Your new experience awaits. Try the new design now and help us make it even better

REVIEW article

Front. Astron. Space Sci., 21 December 2018

Sec. Cosmology

Volume 5 - 2018 | https://doi.org/10.3389/fspas.2018.00044

Dark Energy in Light of Multi-Messenger Gravitational-Wave Astronomy

  • 1Instituto de Física Teórica UAM/CSIC, Universidad Autónoma de Madrid, Madrid, Spain
  • 2Berkeley Center for Cosmological Physics, LBNL and University of California at Berkeley, Berkeley, CA, United States
  • 3Institut de Physique Théorique, Université Paris Saclay CEA, CNRS, Gif-sur-Yvette, France

Gravitational waves (GWs) provide a new tool to probe the nature of dark energy (DE) and the fundamental properties of gravity. We review the different ways in which GWs can be used to test gravity and models for late-time cosmic acceleration. Lagrangian-based gravitational theories beyond general relativity (GR) are classified into those breaking fundamental assumptions, containing additional fields and massive graviton(s). In addition to Lagrangian based theories we present the effective theory of DE and the μ-Σ parametrization as general descriptions of cosmological gravity. Multi-messenger GW detections can be used to measure the cosmological expansion (standard sirens), providing an independent test of the DE equation of state and measuring the Hubble parameter. Several key tests of gravity involve the cosmological propagation of GWs, including anomalous GW speed, massive graviton excitations, Lorentz violating dispersion relation, modified GW luminosity distance and additional polarizations, which may also induce GW oscillations. We summarize present constraints and their impact on DE models, including those arising from the binary neutron star merger GW170817. Upgrades of LIGO-Virgo detectors to design sensitivity and the next generation facilities such as LISA or Einstein Telescope will significantly improve these constraints in the next two decades.

1. Introduction

The Standard Model of Cosmology (or ΛCDM) stands as a robust description of our universe. It is based on the theory of General Relativity (GR), which dictates the long-range gravitational interactions, together with the Cosmological Principle, which describes the geometry as homogeneous and isotropic on large scales. Standard matter (baryons, photons, neutrinos…) represents only a small fraction of the energy budget of the universe. The main ingredient is dark energy (DE), an unknown substance causing the late time acceleration. The other major component is dark matter (DM), an undetected constituent that seeds cosmic structures. The last piece of the Standard Model (SM) of Cosmology are the initial conditions, which are thought to be set by an early period of quasi-exponential expansion known as inflation. Despite the observational success of this model (Aghanim et al., 2018), it remains as a puzzle the fundamental origin of each piece, which could be associated to new physics (see Figure 1 for a summary of the different ingredients).

FIGURE 1
www.frontiersin.org

Figure 1. Ingredients of the Standard Model of Cosmology and their possible connection with new physics.

In the SM of Cosmology, the current accelerated expansion is explained by a constant energy density acting as a perfect fluid with negative pressure. Such a cosmological constant (CC) term is perfectly consistent with present observations but notoriously disagrees with theoretical expectations for the vacuum energy (Weinberg, 1989; Martin, 2012). If this energy density is let to evolve in time, one naturally arrives to a dynamical description of DE sourced by a cosmological scalar field (Copeland et al., 2006). If this field is now allowed to interact (non-minimally) with gravity, the possibilities to describe the cosmic expansion escalate (Clifton et al., 2012). Alternatives to ΛCDM offer the possibility to alleviate some of its tensions. For instance, DE models with an effective equation of state more negative than the cosmological constant could ease the tension between the local measurement of the Hubble constant and the inferred value from the cosmic microwave background (CMB). Exploring the largest scales with galaxy surveys like Euclid or LSST will help us understanding the expansion history of the universe and will provide new insights about gravity.

Gravity can be tested at different scales and regimes. Classical tests of gravity range from laboratory experiments to Solar System distances, and cover gravity in its weak field regime (Will, 2014). Astrophysical observations provide new avenues to improve these tests (Berti et al., 2015). Pulsars in particular can be especially constraining, for instance with the recent observations of a triple stellar system (Archibald et al., 2018). Tests in a much stronger regime have been performed tracking stellar orbits around the galactic center (Hees et al., 2017). Altogether, these observations severely constrain modifications of GR. Theories beyond Einstein's theory should thus resemble GR at small scales, e.g., hiding fifth forces with screening mechanisms (Brax, 2013; Joyce et al., 2015). At large scales, however, present constraints are considerably weaker. Combining different probes could be crucial to set an observational program to test gravity from cosmology (Weinberg et al., 2013).

Gravitational wave (GW) astronomy offers the possibility to test gravity both in the strong regime and at large scales. So far there have been six individual detections, five binary black-holes (BBH) (Abbott et al., 2016a,b, 2017f,g,h) and one binary neutron star (BNS) (Abbott et al., 2017a). No GW background (Abbott et al., 2018d), periodic source (Abbott et al., 2018c) or long-duration transient (Abbott et al., 2018b) have been detected.

GWs could be critical in resolving the open problems of the SM of Cosmology. For instance, (non) observations of cosmological backgrounds of primordial GWs test inflation. BBHs events teach us about the population of BHs, which constrains their possible contribution to DM and their possible primordial origin (Sasaki et al., 2018). Moreover, if DM is described by ultra-light bosons or axions, it could resonate with pulsars (Blas et al., 2017) or form clouds around BHs observable with GWs (Arvanitaki et al., 2017). Finally, BNS with an associated counterpart such as GW170817 (Abbott et al., 2017e,i) become standard sirens (Abbott et al., 2017b) and allow to probe DE. In this review we will focus on this last case, exploring the possibilities of multi-messenger GW astronomy to probe the nature of DE and the fundamental properties of gravity (see a schematic timeline of present and future facilities in Figure 2).

FIGURE 2
www.frontiersin.org

Figure 2. Schematic multi-messenger GW astronomy timeline. The binary neutron star (BNS) rate, the localization area in the sky, and the number of BNS detections are given for past and future observation runs. Second generation (2G) ground-based detectors organize in five runs (O1-O5) with different number of detectors online (from 2 to 5) (Abbott et al., 2018e). The nomenclature used is H, Hanford; L, Livingston; V, Virgo; K, KAGRA; I, IndIGO. Third generation (3G) detectors projected are Einstein Telescope (ET) (Sathyaprakash et al., 2012) or Cosmic Explorer (CE) (Abbott et al., 2017c). The localization in 3G depends on the network of detectors which is still uncertain (Mills et al., 2018). For reference, we include the timeline space-based detector LISA (Amaro-Seoane et al., 2013). The reader should note that this numbers correspond to present expectations. For more details we refer to section 3.4.

1.1. Summary for the Busy Reader

Dark energy is the major component of the universe and yet its nature escapes our present understanding. Beyond the cosmological constant paradigm, a plethora of alternative theories of gravity has been proposed to explain the current cosmic acceleration (see Figure 3 for a roadmap of possible modifications of gravity). We present an overview of the landscape of theories in section 2, as well as a summary of the different approaches to cosmological gravity (see Figure 4 for a schematic diagram).

FIGURE 3
www.frontiersin.org

Figure 3. Modified gravity roadmap summarizing the possible extensions of GR described in section 2. The main gravitational wave (GW) test of each theory is highlighted. For details in the different tests see the discussion in section 5 (GW speed and dispersion), section 6 (GW damping), and section 7 (GW oscillations). Theories constrained by the GW speed and GW oscillations can also be tested with GW damping and GW dispersion, respectively. Note in addition that many theories fall under different categories of this classification (see text in section 2.1).

FIGURE 4
www.frontiersin.org

Figure 4. Effective descriptions of cosmological gravity, their relations and main advantages/shortcomings. Theories of gravity based on a gravitational Lagrangian are described in section 2.1. The effective theory approach is described in section 2.2.1 and the Gravitational “constants” in section 2.2.2.

Gravitational wave astronomy opens new possibilities to probe gravity and DE. For readers unfamiliar with the basics of GWs, we provide a short introduction in section 3. For the purpose of cosmology, the most promising GW events are those that can be observed by other messengers (either EM waves or neutrinos). There are four main tests one can do with multi-messenger GW events:

Standard sirens (section 4): the amplitude of GWs is inversely proportional to its luminosity distance. If a counterpart of the GW is observed, a redshift measurement of the source is possible and the cosmic expansion history can be constrained. For close by sources, only the Hubble constant is measured. Future standard sirens measurements could help resolving the present tension in H0 (see Figure 8).

GW speed (section 5): the propagation speed of GWs follows from the dispersion relation. Once the location of a GW event is known, it is possible to compare the speed of GWs with respect to the speed of light. Many alternative gravity theories predict that GWs propagate at a different speed either by modifying the effective metric in which GWs propagate, by inducing a mass for the graviton or by introducing higher order terms in the dispersion relation.

GW damping (section 6): modified gravity interactions can also alter the amplitude of GWs. In addition to the cosmic expansion, effective friction terms can damp GWs. This introduces an inequality between the GW and the EM luminosity distance that can be tested.

