Abstract
The expansion of urban areas is currently one of the most important worldwide landscape changes. This process, termed urbanization, has important ecological effects and is known to alter many aspects of the biology of organisms (including birds). However, human-nature interactions can also be affected by this process. We hypothesized that urbanization can particularly affect how intensively we investigate birds. We predict that species living in close proximity to humans will be more easily or preferably studied, thus promoting a bias in research effort toward urban birds. In order to test this hypothesis we have collected a detailed database of urban and non-urban avian communities including information from five biogeographic realms and more than 750 bird species. We obtained four different indicators of research effort (two previously considered and two new ones) as well as information on different confounding factors that are known to affect research effort such as conservation status, body mass, distribution range and phylogeny, in addition to the previously unconsidered historical factor of year of description of the species. We found a positive and significant association between the degree of urbanization of a species and how frequently it is investigated. We also found the expected effect for biogeographic realm, body mass and distribution range, and year of description, but not for conservation status. In addition, we found a strong correlation among all research effort variables which support the use of Google Scholar as a reliable source for these kind of studies. Our findings suggest that urbanization is not only affecting the biology of organisms but also how we study them. These results might have important implications if this research bias is maintained in the long term. Future investigation should aim at exploring the ultimate reasons for this research bias toward urban birds and whether it is also happening for other groups of organisms.
Introduction
The process of urbanization is dramatically changing the environment, modifying not only abiotic elements such as habitat structure or connectivity, but also biotic elements (Grimm et al., 2008; Gaston, 2010; Forman, 2014). There is mounting evidence suggesting that this anthropogenic landscape change modifies different components of biodiversity, including taxonomic, functional and evolutionary diversity (Devictor et al., 2008; McKinney, 2008; Newbold et al., 2015; Ibáñez-Álamo et al., 2016; Knop, 2016; Morelli et al., 2016) and other aspects of the biology of organisms like animal behavior or life-history traits (Ibáñez-Álamo and Soler, 2010; Møller and Ibáñez-Álamo, 2012; Díaz et al., 2013; Gil and Brumm, 2014; Møller et al., 2015). This intensive alteration of the environment has attracted increasing attention by the scientific community (Marzluff, 2016; McDonnell and MacGregor-Fors, 2016) and has ultimately lead to recognize urbanization as a major global challenge (United Nations, 2016).
Humans are intrinsically associated with the urbanization process (Forman, 2014). The urban habitat is created by us to meet our species-specific requirements and now the majority of the World's human population is living in cities (United Nations, 2012). It is thus normal that many papers in the field of Urban Ecology have focused on investigating the interaction between organisms and humans. The majority of them focused on how humans can affect organisms, for example by altering animal's escape behavior (Díaz et al., 2013, 2015; Samia et al., 2015), while others explored the opposite direction of the interaction, how urban nature can affect humans (Fuller and Irvine, 2010; Soga and Gaston, 2016). In relation to the latter, it is logical to think that scientists are not immune to this effect and the focus of their investigations might also be influenced by urban nature. For instance, researchers might be biased to study species that live in urban habitats more often, due to different reasons such as ease to study or preferences toward those species encountered more often by researchers or with scientifically attractive traits. These reasons have already been proposed to affect research effort (how intensely we study a topic or subject) and are used to explain for example why we tend to investigate more often larger species or those with broader distribution ranges (Brooke et al., 2014; Ducatez and Lefebvre, 2014; McKenzie and Robertson, 2015). Despite previous studies, it has been suggested that there is a need to explore alternative factors in order to explain research effort (Murray et al., 2015) and that urbanization might be one of these factors. The knowledge about how we carry out our research is very valuable as it can be used to re-orientate our effort toward those less studied topics or areas, it can help detect potential biases in our conclusions, or even better justify our management efforts (De Lima et al., 2011; Ibáñez-Álamo et al., 2012; McKenzie and Robertson, 2015).
Another important and related issue regarding the study of research effort is methodological. Even though there are alternative ways to measure research effort (Murray et al., 2015), the most commonly used variable is the number of published papers (De Lima et al., 2011; Brooke et al., 2014; Ducatez and Lefebvre, 2014; McKenzie and Robertson, 2015). Previous studies on the topic have used different research databases to look for published papers, from Web of Science to Zoological Records, including those obtained from different research organizations (e.g., Birdlife International; De Lima et al., 2011; Ducatez and Lefebvre, 2014; McKenzie and Robertson, 2015). However, even if it has been highly recommended for this type of study (Pautasso, 2016), to our knowledge there has been only one attempt to investigate whether different databases might be offering similar conclusions in relation to research effort in birds (De Lima et al., 2011). In this case the authors found a positive correlation between the number of papers obtained from Web of Knowledge and those of the Birdlife International library catalog. It is also worth to mention that no previous study has used Google Scholar as a source to test research effort predictions. All previously used databases are, to some extent, difficult to get access to because they are not free or easily accessible. Thus, exploring the feasibility of this open-access scientific database to investigate research effort and its relationship with other commonly used databases is important.
The aims of our study were: (i) to investigate whether the degree to which a species is urbanized (number of cities in which it is found) is related to the research effort it receives; (ii) to find other potential factors that can affect research effort in birds (including the previously unconsidered effect of year of description of a species); and (iii) to test whether there are correlations between research effort variables obtained from different sources (including Google Scholar and more traditional databases), in order to explore whether they can offer similar information. In order to do so, we used a global database of bird species found in urban and non-urban habitats and collected the number of papers published for each species in four different databases (Google Scholar, Web of Science, Zoological Records and the Handbook of the Birds of the World Alive). We decided to use birds as a model group because they are very well known in relation to urbanization (Marzluff et al., 2001; Lepczyk and Warren, 2012; Gil and Brumm, 2014) allowing us to compile a geographically wide database and extract general conclusions. This global coverage is important given the worldwide expansion of urban areas and will also allow us to identify differences in research effort allocation among regions.
