. The empirical study can objectively reveal the relationship between digitalization and energy efficiency, which helps us grasp the intrinsic connection between the two. This study is essential to support the implementation of energy efficiency proposals and energy conservation and emission reduction efforts in regions where digitalization is proposed or already underway. Targeted development proposals are essential to developing a region’s digital economy and energy efficiency. This paper is dedicated to clarifying the role of digitalization on energy efficiency by exploring the effect of the digitalization process on energy efficiency in digital provinces. We can bring insights into energy efficiency in other digital regions. This study aims to explore the effect of digitalization on energy efficiency in Zhejiang province, a leading province in digital development in China.
3 Digitalization Index System
Among several terms used in the field of the digital area, “digital transformation”, “digitization”, and “digitalization” are a few of the core terms that are often discussed. According to Olanipekun and Sutrisna (2021), the transformation effect of digital technology distinguishes “digital transformation” from “digitization”. “Digitization” is simply the conversion of analogue information (e.g., text, photographs, and sound) into digital information (or binary numbers) that a computer can encode. “Digitalization” refers to the broader use of digital technologies to optimize existing business processes and functions through greater coordination, thereby creating more business opportunities and customer value (Olanipekun and Sutrisna, 2021). In this paper, we explore the effect of digitalization on energy efficiency at the macro level rather than a particular technology, so we use “digitalization” and then we analyze the effect of “digitalization”.
According to the connotation of “digitalization”, the focus of digitalization is on using digital technology to create value and make a difference by exerting influence. Therefore, we construct the index system of digitalization based on the physical foundation, participant, medium, and pathway of digitalization. They correspond in turn to four indexes: network infrastructure (NI), communication service development (CSD), IT industry development (ITID), and digital technology innovation (DTI). The digitalization index system is shown in
Table 1.
1) Physical foundation: NI. NI is the physical foundation of digitalization. Digital infrastructures are the premise and foundation for developing the digital industry (Huang and Zhang, 2018). Network infrastructure establishes extensive connections between people and people, people and things, and things and things by technologies such as mobile networks, Wifi, and the IoT. It can realize the actual connection of internal and external (Chen et al., 2020). Based on the researches (Kang et al., 2011; Huang and An, 2015), we measure the NI of a province from mobile phone exchange capacity and length of long-distance optical cable. As network infrastructure, mobile phone exchange capacity, and length of long-distance optical cable are usually used to describe the communication network construction capacity of a particular area in statistical yearbooks.
2) Participant: CSD. Based on the research of Yi et al., mobile phone penetration rate, Internet penetration rate, and the number of mobile phone users are used to represent the regional mobile phones usage which can reflect the allocation of information resources and measure the degree of information services (Zhang et al., 2016; Yi and Liu, 2018). Internet penetration rate represents the degree of informatization development, and we use it to measure the communication service development level.
3) Medium: ITID. The key to digitalization lies in communication networks and practical application, and the information technology service industry is the medium of digitalization. Information technology industry development draws on Li et al. (2017) and Shen and Huang (2020) (Li et al., 2017; Shen and Huang, 2020); GDP of information transmission, software, and information technology service industry and comprehensive telecommunication services are therefore selected as indexes to measure ITID.
4) Pathway: DTI. Investment of R&D funds and the number of information transmission software and information technology service industry (ITSITSI) professional and technical personnel are the levels of regional investment in the development of innovation in the digital information technology industry. Based on the digital technology innovation indexes determined by Shen and Huang (2020), we select investment of R&D funds and the number of ITSITSI professional and technical personnel as indexes to measure digital technology information level in the province.
TABLE 1
| Digitalization | 1 Network infrastructure (NI) | 1.1 Mobile telephone exchange capacity |
| 1.2 Length of long-distance optical cable | ||
| 2 Communication service development (CSD) | 2.1 Mobile phone penetration rate | |
| 2.2 Internet penetration rate | ||
| 2.3 Number of mobile phone users | ||
| 3 Information technology industry development (ITID) | 3.1 GDP of information transmission, software and information technology service industry | |
| 3.2 Total telecommunications services | ||
| 4 Digital technology innovation (DTI) | 4.1 Investment of R&D funds | |
| 4.2 Number of information transmission software and information technology service industry (ITSITSI) professional and technical personnel |
Digitalization index system.
4 Methodology
This paper constructs a digitalization index system and uses the entropy method to determine the digitalization value. We construct regression equations using digitalization as core explanatory variables, respectively and introduce control variables to reduce interference to improve the estimation effect and assess the relationship between digitalization and energy efficiency. Considering the ADF test results, to better address the problem of multicollinearity that arises in this paper, we use ridge regression estimation as the estimation method, which has more advantageous characteristics in dealing with data with multicollinearity in this paper.
4.1 Research Subjects
Zhejiang Province is at the forefront of China, with high-quality development in digitalization, urbanization, and energy efficiency. The basic overview of Zhejiang Province is shown in Table 2. Zhejiang Province is the early province to start the construction of the “digital economy” and is the leader of digital development in China. In 2003, Zhejiang Province issued the “Digital Zhejiang” construction plan (2003–2007) and started the digital construction journey, and has been a critical practice place for the strategic idea of “Digital China.” Zhejiang Province ranks first in the country in digital government construction, launched digital government services in 2016. Zhejiang Province has focused on improving digital governance, accelerating the construction of Internet office and improving the digital level of “the most run once” within the authorities. As a representative province of China’s digitalization and digital economy, Zhejiang Province has conscientiously implemented and implemented the strategic deployment of the digital economy and become the only national demonstration zone for information economy development and pilot zone for innovation development (Economy and Information Technology Department of Zhejiang, 2020).
TABLE 2
| Category | Indexes | Quantity | Ranking |
|---|---|---|---|
| Population | Permanent resident population (10,000) | 5,850 | 10 |
| Provincial Gross Domestic Product (billion yuan) | 62,351.74 | 4 | |
| Urbanization rate (%) | 70 | 6 | |
| Land | Land Sold Area (hectare) | 16,833.2 | 5 |
| Percentage of land sold for commercial office land (%) | 11.88 | ||
| Residential land sold % of area (%) | 27.3 | ||
| Industrial land sold as % of area (%) | 52.67 | ||
| Industrial | Number of industrial enterprises above the scale | 45,695 | 4 |
| Gross industrial output value (billion yuan) | 73,766.2 | 4 | |
| Energy | Energy consumption (10000tce) | 22,392.77 | |
| Power consumption (billion KWh) | 4,706.22 | ||
| Industry power consumption (billion KWh) | 3,243.5 |
Basic description table of Zhejiang Province (2019).
Data source: Zhejiang Statistical Yearbook (Zhejiang Provincial Bureau of Statistics, 2020).
The construction progress and amount of digital infrastructure construction are at the forefront of the country. A high-speed and smooth network infrastructure and service system have been formed, covering both urban and rural areas, with 55,000 5G base stations completed and delivered by 2019. More than 200 scenario applications were carried out. The construction of new infrastructure such as cloud computing centers has been steadily promoted. A total of 190 data centers have been built, including five large and super-large data centers. Zhejiang Province annually organized the intelligent technology transformation projects more than 5,000, the total number of industrial robots in service reached 98,800 units. Zhejiang Province’s “1 + N″ industrial Internet platform system is well built, has developed and integrated industrial APP nearly 30,000 models. Zhejiang Province has nearly 70,000 high-tech enterprises, and the electronic World Trade Platform (eWTP) is located in Zhejiang. What’s more, Hangzhou City is located in Zhejiang Province, which includes the largest company in terms of Internet market capitalization in China: the e-commerce giant Alibaba. The digital economy ecosystem in Zhejiang Province is developing rapidly, with 22 provincial-level information economy demonstration zones, 37 digital economy-type characteristic towns, and eight national innovation bases. The relevant digital achievements in Zhejiang Province are shown in Table 3 (Take 2019 as an example) (Economy and Information Technology Department of Zhejiang, 2020).
TABLE 3
| Digital achievements | Value |
|---|---|
| Industry digitalization index ranking | 1 |
| Electronic information manufacturing national ranking | 3 |
| Software industry comprehensive development index ranking | 3 |
| Key industrial enterprises equipment numerical control rate (%) | 60.68 |
| Industrial enterprises machine networking rate (%) | 42.33 |
| Information transmission, software and information technology services employment gross product (billion yuan) | 2,959.67 |
| Employment in information transmission, software and information technology services (10,000) | 82.28 |
| Contribution rate of industrial output value of high and new technology industry (%) | 67.3 |
Digital achievements in Zhejiang Province (2019 for example).
Data source: “Zhejiang Statistical Yearbook”, Zhejiang Province Department of Economy and Information Technology (Zhejiang Provincial Bureau of Statistics, 2020; Economy and Information Technology Department of Zhejiang, 2020).
Zhejiang was chosen as a research subject not only because of its digital infrastructure and digital achievements, but also because of its high digital economic dynamism and development motivation.
Seven cities in Zhejiang Province, including Hangzhou, Ningbo, and Wenzhou, were listed in the top 50 ranking among the top 100 cities in China’s digital economy in 2018. Zhejiang Province is undoubtedly a representative province of China with a comprehensive economic strength-driven digital economy (Institute for Policy and Economics of China Academy of Information and Communication Technology and China Media Group Shanghai Station, 2020). Therefore, it is representative to study the effect of digitalization on energy efficiency in Zhejiang Province.
4.2 Entropy Method
The entropy method is an objective weighting method, which is widely used to determine the value of indexes (Qiu, 2002; Zou et al., 2006). The entropy method determines the weight of an index based on the relative degree of the index on the system as a whole. The index with a large relative degree of change will be assigned a more significant weight. In this study, the entropy value method is used to calculate the value of digitalization. Referring to the results of Qiu (2002) and Zou et al. (2006) on the entropy value method, the specific evaluation methods are shown in Eqs 1–6.