Additional polarizations (section 7): in alternative theories of gravity, there could be additional modes propagating. These extra polarizations could be directly tested if the source is localized and there is a network of detectors online. Moreover, these modes could mix with the tensor perturbations leading, for instance, to GW oscillations.

In this review we aim at summarizing current bounds on gravity theories and dark energy models from the first multi-messenger GW detection, GW170817. Up to date, the most constraining test is the GW speed. We also survey the prospects of different multi-messenger tests with future detectors. Significant improvements can be achieved in probing the GW Hubble diagram with an increasing number of events. A schematic timeline of multi-messenger GW astronomy is presented in Figure 2 (the reader should be aware that expectations far in the future are very preliminary). The theoretical implications of present and future observations are discussed in section 8. We close the work in section 9 with an outlook of prospects and challenges of multi-messenger GW tests of gravity and DE.

2. Theories of Gravity and Dark Energy

The quest to test gravity and find alternatives to the cosmological constant has produced many theories beyond Einstein's General Relativity (GR) and other descriptions of gravity on cosmological scales. We will classify the different means to modify Einstein's theory and review their status as descriptions of cosmic acceleration. Then we will review other general approaches to describe gravity on cosmological scales, namely through the effective theory of dark energy and phenomenological parameterizations of the gravitational potentials. The landscape of alternative theories is summarized in Figure 3 and the approaches to cosmological gravity are schematically described in Figure 4.

2.1. Theories of Gravity

The action-based approach to modify gravity is based on generalizing the Einstein-Hilbert action

SGR=d4x-gR[gμν]16πG+Sm[gμν,],    (1)

where G is Newton's constant and Sm denotes the action of matter, universally and minimally coupled to the metric gμν. Variation of the action (1) with respect to the metric leads to Einstein's field equations

GμνRμν-12Rgμν=8πGTμν,    (2)

where Rμν is the Ricci tensor, RgμνRμν the Ricci scalar and Tμν=-2-gδSmδgμν is the matter energy-momentum tensor. Einstein's equations can be used to obtain solutions for the space-time (gμν) given the matter content (Tμν) in any physical situation, including cosmological solutions relevant to study dark energy.

The structure of gravitational theories is severely restricted and several results can be used to prove the uniqueness of General Relativity under quite broad assumptions. Weinberg's theorems restrict possible infrared (low energy) interactions of massless, Lorentz invariant particles, which for spin-2 lead unavoidably to the equivalence principle (Weinberg, 1964) and the derivation of Einstein's equations (Weinberg, 1965)1. At the classical level, the results of Lovelock imply that the Einstein-Hilbert action is unique in 4D (Lovelock, 1971, 1972).

According to the above results, alternative theories of gravity can be classified into those that

• Break the fundamental assumptions.

• Include additional fields.

• Make the graviton massive.

Note that those descriptions are not exclusive, and many theories fall within several categories. For instance: bimetric gravity has an additional field (tensor) and contains a massive graviton, Einstein-Aether is both Lorentz-violating and includes a vector field, TeVeS has a scalar in addition to a vector, and many extra-dimensional models can be described in terms of additional fields in certain limits. Also, when referring to massive gravitons, we will be considering only classical spin-2 fields.

2.1.1. Breaking Fundamental Assumptions

The theorems that fix the structure of General Relativity assume a four dimensional pseudo-Riemannian manifold and local interactions satisfying Lorentz invariance. Any departure from these principles offers a way to construct modified theories of gravity2.

2.1.1.1. Extra dimensions

Additional spatial dimensions allow the inclusion of new operators constructed only from the metric tensor. The canonical example are Lovelock invariants (Lovelock, 1971), such as the Gauss-Bonnet term (a topological term in 4 dimensions which does not contribute to the equations of motion). The lack of observation of extra dimensions requires some mechanism to hide them. One example is compactification, when extra dimensions are sufficiently small that they are not accessible to experimental tests (Bailin and Love, 1987; Overduin and Wesson, 1997). A radically opposite view consist on Braneworld constructions, in which the standard model fields live in a 3+1 dimensional brane, embedded in the higher dimensional space (Antoniadis et al., 1998; Arkani-Hamed et al., 1998; Randall and Sundrum, 1999). The Dvali-Gabadadze-Porrati (DGP) model (Dvali et al., 2000; Nicolis and Rattazzi, 2004) is one such construction in which self-accelerating solutions3 can be obtained. However, this branch of solutions is plagued by a ghost instability. The 4D effective theory can avoid this problem and was the origin of Galileon gravity (Nicolis et al., 2009).

2.1.1.2. Lorentz invariance violation

Gravity can be extended by breaking Lorentz invariance. In many of these alternatives a preferred time direction emerges spontaneously breaking Lorentz symmetry (see Blas and Lim, 2015 for a review). Hořava gravity (Horava, 2009) implements Lorentz violation through a preferred foliation of space-time, with the attractive property that Lorentz symmetry can be recovered at low energies (see Blas et al., 2009, 2010; Sotiriou et al., 2009a,b; Sotiriou, 2011 for extensions/variants) and leading to a power-counting renormalizable theory of gravity. Another class of Lorentz-violating theories is Einstein-Aether, in which a vector field with constant norm introduces a preferred direction (Jacobson, 2007). The special case of Einstein-Aether theories in which the vector field is the gradient of a scalar is known as Khronometric (Blas et al., 2011b). Khronometric theories describe the low-energy limit of some extension of Hořava-gravity, linking the two frameworks (Jacobson, 2010). These ideas have been studied as cosmological scenarios (Audren et al., 2013, 2015).

2.1.1.3. Non-local theories

Non-local theories include inverse powers of the Laplacian operator. These models can involve general functions (e.g., R·f(□−1R)) (Deser and Woodard, 2007; Koivisto, 2008) or be linear (e.g., Rm22R) (Jaccard et al., 2013). The latter class of models lead to phantom dark energy (Maggiore, 2014; Maggiore and Mancarella, 2014) and are compatible with cosmological observations (Dirian et al., 2015) (see Maggiore and Mancarella, 2014 for a review). However, their viability on the solar system is disputed due to the time evolution of the effective degrees of freedom and the lack of a screening mechanism (Barreira et al., 2014b). Non-local interactions have been also proposed as a means to improve the ultra-violet behavior of gravity (Biswas et al., 2012; Modesto, 2012; Calcagni and Modesto, 2015). Non-local models are constructed using the Ricci scalar, since non-local terms involving contractions of the Ricci tensor give rise to cosmological instabilities (Ferreira and Maroto, 2013; Nersisyan et al., 2017).

2.1.2. Additional Fields

Gravity can be extended by the inclusion of additional fields that interact directly with the metric. These theories will vary by the type of field (scalar, vector, tensor) and the interaction with gravity it has. Theories with additional tensors (bigravity and multigravity) are extensions of massive gravity and will be described in section 2.1.3. We will assume a minimal universal coupling of matter to the metric. For a very complete review of gravity theories containing additional fields, see Heisenberg (2018a).

2.1.2.1. Scalar field

A scalar is the simplest field by which gravity can be extended. Scalars do not have a preferred orientation and thus a macroscopic, classical state can exist in the universe without affecting the isotropy of the space-time if it depends only on time. Moreover, a potential term can mimic a cosmological constant very closely in the limit in which the field is varying very slowly (e.g., if the potential is very flat), which is the foundation of the simplest single-field inflation and dark energy models (quintessence). Scalar fields may also arise in effective descriptions of fundamental theories belonging to other categories, such as braneworld constructions (de Rham and Tolley, 2010; Goon et al., 2011; Koivisto et al., 2014). These properties had led to a proliferation of scalar-based models to describe accelerating cosmologies, both in the context of inflation and dark energy.

Recent efforts to study scalar-tensor theories have led to a classification based on the highest-order derivatives of the additional field present in the action and the equations of motion, with three generations of theories

1. Old-school scalar tensor theories: 1st order derivatives in the action, 2nd order in equations.

2. Horndeski theories (Horndeski, 1974): 2nd order derivatives in the action and 2nd order in equations.

3. Beyond Horndeski: 2nd order derivatives in the action and higher order in equations.

The classification is motivated by Ostrogradski's theorem, which states that theories with second and higher (time) derivatives in the action generically introduce unstable degrees of freedom (Ostrogradski, 1850; Woodard, 2015). While most physical theories belong to the first class, known loopholes to Ostrogradski's theorem exits, for instance in effective or non-local theories (in which the ghost degrees of freedom are removed) (Simon, 1990) or when the theory is degenerate (that is, the inversion to canonical variables is not possible). The degeneracy condition is automatically satisfied if the equations of motion are second order, but that is not strictly necessary (different conditions appear when there are additional degrees of freedom Motohashi et al., 2016)4. Known viable beyond Horndeski theories are known as Degenerate Higher Order Scalar Tensor (DHOST) (Langlois and Noui, 2016), which have second derivatives in the action (higher derivatives in the equations), but recently toy models with higher derivatives in the action have been proposed (Motohashi et al., 2018).