Materials and methods
Bird assemblages
We used a global database of studies presenting information for 17 countries and four continents on urban and non-urban bird communities published recently (Ibáñez-Álamo et al., 2016). Basically, the database was created using an exhaustive literature search in different websites (i.e., Web of Science, Google Scholar, and SmartCat) and a careful selection of papers including complete bird assemblages from urban and non-urban habitats (defined according to Marzluff et al., 2001; e.g., urban areas characterized with >50% of the surface built and >10 buildings per ha). These assemblages were collected following the same field method, during the same period and by the same field observer, thus offering standardized information that avoids many potential confounding factors in these kind of comparative studies. From each study, we obtained: (i) urban bird assemblage, (ii) non-urban bird assemblage, and (iii) site. There is a more detailed description of data collection in Ibáñez-Álamo et al. (2016).
Research effort data, urbanization and species' traits
Using the database described above, we created a new dataset including all the 767 species from the 28 paired study sites (Supplementary Material 1). To quantify research effort for each species, we collected information on the number of papers published in different databases. This variable has been commonly used in previous studies and has been suggested to reflect the research effort invested in a species better than alternative ones (McKenzie and Robertson, 2015). First, we used Web of Science, as it has been previously used in these kinds of studies (McKenzie and Robertson, 2015; Murray et al., 2015). Using quotes, we searched for each scientific name in all available databases within the search engine and without time restriction. A recent study showed that this is an effective method that is not affected by changes in scientific names with time (Ducatez and Lefebvre, 2014). Second, we extracted the number of papers in Zoological Records from a previously published compilation (Ducatez and Lefebvre, 2014). Third, we also looked for the number of references per species obtained with Google Scholar, using the scientific name in quotes and without the patents option activated, again without time limits. The literature search in Google Scholar and Web of Science were both done in January 2017. Finally, we extracted the number of papers included in the reference section of the Handbook of the Birds of the World Alive during August 2016 (Del Hoyo et al., 2016). This compilation of birds is known for its quality and up-to-date information among ornithologists and thus, the number of references used for each species should indicate the overall knowledge for that particular species.
In order to investigate whether species that are found in urban areas are more studied, we calculated the number of cities for each species in which it was found in our database (max. 28 cities). This variable matches the definition of urbanization used by Croci et al. (2008), which considers a species to be urbanized if it is found in urban centers, but also accounts for the intensity of such effect by adding the number of cities in which the species can be found. Croci's definition of urbanization is strongly correlated (sensu Cohen, 1988) to all other indexes of urbanization previously used in Urban Ecology, and thus can be considered a good proxy for the extent of urbanization of a species (Møller, 2014).
Given that research effort in birds is multifaceted and can be affected by several different factors (Ducatez and Lefebvre, 2014; McKenzie and Robertson, 2015; Murray et al., 2015), we also collected information on different factors that might affect research effort according to previous studies, but we tried to avoid co-linearity of predictors (i.e., between distribution range and population size or body mass and clutch size Saether, 1987; Jetz et al., 2008). We obtained the following information for each species: (i) range of breeding distribution (square kilometers) according to Birdlife International (www.birdlife.org) given that species with large distribution are more likely to be studied than those occupying small areas (i.e., endemic) (Ducatez and Lefebvre, 2014; McKenzie and Robertson, 2015); (ii) Body mass collected from the Handbook of the Birds of the World Alive (Del Hoyo et al., 2016) as a proxy for size because large-sized species are more likely to be detected and manipulated and hence studied (Ducatez and Lefebvre, 2014; McKenzie and Robertson, 2015); (iii) Conservation status obtained from the International Union for Conservation of Nature (www.iucn.org) as threatened species might attract a greater attention by scientists (De Lima et al., 2011; Murray et al., 2015); (iv) the biogeographic realm for that species as the research effort can vary depending on the development of the region (i.e., highly developed countries investing more in research and consequently having more probabilities to investigate their species) (De Lima et al., 2011; Ducatez and Lefebvre, 2014). In addition to these factors capturing information on geographic (biogeographic realms), biotic (distribution range and body mass) and human effects (conservation status and urbanization), we wanted to control also for historical factors. Therefore, we also collected (v) the year of description of the species obtained from the Handbook of the Birds of the World Alive (Del Hoyo et al., 2016), as those birds described more recently may have received a lower research effort.