Data standardization. Since there are differences in each indexes’ magnitude and order of magnitude, the indexes are standardized to eliminate the effects.Where xj is the value of the jth index, xmax is the maximum value of the jth index, xmin is the minimum value of the jth index, and x′ij is the normalized value.
Calculate the index information entropy value e and information utility value d.(K is a constant, ).
d j is the information utility value of an indicator, which depends on the gap between the information entropy of the index ej and 1. The larger the information utility value, the greater the weight.
The weights of the indexes wj are:
Calculate the evaluation value of the sample:
4.3 Energy Efficiency
The term energy efficiency differs across study backgrounds. Energy efficiency usually refers to using less energy to produce the same services or sound output (Hans, 2011). Among the abundant studies on energy efficiency, the IEA defines energy efficiency as “a way of managing and restraining the growth in energy consumption” is widely used (International Energy Agency, 2014). Patterson found many energy efficiency indexes, but little attention has been given to precisely defining the term. In general, the energy efficiency indexes follow the ratio of the energy input to the process to the valuable output of the process (Patterson, 1996).
There is no single definition of energy efficiency because using the energy efficiency concepts in engineering, environmental, economic, and other studies may involve different methods and purposes (Proskuryakova and Kovalev, 2015). Energy intensity is not appropriate in terms of technology level, physical level, and production process, which may ignore the factor substitution with other inputs during the production process, which will cause an issue of partial factor energy efficiency measurement in different study perspectives. Nevertheless, in the macro view, when significant differences do not occur in the energy input structure, the measure of energy efficiency based on energy consumption per unit of GDP is reasonable. Proskuryakova and Kovalev (2015) held a similar view, and they deemed that energy consumption per unit of GDP was usually used to measure macro energy efficiency. The increase in energy consumption is related to economic, technical, social, and other factors. The typical energy efficiency measuring indexes include energy consumption per GDP, energy consumption per value-added. Based on the research objectives of this paper, we need to understand the effect of digitalization on energy efficiency at the macro level. Therefore, we need macroeconomic and energy indices to constitute energy efficiency. The formula for calculating energy efficiency is shown in Eq. 7. Based on the above theoretical basis, energy consumption per unit of GDP is used to measure the macro energy efficiency of Zhejiang Province in this study.
4.4 Regression Model
Regression models are established by treating energy efficiency as a dependent variable and digitalization as the independent variable to explore the effects of digitalization level on energy efficiency. The explanatory variables, such as the level of economic development, are explained as follows. The model of the effect of the digitalization level and other factors on energy efficiency is given by the following formula:
Here t denotes the year, EE denotes the energy efficiency, and Dig denotes the digitalization. Meanwhile, referring to other scholars’ results, we put the following factors that can affect energy efficiency into the regression model as control variables. Related explanations are as follows. Several other variables that may affect energy efficiency (referring to Xu et al. 's study (Xu et al., 2021) on EE and its influence factors), the economic development level (pergdp) (Xu et al., 2021), the industrial structure (ind) (Xiong et al., 2019)), the foreign direct investment (fdi) (Hübler and Keller 2010), the innovation level (innovation) (Hübler and Keller, 2010), international trade (trade) (Hübler and Keller, 2010), the population size (population) (Chen et al., 2021) as control variables (Li and Lin, 2017; Shao et al., 2019; Zhao and Lin, 2019). The explanation, units, and range of values of the variables are shown in Table 4 Explanatory Variables of the Equation.
TABLE 4
| Variables | Explanation | Unit | Range of values |
|---|---|---|---|
| EE | Macro energy efficiency (GDP divided by energy consumption value) | Billion Yuan per 10,000 tons of standard coal | Positive numbers |
| Dig | Digitalization index value (According to the “3 index system” using “4.2 entropy method”) | (0,1) | |
| pergdp | Per Capita GDP | Billion yuan/10,000 people | Positive numbers |
| ind | Industrial structure (Secondary Industry GDP/GDP) | % | (0,1) |
| fdi | Foreign direct investment (Foreign investment/GDP) | % | (0,1) |
| innovation | Innovation level (R&D expenditure/GDP) | % | (0,1) |
| trade | International trade (Import and export/GDP) | % | (0,1) |
| population | Population size | 10,000 people | Positive numbers |
Explanatory variables of the equation.
Formula 8 is able to prove whether digitalization has a positive or negative effect on energy efficiency, but a more specific perspective is still needed to analyze its effect in depth. Therefore, a decomposition analysis of the secondary indexes can provide a different starting point for effect analysis. In order to deeply explore the direction and degree of effect, we take four secondary indexes of digitalization as the core explanatory variables and continue to explore their effects and degree from these four dimensions. The secondary indexes of digitalization are measured by NIL, CSDL, ITIDL, DTIL with the regression formulas shown in Eqs 9–12.
The indexes are the same as those mentioned in Eq. 8.
4.5 Unit Root Test
A time series is a non-stationary time series if its mean or function of independent variables varies over time, i.e., it contains unit roots (Dickey and Fuller, 1979, 1981; Phillips and Perron, 1988). Using a non-stationary time series to build a regression equation may lead to the problem of spurious regression. Therefore, when we use a time series, it is crucial to determine whether the variables are smooth. The unit root test is one way to check the smoothness of the variables, and in this paper, the ADF (Augmented Dickey-Fuller) test is performed on the original series.
4.6 Multicollinearity Test
Multicollinearity is a situation in which there is a strong linear correlation between the independent variables in a multiple regression model (Farrar and Glauber, 1967), which may occur in constructing the regression equation. Multicollinearity can lead to significant standard errors of the coefficients, which may cause the coefficient estimates to vary irregularly or even produce opposite estimates, affecting the accuracy and stability of the estimation results or causing significant misspecification. Multicollinearity may exist between variables, so it is essential to test for a high degree of linearity before performing linear regression. The multicollinearity of independent variables in the model is tested by OLS regression, and their VIFs (variance inflation factors) are calculated. According to the VIF test, significant multicollinearity affects the regression results between variables when the VIF exceeds 10 (Marquaridt, 1970). Therefore, traditional OSL regression is not appropriate when there is multicollinearity (Xie and Hawkes, 2015). In this case, Ridge regression is used to estimate the regression to eliminate the effect of multicollinearity.
4.7 Ridge Regression Estimation
Multicollinearity leads to significant standard errors among the independent variables and makes the model unstable. Changing the estimation method can effectively eliminate the risk posed by these standard errors in cases where multicollinearity still exists in the regression model. Ridge regression estimation is one of the most effective methods to deal with multicollinearity. It can obtain acceptable biased estimates with minor mean squared errors in the independent variables through bias tradeoffs (Hoerl and Kennard, 1970a; Wang et al., 2012).
Ridge regression estimate is one of the OLS (Ordinary Least Squares). Hoerl and Kennard first proposed a ridge regression estimate, and then they conducted a more in-depth discussion on ridge regression estimate (Hoerl and Kennard, 1970a, b). Ridge regression does not have the unbiased nature of least squares but still gives reliable and realistic estimates and is suitable for the study of data with covariance problems, especially for the fit of pathological data is more robust than least squares. Ridge regression estimate is a method that can be used when a multicollinearity problem exists, and it will produce better regression results than OLS (Wang et al., 2012).
When a multicollinearity problem exists among independent variables, , there is no unique answer for the equation . Adding matrix kI (k > 0), then is going to be much less singularity. Eq. 13 is called the ridge regression estimate for .
Here k is the parameter of ridge regression, which refers to as biasing constant. The values of k are between 0 and 1. Assume that X has been standardized, then is the independent variable sample correlation matrix. Since the value of k is not unique, it is a group of estimators for the regression parameter. When k = 0, is OLS.
Choosing ridge parameter k is critical for ridge regression, and there are selection criteria for its selection. 1) The ridge estimate of each regression coefficient is stable; 2) k is expected to be as small as possible; 3) k is supposed to supply a reasonable coefficient estimate for variable; 4) k should make ridge coefficients economically meaningful (The ridge estimate sign of regression coefficient is reasonable, while the OLS estimate sign is not.).
Adding penalty term to OLS (see Eq.14), when there is multicollinearity, sum of squares of deviations of estimator will be compressed, resulting in a more ideal regression result. is the penalty parameter. The larger the value of is, the greater the contraction of the regression coefficient is. Some features and benefits of ridge regression estimate are that 1) ridge regression estimate reduces a degree of accuracy and lose some information, and a degree of bias is introduced such that the standard errors are deflated (Hoerl and Kennard, 1970b); 2) reduce the mean square error, get more reliability and stability regression coefficients, and is steadier than OLS when fitting ill-conditioned data; 3) the determination coefficient (R2) of ridge regression is slightly lower than that of OLS, but the significance of regression coefficient is often significantly higher than that of ordinary regression analysis (Raza, Lin and Liu, 2021).
5 Results and Discussion
5.1 Data Source
The raw data used in this study mainly came from the Zhejiang Province Statistical Yearbook, Zhejiang Internet Development Report, and China Stock Market Accounting Research statistics database (CSMAR) (Zhejiang Provincial Government, 2019; Zhejiang Provincial Bureau of Statistics, 2022). Zhejiang Province disclosed the Internet penetration rate and began to release the Zhejiang Province Internet Development Report in 2008, which shows that the Zhejiang Provincial Government has since initially started statistical analysis and disclosure of the development level of the digital economy.
5.2 Calculate the Value of Digitalization of Zhejiang Province
The values of the primary and secondary indexes of digitalization are calculated based on Eqs 1–6 to derive the value of digitalization in Zhejiang Province. The values of digitalization and secondary indexes from 2003 to 2019 are shown in Table 5, and the digitalization trend is shown in Figure 1.