Old-school scalar-tensor theories contain at most first derivatives of the scalar in the action. They can be seen as a generalization of the Jordan-Brans-Dicke theory of gravity (Brans and Dicke, 1961)

S= d4x-gMPl22[ω(ϕ)R-K(X,ϕ)]+Sm,    (3)

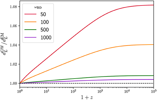
where Xνϕνϕ/2 is the canonical kinetic term of the scalar field. This theory includes GR (ω=1,K=Λ), quintessence (ω=1,K=XV) (Ratra and Peebles, 1988; Wetterich, 1988), Brans-Dicke models (Brans and Dicke, 1961) (ω=ϕ,K=ωBDϕXV(ϕ)), k-essence (Armendariz-Picon et al., 1999, 2001) (ω=1,K=K(ϕ,X)). Archetypal modified-gravity models such as f(R) (Carroll et al., 2004; Hu and Sawicki, 2007; Sotiriou and Faraoni, 2010) are equivalent to instances of these theories (De Felice and Tsujikawa, 2010b). Chameleons (Khoury and Weltman, 2004) and symmetrons (Hinterbichler and Khoury, 2010) also belong to this class of theories (see Burrage and Sakstein, 2016 for a review). Certain freedom exists in writing the theory due to the possibility of rescaling the metric gμν → ḡμν = C(ϕ)gμν and redefining the scalar field, i.e., the Jordan frame in which the metric is minimally coupled (3) and the Einstein frame in which ω is constant but matter is explicitly coupled to the scalar (Flanagan, 2004). Current cosmological observations constrain the Brans-Dicke parameter ωBD > 692 (99%) (Avilez and Skordis, 2014).

Horndeski's theory contains the best understood examples of scalar-tensor theories. The Horndeski action encompasses all local, 4D Lorentz invariant actions whose metric and field variation leads to second order equations of motion (Horndeski, 1974) (Horndeski's theory is also known in the literature as Generalized Galileons Deffayet et al., 2011; Kobayashi et al., 2011). Horndeski's action reads

S=d4x-gi=25Li[ϕ,gμν]+Sm[χi,gμν],    (4)

where we have assumed minimal and universal coupling to matter in Sm. The sum is over the four Lagrangians

L2=K(X,ϕ),    (5)
L3=-G3(X,ϕ)ϕ,    (6)
L4=G4(X,ϕ)R+G4X{(ϕ)2-ϕμνϕμν},    (7)
L5=G5(X,ϕ)Gμνϕμν-16G5X{(ϕ)3-3ϕμνϕμνϕ                                         +2ϕv    μϕα   νϕμ    α},    (8)

where K and GA are functions of ϕ and X-νϕνϕ/2, and the subscripts X and ϕ denote partial derivatives. Horndeski theories include all the generalized Jordan-Brans-Dicke type, plus new additions that involve second derivatives of the scalar at the level of the action. These include kinetic gravity braiding (KGB) (K(X), G3(X)) (Deffayet et al., 2010; Kobayashi et al., 2010; Pujolas et al., 2011), covariant galileons (K, G3X, G4,G5X2) (Deffayet et al., 2009; Nicolis et al., 2009), disformal (Koivisto et al., 2012) and Dirac-Born-Infeld gravity (Gi1+X/Λi4) (de Rham and Tolley, 2010; Zumalacarregui et al., 2013), Gauss-Bonnet couplings (Ezquiaga et al., 2016) and models self-tuning the cosmological constant (Charmousis et al., 2012a; Martin-Moruno et al., 2015). Just as Brans-Dicke is invariant under rescalings of the metric, Horndeski theories are invariant under field-dependent disformal transformations gμν → ḡμν = C(ϕ)gμν + D(ϕ)ϕ, μϕ, ν, which amount to a redefinition of the Horndeski functions Gi (and the introduction of an explicit coupling to matter) (Bettoni and Liberati, 2013).

Theories beyond Horndeski have higher order equations of motion without including additional degrees of freedom. The first examples of these theories (Zumalacárregui and García-Bellido, 2014) were related to GR by a metric redefinition involving derivatives of the scalar field (Bekenstein, 1993),

gμνμν=C(X,ϕ)gμν+D(X,ϕ)ϕ,μϕ,ν,    (9)

applied to the gravity sector. The simplest such beyond Horndeski theory emerged from the metric rescaling with derivative dependence C = Ω2(X, ϕ), D = 0, and was dubbed kinetic conformal gravity (Zumalacárregui and García-Bellido, 2014)

SC=d4x-g16πG(Ω2R+6Ω,αΩ,α)+Sϕ+SM,    (10)

where Sϕ is an additional scalar field Lagrangian. One of the premises in constructing this type of theory was the existence of an inverse for the relation (9), which can be studied through the Jacobian of the mapping (Zumalacárregui and García-Bellido, 2014). If this assumption is broken the resulting theory is mimetic gravity (Chamseddine and Mukhanov, 2013), a gravitational alternative to dark matter. Interestingly, the conformal relation between kinetic conformal gravity (10) and GR ensures that this is one of the theories in which the speed of GWs is nontrivially equivalent to the speed of light (Creminelli and Vernizzi, 2017; Ezquiaga and Zumalacárregui, 2017).

The best known beyond Horndeski theory is given by the Gleyzes-Langlois-Piazza-Vernizzi (GLPV) action (Gleyzes et al., 2015b), which consists of Horndeski plus the additional Lagrangian terms:

L4b=B4(ϕ,X)ϵμνρσϵμνρσϕμϕμϕννϕρρ,    (11)
L5b=B5(ϕ,X)ϵμνρσϵμνρσϕμϕμϕννϕρρϕσσ.    (12)

Horndeski and GLPV Lagrangians of the same order, i.e., L4+L4b (7+11) or L5+L5b (8+12), can be mapped to Horndeski via gμν → ĝμν = C(ϕ)gμν + D(X, ϕ)ϕμϕν showing the viability of these combinations (Gleyzes et al., 2015a,b). For generic combinations of Horndeski and GLPV, viability arguments were first based on a special gauge (unitary gauge) that assumed that the scalar field derivative ϕμ is timelike. Subsequent analyses eventually lead to covariant techniques to study the degeneracy conditions (Langlois and Noui, 2016) (see Deffayet et al., 2015 for earlier criticism). These techniques later showed that not all Horndeski and GLPV combinations met the degeneracy condition on a covariant level (Crisostomi et al., 2016a).

The study of degeneracy conditions for scalar-tensor theories ultimately led to the degenerate higher-order scalar-tensor (DHOST) (Langlois and Noui, 2016) paradigm classification of theories with the right number of degrees of freedom (also known as Extended Scalar-Tensor or EST) (Crisostomi et al., 2016b). DHOST theories include cases beyond conformal kinetic gravity (10) and GLPV theories (11,12). DHOST theories are invariant under general disformal transformations (9), which can in turn be used to classify them (Ben Achour et al., 2016b) (see also Crisostomi et al., 2017). DHOST theories have been fully identified including terms with up to cubic second-field derivatives in the action, e.g., ~(□ϕ)3 (Ben Achour et al., 2016a). Demanding the existence of a Poisson-like equation for the gravitational potential restricts the space of DHOST theories to those that are related to Horndeski via disformal transformations (9) (Langlois et al., 2017).

2.1.2.2. Vector field

Theories with vector fields have been proposed as modifications to GR and in the context of dark energy. A background vector field does not satisfy the isotropy requirements of the cosmological background, unless it points in the time direction and only depends on time Aμ = (A0(t), 0, 0, 0). Isotropy can also happen on average, if a vector with a space-like projection oscillates much faster than the Hubble time (Cembranos et al., 2012). In that case the background is isotropic on average but the perturbations (including gravitational waves) inherit a residual anisotropy (Cembranos et al., 2017). Finally, theories with multiple vectors can satisfy isotropy, for instance, if they are in a triad configuration Aμa=A(t)δμa (Armendariz-Picon, 2004)5. A large number of vectors can also lead to statistical isotropy (e.g., if the orientations are random) (Golovnev et al., 2008). The kinetic term for a vector field, FμνFμν, is defined by the gauge invariant field strength Fμν = ∂μAν−∂νAμ and the addition of a mass term m2Aμ2 is known as Proca theory (Proca, 1936).

Proca theories have been generalized to include explicit gravitational interactions of a massive vector field (Heisenberg, 2014; Tasinato, 2014; Allys et al., 2016a; Beltran Jimenez and Heisenberg, 2016). The vector field Lagrangian is built so that precisely one extra (longitudinal) scalar mode propagates in addition to the two usual Maxwell-like transverse polarizations. Its full generalization contains terms with direct couplings between the vector and space-time curvature, whose structure closely resembles those of Horndeski's theory (7,8). In analogy to beyond Horndeski, there are also beyond generalized Proca interactions (Heisenberg et al., 2016; Kimura et al., 2017). Further extensions to multiple vector fields known as generalized multi-Proca/Yang-Mills theories are able to incorporate new couplings (Allys et al., 2016b) and configurations (Beltran Jimenez and Heisenberg, 2017), e.g., the extended triad Aμa=ϕaδμ0+A(t)δμa, as do theories with a vector and a scalar (Scalar-Vector-Tensor) (Heisenberg, 2018b). For more details about these theories we recommend Heisenberg (2018a).