Statistical analyses
We first calculated a correlation matrix of the four research effort variables in order to detect whether they offer similar information. All research effort variables in addition to body mass and breeding distribution range were log-transformed to achieve normality. We chose a single research effort variable based on the results of these correlations to run the subsequent analyses (see Results). Given that a previous study (Ducatez and Lefebvre, 2014) found differences among avian taxa in research effort, species cannot be considered independent units in our context. Therefore, we estimated the phylogenetic relationships of the species in our database using the Mesquite environment (Maddison and Maddison, 2015) and calculating the consensus (i.e., majority rules consensus) tree of 1000 phylogenetic trees downloaded from birdtree.org (Jetz et al., 2012; Supplementary Material 2). Then, we used a stepwise backward model selection running phylogenetic generalized least square models (PGLS; i.e., Díaz et al., 2013, 2015). The best models were selected based on corrected Akaike Information Criteria (AICc), using a threshold AICc value of 2. The full model included all single effects of the variables described above (Table 2) in addition to the interaction between biogeographic realm and the degree of urbanization as urban development vary geographically (Seto et al., 2012). We performed our analyses in R 3.3.2 (R Core Team, 2016) using the R libraries “ape” (Paradis et al., 2004), “MASS” (Venables and Ripley, 2002) and “mvtnorm” (Genz et al., 2016) as well as the function pglm3.3.r created by R. Freckleton which allows to run PGLS using an orthogonal (type III) fit of models. As a first step, we calculated the phylogenetic scaling parameter lambda (λ), which varies from 0 (phylogenetic independence) to 1 (variables completely covary according to their shared evolutionary history; Freckleton et al., 2002) and provides information on the variation explained by phylogeny. Secondly, we run the models correcting for the estimated λ and applied the backward procedure. Once the best model was found, we assessed the importance of each predictor regarding our (research effort) dependent variable based on their effect sizes calculated from P-values and t-tests (Díaz et al., 2015). We used Cohen's criteria (Cohen, 1988) to quantify their importance explaining our dataset as small (r ≤ 0.10, explaining less than 1% of the variance), intermediate (r = 0.11–0.49, explaining between 2 and 24% of the variance), and large (r ≥ 0.50, explaining more than 25% of the variance).
Results
Our dataset contained information on 767 bird species, of which 49.0% were found in an urban area. The three most urbanized species in our database were the Rock pigeon (Columba livia), the House sparrow (Passer domesticus) and the Common starling (Sturnus vulgaris) (Supplementary Material 1). Given the extreme degree of urbanization of these three species, we decided to run a sensitivity analysis in order to check the importance of those species in our findings (Supplementary Material 3).
The search in Google Scholar provided a higher number of references in comparison with the other databases (Supplementary Material 1), probably due to the use of different search engines and size of the database. Despite this, the results for our correlation analyses among research effort variables indicated that all of them are highly correlated (Table 1). The r-values indicated a strong and significant correlation among all four research effort variables, with Google Scholar showing the highest values with all others. Thus, we carried out our model selection procedure using Google Scholar as it is more easily accessible and correctly represents research effort.