TABLE 5
| Year | Dig | NI | CSD | ITID | DTI |
|---|---|---|---|---|---|
| 2003 | 0.002738 | 0.000000 | 0.000000 | 0.000000 | 0.002738 |
| 2004 | 0.008622 | 0.001730 | 0.002241 | 0.001672 | 0.002978 |
| 2005 | 0.010951 | 0.003213 | 0.004307 | 0.002580 | 0.000852 |
| 2006 | 0.021273 | 0.004073 | 0.006761 | 0.006775 | 0.003665 |
| 2007 | 0.028926 | 0.005549 | 0.010607 | 0.008804 | 0.003967 |
| 2008 | 0.035127 | 0.005761 | 0.014190 | 0.010113 | 0.005064 |
| 2009 | 0.038529 | 0.005393 | 0.016555 | 0.011387 | 0.005194 |
| 2010 | 0.042828 | 0.006068 | 0.020161 | 0.012008 | 0.004592 |
| 2011 | 0.040563 | 0.006873 | 0.011994 | 0.011466 | 0.010231 |
| 2012 | 0.041346 | 0.007742 | 0.013507 | 0.010492 | 0.009605 |
| 2013 | 0.056573 | 0.008851 | 0.015636 | 0.014894 | 0.017192 |
| 2014 | 0.070642 | 0.009053 | 0.017709 | 0.024113 | 0.019767 |
| 2015 | 0.086960 | 0.009565 | 0.021817 | 0.033685 | 0.021892 |
| 2016 | 0.093751 | 0.009743 | 0.017795 | 0.042691 | 0.023521 |
| 2017 | 0.111333 | 0.013039 | 0.023765 | 0.049832 | 0.024696 |
| 2018 | 0.139060 | 0.013185 | 0.043340 | 0.052813 | 0.029721 |
| 2019 | 0.170777 | 0.012528 | 0.064083 | 0.060939 | 0.033226 |
Digitalization of Zhejiang province from 2003 to 2019.
FIGURE 1

Digitalization of Zhejiang province from 2003 to 2019.
The digitalization of Zhejiang Province showed an upward trend from 2003 to 2019. As shown in Figure 1, the rate of increase is slow from 2003 to 2010, but it is evident after 2012. The trend of NI, CSD, ITID, and DTI is generally upward, meaning Zhejiang’s digital construction is true to the good. NI has the slowest pace of increase while ITID has the fastest one. CSD has a significant fluctuation, while DTI has a relatively stable trend. Among them, ITID has the most apparent growth, which represents that the information technology industry has brought the apparent promotion to the digital development of Zhejiang Province. The above situation shows that Zhejiang Province has certain advantages in network infrastructure. It has made great efforts to the development of the information technology industry and achieved specific results. The development of communication service is in the exploratory development stage at the early stage, and the development is not stable. After 2016, it has made apparent progress. Digital technology innovation is developing steadily. Digital innovation technology enterprises and their scientific and technological achievements have promoted the development of the digital economy and boosted the digitalization of Zhejiang Province.
5.3 Calculate the Value of Digitalization of Zhejiang Province
According to Eq. 7 to calculate the energy efficiency, the calculation results are shown in Table 6 the macro energy efficiency of Zhejiang Province from 2003 to 2019 shows a trend of year-on-year improvement.
TABLE 6
| Year | Energy consumption/10 thousand tons standard coal | GDP/100 million yuan | EE |
|---|---|---|---|
| 2003 | 9,522.56 | 9,395.00 | 0.987 |
| 2004 | 10,824.69 | 11,648.70 | 1.076 |
| 2005 | 12,031.67 | 13,417.70 | 1.115 |
| 2006 | 13,218.85 | 15,718.47 | 1.189 |
| 2007 | 14,524.13 | 18,753.73 | 1.291 |
| 2008 | 15,106.88 | 21,462.69 | 1.421 |
| 2009 | 15,566.89 | 22,990.35 | 1.477 |
| 2010 | 16,865.29 | 27,399.85 | 1.625 |
| 2011 | 17,827.27 | 31,854.80 | 1.787 |
| 2012 | 18,076.18 | 34,382.39 | 1.902 |
| 2013 | 18,640.00 | 37,334.64 | 2.003 |
| 2014 | 18,826.00 | 40,023.48 | 2.126 |
| 2015 | 19,610.00 | 43,507.72 | 2.219 |
| 2016 | 20,275.60 | 47,254.04 | 2.331 |
| 2017 | 21,030.01 | 52,403.13 | 2.492 |
| 2018 | 21,674.56 | 58,002.84 | 2.676 |
| 2019 | 22,392.77 | 62,351.74 | 2.784 |
Energy efficiency of Zhejiang Province from 2003 to 2019.
5.4 Unit Root Testing
Based on the introduction in 4.5, we performed unit root tests on the raw data in the dataset and performed unit root tests on their logarithmic series, and the relevant results are shown in Table 7. The ADF test statistic is the statistical result for significance, while the Prob is the probability value corresponding to the statistic. The observed effects of the two are equivalent. Usually, we are used to looking at the prob value to make a judgment. Prob value must be less than a given significance level, usually 0.1, 0.05, 0.01, etc. The closer the prob is to 0, the better. From Table 7, we can see that, except for ind, all of the raw series cannot reject the null hypothesis (p > 0.05) through the unit root test of the raw series, which means that most of the raw series data used for modelling are challenging to meet the stationarity requirement, and using these data for modelling is not convincing and cannot be used.
TABLE 7
| Original sequence | Logarithmic sequence | ||||
|---|---|---|---|---|---|
| Independent variables | ADF test statistic | Prob | Independent variables | ADF test statistic | Prob |
| EE | −1.873 | 0.6215 | EE | −12.393 | 0.0001 |
| Dig | 2.472 | 1.0000 | Dig | −4.643 | 0.0104 |
| perdgp | −0.969 | 0.9201 | perdgp | −5.107 | 0.0001 |
| ind | −2.666 | 0.0112 | ind | −2.420 | 0.3569 |
| fdi | −3.594 | 0.0712 | fdi | −4.584 | 0.0116 |
| innovation | 1.337 | 0.9998 | innovation | −2.623 | 0.0129 |
| trade | −2.922 | 0.1834 | trade | −5.493 | 0.0319 |
| population | −2.678 | 0.2588 | population | −15.112 | 0.0001 |
Unit root test results of original sequences and logarithmic sequences.
For non-stationary time series, we can use methods such as logarithm and difference to improve the stationarity. In this paper, we use the logarithm to improve stationarity. The unit root test results for the log series show that all log series except ind successfully reject the null hypothesis. Therefore, in the regression equation, ind uses the original series, and the other variables use the log series to ensure the stationarity of the original data.
5.5 Multicollinearity Test
The correlation between variables is analyzed, and the results obtained by running the R package are shown in Figure 2 From Figure 2, it can be found that there is a significant correlation not only between EE and Dig but also between Dig and the six control variables. It is observed that there is a strong correlation between all the variables at least above the significance level of 0.5. Therefore, we believe that there are significant intrinsic linkages among the variables influenced by intrinsic factors, and these intrinsic linkages affect the judgment of the effect of digitalization of the variables, especially the core variables, on energy efficiency.
FIGURE 2

Correlation between variables.
In this study, SPSS 23 was used to test the existence of collinearity between variables. As shown in Table 8, all VIFs were greater than 10, showing severe multicollinearity among the variables, which means OLS regression analysis is not feasible. We use ridge regression to obtain the regression equation used in this study to eliminate the influence of multicollinearity.
TABLE 8
| Independent variables | VIF |
|---|---|
| Dig | 279.994 |
| pergdp | 738.296 |
| ind | 117.28 |
| fdi | 14.767 |
| innovation | 753.596 |
| trade | 135.254 |
| population | 347.461 |
Results of multicollinearity test.
5.6 Ridge Regression Estimation
5.6.1 Ridge Regression
In this study, the R package was used for ridge regression estimation. We used cross-validation in R Package to select the ridge coefficients, and the elasticity coefficient was used for the ridge regression estimation. Under different values of lambda, MSE values are shown in Figure 3. In the coordinate system shown in Figure 3, the horizontal axis represents the Log Lambda value, the vertical axis represents the coefficients value, and the upper horizontal axis upper scale represents the number of independent variables. As shown in Figure 3, the number of independent variables is always seven under other parameters (there are seven independent variables in the regression equation). With the increase of Lambda, MSE shows an increasing trend of slowly first and fast afterwards. Moreover, when MSE is the minimum, lambda value is shown in the first dotted line, where lambda = 0.0966. In addition, since the dependent variable is continuous, Gaussian parameters are adopted. After 100 iterations, the ridge coefficient calculated is 0.1, and the variance interpretation rate is 99.51%. This result is consistent with the outcome of cross-validation and has high reliability. Therefore, we determined the ridge coefficient to be 0.1. We also look for ridge coefficient by ridge trace. We also look for ridge coefficient by ridge trace. Figure 3 (right) shows the ridge trace diagram; when the ridge regression coefficient was 0.1, the regression coefficients of all independent variables stabilized, which corresponds to the variation trend of ridge trace. Based on the above verification, the ridge coefficient is 0.1. When the ridge coefficient is determined to be 0.1, the ridge estimates of each regression coefficient in this study are basically stable, and we will get the regression coefficients that meet the economic meaning used to judge the effect of digitalization and its secondary indicators on energy efficiency.
FIGURE 3

Cross validation (left) and ridge trace (right).
R Package can judge the predictive power of data trends in ridge regression analysis. In the scatter diagram (Figure 4), each point corresponding to the fair value and the actual value is close to the line Y = X, which indicates that the fitting effect is good. Figure 4 shows that, with a good fit, our judgment of the relationship between the effect of digitalization on energy efficiency will be considered accurate.
FIGURE 4

Relation of actual and predicted.
When the ridge coefficient is 0.1, the regression coefficients of each variable are shown in the Table 9.