An iconic theory containing a vector is the Tensor-Vector-Scalar (TeVeS) theory by Bekenstein (2004). TeVeS emerged as a relativistic theory able to describe Modified Newtonian Dynamics (MOND), and thus as an alternative to dark matter. For an overview of field-theoretical aspects of TeVeS and related theories, including other relativistic MOND candidates, see Bruneton and Esposito-Farese (2007). TeVeS theory introduces several non-minimal ingredients. In addition to the gravitational metric g~μν matter is minimally coupled to an effective metric

gμν=e-2ϕg~μν-2sinh(2ϕ)AμAν,    (13)

which generalizes the scalar disformal relation (9), incorporating the vector. Here g~μν is the gravitational metric, ϕ is the scalar. The vector Aμ is enforced to be time-like and normalized with respect to the gravitational metric g~μνAμAν=-1. TeVeS has a very rich phenomenology, including effects in GW propagation (Sagi, 2010). At the level of cosmology it is partially able to mimic DM, although the oscillations of the fields make it hard for the theory to reproduce the peaks in the CMB (Skordis et al., 2006; Bourliot et al., 2007; Skordis, 2009).

2.1.3. Massive Gravity and Tensor Fields

Giving a mass to the graviton is another means to extend GR, with gravity mediated by a particle with mass mg, spin s = 2 and 2s+1 = 5 polarization states (see de Rham et al., 2017 for bounds on the graviton mass). Weinberg theorem on the structure of GR relies on the infrared properties of the interactions: a mass term changes this structure. Despite this clear loophole, constructing a self-consistent theory of massive gravity, free of pathologies and with the right number of degrees of freedom proved an extremely hard endeavor that took nearly 70 years to complete. The linear theory of massive gravity was formulated in 1939 by Fierz and Pauli (1939) as linearized GR plus a mass term

SFP=d4xmg2(hμνhμν-(ημνhμν)2).    (14)

It was later found that Fierz-Pauli theory was discontinuous and gave different results from GR in the limit mg → 0 (vDVZ discontinuity) (van Dam and Veltman, 1970; Zakharov, 1970). The discrepancy is due to the longitudinal polarization of the graviton (the helicity-zero mode) not decoupling in that limit. Considering non-linear interactions solved the apparent discontinuity by hiding the helicity-zero mode, which is strongly coupled in regions surrounding massive bodies and effectively decouples, recovering the GR predictions when mg → 0 (Vainshtein, 1972). Despite this progress, massive gravity had another important flaw: all theories seemed to have an additional mode (known as Boulware-Deser (BD) ghost) that renders the theory unstable (Boulware and Deser, 1972; Creminelli et al., 2005).

2.1.3.1. Ghost free massive gravity

The apparent difficulties were overcome in de Rham-Gabadadze-Tolley theory (dRGT) (de Rham et al., 2011), also known as ghost-free massive gravity (for current reviews on the theory see Hinterbichler, 2012; de Rham, 2014). dRGT is a ghost free theory propagating the 5 polarizations corresponding to a spin-2 massive particle, universally coupled to the energy-momentum tensor of matter (cf. Figure 6). The ghost-free property was initially shown in the decoupling limit (in which the helicity-0 mode decouples from the other polarizations) and then in the full theory (Hassan and Rosen, 2012b,c). The phenomenological deviations induced by massive gravity are primarily due to the helicity-0 mode. On small enough scales the Vainshtein mechanism (Vainshtein, 1972) (see Babichev and Deffayet, 2013 for a review) effectively suppresses these interactions, leading to predictions very similar to GR on Solar System scales (however, new classes of solutions for black holes do exist, in addition to the usual ones Babichev and Brito, 2015).

Massive gravity may offer a solution to the accelerating universe. A heuristic argument is that the force mediated by the massive graviton has a finite range V~1rexp(-r/λg), weakening over distances larger than the Compton wavelength of the graviton rλg=/(mgc2). Hence, if the mass of the graviton is mg ~ H0 then gravity weakens at late times and on cosmological scales, causing an acceleration of the cosmic expansion relative to the GR prediction. The program to apply massive gravity as a dark energy model has hit important barriers, as flat FLRW solutions do not exist in this theory (D'Amico et al., 2011). Accelerating solutions without a cosmological constant (CC) do exist with open spatial hypersurfaces (Gumrukcuoglu et al., 2011), but they are unstable (De Felice et al., 2013). Proposed solutions include the graviton mass being generated by the vacuum expectation value of a scalar (D'Amico et al., 2011) or deformations of the theory in which the BD ghost is introduced, which provides dynamical accelerating, but meta-stable solutions (Könnig et al., 2016). Alternatively, one could promote the coefficients of the potential to be functions of the Stueckelberg fields (de Rham et al., 2014). Other ways to make massive gravity dynamical include the addition of a new field, such as a scalar field, e.g., quasi-dilaton (D'Amico et al., 2013), or one (or several) dynamical tensors in bigravity (and multigravity).

2.1.3.2. Bigravity and multigravity

In order to write a mass term for the metric, dRGT incorporates an additional, non-dynamical tensor, akin to the occurrence of ημν in Equation (14). Massive gravity can be extended by including a kinetic term to the auxiliary metric, which becomes fully dynamical. This leads to the theory of bigravity (or bimetric gravity) (Hassan and Rosen, 2012a), which contains two spin-2 particles: one massive and one massless. The same procedure can be extended to more than two interacting metrics, leading to multigravity theories (Hinterbichler and Rosen, 2012). In these constructions there is always one massless excitation of the metric (a combination of the different tensor fields), with all other excitations being massive.

Bigravity solves the problem of cosmological evolution, at least at the background level. Flat FLRW solutions do exist, and many viable expansion histories have been found to be compatible with data (Akrami et al., 2013) and satisfying the Higuchi stability bound (Fasiello and Tolley, 2013). However, it was later found that these models had instabilities that affected the growth of linear perturbations (Comelli et al., 2014), which were found to be quite generic across different branches of solutions (Könnig, 2015). In some cases the instabilities affect only scales sufficiently small for non-linear effects to be important (i.e., the Vainshtein mechanism) which might render the theory stable (Mortsell and Enander, 2015). Another solution is to choose the parameters of the theory so instabilities occur at early times, when characteristic energies are high and bigravity is not a valid effective field theory. This happens by choosing a large hierarchy between the two Planck masses: the so-obtained theory is practically indistinguishable from GR plus a (technically natural) CC (Akrami et al., 2015).

2.2. Descriptions of Cosmological Gravity

The immense variety of alternative theories has motivated the search for effective descriptions able to capture the phenomenology of generic dark energy models. The covariant actions approach reviewed in section 2.1 offers several advantages, including (1) full predictivity, as (classical) solutions can be found from microscopic scales, to strong gravity and all the way to cosmology, (2) self-consistency, as different regimes can be computed for the same theory, leading to tighter constraints when the data is combined. For instance, following this approach, we discuss the cosmology of covariant Galileons in section 4.1. Nonetheless, a great downside of this approach is that the predictions for every model/theory have to be obtained from scratch, which makes the exploration of the theory space a daunting task.

An alternative route is to constrain deviations from GR, without reference to any fundamental theory. The tradeoff is to keep the theory of gravity as general as possible at the expense of dealing with a very simple space-time. The simplest situation is where the background space-time is flat and maximally symmetric (Minkowski), a setup useful to model gravity in the Solar System. In this simple case one can define a series of quantities, known as Parameterized Post-Newtonian (PPN) coefficients, that describe general modifications of gravity over Minkowski space (see Will, 2014 for details, including constraints and additional assumptions). These PPN parameters that can be constrained by experiments (such as the deflection of light by massive bodies) and computed for any theory, and thus provide a very efficient phenomenological dictionary.

In cosmology we are interested in describing gravity over a slightly less symmetric background: a spatially homogeneous and isotropic, but time evolving, Friedmann-Lemaitre-Robertson-Walker (FLRW) metric:

ds2=-(1+2Ψ)dt2+a2(t){(1-2Φ)δij+hij}dxidxj,    (15)

where metric perturbations are in Newtonian gauge with the sign conventions of Ma and Bertschinger (1995). The tensor perturbation is symmetric, transverse and traceless (ihij,δijhij=0) and we have ignored vector perturbations. The time-evolution of the cosmological background makes an extension of PPN approach to cosmology a difficult task, as instead of constant coefficients one needs to deal with functions of time due to the evolution of the universe.