Table 1
| R2 | Web of science | Handbook alive | Zoological records | ||
|---|---|---|---|---|---|
| Google scholar | 0.94*** | 0.66*** | 0.92*** | ||
| Web of science | 0.62*** | 0.94*** | |||
| Handbook alive | 0.64*** | ||||
Correlations between all four variables of research effort.
P < 0.001.
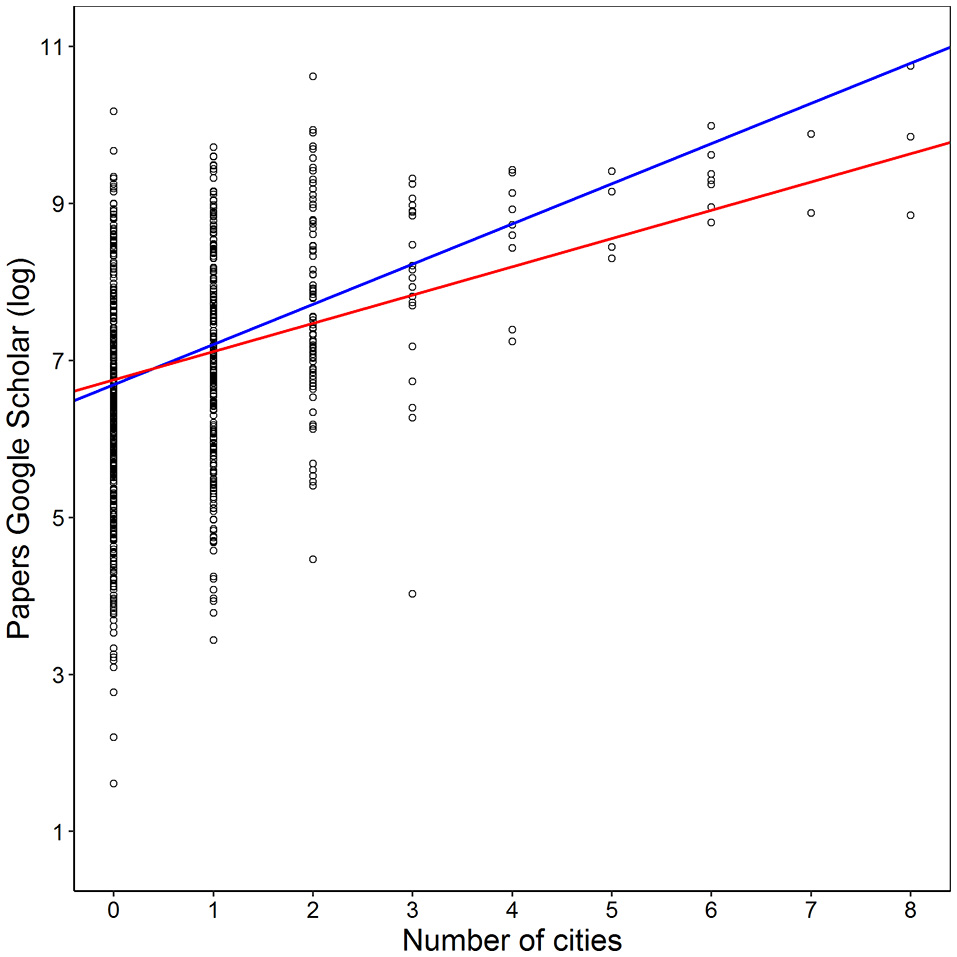
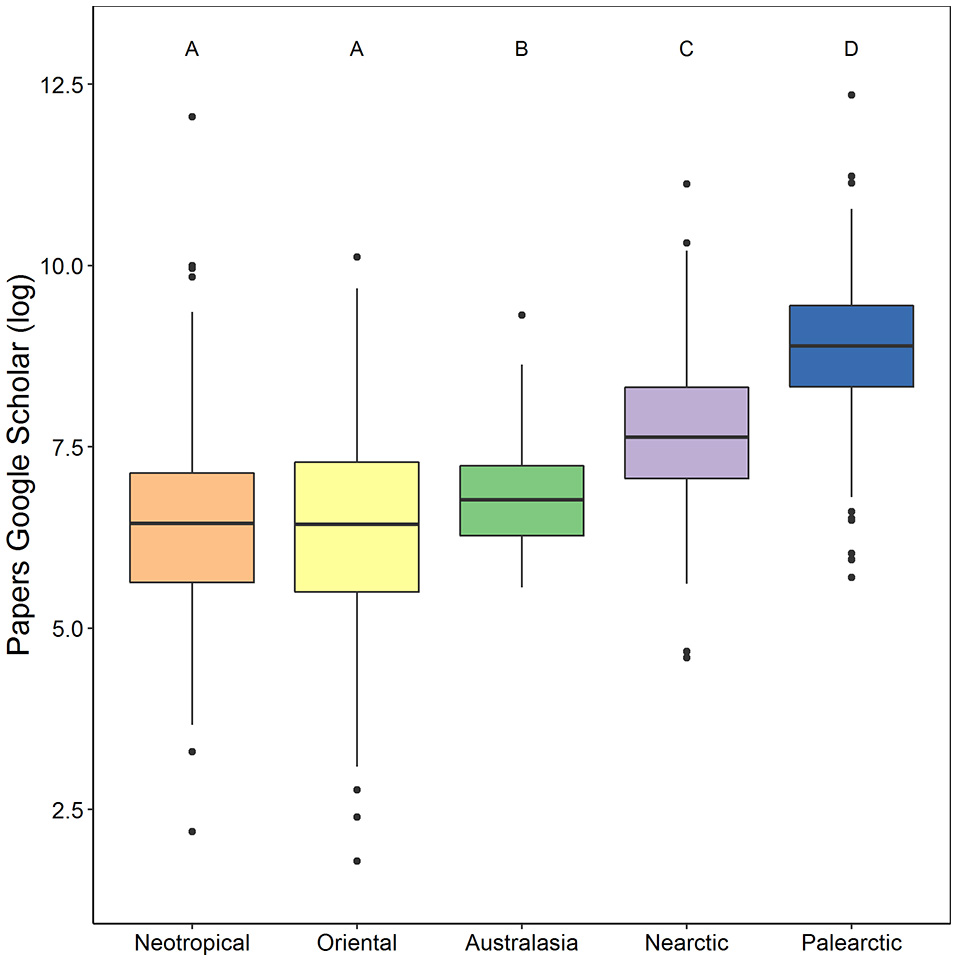
The minimum adequate model of Google Scholar research effort retained six variables, including urbanization index, and explained 73% of the variance of our database [PGLS; λ = 0.33, Adjusted R2 = 0.73, F(1, 754) = 477.87, P < 0.0001; Table 2]. The phylogenetic signal of this model was relatively small. All variables retained in the final model were statistically significant and had intermediate effect sizes indicating that they are important for explaining research effort. The only exception was the interaction between the biogeographic realm and urbanization index, which involved a small effect size (Table 2), and in fact was not retained in the best model if we exclude the three most urbanized species (Supplementary Material 3). This interaction indicated that the relationship between research effort and urbanization was stronger in the Palearctic. We found a positive association between the level of species urbanization and the attention received by researchers (Table 2, Figure 1). In addition, we found a positive effect of body mass and breeding distribution suggesting that larger and more widely distributed species have been studied more (estimate ± standard error of 0.11 ± 0.03 and 0.44 ± 0.03, respectively; Table 2). But a negative influence of year of description showing that fewer papers have been published for those species described more recently (Table 2; Figure 2). The biogeographic realm also had a significant and intermediate effect per se to explain research effort as those species from Neotropical and Oriental realms have been less studied than those of the other three realms represented in our database (Figure 3). We also run the analyses using Croci's definition of urbanization more strictly, thus using a binary variable instead of the urbanization index described above. Our results were the same as those obtained with the urbanization index except for the interaction between biogeographic realm and urbanization that was not retained in the best model (Supplementary Material 4), similarly to what happened with our sensitivity analysis. This additional analysis provides support for the robustness of our results and suggest caution regarding the mentioned interaction.
Table 2
| Predictor | df | SS | F | p | Effect size |
|---|---|---|---|---|---|
| FULL MODEL (AICc = 1764.94) | |||||
| Number of cities | 1 | 3.551 | 477.99 | <0.001 | 0.371 |
| Body mass (log) | 1 | 0.088 | 11.87 | <0.001 | 0.138 |
| Conservation status | 2 | 0.037 | 2.52 | 0.081 | 0.063 |
| Breeding distribution (log) | 1 | 4.507 | 603.74 | <0.001 | 0.371 |
| Year | 1 | 0.772 | 103.96 | <0.001 | 0.371 |
| Biogeographic Realm | 4 | 6.232 | 209.69 | <0.001 | 0.371 |
| Biogeog. Realm*N of cities | 4 | 0.043 | 1.24 | 0.040 | 0.074 |
| Error | 752 | 5.587 | |||
| MINIMUM MODEL (AICc = 1760.84) | |||||
| Number of cities | 1 | 3.565 | 477.87 | <0.001 | 0.371 |
| Body mass (log) | 1 | 0.089 | 11.88 | <0.001 | 0.124 |
| Breeding distribution (log) | 1 | 4.523 | 606.40 | <0.001 | 0.371 |
| Year | 1 | 0.797 | 106.84 | <0.001 | 0.371 |
| Biogeographic Realm | 4 | 6.250 | 209.46 | <0.001 | 0.371 |
| Biogeog. Realm*N of cities | 4 | 0.076 | 2.55 | 0.038 | 0.075 |
| Error | 754 | 5.624 | |||
Full and minimum adequate models explaining avian research effort.