TABLE 9
| Variable | Coefficient |
|---|---|
| Dig | 0.0775 |
| perdgp | 0.1829 |
| ind | −0.2026 |
| fdi | 0.0343 |
| innovation | 0.1598 |
| trade | 0.1300 |
| population | 0.1845 |
| Intercept | 0.5062 |
Ridge regression coefficient.
The normalized regression equation is therefore expressed as follows:
The regression results show that the digitalization level and energy efficiency in Zhejiang province show an increasing yearly trend from 2003 to 2019. The Ridge estimates show that the core explanatory variable Dig exerts a positive influence concerning EE. The coefficients show that the relationship between the variables and EE is consistent with the practical economic implications. Among explaining variables, the industrial structure (the proportion of the secondary industry) exerts a negative influence; the other explanatory variables exerts a positive effect. We concluded that digitalization positively affected energy efficiency, so increasing digitalization promotes energy efficiency.
The explanatory variable “ind” is the secondary industry’s value-added ratio to GDP. The higher the percentage of the secondary industry (and the lower the percentage of the primary and tertiary industry), the more significant the contribution of the secondary industry to GDP in the national economy (and the smaller the contribution of the primary and tertiary industry). The coefficient of ind is -0.2036, which indicates that the negative effect of energy efficiency was more remarkable as the proportion of the contribution of the secondary industry increased. On the contrary, the negative effect of energy efficiency decreased as the share of primary and tertiary industries increased. Digital industries such as ICT brought by the digital economy were attributed to the tertiary industry. As they contributed more and more GDP, the more favourable the energy efficiency was.
Therefore, the industrial structure was a fundamental point to consider the effect of digitalization on energy efficiency. The results in Table 6 confirmed the negative effect of industrial structure on EE, with each unit increasing in and decreasing energy efficiency by −0.2036. On the contrary, the larger the share of tertiary industry in the three major industry, the more substantial the industrial structure advantage, and the more contribution of the same energy consumption to GDP, the more conducive to energy efficiency. We advocated optimizing the industrial structure through the digital economy to achieve the transformation of industries with low energy consumption and high added value. Promoting the digital industry was indeed one of the ways to improve energy efficiency by optimizing industrial structure. Achieving industrial structure upgrading was one of the points that can be achieved and improved in the digital economy.
5.6.2 Digital Secondary Indexes and Energy Efficiency
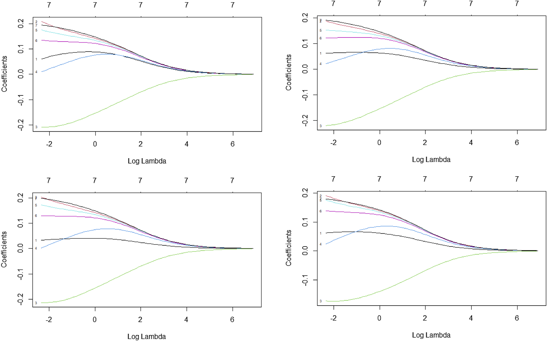
According to the results obtained by R package, R2 of the four models above is 0.9918, 0.9936, 0.9924, 0.9949 in turn, which shows that the model fits well. The results identified digitalization as the driver of EE in Zhejiang Province in the study. Observing the coefficients of the secondary indexes of digitalization, all the indexes played a positive role. NI has the most potent positive effect, followed by DTI and CSD, and ITID has the weaker effect. Using cross-validation (100 iterations), we obtained that the regression coefficients of the respective variables of NI, CSD, ITID and DTI stabilized when their ridge regression coefficients were all 0.1. Four plots in Figure 5 are the ridge traces of NI, CSD, ITID, and DTI in order. Each plot separately confirms the reliability of the Lambda values obtained from the cross-validation. Considering the overfitting, the ridge traces of the regression coefficients of each variable are relatively stable when Lambda is 0.1. The results obtained from the ridge trace plot validation made us confirm that the next regression results are trustworthy. The regression results of each variable are shown below, at their corresponding ridge coefficients (0.1):
FIGURE 5

Ridge traces of secondary indexes.
Network infrastructure:
Communications services development:
Information technology industry development:
Digital technology innovation:
1)Network infrastructure.
We found that Network infrastructure services positive contributed to energy efficiency. For every 1% increase in network infrastructure, the energy efficiency of Zhejiang Province will increase by 0.07358, which shows that increasing investment in digital infrastructure construction and improving network and equipment construction will help improve energy efficiency in Zhejiang Province. The advancement of digitalization requires network and equipment construction. Improving digital infrastructure and abundant information resources is necessary and the foundation for developing the digital economy. With the completion of the regional network infrastructure, digitalization will be further improved. Network infrastructure is the material foundation of communication services and information technology, and it is also the essential condition for digital technology innovation.
The energy system in the digital era rely on digitalization and intelligence. Therefore, network infrastructure played a fundamental role. This is an opportunity but also a challenge for cities with digital processes. The network infrastructure promotes the digitalization process, which affects energy efficiency, which also means that if the network infrastructure is not updated in time, energy efficiency will not adapt to the development pace under the digital economy.
Zhejiang Province takes the lead in digital infrastructure construction. Networks, computing power, new technologies, terminals, and integrated infrastructure have formed a large scale and are influential in the digital structure of Zhejiang Province. The backbone network construction of Zhejiang Province has been expanding continuously, and 5G base stations have been fully covered above county towns and key towns in the province. The IPv6 transformation has been achieved. Many perception facilities such as machine vision and sensors have been deployed in the energy sector, and various multi-functional smart energy services have been promoted in an orderly manner. These network infrastructures were the foundations of energy systems in Zhejiang Province. They will have a positive effect on energy reform and energy efficiency.
In urban energy production and supply systems, digital infrastructure has been widely used in the energy sector, extending from the production side to the consumption side. The new situation of energy systems can facilitate energy production processes and operating models more efficiently, universally and sustainably, and even facilitate the emergence of new business models. Digital infrastructure provide entirely new solutions to significant challenges in the energy sector. Zhejiang Province’s digital infrastructure development becomes an advantage for future energy efficiency. The application of technologies such as the digital twin holds great promise for efficiently handling renewable energy interactions and improving the energy efficiency of renewable energy. However, despite the advantageous position, it still faces the challenge of scaling up the digital infrastructure and fully unleashing the value of the digital infrastructure is also a test.
2)Communications services development.
We concluded that the Communications services positive contributed to energy efficiency. Communication services is an important participant in digital development, providing physical support for the digitalization of the three industries. New forms such as smart grid and energy Internet combine energy systems with emerging digital technologies. Combining the energy system and emerging digital technologies requires a high-quality network environment and communication service foundation. The popularization of the Internet can reduce information asymmetry, optimize resource allocation, accelerate the flow of labour and capital, and create more value per unit of energy consumption. Because of this, it is possible to optimize production and operation activities, tap energy-saving potential and improve energy efficiency.
Communication services can optimize the allocation of market elements, reduce transaction costs and resource flow costs, and improve energy efficiency. The more users and Internet and mobile devices coverage, the greater the amount of data generated and the more information value discovered, consistent with extant research. When the communication services level is improved, the network effect of communication services will appear; that is to say, when mobile phones and the Internet become more popular, their value will continue to increase. Therefore, the scale effect and network effect of communication service development will be an important opportunity to promote energy efficiency in Zhejiang Province.
The software and information service industry in Zhejiang Province has made significant contributions to the digital economy. The development of communication services in Zhejiang Province has obvious advantages. Its total volume and scale are in the first echelon in the country. The development of information services in Zhejiang Province has facilitated the construction of “Digital Zhejiang” and promoted the reform of digital services. Zhejiang Province took the lead in building an Internet exchange centre and introduced the “5G + Industrial Internet”. While helping the digital economy and the digital transformation of industries, these have improved the network effect of communication services, benefiting the energy system and improving energy efficiency. The combination of digital communication services and energy systems will work to reduce fossil energy consumption, improve energy efficiency and provide opportunities for development. On the other hand, the international environment may influence the communication service industry and have instability. Especially for Zhejiang Province, where the communication service industry is more concentrated, seeking stability and security in development should be taken seriously.
3)Information technology industry development.
Information technology industry development had a positive correlation with energy efficiency. The information technology industry has become one of the development advantages of Zhejiang Province. Zhejiang’s information industry is in a leading position. The increasing influence of communication services and e-commerce industries in Zhejiang Province has contributed to intelligence and digital transformation development. These have positive effects on the industrial structure upgrading, resource allocation, and production factor flow.
The development of the information technology service industry is conducive to upgrading the industrial structure, which is helpful to cultivate new technologies, new business forms, new models, and new industries to improve energy efficiency. The development of the information technology service industry will change the original industrial value creation methods and create new ways to stimulate economic growth. When digitalization takes shape to a particular scale, it can significantly improve energy efficiency and drive the digital transformation of other industries (Wang and Cao, 2019). Compared with the secondary industry, the economic value created thereby has less energy consumption, which is one of the ways to improve macro energy efficiency through industrial upgrading.
On the other hand, the information technology service industry can directly serve the energy system. Such as “energy blockchain” and “smart energy” benefit from the information technology service industry.
Zhejiang Province is a central province of information economy which has the primary conditions for developing industrial Internet. Industrial Internet in Zhejiang Province embodies the integration of energy production, consumption, and digital technologies. Among them, the application of “Internet+" in the secondary industry directly affect energy efficiency. “Internet+" and intelligent energy can use digital technology to optimize production and operation processes with low energy efficiency based on big industrial data, which are based on information technology services.
The intelligent computing industry chain in Zhejiang Province is beginning to take shape, and the artificial intelligence industry ranks first in China. Cloud computing represented by Alibaba Cloud and Telecom Tianyi Cloud has developed rapidly. Twenty large-scale data centers have been built in Zhejiang, and cloud service providers such as Alibaba have been building data centers, further optimizing the layout of data centers in Zhejiang Province. Companies such as Hyperchain and Ant Group have successively launched blockchain platforms to promote the collection and use of public data resources. The deployment of sensing facilities in energy, transportation, industry, and other fields in Zhejiang Province can meet the needs of smart applications at this stage. However, the development of the IT service industry also faces some challenges. For example, the scale of commercial application of Chinese chips, the cost of network operation and the international influence of software systems have become challenges for future development. As the leading province, stabilizing “Internet+" and building a digital energy system is an opportunity for future development.