The most important example of an effective description in cosmology is the parameterization of the cosmological background, often done in terms of the equation of state wp/ρ (Chevallier and Polarski, 2001; Linder, 2003). Instead of computing the modifications to the Friedmann equations and the pressure and energy density contributed by the additional fields, a general approach to cosmological expansion is to specify w(z) so that

H2=8πG3(ρM+ρDE),    (16)
ρDE=exp(-3dlog(a)(1+w)).    (17)

This is sufficient to describe any cosmological expansion history and in any theory (as long as matter is minimally coupled) just by using the Friedmann equation (16) as a definition for ρDE.

Describing the perturbations requires more functional freedom. Here we will review two common procedures, namely the effective theory of dark energy and the modified gravitational “constants.” The different approaches (including the covariant theory approach), their features and connections are outlined in Figure 4. Consistency checks between the background and perturbations can also be used to test the underlying gravity theory (Ruiz and Huterer, 2015; Bernal et al., 2016a).

2.2.1. Effective Theory of Dark Energy

The effective (field) theory of dark energy (EFT-DE) (Bloomfield et al., 2013; Gleyzes et al., 2013; Gubitosi et al., 2013) can be used to systematically describe general theories of gravity over a cosmological background (see Gleyzes et al., 2015c for a review). The original formulation applies to theories with a scalar field ϕ and uses the unitary “gauge”: a redefinition of the time coordinate as the constant ϕ hypersurfaces (this is always possible if ϕ, μ is time-like and non-degenerate, as in perturbed cosmological backgrounds, but not in general). One then constructs all the operators compatible with the symmetries of the background (recalling that the time translation invariance is broken by the cosmological evolution).

A very convenient basis for the EFT functions was proposed by Bellini and Sawicki (2014), when restricted to Horndeski's theory. In their approach the EFT functions are defined by the kinetic term of the propagating degrees of freedom in the equations of motion. The dynamical equation for tensor perturbations

ij+(3+αM)h˙ij+(1+αT)k2a2hij=0,    (18)

introduces two dimensionless functions

tensor speed excess αT describes the modification in the GW propagation speed cg2=(1+αT). This modification is frequency independent (see section 5).

Planck-mass run rate αM enters as a friction term. It is related to the cosmological strength of gravity M*2 (the kinetic term of tensor perturbations) by αM=dlog(M*2)dloga (see section 6).

The equations in the scalar sector (Equations 3.20, 3.21 of Bellini and Sawicki, 2014) can be used to define the remaining functions. If we look only at the second time derivatives (that is, the kinetic terms)

2Φ¨-αBHδϕ¨/ϕ˙+=0, (ii-trace)    (19)
αKδϕ¨/ϕ˙+3αBΦ¨/H+=0, (ϕ scalar)    (20)

(note the ellipsis denote terms without second time derivatives) one can define

braiding, or kinetic gravity brading αB quantifies mixing between the second derivatives of the metric in the field equation (and vice versa). This is a generic property of modified gravity (Deffayet et al., 2010; Bettoni and Zumalacárregui, 2015).

kineticity αK modulates the “stiffness” of the scalar field (how hard it is to excite perturbations in ϕ). The kineticity is intimately related to the propagation speed of scalar perturbations, which satisfies cs2αK-1: higher kineticity values lead to slower scalar waves and vice versa.

These functions can be computed from the Lagrangian functions in (4), and for a given theory will depend on the value of the scalar field and its time derivative. Constraints on the α-functions can also be used to reconstruct the terms in a fundamental theory, as shown in Table 1. Systematic reconstructions of the Lagrangian from the α functions have been also explored (Kennedy et al., 2017, 2018).

TABLE 1
www.frontiersin.org

Table 1. EFT functions in scalar-tensor theories: a hierarchy exists by which more complex theories of gravity (left to right) produce a larger set of effects (more non-zero functions).

Increasingly complex theories of gravity lead to a larger number of EFT functions. In beyond Horndeski theories of the GLPV type, e.g., (11, 12), a new function αH is introduced (Gleyzes et al., 2015a) which phenomenologically produces a weakening of gravity on small but linear cosmological scales (D'Amico et al., 2017). In DHOST theories including (10) the situation is more involved, as the new EFT functions (αL, β1, β2, β3) need to be related to each other and αT, αH by the degeneracy conditions that prevent the introduction of additional degrees of freedom (Langlois et al., 2017). This leads to two classes of theories with one free function, which is either αL or one among βi. New EFT functions appear beyond scalar-tensor theories, as has been explicitly derived for vector-tensor (Lagos et al., 2016) and bimetric (Lagos and Ferreira, 2017) theories (including bimetric gravity), with a unified treatment of theories with different degrees of freedom (Lagos et al., 2018).

Different versions of the linear EFT-DE approach has been implemented in numerical codes able to obtain predictions based on linear perturbation theory. Publicly available implementations exist in EFTCAMB (Hu et al., 2014), hi_class (Zumalacárregui et al., 2017) and COOP (Huang, 2016), with the first two based on the CAMB and CLASS Boltzmann codes (Lewis et al., 2000; Blas et al., 2011a). In addition, the CLASS-Gal code (integrated into CLASS) can be used to compute relativistic corrections to cosmological observables (Di Dio et al., 2013). These and other codes have been tested against a large class of models at a level of precision sufficient for current and next-generation cosmological experiments (Bellini et al., 2018).

The EFT framework has been tested using linear observables. Horndeski theories were tested against current experiments, leading to O(0.1-1) constraints on the α-functions varying over αB, αM, αT (Bellini et al., 2016), with αM = −αB (Ade et al., 2016) and setting αT = 0 to reflect the strong bounds on the GW speed (Kreisch and Komatsu, 2017) (αK is very weakly constrained by current data). Future experiments have great potential to improve on these bounds, and are expected to improve the sensitivity to O(0.01-0.1) (Gleyzes et al., 2016; Alonso et al., 2017; Lorenz et al., 2018; Reischke et al., 2018; Spurio Mancini et al., 2018). EFT-based modifications of gravity might be observable through relativistic effects on ultra-large scales (Renk et al., 2016; Lorenz et al., 2018) (see also the discussion in section 2.2.2): these techniques might improve significantly our ability to constrain αK, although it will remain the hardest to measure (Alonso et al., 2017). Those works used simple functional dependence of the EFT functions. It has been nonetheless shown that simple parameterizations are indistinguishable from more complex models in most cases, even for next-generation cosmology experiments (Gleyzes, 2017).

The EFT approach has been generalized beyond linear perturbations for Horndeski theories. Including non-linear cosmological perturbations in general introduces new functions at every order in perturbation theory (e.g., to compute the bispectrum Bellini et al., 2015). However, a restriction to cubic and quartic operators (in the unitary gauge) leads to only 3 new operators on quasi-static scales (Cusin et al., 2018b). Some applications of non-linear EFT-DE include corrections to the power spectrum (e.g., Cusin et al., 2018a), the use of higher-order correlations as a test of gravity, such as the bispectrum of matter (Bellini et al., 2015), galaxies (Yamauchi et al., 2017) and CMB lensing (Namikawa et al., 2018) or the non-linear shift of the BAO scale (Bellini and Zumalacarregui, 2015).

2.2.2. Modified Gravitational “Constants”

A very commonly used approach employs general modifications of the equations relating the gravitational potentials to the matter density contrast

2Ψ=4πGa2μ(t,k)ρδ,    (21)
2(Φ+Ψ)=8πGa2Σ(t,k)ρδ    (22)

(note that different conventions exist in the literature). Here δ is the density contrast in the Newtonian gauge (15) and the functions μ, Σ parameterize the evolution of the gravitational potentials as a function of time a and scale k. The functions μ, Σ are often referred to as Gmatter, Glight because gradients of Ψ determines the force felt by non-relativistic particles and those of Ψ+Φ the geodesics of massless particles (and thus the lensing potential). The ratio of the gravitational potentials,

ηΦΨ=2Σμ-1,    (23)

is of particular interest, since GR predicts that it is exactly one in the absence of radiation and any sizable deviation could be an indication of modified gravity.

This approach has numerous advantages as a test of gravity against data. It is completely theory agnostic, not requiring any information on the ingredients or laws of the theories being tested. Most importantly, it is completely general for universally coupled theories: given any solution Δ, Ψ, Φ(a, k) it is possible to obtain μ, Σ through (21, 22). In this sense, any finding of μ, Σ ≠ 1 might point toward deviations from GR and warrant further investigation.

The main shortcoming of this approach is its great generality: any practical attempt to implement (21,22) requires a discretization of the functional space, introducing 2 · Nk · Nz free parameters for a homogeneous binning. In contrast, the EFT approach for Horndeski theories (18,19) requires only 4 · Nz parameters, making it a more economic parameterization for all but the simplest scale-dependencies (Nk = 1, 2). Capturing the full scale dependence of μ, Σ requires either a large parameter space or assumptions about the k-dependence.