Effect sizes are partial correlation coefficients. P-values in bold indicate statistical significance (P < 0.05).
Figure 1

Relationship between research effort (number of papers in Google Scholar) and the number of cities in which the species are found. The blue line represents the correlation between the two variables according to our model while the red line corresponds to the sensitivity analysis. The three most urbanized species (Rock pigeon, House sparrow and Common starling) are not represented to increase the clarity of the figure.
Figure 2

Relationship between research effort (number of papers in Google Scholar) and year of description of the species. The blue line represents the correlation between the two variables.
Figure 3

The research effort (number of papers in Google Scholar) for each biogeographic region. Box-plots show median, quartiles, 5- and 95- percentiles and extreme values. Different letters indicate significant differences (P < 0.02) between regions according to Bonferroni post-hoc tests using the package “phytools” (Revell, 2012).
Discussion
As hypothesized, we found that the level of urbanization of a species is an important predictor of the attention it receives from scientists (Figure 1). This is a clear example that urbanization is not only affecting the biology of organisms but also how intensively we research them, and consequently altering human-nature interactions. Our results seem to point out that the urbanization effect on research effort is global and does not depend on the biogeographic realm given that the small effect size of the interaction between the degree of urbanization and the biogeographic realm disappeared in our sensitivity analysis (without the three most urbanized species) and in our analysis using a binary variable (Supplementary Materials 3, 4). Our results markedly contrast with those obtained in a recent study done with a group of mammals (Brooke et al., 2014). In that investigation, they found a significant negative relationship between the mean human population density of the distribution range of a species and its research effort. This effect disappeared when other factors where included in the model. The differences between the two studies could be due to group-specific effects regarding research effort or different methodological approximations (e.g., mean human population density being influenced by other factors in addition to urbanization). Future studies on avian research effort should investigate the effect of human population density in order to distinguish between these two options.
Our findings highlight the importance of biases in research effort like the one described here, even though it does not necessarily involve re-orientating our scientific aims. It is possible that urban birds are significantly more studied because they show a particular set of traits (Kark et al., 2007; Croci et al., 2008; Møller, 2014; Sol et al., 2014) that might be of special scientific relevance (i.e., more complex social breeding; Kark et al., 2007) or because they are involved in particularly important economic or health issues (i.e., spread of some diseases; Kilpatrick, 2011). Alternatively, other reasons of more concern (i.e., logistic/monetary constrains or personal preferences) may be behind our results. The ease of study has been raised as an important determinant to explain research effort in birds (Ducatez and Lefebvre, 2014; McKenzie and Robertson, 2015; Murray et al., 2015) and mammals (e.g., Brooke et al., 2014). Some of the traits of urban birds can facilitate their investigation. Nesting in holes, for example, is a common trait of birds living in cities (Croci et al., 2008; Sol et al., 2014) which allows the use of nest-boxes by scientists, making their study easier. Furthermore, urban birds are present in a larger number of habitats than non-urban birds (Sol et al., 2014) and the number of habitats in which a species can be found (habitat breadth) is known to affect research effort in birds (Ducatez and Lefebvre, 2014). This could also be the reason why urban species are more easily accessed by a larger number of researchers and, consequently, more often studied. In addition, this bias could be due to human demographic patterns. Considering that scientists follow the same demographic trend as humans in general and are concentrated in urban areas (Nations, 2014), populations that are found closer to the residence place of scientists may be more frequently studied. But despite these potential explanations for the ease of study of urban birds, we cannot discard other (worrying) sociological effects unrelated to it. The extinction of experience is known to affect human-nature interactions in different contexts (Soga and Gaston, 2016). What if the scientists are more often studying those species encountered during childhood? The extinction of experience in researchers might also explain the bias toward urban birds and should be explored in future studies. Additionally, frequent contact with urban species and popularization of science programs can make them more charismatic (Duckworth, 2014), and this factor is known to influence research effort (Murray et al., 2015). If the ease of study or extinction of experience are the causes for the observed bias found in our study instead of their scientific relevance, maybe we should think about how to facilitate the study of non-urban birds as well.