4)Digital technology innovation.
The empirical results showed that digital technology innovation played a positive role in improving energy efficiency. Digital innovation is the process of integrating digital technology and industry to produce digital results. Digital innovation accelerates the digital economy. It not only represents technological progress but is also one of the ways of value creation. Digital innovation has promoted the extensive and in-depth application of digital technology, promoted technological progress, and improved energy efficiency, which is the driving force for digitalization.
Digital innovation accelerates the digitalization and informatization of traditional industries and promote the automation and intelligence of production and operation. Digital innovation generates new processes, products, and services and form new business models. Digital innovation results tend to be more concise, efficient, and precise. The promotion effect of digital technology innovation on energy efficiency is reflected in the production and consumption terminals of the energy system. On the production side, they can optimize the energy structure and consume renewable energy. Consumers can promote the transformation of energy consumption from extensive to intensive, reduce unit energy consumption, and improve energy efficiency.
Specifically, digital innovation provides opportunities for energy system transformation. The digital transformation of the energy system is an industrial upgrade driven by the innovation of emerging digital technologies, which requires the support of a digital technology innovation system. Digital technology innovation can promote the deep integration of emerging digital technologies such as big data, artificial intelligence, blockchain, and 5G with energy systems. It is possible to monitor energy production, consumption and distributed energy intelligently. They can optimize the energy structure and promote energy use cleanly and efficiently. Smart energy, energy Internet, energy blockchain and other energy digital innovations, as the technical foundation of energy distribution, represent the high-quality development of energy system measurement and energy efficiency improvement.
Zhejiang’s digital innovations have been achieving specific results. The industry-leading enterprises are gathered in Hangzhou City, Zhejiang Province. The digital technology innovation, supply and demand have become one of Zhejiang Province’s natural advantages. Several established urban brain platforms in Hangzhou and Zhejiang, such as Alibaba and Hikvision Vision, were selected as open artificial intelligence innovation platforms. The industrial Internet platform system in Zhejiang Province has initially taken shape, coordinating key industries such as the petroleum and chemical industry. Zhejiang’s digital technology innovation has brought new business and development models to the energy system, leading to a new stage of the energy revolution. In this context, smart energy will accelerate its development, lead new energy consumption patterns and service models, and form a distributed energy network for energy efficiency. However, digital technology innovation also faces particular challenges. The more robust scalability of digital technology innovation challenges the innovation process. In addition, the diversity of innovation subjects, complex participants, and the blurred boundaries also make digital technology innovation more challenging.
The above results showed that the level of NI, CSD, ITID, and DTI, as the physical foundation, participant, medium and pathway of digitalization, also contributed to energy efficiency to varying degrees. The precondition for digitalization to enhance energy consumption was network infrastructure. Improving network infrastructure contributed to energy efficiency in Zhejiang Province. The improvement of communication services had a positive effect on energy efficiency. Communication services brought more valuable data and information, which promoted energy efficiency, creating a virtuous circle of digitalization and energy efficiency. Communication services promote resource allocation and digital industries, and the value of big data is based on communication services and the Internet. IT service industry contributed positively to energy efficiency. Information technology services promoted resource allocation and industrial upgrading and were drivers of industrial digitalization. The information services industry played a role in industrial upgrading. It facilitates the transformation of energy systems, such as distributed renewable energy sources. The contribution of digital technology innovation to energy efficiency was reflected in the technological and social progress it brings. Digital innovations that combine digitalization with energy systems, such as distributed smart energy, were a form of high energy efficiency. In addition to specific technological outcomes, it could also create new business models, expand the scope of the digital economy, and improve energy efficiency through industrial restructuring.
For Zhejiang Province, in terms of policy, the digital economy and the energy Internet are supported by policies and highly valued by the government. Economically, the digital economy becomes a development advantage and brings economic contribution. Socio-culturally, the digital atmosphere is conducive to the progress of regional digital transformation and can accelerate the acceptance of smart energy by residents. Technologically, digital innovation in Zhejiang Province is outstanding, should pay more attention should be paid to technology integration and application prospects. Environmentally, integrating the digital economy and social life has enabled Zhejiang Province to gain momentum. Legally, the digital economy regulations in Zhejiang Province protect digital development. Zhejiang Province’s advantages lie in its digital infrastructure development, digital innovation market, and unprecedented demand. Coupled with the contribution of many digital industry leader enterprises is obvious. But there are still some disadvantages, such as the degree of conviction and discourse on software and chips. The environment of the communication services industry is also not stable enough and is held back by unfavourable factors. However, the effect of digitalization on energy efficiency improvement is still promising. As the scale and the effect of digitalization expand, the potential of the scale effect of digitalization is enormous. The upgrade of industrial structure brought by the digital economy is also a massive pull for energy efficiency. This is seen as an important opportunity. However, we can not ignore some challenges. For example, there is still much room for effort in terms of efficiency of a digital infrastructure value play, security of communication services, industry terms and market structure tending to the monopolistic phenomenon.
The results showed that Dig has a positive effect on EE. This finding is consistent with previous studies. For example, Berl et al. (2013) stated in their study that the smart grid is expected to increase the efficiency of the power grid. Moura et al. (2013) thought that the smart grid played a central role in energy efficiency and renewable generation. Markovic et al. (2012) confirmed that EE and sustainability benefit from ICT. Goldbach et al. (2018) suggest that energy providers should adopt a more comprehensive approach by offering a digital platform of energy services that can help them stay aligned with energy efficiency targets.
In urban environments, digitalization infrastructure and energy yields, demands affect energy efficiency. Digitalization and energy efficiency in an urban environment are worth exploring. Digitalization is also considered a driving force for energy efficiency improvements in urban energy production and supply systems. Digital infrastructure can provide new solutions to challenges in the energy industry. It can promote more efficient, pervasive and sustainable energy production processes and business models. Digital infrastructure extends from the production side to the consumption side. For energy production side also benefits from digitalization. Big data and IoT technologies contribute to energy exploration and production investment decisions. More accurate fossil energy exploration and production processes will improve efficiency. In addition, ICT has expanded to the energy consumption side of the equation, such as self-driving cars, smart whole-house homes and Internet manufacturing. Digitalization increases the share of electricity consumption at the terminal energy consumption, which provides space for energy optimization. Energy Internet and smart grid rely on digital infrastructure, solve the problem of renewable energy consumption, broaden the sources of energy supply. Digital twin technology can calculate the grid’s capacity more quickly and accurately, solve the renewable energy grid connection and dispatch more efficiently, and improve renewable energy’s energy efficiency and economy.
We explored the factors affecting digitalization on energy efficiency that has implications for the whole of China or other regions in the world with similar specifications and facilities. Based on the digitalization index system, we summarized six factors from the research results of our study and previous perspectives to explain the influencing factors. These six factors correspond to the physical foundation, participant, medium, and path of digitalization, as shown in Table 10.
TABLE 10
| Index | Factor | Effect | Source |
|---|---|---|---|
| Physical foundation (NI) | Technological infrastructure | Energy demand-side management with blockchain technology can realize energy laddering and improve energy efficiency | Hou et al. (2020) |
| The widespread use of digital technology infrastructure brings more ideas to improve energy efficiency, such as its combination with buildings to form a smart infrastructure to extend the smart grid, which can achieve energy saving and efficiency purposes | Gershenfeld et al. (2010) | ||
| Participant (CSD) | Social Media | The widespread use of social media derived from digitalization has an effect on regional energy efficiency. The use of social media becomes a driver of renewable energy use, and social media has a significant effect on people’s intention to use renewable energy. It has been shown that governments can influence energy consumption habits through it | Zobeidi et al. (2022) |
| Social media has become an important source not only for governments to guide energy use, but also to access big data on energy, such as energy users’ interactions with energy use on the unstructured social media disclosed | Koseleva and Ropaite, (2017) | ||
| Medium (ITID) | Industrial structure perspective | The increase in the share of tertiary industry and the upgrade of industrial structure brought by digital related ICT industry can achieve the purpose of improving energy efficiency in the macro economy | Yu, (2020) |
| Pathway (DTI) | Blockchain Technology Platform | Blockchain technology is gradually starting to disrupt the energy landscape. Energy blockchain technology can make energy systems smarter and more efficient in the long run, and blockchain will bring changes to electricity trading | Noor et al. (2018) |
| Energy Issues | The use of digital and information technology has a positive effect on the development of energy infrastructure and efficient consumption of energy | Shabalov et al. (2021) | |
| Market perspective | The energy market environment is changing dramatically, with environmental responsibility pressures driving the need to curtail primary energy consumption, forcing digital technology to address renewable energy and energy efficiency issues | Goldbach et al. (2018) |
Factors affecting digitalization on energy efficiency.
6 Conclusion and Suggestions
The disruptive changes brought by digitalization have brought attention and discussion on its effect on energy efficiency. Our main work is to construct a system of regional digitalization measurement indexes in terms of material foundation, participant, media and pathway. This study explored the development of digitalization in the national economic pioneer province, Zhejiang Province, from 2003 to 2019. Our main contribution demonstrates that the effect of digitalization on energy efficiency is positive by empirical analysis. The study showed that energy efficiency was driven by developing network infrastructure, digital technology innovation, information technology, and communication services. In addition, the analysis from the industrial structure perspective showed that the upgrading of industrial structure brought about by the digital economy was one of the ways to improve energy efficiency. In addition, we summarized the factors influencing the digitalization effect on energy efficiency in specific regions, which came from the digital-physical foundation, participants, medium and path.