A common practice to overcome this limitation is to choose a functional form for μ, Σ as a function of scale. For Horndeski theories the functional form is a ratio of quadratic polynomials in k (De Felice et al., 2011; Amendola et al., 2013)

μ=h11 + h5k21 + h3k2, η=h21 + h4k21 + h5k2,    (24)

for functions hi that depend on redshift through the theory (4) and the scalar field evolution. The mapping is exact on small scales in which the field dynamics can be neglected, below scalar sound horizon (Sawicki and Bellini, 2015). A k-dependence as the ratio of polynomials is generic in local theories at quasi-static scales (Silvestri et al., 2013), with higher order polynomials possible in Lorentz-violating (Baker et al., 2014), multi-field (Vardanyan and Amendola, 2015) theories. Studies with current data have tested rather simple parameterizations of μ, Σ: for instance the Planck survey tested the case of k-independent μ, η in addition to the theory-motivated (24) (Ade et al., 2016). Future surveys will improve the resolution on the scale-dependence: 3 k-bins are the minimum to constraint all the parameters in Equation (24), with 6 bins in z (Amendola et al., 2014b; Taddei et al., 2016). A limited handle on scale-dependence on ultra-large scales might be achievable (Baker and Bull, 2015; Villa et al., 2018) (see also Lombriser et al., 2013; Raccanelli et al., 2014; Bonvin and Fleury, 2018 for related parameterizations).

Another main shortcoming of the completely general approach is that there is no information from other regimes. The major setback with respect to EFT is the lack of information from gravitational wave observables, while in EFT the tensor and scalar sectors are modified accordingly i.e., GW data restrict the modifications available to scalar perturbations, for instance, theories with η ≠ 1 require either αM or αT to be non-zero (Saltas et al., 2014). Attempts to explore the connections between μ, Σ and the EFT approach in Horndeski-like theories have used very general parameterizations: connecting theoretical viability conditions of the theory with the behavior of μ, η (Perenon et al., 2015), including the case with αT = 0 to address the impact of the GW speed measurement (Peirone et al., 2018b). General properties of Horndeski theories could be inferred from detailed measurements of μ, Σ (Pogosian and Silvestri, 2016). Similarly to the EFT approach, the background evolution is unknown and the equation of state (17) is in principle arbitrary. However, theoretical priors on w(z) can be obtained for broad classes of Lagrangians (e.g., quintessence, Marsh et al., 2014) or from stability conditions in general realizations of the EFT functions (Raveri et al., 2017).

3. Basics of Gravitational Waves

Gravity is a universal, long-range force. This, in field theory language, implies that it must be described by a metric field gμν in order to manifestly preserve locality and Lorentz invariance. At low energies, the leading derivative interactions are second order. Therefore, gravity theories generically predict the existence of propagating perturbations or, in other words, the existence of GWs. One can define a metric perturbation hμν as a small difference between the metric field gμν and the background metric gμνB

hμν=gμν gμνB,    (25)

where |hμν| ≪ 1. However, in curved space it is non-trivial to distinguish the perturbation from the background unless the latter posses some degree of symmetry, e.g., flat space or FLRW. A way out is to define GWs via geometric optics (Misner et al., 1973). In this context, the key element to distinguish the GW from the background is the size of the fluctuations λgw with respect to the typical size of the background variation LB. One could associate the typical variation scale in the background with the minimum value of the components of the background Riemann tensor

LB ~ |RαβγρB|-1/2.    (26)

For astrophysical sources, we will see later that the wavelength of the GW λgw is orders of magnitude smaller than the typical variations of LB for cosmological setups. The fact that λgwLB implies that there is a clear hierarchy between background and perturbations, allowing to solve the problem using an adiabatic (or WKB) expansion.

In the following, we describe the basics of GWs. We begin by introducing GWs in GR. Then, we explore the propagation in cosmological backgrounds. Subsequently, we describe how this picture is changed beyond GR. Finally, we discuss the status of present and future GW detectors. We recommend the reader Misner et al. (1973), Maggiore (2008), Maggiore (2018), Flanagan and Hughes (2005), and Carroll (2004) for more details.

3.1. GWs in General Relativity

General Relativity is a universal, infinite-range force. As we have seen in the previous section, this implies that it is described by a massless, spin-2 field. The dynamics is described by Einstein's equations (2). Importantly, not all the components of the Einstein tensor Gμν contain second order time derivatives of the metric gμν. This implies that not all of the 10 components of gμν will propagate. In particular, the G equations act as 4 constraint equations. This, together with the 4 unphysical modes reduced by the gauge choice, leaves only 2 propagating degrees of freedom. This is precisely what one would expect for a massless spin-2 particle.

In order to study GWs, the next step is to study the linearized Einstein's equations. To diagonalize the equations for the tensor perturbations, one has to introduce the trace-reversed perturbation

h-μν=hμν-12hgμνB,    (27)

whose name comes from the fact that h-=-h where h=gBμνhμν and h-=gBμνh-μν are the traces of hμν and h-μν, respectively. Fixing the Lorenz gauge for this new variable μh-μν=0, the linearized Einstein equations in curved space-time read

      h¯μv+2RμανβBh¯αβ=16πGδTμν+2RB(μαh¯ν)αRBhμν+gμνBRBαβh¯αβ,    (28)

where covariant derivatives are built with the background metric gμνB. Here, we have introduced the perturbed energy-momentum tensor δTμν as the difference of the total energy momentum tensor Tμν with respect to the background solution 8πGTμνB=RμνB-12gμνBRB. One should note that, in vacuum, all the Ricci tensors vanish in the second line. Moreover, for short-wave GWs λgwLB, the Riemann tensor in the first line has a subdominant contribution.

To deal with the two GW polarizations, it is convenient to work in the transverse-traceless (TT) gauge, which is defined by

h0μ=0, jhij=h  ii=0.    (29)

Note that in the TT gauge, the trace-reversed perturbation h-μν is equal to the original perturbation hμν. If the GW is propagating in the z-direction, the spatial components become

hij=(h+h×0h×-h+0000),    (30)

with h+ and h× being the two polarizations of GR.

3.1.1. Generation

A first question to address is how GWs are produced. Let us consider a GW source in vacuum within the short-wave approximation. Then, the general propagation Equation (28) reduces to

h-μν=-16πGδTμν.    (31)

This wave equation can be solved in analogy to electromagnetism using a Green's function. In terms of the retarded time tr=t-|x-y|, the solution is

h̄μν(t,x)=2Gd3yδTμν(tr,y)|x-y|.    (32)

For an isolated, far away, non-relativistic source, this solution can be simplified. In fact, one can make a multipole expansion. The zeroth moment corresponds to the mass-energy of the source M=T00(t,y)d3y. However, conservation of energy for an isolated source tells us that M cannot vary in time. Next, the mass dipole moment Mi(t)=yiT00(t,y)d3y is associated to the motion of the center of mass. Nevertheless, its time derivative is the momentum of the source that also has to be conserved6. Consequently, the leading contribution is the mass quadrupole moment Mij(t)=yiyjT00(t,y)d3y, which generates GWs through its second time derivatives

h-ij(t,x)=2Grd2Mijdt2(tr).    (33)

For a binary system of masses m1 and m2, the quadrupole radiation is

h+,×=Mc5/3f2/3rF+,×(angles)cosΦ(t),    (34)

where F is a function of the orientation of the binary that depends on the polarization + or × [recall (30)], Φ(t) is the phase and we have introduced the chirp mass

Mc=(m1m2)3/5(m1 + m2)1/5.    (35)

As the masses orbit one around the other, they will lose energy with the emission of GWs. They will begin getting closer and orbiting faster until they eventually merge. Thus, the frequency of GWs will increase with a characteristic chirp signal following

gw=965π8/3(GMcc3)5/3fgw11/3.    (36)

Note that to consider the energy loss due to GWs emission one has to go to second order in perturbation theory. An example of the typical GW strain and frequency of a compact binary coalescence is presented in Figure 5.

FIGURE 5
www.frontiersin.org

Figure 5. Typical GW signal of a compact binary coalescence. The GW strain (above) and the GW frequency (below) are plotted as function of the time before merging. This waveform is a template of the first event detected GW150914 (Vallisneri et al., 2015).

Typical binary compact objects emitting detectable GWs are binary neutron stars (BNS) and binary black-holes (BBH). The order of magnitude of the frequency of the GWs of these systems is

fgw~14π(3GMR3)1/2~ 1kHz(10MM),    (37)

where M is equal to one solar mass. This implies that higher masses lead to lower frequencies. In terms of the wavelength one finds

λgw ~ 200km(MM).    (38)

This allows us to compare the size of the wavelength with the typical size of the background curvature variation LB. For cosmology, the size of the curvature is related to the Hubble horizon LBcosmo ~ 1026m. For our galaxy one can estimate LBgal ~ 1023m and for the Solar System LBSolSys ~ 1016m. As it can be observed, the geometric optics expansion is an excellent approximation due to the great hierarchy between λgw and LB. Only GWs passing near a very dense object such as a BH, LBBH ~ (MBH/M)km, would break this short-wave approximation.

The typical amplitude of a GW from a compact binary can be estimated using (34), leading to

h ~ 10-21(Mc10M)5/3(f100Hz)2/3(100 Mpcr).    (39)

Contrary to EM waves, GW detectors are directly sensitive to the amplitude of the wave, which falls like 1/r and not as the luminosity 1/r2. This means that even if the amplitudes are very small, GW detectors are more sensitive to distant sources.