Our model explained a high proportion of variance of our data, which supports the relevance of the factors selected for our analyses. The phylogenetic signal in our model explained 33% of the variation in research effort. This value was not as high as in Ducatez and Lefebvre (2014) study, in which it explained 74% of the variation, but it is still present and important to correct for. The reason for this difference between studies could be our use of a more restricted database in comparison to theirs presenting a phylogenetically biased subset. Similarly to other studies on avian research effort we found an intermediate and significant effect of body mass, distribution range and biogeographic region (De Lima et al., 2011; Ducatez and Lefebvre, 2014; McKenzie and Robertson, 2015; Murray et al., 2015). As stated in these papers, larger birds with wider distributions are more studied, probably because they are more easily accessible by scientists (endemic species can only be studied by a limited number of scientists), more easily manipulated and their large size allows to do more studies (i.e., allowing to extract more blood, attaching tracking devices; Bridge et al., 2011). Nevertheless, given that many bird species are studied outside their breeding range, future investigations should explore the effect of non-breeding distribution range in this context. We also found a geographical pattern showing that those birds from certain areas (i.e., Palearctic) are more often studied (Figure 3). Previous studies already suggested that this geographic bias was of concern as there is no match between the biodiversity levels of a region and the research effort to study their species (Brito and Oprea, 2009). In contrast, we did not find an effect of conservation status. Two recent studies using regional databases also failed to detect such an effect (McKenzie and Robertson, 2015; Murray et al., 2015), although other papers have found that more threatened species are investigated more often (Brooks et al., 2008; De Lima et al., 2011; Ducatez and Lefebvre, 2014). This difference in results can be due again to the subset of species in our database, which does not includes many threatened species (99% of them are considered of least concern). Interestingly, we found an intermediate effect for the year of description of the species indicating that those species described more recently have fewer papers published (Figure 2). Recently, it was proposed for mammals that such an effect could be due to larger and more widely distributed species being described first (Brooke et al., 2014). This however does not seem to be the case as the intermediate effect of year of description is present even after controlling for those two traits, which suggest an effect of time-restriction (species described long ago have had more time to be investigated). Further studies are needed to differentiate whether mammals or other groups follow the same pattern shown here for birds. To our knowledge, it is the first time that this factor is tested explicitly and, together with our other results, suggests that research effort is complex and multifactorial, influenced by many different factors including geographic, phylogenetic, biotic and human causes.
Another important result from our study is the positive and strong correlations among all research effort variables obtained from four different databases. These correlations exceed 0.60, accounting thus for strong effects in consistency, and being higher than those found by the only single study that has tested for such a relationship (De Lima et al., 2011). This consistency is particularly strong between the number of papers obtained from Web of Science, Zoological Records and Google Scholar, with values higher than 0.90, which suggest that any of these variables can be used for studies on research effort. Therefore, considering the facility of access to Google Scholar, we recommend its use for future studies on the topic. On the contrary, the lower correlation with the number of papers included in the Handbook of the Birds of the World Alive as well as the difficulty to extract this information (much more time consuming than for the other databases as it is not completely digitalized) recommend against its use for research effort studies.
To sum up, our findings complement previous studies on avian research effort adding two new variables (urbanization and year of description) that significantly explain how bird species are studied, but also provide an additional perspective to those papers more focused on investigating temporal and geographic trends in avian urban ecology research (Marzluff, 2001, 2016). The effect of urbanization in human-nature interactions can be very subtle, like in our case, and deserves more attention in the future (i.e., exploring if our findings apply to other organisms too). It could be particularly interesting to study the ultimate reasons of the bias toward urban birds in order to detect whether we should re-orientate the allocation of scientific resources. Finally, we confirmed the utility of Google Scholar as a good database to carry out these kind of studies and recommend its use in future investigations. We hope that our study is useful to better understand how we study urban birds and more broadly the impacts of urbanization on organisms, including humans.
Funding
JDI was funded by a postdoctoral contract (TAHUB-104) from the program “Andalucía Talent Hub” (co-funded by the European's Union Seventh Framework Program Marie Skłodowska-Curie actions -COFUND- and the regional Government of Andalucía).
Conflict of interest statement
The authors declare that the research was conducted in the absence of any commercial or financial relationships that could be construed as a potential conflict of interest.
Statements
Author contributions
Conceived the study: JDI. Collected data: All authors. Analyzed data: JDI and ER. Wrote the first draft of the manuscript: JDI. All authors edited the manuscript.
Acknowledgments
We thank Maaike Versteegh and Juan J. Soler for their help with statistical analyses. Mario Díaz for his help with the Mesquite software. John C. O'Connor reviewed the English. Two reviewers provided very useful comments that considerably improved our manuscript. Caroline Isaksson kindly invited us to contribute to this special issue. Special thanks also to Olivia Sanllorente and Beatriz Rapado Tamarit for their help and constant support.
Conflict of interest
The authors declare that the research was conducted in the absence of any commercial or financial relationships that could be construed as a potential conflict of interest.
Supplementary material
The Supplementary Material for this article can be found online at: http://journal.frontiersin.org/article/10.3389/fevo.2017.00041/full#supplementary-material
References
1
BridgeE. S.ThorupK.BowlinM. S.ChilsonP. B.DiehlR. H.FléronR. W.et al. (2011). Technology on the move: recent and forthcoming innovations for tracking migratory birds. Bioscience61, 689–698. 10.1525/bio.2011.61.9.7
2
BritoD.OpreaM. (2009). Mismatch of research effort and threat in avian conservation biology. Trop. Conserv. Sci.2, 353–362. 10.1177/194008290900200305
3
BrookeZ. M.BielbyJ.NambiarK.CarboneC. (2014). Correlates of research effort in carnivores: body size, range size and diet matter. PLoS ONE9:e93195. 10.1371/journal.pone.0093195
4
BrooksT. M.CollarN. J.GreenR. E.MarsdenS. J.PainD. J. (2008). The science of bird conservation. Bird Conserv. Int.18, 1997–2002. 10.1017/S0959270908000427
5
CohenJ. (1988). Statistical Power Analysis for the Behavioral Sciences. New York, NY: Academic Press Inc.