The prospects for improving energy efficiency through digitalization processes are promising. The construction of network infrastructure, information technology and communication services makes energy efficiency improvements possible. The digital technology innovation atmosphere creates a favourable climate for energy efficiency. Future positive effects on energy efficiency may also exist in the scale effect of digitalization. However, the use of digital technologies and digital innovations on the ground still faces many potential problems that need to be explored and solved, such as information security, market monopolies, international factors, and other constraints. There are still many topics worth exploring in the future of digitalization and energy efficiency development. Today, the construction of “Digital Zhejiang” in Zhejiang Province is in full swings, such as implementing “Project No. 1″ version 2.0 of the digital economy as The digital economy operation system with the complete linkage of the whole value chain is led. The Digital Center is gradually expanding its reach and influence. In addition, China has issued several policies to encourage the construction of the energy internet, increase digital technology to solve energy system dilemmas and provide policy support for distributed energy and smart grids. The trend of digital construction has led to a positive aspect of energy efficiency. However, regional digital economy development still faces particular security challenges and limitations. Data security and privacy protection systems are not yet sound, and the development of digital platforms is gradually threatening the development of the digital economy with the trend of “monopoly”. These circumstances may bring different situations to promoting digitalization for energy efficiency. Typically, if the delete lines exist in the target code, it is decided that the vulnerability has not been fixed.
This study can further provide evidence for other provinces and cities with digital processes to explore energy efficiency solutions from a digital perspective. However, this study also has its shortcomings. The research object selected is relatively single. Because digitalization is a new thing that started late in China, the data that can be collected is limited. In addition, the collation and disclosure of digitalization and Internet data in other Chinese provinces limits the study. So data sources are still expected to be expanded for inter-provincial digitalization and energy efficiency studies. To explore this issue more deeply, we have work to do in the future. For example, to explore the extent to which future advances in energy systems brought about by digital technologies will affect energy efficiency in detail. In addition, explore how the scale effect of the continued expansion of the digital economy will affect energy use. In the future, the scale of the digital economy in Zhejiang Province will continue to expand. According to the digital economy promoted in Zhejiang Province in 2019. The main points of the economic development are to enhance the new intelligence of digital facilities, focus on promoting digital technology innovation, and grow the new level of the digital industry. The emergence of relevant digital industries will still enhance energy efficiency. As for energy digitalization-related projects, Zhejiang Province’s “smart photovoltaic “project is being developed and applied in full force. Therefore, it is feasible to predict that the energy efficiency of Zhejiang Province will still be improved after 2019.
Based on the above conclusions, the following policy recommendations are proposed. First, enhance the construction of digital infrastructure. The digital area should be encourage to promote digital ecology, strengthen the guarantee of resource elements. First, the government should accelerate the construction of new digital infrastructure and build a data element allocation system. It is crucial to guarantee the play of digital penetration and expand digital influence. The government should strengthen the construction of digital infrastructure in terms of technology, funding, and policies. It is necessary to set up laboratories to support digital technology research and development, accelerate technological breakthroughs and upgrades, in theory, algorithms, materials, software, and processes, and promote emerging digital technologies. For example, the departments should pay attention to constructing intelligent data-aware transmission networks, building future-oriented advanced arithmetic infrastructure, and promoting infrastructure upgrades. Second, the government should support new mechanisms for developing the digital economy in terms of financial resources and play a demonstration role in the procurement and use of digital technology products. For example, setting up special funds for the digital economy and reducing electricity for digital infrastructure is encouraged. Third, the government can play a leading role in the digitalization process in infrastructure, management, and services and promote digital processes and intelligent equipment.
Second, development of digital economy. In order to play the role of the digital economy to optimize the energy structure, the government should take action for the development of the digital economy. On the one hand, the digital area should improve the new mechanism of digital management effectiveness. The government should improve the data element trading and circulation system, improve the trading rules and standards, and explore the implementation path of data association. On the other hand, relevant policies should focus on the key points of digital industrialization and industrial digitalization. The digital area should strengthen regional advantages and develop a digital economy according to local conditions. The local government should be committed to creating competitive digital industry clusters, establishing leading enterprises and exemplars, and supporting clusters of digital economy market players. For example, software and information service industry clusters, digital financial technology centers, a digital economy emerging industry clusters. In industrial digitalization, increasing the guidance of digital transformation as soon as possible to be effectively profitable in digital transformation is advocated. It is necessary to open up inclusive digital transformation products and services, reduce the cost of digital transformation for small and medium-sized enterprises, and serve different transformation needs. Second, the government should improve the grading standards and assessment system for the digital transformation of enterprises and gradually improve the laws and regulations for digital transformation. Third, it is essential to strengthen the digital awareness of enterprises and society. The government should raise awareness and acceptance of digitalization in society, especially among the managers of enterprises.
Third, encourage digital innovation. The government should advocate digital innovation behaviour and a good atmosphere for digital innovation. Make forward-looking deployment, strengthen the top-level design and coordination of digital innovation in the region, and guarantee that digital innovation has a suitable and sufficient supply of talents is encouraged. First, the government should promote intelligent manufacturing, standard technology breakthroughs, and the industrialization of significant innovation achievements. Promote the digitalization process with various modes of digital innovation, explore digital innovation models in finance, energy, education, and take the lead in encouraging and supporting the promotion of digital innovation results. Second, create a regional synergistic digital innovation environment to activate new industrial transformation and innovation momentum. Relevant policies should support the industrialization of digital innovation results, combine regional industrial endowments, and encourage cross-fertilization across fields. Third, the government should strengthen its support for digital talents, technology, intellectual property rights, enterprises, industrial land and enhance the cultivation of the digital entrepreneurship chain. Relevant policies should introduce high-quality digital technology training programs at home and abroad and increase digital talent incentive policies.
Forth, ensure the secure and stable development of the digital industry. The government should provide solutions for the security of data elements and digital industries. First, the government should be committed to the data security governance system, build a big data security supervision platform, improve the security protection mechanism and enhance the risk warning capability. The government should improve the supervision and management of the communication service industry, strengthen the flow of data and information security management, improve the security management system and workflow, and create a safe and reliable network ecological environment. Second, the society should focus on the protection of data assets and digital innovation achievements. Strengthening data integration and sharing and building an integrated data sharing service platform is expected. Develop a security management mechanism that can collaboratively deal with the data industry, practitioners, and regulators. Improve the regulation of data access audit, security risk fusion, and behaviour traceability for the data industry. Strengthen the research and judgment on data ethics and privacy protection, and guide the new layout of data security and digital industry security.
Statements
Data availability statement
The original contributions presented in the study are included in the article/Supplementary Material, further inquiries can be directed to the corresponding author.
Author contributions
Conceptualization, XL and YN; methodology, XL; software, YN; validation, YL and YN; formal analysis, YN; investigation, XL; resources, YN; data curation, YN; writing—original draft preparation, YN; writing—review and editing, XL; supervision, HL; project administration, JZ; funding acquisition, JZ All authors have read and agreed to the published version of the manuscript.
Funding
This research was funded by National Natural Science Foundation of China, grant number 72002029; National Social Science Found of China, grant number 21FGLB022; Philosophy and Social Science Foundation of Heilongjiang Province, grant number 20GLE394, 21JYB152; Heilongjiang Provincial Undergraduate University Research Business Fund Liberal Arts Base Project, grant number wkjd 202002.
Acknowledgments
Thanks to the support of the National Natural Science Foundation of China, and thanks to the editors and reviewers for their work and help.
Conflict of interest
The authors declare that the research was conducted in the absence of any commercial or financial relationships that could be construed as a potential conflict of interest.
Publisher’s note
All claims expressed in this article are solely those of the authors and do not necessarily represent those of their affiliated organizations, or those of the publisher, the editors and the reviewers. Any product that may be evaluated in this article, or claim that may be made by its manufacturer, is not guaranteed or endorsed by the publisher.
References
1
Andrae A. Edler T. (2015). On Global Electricity Usage of Communication Technology: Trends to 2030. Challenges6 (1), 117–157. 10.3390/challe6010117
2
Armbrust M. Fox A. Griffith R. Joseph A. D. Katz R. Konwinski A. et al (2010). A View of Cloud Computing. Commun. ACM53 (4), 50–58. 10.1145/1721654.1721672
3
Berl A. Niedermeier M. Meer H. d. (2013). “Smart Grid Considerations: Energy Efficiency vs. Security,” in Green and Sustainable Computing: Part II (Elsevier), 159–198. 10.1016/b978-0-12-407725-6.00004-6
4
Borowski P. F. (2021). Digitization, Digital Twins, Blockchain, and Industry 4.0 as Elements of Management Process in Enterprises in the Energy Sector. Energies14, 1885. 10.3390/en14071885
5
Chen M. Sinha A. Hu K. Shah M. I. (2021). Impact of Technological Innovation on Energy Efficiency in Industry 4.0 Era: Moderation of Shadow Economy in Sustainable Development. Technol. Forecast. Soc. Change164, 120521. 10.1016/j.techfore.2020.120521
6
Chen S. J. Ai B. L. Wu T. H. (2020). Development and Promotion Measures for the Digital Transformation of Central Enterprises. Inf. Commun. Technol. Policy (12), 33–37.