3.1.2. Propagation

Once the GW is generated, it will propagate in vacuum following

h-μν+2RμανβBh-αβ=0.    (40)

A general solution of this wave equation can be written as the sum of plane waves

h-μν(t,x)=Re[Aμν·eixαkα],    (41)

where Re denotes the real part. By plugging this expression in the wave equation and expanding in powers of k, one finds at leading order that

kμkμ=gBμνkμkν=0.    (42)

Therefore, GWs propagate in null geodesics determined by the background metric. This means that the GW-cone is the same as the light-cone and both waves propagate at the same speed. Moreover, the wave is transverse to the propagation direction

kμAμν=0,    (43)

similarly to electromagnetic waves. Finally, by defining the scalar amplitude A=(12Aμν*Aμν)1/2 one realizes that

α(kαA)=0,    (44)

which can be interpreted as the conservation of gravitons. One should note that RμανβB in the wave equation only modifies the amplitude at second order. Consequently, at first order in geometric-optics, the wave equation h-μν=0 can be rewritten as

Rμανβgw=0.    (45)

This expression could be used as a gauge invariant, coordinate independent definition of the propagation of GWs in vacuum.

3.1.3. Detection

To see the effect of a GW passing by, one has to study the deviation of nearby geodesics. Given two particles with four-velocity Uμ separated by Sμ, their separation evolves as

D2Sμdτ2Uρρ(UγγSμ)=R αβνμUαUβSν,    (46)

where τ is the proper time. At leading order, the four velocity is just the unit vector Uμ=(1,0,0,0)+O(h), and we only have to compute the Riemann tensor in the TT gauge. The result is

2Sμt2=12Sν2t2h νμ,    (47)

where we have also used that to leading order the proper time τ and the coordinate time t coincide. Accordingly, only the components of the separation vector Sμ transverse to the propagation vector will feel the effect of the GW. In these directions, the separation between the test particles will oscillate as the GW travels perpendicular to them. In Figure 6, we plot the effect of the different GW polarizations crossing a circle of test masses.

FIGURE 6
www.frontiersin.org

Figure 6. Possible gravitational wave polarizations. A circle of test masses is distorted differently for each polarization propagating on the z-direction as a function of time (ωt = 0, π/2, π, 3π/2). General Relativity only contains the two tensor polarizations + and ×. Other gravity theories might contain also a transverse (breathing) scalar mode (Scalar T), a longitudinal scalar (Scalar L) and two vector modes (Vector 1, 2).

GW detectors precisely rely on this principle that GWs can alter the separation between test masses. Modern detectors are interferometers. In brief, they are constituted by two perpendicular arms of the same length with two mirrors in free fall at their ends (acting as test particles). A laser beam is split in the two arms so that the beams reflect in each mirror and come back to the splitting point. In the absence of a GW, both laser beams returning will interfere destructively and no signal would arrive to the detector. However, if a GW crosses the interferometer, it will change the length of the arms differently. This means that the laser beams will take different times to travel the arms, arriving at the splitting point with different phases. Then, the destructive interference is lost and some signal gets to the detector.

Note that the typical distance variation δL of two test masses separated by L is approximately δL ~ h·L. For compact binaries, we have seen that the strain amplitude is h ~ 10−21. Therefore, LIGO-type detector with arms of the order of kilometers have to measure distance variations

δL ~ 10-18(h10-21)(Lkm)m,    (48)

a thousand times smaller than the nucleus of an atom. To achieve that, each arm has a resonant cavity in which the laser beams bounce back and forth about 300 times. This effectively makes ground-based interferometer arms to be 1,200 km long (since the variation time of the GW is much longer than the travel time of the laser in the cavity). Accordingly, LIGO is sensitive to frequencies of fLIGO ~ 102Hz. For the future space-based interferometer LISA, the working principle will be the same but with longer arms L ~ 106km, being thus sensitive to much smaller frequencies, fLISA ~ 10-2Hz.

3.2. GWs in Cosmology

At large scales, the universe is homogeneous and isotropic to very high accuracy. The background geometry is then described by a (flat) Friedmann-Lemaitre-Robertson-Walker (FLRW) metric

ds2=gμνBdxμdxν=a2(η)(-dη2+dx2),    (49)

where a(η) is the scale factor and we are timing in conformal time = dt/a(t). The propagation Equation (40) becomes in Fourier space

hij+2Hhij+k2hij=0,    (50)

where H=a/a is the Hubble parameter and primes denote derivatives with respect to conformal time. This is nothing but a wave equation with a friction term due to the cosmic expansion. This Hubble friction will produce a redshift of the frequencies femit = (1+z)fobs and a rescaling of the GW amplitude h ~ 1/(a·r). The previous formulae for a compact binary (34–36) written in terms of the observed frequency fobs are thus valid if we replace the chirp mass Mc by the redshifted chirp mass

Mz=(1+z)Mc    (51)

and the physical distance a·r by the GW luminosity distance

hGW ~ hGRe-12νHdηAffects amplitudeeik(αT+a2m2/k2)1/2dηAffects phase,    (52)

where c is the speed of light and z the redshift. In this way, all the (1 + z) terms cancel each other. Note that there is an intrinsic degeneracy between the redshift and the Hubble parameter H(z) in the GW luminosity distance. Therefore, the expansion history can only be obtained from the GW amplitude if the redshift is known. For near by sources z ≪ 1, the Hubble constant H0 can be obtained

dLgw=czH0+O(z2),    (53)

showing the power of GW astronomy to do cosmology. We will review this topic in more detail in section 4.

Finally, let us mention that we have only focused on GWs from binary sources in the late universe. However, there could be other sources of GWs in the early universe leading to stochastic, cosmological backgrounds. For a nice review in the subject one can follow (Caprini and Figueroa, 2018). One may wonder if there could be an effect in the GW propagation when traveling through the cold dark matter. This question has been addressed recently and the answer is that the effect is too small (Baym et al., 2017; Flauger and Weinberg, 2018).

3.3. GWs Beyond GR

As we have emphasized at the beginning of this section, the existence of wave solutions for metric perturbations is generic for second order gravity theories. However, the behavior of these GWs can be very different depending on the gravity theory. The differences can arise either at the production or the propagation.

3.3.1. Additional Polarizations

During the generation of GWs, the main differences in theories beyond GR is that there could be other polarizations excited. We have seen that in GR only the 2 tensor polarizations propagate (recall 30). Nevertheless, modifications of gravity might introduce new degrees of freedom. For instance, in scalar-tensor theories there will be an additional scalar mode. Or in Massive Gravity, where there will be in addition 2 vector modes and a scalar one. For a GW propagating in the z-direction, one could decompose the amplitude Aij in the different polarizations

Aij=(AS+A+A×AV1A×AS-A+AV2AV1AV2AL),    (54)

where A+ and A× are the two tensor modes, AV1, 2 the two vector polarizations, AS the transverse (breathing) scalar and AL the longitudinal scalar mode. One should note that these other types of polarizations will also leave an imprint in the detectors. Each polarization will have a different effect as we exemplify in Figure 6. In principle, with a set of 6 detectors one could distinguish all possible polarizations.

Before continuing, it is important to remark that if a source is emitting additional polarizations, it will lose energy more rapidly. For a binary pulsar, if additional modes were emitted, the orbit would shrink faster due to the higher energy loss. For PSR B1913+16 (better known as Hulse-Taylor pulsar) (Hulse and Taylor, 1975), the orbit has been tracked for more than four decades now, showing an impressive agreement with GR (Weisberg et al., 2010). Binary pulsars have been intensively used to constrain alternative theories of gravity, placing severe bound on dipolar radiation as reviewed in Stairs (2003) and Wex (2014). An example of this are Einstein-Aether propagating waves (Jacobson and Mattingly, 2004), which have been constrained from pulsars due to dipolar GW emission (Yagi et al., 2014a,b). Another would be the constraints on Brans-Dicke from a pulsar-white dwarf binary (Freire et al., 2012).

Due to these constraints on the emission of additional polarizations, it is usually invoked a screening mechanism around the source to evade them. If this is the case, deviations of GR could only be measured in the propagation of GWs. We will discuss more about the emission of extra modes and screening mechanisms in section 8.2.

3.3.2. Modified Propagation

The propagation of GWs in gravity theories beyond GR can be very complicated. The additional fields might modify the background over which GWs propagate and their perturbations could even mix with the metric ones. For simplicity, we will restrict here to cosmological backgrounds. In that case, due to the symmetries of FLRW, tensor perturbations can only mix with other tensor perturbations. Possible deviations from the cosmological wave equation in GR (50) can be parametrized by Nishizawa (2018)

hij+(2+ν)Hhij+(cg2k2+m2a2)hij=Πij,    (55)

where ν is an additional friction term, cg accounts for an anomalous propagation speed, m is an effective mass and Πij is a source term originated by the additional fields. For instance, the scalar-tensor analog of this equation is (18). It is interesting that the modified GW propagation can also be understood in analogy with optics as GWs propagating in a diagravitational medium (Cembranos et al., 2019).