6
CrociS.ButetA.ClergeauP. (2008). Does urbanization filter birds on the basis of their biological traits?Condor110, 223–240. 10.1525/cond.2008.8409
7
De LimaR. F.BirdJ. P.BarlowJ. (2011). Research effort allocation and the conservation of restricted-range island bird species. Biol. Conserv.144, 627–632. 10.1016/j.biocon.2010.10.021
8
Del HoyoJ.ElliottA.SargatalJ.ChristieD.de JuanaE. (2016). Handbook of the Birds of the World Alive. Barcelona: Lynx Edicions.
9
DevictorV.JulliardR.ClavelJ.JiguetF.LeeA.CouvetD. (2008). Functional biotic homogenization of bird communities in disturbed landscapes. Glob. Ecol. Biogeogr.17, 252–261. 10.1111/j.1466-8238.2007.00364.x
10
DíazM.MøllerA. P.Flensted-JensenE.GrimT.Ibáñez-ÁlamoJ. D.JokimäkiJ.et al. (2013). The geography of fear: a latitudinal gradient in anti-predator escape distances of birds across europe. PLoS ONE8:e64634. 10.1371/journal.pone.0064634
11
DíazM.CuervoJ. J.GrimT.Flensted-JensenE.Ibáñez-ÁlamoJ. D.JokimäkiJ.et al. (2015). Interactive effects of fearfulness and geographical location on bird population trends. Behav. Ecol.26, 716–721. 10.1093/beheco/aru211
12
DucatezS.LefebvreL. (2014). Patterns of research effort in birds. PLoS ONE9:e89955. 10.1371/journal.pone.0089955
13
DuckworthR. A. (2014). Human-induced changes in the dynamics of species coexistence: an example with two sister species, in Avian Urban Ecology: Behavioural and Physiological Adaptations, eds GilD.BrummH. (New York, NY: Oxford University Press), 181–191.
14
FormanR. (2014). Urban Ecology: Science of Cities. Cambridge: Cambridge University Press.
15
FreckletonR. P.HarveyP. H.PagelM. (2002). Phylogenetic analysis and comparative data: a test and review of evidence. Am. Nat.160, 712–726. 10.1086/343873
16
FullerR. A.IrvineK. N. (2010). Interactions between people and nature in urban environments, in Urban Ecology, ed GastonK. J. (New York, NY: Cambridge University Press), 134–171.
17
GastonK. (2010). Urban Ecology. Cambridge: Cambridge University Press.
18
GenzA.BretzF.MiwaT.MiX.LeischF.ScheiplF.et al. (2016). Mvtnorm: Multivariate Normal and t Distributions. R Packag. Version 1.0-5.
19
GilD.BrummH. (2014). Avian Urban Ecology: Behavioural and Physiological Adaptations. Oxford: Oxford University Press.
20
GrimmN. B.FaethS. H.GolubiewskiN. E.RedmanC. L.WuJ.BaiX.et al. (2008). Global change and the ecology of cities. Science319, 756–760. 10.1126/science.1150195
21
Ibáñez-ÁlamoJ. D.SolerM. (2010). Does urbanization affect selective pressures and life-history strategies in the common blackbird (Turdus merula L.)?Biol. J. Linn. Soc.101, 759–766. 10.1111/j.1095-8312.2010.01543.x
22
Ibáñez-ÁlamoJ. D.SanllorenteO.SolerM. (2012). The impact of researcher disturbance on nest predation rates: a meta-analysis. Ibis154, 5–14. 10.1111/j.1474-919X.2011.01186.x
23
Ibáñez-ÁlamoJ. D.RubioE.BenedettiY.MorelliF. (2016). Global loss of avian evolutionary uniqueness in urban areas. Glob. Chang. Biol. [Epub ahead of print]. 10.1111/gcb.13567
24
JetzW.SekerciogluC. H.BÃű¨hning-GaeseK. (2008). The worldwide variation in avian clutch size across species and space. PLoS Biol.6:e303. 10.1371/journal.pbio.0060303
25
JetzW.ThomasG. H.JoyJ. B.HartmannK.MooersA. O. (2012). The global diversity of birds in space and time. Nature491, 444–448. 10.1038/nature11631
26
KarkS.IwaniukA.SchalimtzekA.BankerE. (2007). Living in the city: can anyone become an “urban exploiter”?J. Biogeogr.34, 638–651. 10.1111/j.1365-2699.2006.01638.x
27
KilpatrickA. M. (2011). Globalization, land use, and the invasion of west Nile Virus. Science334, 323–327. 10.1126/science.1201010
28
KnopE. (2016). Biotic homogenization of three insect groups due to urbanization. Glob. Chang. Biol.22, 228–236. 10.1111/gcb.13091
29
LepczykC.WarrenP. (2012). Urban Bird Ecology and Conservation. London: University of California Press.
30
MaddisonW. P.MaddisonD. R. (2015). Mesquite: a Modular System for Evolutionary Analysis. Version 3.04.
31
MarzluffJ. M. (2001). Worldwide urbanization and its effects on birds, in Avian Ecology and Conservation in an Urbanizing World, eds MarzluffJ. M.BowmanR.DonnellyR. (Boston, MA: Springer US), 19–47.
32
MarzluffJ. M. (2016). A decadal review of urban ornithology and a prospectus for the future. Ibis159, 1–13. 10.1111/ibi.12430
33
MarzluffJ.BowmanR.DonnellyR. (2001). Avian Ecology and Conservation in an Urbanizing World. New York, NY: Springer Science.