7
Collier S. E. (2016). The Emerging Enernet: Convergence of the Smart Grid with the Internet of Things. IEEE Ind. Appl. Mag.23 (2), 12–16. 10.1109/MIAS.2016.2600737
8
Danish, Khan N. Baloch M. A. Saud S. Fatima T. (2018). The Effect of ICT on CO2 Emissions in Emerging Economies: Does the Level of Income Matters?Environ. Sci. Pollut. R.25 (23), 22850–22860. 10.1007/s11356-018-2379-2
9
Diamantoulakis P. D. Kapinas V. M. Karagiannidis G. K. (2015). Big Data Analytics for Dynamic Energy Management in Smart Grids. Big Data Res.2 (3), 94–101. 10.1016/j.bdr.2015.03.003
10
Dickey D. A. Fuller W. A. (1979). Distribution of the Estimators for Autoregressive Time Series with a Unit Root. J. Am. Stat. Assoc.74 (366a), 427–431. 10.1080/01621459.1979.10482531
11
Dickey D. A. Fuller W. A. (1981). Likelihood Ratio Statistics for Autoregressive Time Series with a Unit Root. Econometrica49, 1057–1072. 10.2307/1912517
12
Dunlop T. (2019). Mind the Gap: A Social Sciences Review of Energy Efficiency. Energy Res. Soc. Sci.56, 101216. 10.1016/j.erss.2019.05.026
13
Economy and Information Technology Department of Zhengjiang (2020). Achievements of Digital Economy Development in Zhejiang Province. Available at: http://jxt.zj.gov.cn/art/2020/12/22/art_1659217_58925594.html (accessed March 20, 2022).
14
Farrar D. E. Glauber R. R. (1967). Multicollinearity in Regression Analysis: the Problem Revisited. Rev. Econ. Stat.49, 92–107. 10.2307/1937887
15
Foster I. Zhao Y. Raicu I. Lu S. (2008). “Cloud Computing and Grid Computing 360-degree Compared,” in 2008 Grid Computing Environments Workshop (IEEE), 1–10.
16
Gershenfeld N. Samouhos S. Nordman B. (2010). Intelligent Infrastructure for Energy Efficiency. Science327 (5969), 1086–1088. 10.1126/science.1174082
17
Goldbach K. Rotaru A. M. Reichert S. Stiff G. Gölz S. (2018). Which Digital Energy Services Improve Energy Efficiency? A Multi-Criteria Investigation with European Experts. Energy Policy115, 239–248. 10.1016/j.enpol.2017.12.036
18
Gómez-Barroso J. L. Marbán-Flores R. (2020). Telecommunications and Economic Development - the 20th Century: The Building of an Evidence Base. Telecommun. Policy44 (2), 101904. 10.1016/j.telpol.2019.101904
19
Hübler M. Keller A. (2010). Energy Savings via FDI? Empirical Evidence from Developing Countries. Envir. Dev. Econ.15 (1), 59–80. 10.1017/S1355770X09990088
20
Hans C. (2011). Elastic Net Regression Modeling with the Orthant Normal Prior. J. Am. Stat. Assoc.106 (496), 1383–1393. 10.1198/jasa.2011.tm09241
21
Hoerl A. E. Kennard R. W. (1970a). Ridge Regression: Applications to Nonorthogonal Problems. Technometrics12 (1), 69–82. 10.1080/00401706.1970.10488635
22
Hoerl A. E. Kennard R. W. (1970b). Ridge Regression: Biased Estimation for Nonorthogonal Problems. Technometrics12 (1), 55–67. 10.1080/00401706.1970.10488634
23
Hou J. Wang C. Luo S. (2020). How to Improve the Competiveness of Distributed Energy Resources in China with Blockchain Technology. Technol. Forecast. Soc.151, 119744. 10.1016/j.techfore.2019.119744
24
Huang J. Y. An H. C. (2015). Econometric Analysis of the Impact of Telecommunication Capability on Information Consumption. China Mark. (29), 10–15. 10.13939/j.cnki.zgsc.2015.29.010
25
Huang X. H. Zhang B. Y. (2018). Trends and Key Areas of the Global Digital Industry. Rev. Econ. Res. (51), 53–61. 10.16110/j.cnki.issn2095-3151.2018.51.006
26
Institute for Policy and Economics of China Academy of Information and Communication TechnologyChina Media Group Shanghai Station (2020). China Regional and Urban Digital Economy Development Report. Beijing.
27
International Energy Agency (2014). Energy Efficiency: The First Fuel of a Sustainable Global Energy System. Available at: http://www.iea.org/topics/energy efficiency (Accessed July 13 2021).
28
Jiang J. (2016). China's Urban Residential Carbon Emission and Energy Efficiency Policy. Energy109, 866–875. 10.1016/j.energy.2016.05.060
29
Kang F. Lv Y. J. Lv C. C. (2011). Efficiency,efficiency Growth and Regional Differences of Mobile Network in China's Communications. J. Beijing Univ. Posts Telecommun. Sci. Ed.13 (06), 68–75.
30
Khatoon A. Verma P. Southernwood J. Massey B. Corcoran P. (2019). Blockchain in Energy Efficiency: Potential Applications and Benefits. Energies12 (17), 3317. 10.3390/en12173317
31
Koseleva N. Ropaite G. (2017). Big Data in Building Energy Efficiency: Understanding of Big Data and Main Challenges. Procedia Eng.172, 544–549. 10.1016/j.proeng.2017.02.064
32
Kueppers M. Pineda S. N. P. Metzger M. Huber M. Paulus S. Heger H. J. et al (2021). Decarbonization Pathways of Worldwide Energy Systems–Definition and Modeling of Archetypes. Appl. Energy285, 116438. 10.1016/j.apenergy.2021.116438
33
Li D. Chen Y. Miao J. (2021). Does ICT Create a New Driving Force for Manufacturing?—Evidence from Chinese Manufacturing Firms. Telecommun. Policy46, 102229. 10.1016/j.telpol.2021.102229
34
Li J. Lin B. (2017). Does Energy and CO2 Emissions Performance of China Benefit from Regional Integration?Energy Policy.101, 366–378. 10.1016/j.enpol.2016.10.036
35
Li J. Yu D. H. Zhang M. Z. (2017). Information Technology, Total Factor Productivity and Dynamic Mechanism of Manufacturing Industry Transformation and Upgrading: A Theoretical and Empirical Analysis Based on Two-Sector Model. J. Central Univ. Finance Econ. (09), 67–78.
36
Li P. J. (2021). Market Status and Development Prospect of Global Digital Economy Industry in 2021. Available at: https://www.qianzhan.com/analyst/detail/220/210207-9e8316bc.html (accessed April 16, 2021).
37
Luo X. Liu Y. Liu J. Liu X. (2019). Optimal Design and Cost Allocation of a Distributed Energy Resource (DER) System with District Energy Networks: A Case Study of an Isolated Island in the South China Sea. Sustain. Cities Soc.51, 101726. 10.1016/j.scs.2019.101726
38
Markovic D. S. Zivkovic D. Cvetkovic D. Popovic R. (2012). Impact of Nanotechnology Advances in ICT on Sustainability and Energy Efficiency. Renew. Sustain. Energy Rev.16 (5), 2966–2972. 10.1016/j.rser.2012.02.018
39
Marquaridt D. W. (1970). Generalized Inverses, Ridge Regression, Biased Linear Estimation, and Nonlinear Estimation. Technometrics12 (3), 591–612. 10.1080/00401706.1970.10488699
40
Mawson V. J. Hughes B. R. (2019). The Development of Modelling Tools to Improve Energy Efficiency in Manufacturing Processes and Systems. J. Manuf. Syst.51, 95–105. 10.1016/j.jmsy.2019.04.008
41
Moura P. S. López G. L. Moreno J. I. De Almeida A. T. (2013). The Role of Smart Grids to Foster Energy Efficiency. Energy Effic.6 (4), 621–639. 10.1007/s12053-013-9205-y
42
Noor S. Yang W. Guo M. van Dam K. H. Wang X. (2018). Energy Demand Side Management within Micro-grid Networks Enhanced by Blockchain. Appl. Energy228, 1385–1398. 10.1016/j.apenergy.2018.07.012
43
Okorie O. Salonitis K. Charnley F. Moreno M. Turner C. Tiwari A. (2018). Digitisation and the Circular Economy: A Review of Current Research and Future Trends. Energies11 (11), 3009. 10.3390/en11113009
44
Olanipekun A. O. Sutrisna M. (2021). Facilitating Digital Transformation in Construction—A Systematic Review of the Current State of the Art. Front. Built Environ.7, 96. 10.3389/fbuil.2021.660758
45
Pan W. Xie T. Wang Z. Ma L. (2022). Digital Economy: An Innovation Driver for Total Factor Productivity. J. Bus. Res.139, 303–311. 10.1016/j.jbusres.2021.09.061
46
Patterson M. G. (1996). What Is Energy Efficiency?: Concepts, Indicators and Methodological Issues. Energy Policy.24 (5), 377–390. 10.1016/0301-4215(96)00017-1
47
Phillips P. C. Perron P. (1988). Testing for a Unit Root in Time Series Regression. Biometrika75 (2), 335–346. 10.1093/biomet/75.2.335
48
Plageras A. P. Psannis K. E. Stergiou C. Wang H. Gupta B. B. (2018). Efficient IoT-Based Sensor BIG Data Collection-Processing and Analysis in Smart Buildings. Future Gener. Comp. sy.82, 349–357. 10.1016/j.future.2017.09.082
49
Proskuryakova L. Kovalev A. (2015). Measuring Energy Efficiency: Is Energy Intensity a Good Evidence Base?Appl. Energy138, 450–459. 10.1016/j.apenergy.2014.10.060
50
Qianzhan Industrial Research Institute (2020). 2020 China Digital Economy Industry Market Situation and Development Prospect Analysis. Available at: https://bg.qianzhan.com/trends/detail/506/201030-1aeb148b.html (accessed April 16, 2021).
51
Qiu W. H. (2002). Management Decision and Applied Entropy. Beijing: China Machine Press, 193–196.
52
Raza M. Y. Lin B. Liu X. (2021). Cleaner Production of Pakistan’s Chemical Industry: Perspectives of Energy Conservation and Emissions Reduction. J. Clean. Prod.278, 123888. 10.1016/j.jclepro.2020.123888
53
Ren S. Hao Y. Xu L. Wu H. Ba N. (2021). Digitalization and Energy: How Does Internet Development Affect China's Energy Consumption?Energy Econ.98, 105220. 10.1016/j.eneco.2021.105220
54
Rusitschka S. Eger K. Gerdes C. (2010). “Smart Grid Data Cloud: A Model for Utilizing Cloud Computing in the Smart Grid Domain,” in 2010 First IEEE International Conference on Smart Grid Communications (IEEE), 483–488. 10.1109/smartgrid.2010.5622089
55
Schletz M. Cardoso A. Prata Dias G. Salomo S. (2020). How Can Blockchain Technology Accelerate Energy Efficiency Interventions? A Use Case Comparison. Energies13 (22), 5869. 10.3390/en13225869
56
Seo D. Huh T. Kim M. Hwang J. Jung D. (2021). Prediction of Air Pressure Change inside the Chamber of an Oscillating Water Column–Wave Energy Converter Using Machine-Learning in Big Data Platform. Energies14, 2982. 10.3390/en14112982
57
Shabalov M. Y. Zhukovskiy Y. L. Buldysko A. D. Gil B. Starshaia V. V. (2021). The Influence of Technological Changes in Energy Efficiency on the Infrastructure Deterioration in the Energy Sector. Energy Rep.7, 2664–2680. 10.1016/j.egyr.2021.05.001
58
Shao S. Chen Y. Li K. Yang L. (2019). Market Segmentation and Urban CO2 Emissions in China: Evidence from the Yangtze River Delta Region. J. Environ. Manage.248, 109324. 10.1016/j.jenvman.2019.109324
59
Shehzad K. Liu X. Rauf A. Arif M. Mazhar S. Sohail N. et al (2019). Revolutionising Tourism Development in China: An Effective Role of ICT and Western Silk Road Project. Asia Pac. J. Tour. Res.24 (9), 965–977. 10.1080/10941665.2019.1653334
60
Shehzad K. Xiaoxing L. Sarfraz M. (2021a). Envisaging the Asymmetrical Association Among FDI, ICT, and Climate Change: A Case from Developing Country. Carbon Manage12 (2), 123–137. 10.1080/17583004.2021.1890449
61
Shehzad K. Zaman U. Ahmad M. Liu X. (2022). Asymmetric Impact of Information and Communication Technologies on Environmental Quality: Analyzing the Role of Financial Development and Energy Consumption. Environ. Dev. Sustain.24 (2), 1761–1780.
62
Shehzad K. Zaman U. José A. E. Koçak E. Ferreira P. (2021b). An Officious Impact of Financial Innovations and ICT on Economic Evolution in china: Revealing the Substantial Role of BRI. Sustainability-Basel13 (16), 8962. 10.3390/su13168962
63
Shen Y. H. Huang H. (2020). Research on Influence of Digital Economy Level on Industrial Structure Optimization and Upgrading of Manufacturing Industry: Based on Panel Data of Zhejiang Province from 2008 to 2017. Sci. Technol. Manag. Res.40 (03), 147–154.
64
Sheveleva A. Tyaglov S. Khaiter P. (2021). Digital Transformation Strategies of Oil and Gas Companies: Preparing for the Fourth Industrial Revolution. Cham: Palgrave Macmillan, 157–171. 10.1007/978-3-030-58267-8_12
65
Smith K. M. Wilson S. Hassall M. E. (2021). Could Focusing on Barriers to Industrial Energy Efficiency Create a New Barrier to Energy Efficiency?J. Clean. Prod.310, 127387. 10.1016/j.jclepro.2021.127387
66
Song C. H. (2021). Exploring and Predicting the Knowledge Development in the Field of Energy Storage: Evidence from the Emerging Startup Landscape. Energies14, 5822. 10.3390/en14185822
67
Spence M. (2021). Government and Economics in the Digital Economy. J. Gov. Econ.3, 100020. 10.1016/j.jge.2021.100020
68
Varela I. (2018). Energy Is Essential, but Utilities? Digitalization: What Does it Mean for the Energy Sector?Springer, 829–838. 10.1007/978-3-662-49275-8_73
69
Wang D. F. Cao J. H. (2019). The Impact of Internet Development on China’s Total Factor Energy Efficiency and its Network Effects. China Popul. Resour. Environ.29 (01), 86–95.
70
Wang Z. Yin F. Zhang Y. Zhang X. (2012). An Empirical Research on the Influencing Factors of Regional CO2 Emissions: Evidence from Beijing City, China. Appl. Energy100, 277–284. 10.1016/j.apenergy.2012.05.038
71
Winskel M. Kattirtzi M. (2020). Transitions, Disruptions and Revolutions: Expert Views on Prospects for a Smart and Local Energy Revolution in the UK. Energy Policy.147, 111815. 10.1016/j.enpol.2020.111815
72
Wu Y. Wu Y. Guerrero J. M. Vasquez J. C. (2021). Digitalization and Decentralization Driving Transactive Energy Internet: Key Technologies and Infrastructures. Int. J. Electr. Power Energy Syst.126, 106593. 10.1016/j.ijepes.2020.106593
73
Xie C. Hawkes A. D. (2015). Estimation of Inter-fuel Substitution Possibilities in China's Transport Industry Using Ridge Regression. Energy88, 260–267.
74
Xiong S. Ma X. Ji J. (2019). The Impact of Industrial Structure Efficiency on Provincial Industrial Energy Efficiency in China. J. Clean. Prod.215, 952–962. 10.1016/j.jclepro.2019.01.095
75
Xu C. Bin Q. Shaoqin S. (2021). Polycentric Spatial Structure and Energy Efficiency: Evidence from China's Provincial Panel Data. Energy Policy.149, 112012. 10.1016/j.enpol.2020.112012
76
Xu M. (2021). Current Situation, Problems and Suggestions of Digital Economy Development in China. Available at: http://www.chinaqking.com/yc/2020/2610432.html (accessed April 17, 2021 ).
77
Yi Y. J. Liu P. (2018). Analysis of Internet Penetration Rate in Hunan Province and Countermeasures. Digit. Commun. World (07), 160–161. 10.3969/J.ISSN.1672-7274.2018.07.134
78
Yu B. (2020). Industrial Structure, Technological Innovation, and Total-Factor Energy Efficiency in China. Environ. Sci. Pollut. R.27 (8), 8371–8385. 10.1007/s11356-019-07363-5
79
Zekic-Susac M. Mitrovic S. Has A. (2021). Machine Learning Based System for Managing Energy Efficiency of Public Sector as an Approach towards Smart Cities. Int. J. Inf. Manag.58, 102074. 10.1016/j.ijinfomgt.2020.102074
80
Zeraibi A. Balsalobre-Lorente D. Shehzad K. (2020). Examining the Asymmetric Nexus between Energy Consumption, Technological Innovation, and Economic Growth; Does Energy Consumption and Technology Boost Economic Development?Sustainability-Basel12 (21), 8867.
81
Zhang H. F. Zhang M. L. Wang S. (2016). Research on Network Information Resource Allocation Efficiency and its Influencing Factors in China. Res. Libr. Sci. (23), 58–64.
82
Zhang H. (2020). “Research on the Application of Big Data in Industrial Structure Adjustment and Economic Indexes,” in 2020 International Conference on Intelligent Transportation, Big Data & Smart City (ICITBS) (IEEE), 687–690. 10.1109/icitbs49701.2020.00151
83
Zhao H. Lin B. (2019). Will Agglomeration Improve the Energy Efficiency in China’s Textile Industry: Evidence and Policy Implications. Appl. Energy237, 326–337. 10.1016/j.apenergy.2018.12.068
84
Zhejiang Provincial Bureau of Statistics (2022). Zhejiang Statistical Yearbook. Available at: http://tjj.zj.gov.cn/col/col1525563/index.html (accessed March 20, 2022).
85
Zhejiang Provincial Government (2019). Zhejiang Internet Development Report 2018. Available at: https://www.zj.gov.cn/art/2019/5/28/art_1545484_34373757.html (accessed April 20, 2021).
86
Zobeidi T. Komendantova N. Yazdanpanah M. (2022). Social Media as a Driver of the Use of Renewable Energy: The Perceptions of Instagram Users in Iran. Energy Policy.161, 112721. 10.1016/j.enpol.2021.112721
87
Zou Z. Yi Y. Sun J. (2006). Entropy Method for Determination of Weight of Evaluating Indicators in Fuzzy Synthetic Evaluation for Water Quality Assessment. J. Environ. Sci.-China.18 (5), 1020–1023. 10.1016/s1001-0742(06)60032-6
Summary
Keywords
energy efficiency, digitalization, ridge regression, time series, industrial structure
Citation
Niu Y, Lin X, Luo H, Zhang J and Lian Y (2022) Effects of Digitalization on Energy Efficiency: Evidence From Zhejiang Province in China. Front. Energy Res. 10:847339. doi: 10.3389/fenrg.2022.847339
Received
02 January 2022
Accepted
29 April 2022
Published
31 May 2022
Volume
10 - 2022
Edited by
Bassem Kahouli, University of Sousse, Tunisia
Reviewed by
Grigorios L. Kyriakopoulos, National Technical University of Athens, Greece
Khurram Shehzad, Southeast University, China
Updates
Copyright
© 2022 Niu, Lin, Luo, Zhang and Lian.
This is an open-access article distributed under the terms of the Creative Commons Attribution License (CC BY). The use, distribution or reproduction in other forums is permitted, provided the original author(s) and the copyright owner(s) are credited and that the original publication in this journal is cited, in accordance with accepted academic practice. No use, distribution or reproduction is permitted which does not comply with these terms.
*Correspondence: Xiangyi Lin, xlin@qzc.edu.cn
This article was submitted to Sustainable Energy Systems and Policies, a section of the journal Frontiers in Energy Research
Disclaimer
All claims expressed in this article are solely those of the authors and do not necessarily represent those of their affiliated organizations, or those of the publisher, the editors and the reviewers. Any product that may be evaluated in this article or claim that may be made by its manufacturer is not guaranteed or endorsed by the publisher.