34
McDonnellM. J.MacGregor-ForsI. (2016). The ecological future of cities. Science352, 936–938. 10.1126/science.aaf3630
35
McKenzieA. J.RobertsonP. A. (2015). Which species are we researching and why? A case study of the ecology of British breeding birds. PLoS ONE10:e0131004. 10.1371/journal.pone.0131004
36
McKinneyM. L. (2008). Effects of urbanization on species richness: a review of plants and animals. Urban Ecosyst.11, 161–176. 10.1007/s11252-007-0045-4
37
MøllerA. (2014). Behavioural and ecological predictors of urbanization, in Avian Urban Ecology: Behavioural and Physiological Adaptations, eds GilD.BrummH. (Oxford: Oxford University Press), 54–68.
38
MøllerA. P.DíazM.GrimT.DvorskáA.Flensted-JensenE.Ibáñez-ÁlamoJ. D.et al. (2015). Effects of urbanization on bird phenology: a continental study of paired urban and rural populations. Clim. Res.66, 185–199. 10.3354/cr01344
39
MøllerA. P.Ibáñez-ÁlamoJ. D. (2012). Escape behaviour of birds provides evidence of predation being involved in urbanization. Anim. Behav.84, 341–348. 10.1016/j.anbehav.2012.04.030
40
MorelliF.BenedettiY.Ibáñez-ÁlamoJ. D.JokimakiJ.MändR.TryjanowskiP.et al. (2016). Evidence of evolutionary homogenization of bird communities in urban environments across Europe. Glob. Ecol. Biogeogr.25, 1284–1293. 10.1111/geb.12486
41
MurrayH. J.GreenE. J.WilliamsD. R.BurfieldI. J.de BrookeM. L. (2015). Is research effort associated with the conservation status of European bird species?Endanger. Species Res.27, 193–206. 10.3354/esr00656
42
NationsU. (2014). World Urbanization Prospects, the 2014 Revision. New York, NY: Department of Economic and Social Affai.
43
NewboldT.HudsonL. N.HillS. L.ContuS.LysenkoI.SeniorR. A.et al. (2015). Global effects of land use on local terrestrial biodiversity. Nature520, 45–50. 10.1038/nature14324
44
ParadisE.ClaudeJ.StrimmerK. (2004). APE: analyses of phylogenetics and evolution in R language. Bioinformatics20, 289–290. 10.1093/bioinformatics/btg412
45
PautassoM. (2016). Scientometrics of forest health and tree diseases: an overview. Forests7, 1–12. 10.3390/f7010017
46
R Core Team (2016). R: A Language and Environment for Statistical Computing. R Foundation for Statistical Computing.
47
RevellL. J. (2012). Phytools: an R package for phylogenetic comparative biology (and other things). Methods Ecol. Evol.3, 217–223. 10.1111/j.2041-210X.2011.00169.x
48
SaetherB.-E. (1987). The influence of body weight on the covariation between reproductive traits in european birds. Oikos48, 79–88. 10.2307/3565691
49
SamiaD. S.NakagawaS.NomuraF.RangelT. F.BlumsteinD. T. (2015). Increased tolerance to humans among disturbed wildlife. Nat. Commun.6, 1–8. 10.1038/ncomms9877
50
SetoK. C.GüneralpB.HutyraL. R. (2012). Global forecasts of urban expansion to 2030 and direct impacts on biodiversity and carbon pools. Proc. Natl. Acad. Sci. U.S.A.109, 16083–16088. 10.1073/pnas.1211658109
51
SogaM.GastonK. J. (2016). Extinction of experience: the loss of human-nature interactions. Front. Ecol. Environ.14:25. 10.1002/fee.1225
52
SolD.González-LagosC.MoreiraD.MasponsJ.LapiedraO. (2014). Urbanisation tolerance and the loss of avian diversity. Ecol. Lett.17, 942–950. 10.1111/ele.12297
53
United Nations (2016). Urbanization and Development: Emerging Futures. World Cities Report 2016. Nairobi: United Nations.
54
United Nations (2012). World Urbanization Prospects: The 2011 Revision. New York, NY: United Nations.
55
VenablesW. N.RipleyB. D. (2002). Modern Applied Statistics with S, 4th Edn.New York, NY: Springer.
Summary
Keywords
birds, human-nature interactions, research effort, urbanization
Citation
Ibáñez-Álamo JD, Rubio E and Bitrus Zira K (2017) The Degree of Urbanization of a Species Affects How Intensively It Is Studied: A Global Perspective. Front. Ecol. Evol. 5:41. doi: 10.3389/fevo.2017.00041
Received
10 February 2017
Accepted
20 April 2017
Published
11 May 2017
Volume
5 - 2017
Edited by
Caroline Isaksson, Lund University, Sweden
Reviewed by
Erno Vincze, University of Pannonia, Hungary; Jose A. Masero, University of Extremadura, Spain
Updates
Copyright
© 2017 Ibáñez-Álamo, Rubio and Bitrus Zira.
This is an open-access article distributed under the terms of the Creative Commons Attribution License (CC BY). The use, distribution or reproduction in other forums is permitted, provided the original author(s) or licensor are credited and that the original publication in this journal is cited, in accordance with accepted academic practice. No use, distribution or reproduction is permitted which does not comply with these terms.
*Correspondence: Juan D. Ibáñez-Álamo j.d.ibanez-alamo@rug.nl
This article was submitted to Behavioral and Evolutionary Ecology, a section of the journal Frontiers in Ecology and Evolution
Disclaimer
All claims expressed in this article are solely those of the authors and do not necessarily represent those of their affiliated organizations, or those of the publisher, the editors and the reviewers. Any product that may be evaluated in this article or claim that may be made by its manufacturer is not guaranteed or endorsed by the publisher.