Focusing on the case without sources, Πij = 0, the original GR wave-form hGR, given by (34) for instance, will be modified by

hGW ~ hGRe-12νHdηAffects amplitudeeik(αT+a2m2/k2)1/2dηAffects phase,    (56)

where we have introduced αT=cg2-1. Mainly, the additional friction will modify the amplitude, while the anomalous speed and the effective mass change the phase. The modified luminosity distance is then7

dLMG=(1+z)cg(z)cg(0)exp[120zν1+zdz]0zcg(z)H(z)dz.    (57)

We will discuss how to test the GW phase in section 5 and the damping of the strain in section 6.

For GWs propagating in FLRW backgrounds, a source is present Πij ≠ 0 when there are additional tensor modes propagating. A paradigmatic example of this is bigravity, where there are two dynamical metrics. In that case, we have to track the evolution of both metric perturbations (Narikawa et al., 2015; Max et al., 2017, 2018)

(ht)+[k2+mg2(sin2θ-sinθcosθ-sinθcosθcos2θ)](ht)=0,    (58)

where for shortness we have absorbed the Hubble friction in the definition of the perturbation and we do not show the spatial indices. Here mg is the effective mass (one of the tensor fields is massive) and θ is the mixing angle. Since there are interactions between hij and tij, this means that the mass eigenstates are not the same as the propagation eigenstates. In analogy with the propagation of neutrinos, there can be GW oscillations. In section 7.1 we will see how GW oscillations can be tested. One should note that the possibility of having GW oscillations is not restricted to bigravity. Any gravity theory in which the additional degrees of freedom can arrange to form a tensor perturbation over FLRW background could display the same phenomenology. In particular, this is what happens with gauge fields in a SU(2) group (Caldwell et al., 2016; Beltrn Jimnez and Heisenberg, 2018).

3.4. Present and Future GW Detectors

Before presenting the different tests of gravity with multi-messenger GW astronomy, let us outline briefly the status of present and future GW detectors. We summarize the different sensitivities of each detector and the typical sources in Figure 7. The capabilities of multi-messenger GW astronomy depend mainly on two aspects:

Number of detections: this is most sensitive to the size of the volume of the Universe covered by the GW detector. However, there is a large uncertainty in the actual population of the sources, e.g., BNS.

Sky localization: this is most sensitive to the number of detectors that allow for a better triangulation of the source. A better localization of the GW events simplifies the search for a counterpart.

FIGURE 7
www.frontiersin.org

Figure 7. Strain sensitivity curves for different GW detectors. Second generation (2G) ground-based detectors are advanced LIGO (aLIGO), advanced Virgo (aVirgo) and KAGRA, with curves given at design sensitivity (Abbott et al., 2018e). Third generation (3G) detectors projected are Einstein Telescope (ET) (Sathyaprakash et al., 2012) and Cosmic Explorer (CE) (Abbott et al., 2017c). A space-based detector planned is LISA (Amaro-Seoane et al., 2013). For illustration, we include the strain amplitude of GW150914 (Vallisneri et al., 2015) and the expected background for massive binary black-holes (BBH) and galactic white-dwarf (WD) binaries (Moore et al., 2015).

We draft a summary of present expectations for the range of detection and localization angle of different GW detectors in Figure 2. The reader should be aware that these expectations, specially the ones far in the future, might be subject to important modifications.

At present, we are in the second generation (2G) of ground-based detectors. There have been already two operation runs. In the first one, only the two aLIGO detectors were online with a detection range for BNS of the order of 80 Mpc. In the second one, aVirgo joined. Although its sensitivity was still lower, aVirgo helped to reduce the localization area an order of magnitude, from 100−1, 000 deg2 to 10−100 deg2. For illustration, we plot in Figure 7 the strain of the first event GW150914 (Vallisneri et al., 2015).

However, neither aLIGO nor aVirgo has reached their designed sensitivity yet. Moreover, other two 2G detectors are on the way. KAGRA (Somiya, 2012) in Japan is under construction and it is expected to start operating in 2020. On the other hand IndIGO (Adhikari and Iyer, 2011), a replica of LIGO located in India has been approved. This means that in the coming years two main improvements are expected: a larger event rate and a more precise localization (Abbott et al., 2018e). The range of detection is expected to improve by a factor of 3 implying a factor 27 in the detection rate. The localization is expected to reduce to areas of 5−20 deg2 with KAGRA and to a few deg2 with IndIGO. Note that this is a key point in order to associate any counterpart with a GW event.

A third generation (3G) of ground-based detectors is being planned. The European 3G proposal is the Einstein telescope (ET) (Sathyaprakash et al., 2012), an underground, three 10km-arms detector. Its current design aims at improving by a factor of 10 present sensitivity. The US 3G proposal, Cosmic Explorer (CE) (Abbott et al., 2017c), is more ambitious with two 40km arms further improving the sensitivity of ET. In any case, 3G detectors imply a substantial change in GW astronomy. While 2G detectors will only be able to reach up to z ~ 0.05 for BNS and z ~ 0.5 for BBHs, 3G detectors might reach z~2 for BNS and z ~ 15 for BBHs. In terms of multi-messenger events, this corresponds to thousands or tens of thousands standard sirens.

The sky localization of events in 3G will vary depending on the available network of detectors (Mills et al., 2018). In this sense, there are already plans to upgrade advanced LIGO detectors. This envisioned upgrade is known as LIGO Voyager (McClelland et al., 2017). Voyager could reach sensitivities between 2G and 3G. The localization will thus vary depending on the redshift of the source since the sensitivity of the network will not be homogeneous. A network of three Voyager detectors plus ET would localize 20% of the events within 10 deg2, while a setup with three ET detectors would localize 60% of the events within 10 deg2 (Mills et al., 2018).

Moreover, space-based GW detectors have been also projected. The European space agency has approved LISA (Audley et al., 2017). Being in space and with million kilometer arms, the frequency band and targets of LISA are very different from ground-based detectors (see Figure 7). Expected sources include supermassive BHs, extreme mass ratio inspirals (EMRI) and some already identified white dwarf binaries (known as verification binaries). It is presumed that these sources could be observed with counterparts, enlarging the reach of multi-messenger GW astronomy. For reference, we have included in Figure 7 the expected background of massive BBH (MBH ~ 104-7M) and unresolved galactic white-dwarf binaries (Moore et al., 2015) (see more details about the different sources in Figure 1 of Audley et al., 2017).

Finally, there are other proposals to detect GWs at even lower frequencies, in the band of 1-100 nHz. Sources in this regime could be binary SMBH in early inspiral or stochastic, cosmological backgrounds. These GWs could be observed using a network of millisecond pulsars, in which the pulsation is extremely well-known, for instance with PPTA (Zhu et al., 2014). Other proposals are to use astrometry with GAIA, which is capable of tracking the motion of a billion stars (Moore et al., 2017), or to use radio galaxy surveys (Raccanelli, 2017).

4. Standard Sirens

GWs coming from distant sources can feel the cosmic expansion in the same way as EM radiation does. In fact, we have seen in section 3.2 that the amplitude of the GWs is inversely proportional to the GW luminosity distance dLgw. In GR the GW luminosity distance is equal to EM luminosity distance, with the standard formula given by (52). However, this is not a universal relation in theories beyond GR as we will discuss in section 6. For the moment, we will restrict to Einstein's theory only.

In order to measure distances in cosmology one needs both a time scale and a proper ruler. The inverse dependence of the strain with dLgw makes GWs natural cosmic rulers. Introducing the full cosmological dependence8, the GW luminosity distance is given by

dLgw=(1 + z)|ΩK|sinn[c0z|ΩK|H(z)dz],    (59)

where sinn(x) = sin(x), x, sinh(x) for a positive, zero and negative spatial curvature, respectively. Assuming a ΛCDM cosmology, the Hubble parameter is a function of the matter content Ωm, the curvature ΩK and the amount of DE ΩΛ (radiation at present time is negligible)

H(z)=H0Ωm(1+z)3+ΩK(1+z)2+ΩΛ.    (60)

On the contrary, GWs alone do not provide information about the source redshift. This is because gravity cannot distinguish a massive source at large distances with a light source at short distances. Nevertheless, when GWs events are complemented with other signals that allow a redshift identification, these events become standard sirens (Schutz, 1986). Standard sirens are complementary to already well-established standard candles, SN events in which the intrinsic luminosity can be calibrated allowing for a measurement of the EM luminosity distance. There are also standard rulers, such as the one determined by baryon acoustic oscillations (BAO) which provides the angular diameter distance. For binary black-holes (BBH) it is not expected to observe any counterpart, unless there is matter around the BHs (Perna et al., 2016). Fortunately, binary neutron stars (BNS) and black-hole neutron star systems (BHNS) are expected to emit short gamma-ray bursts (sGRB) and other EM counterparts, becoming clear standard siren targets.

The first ingredient for a standard siren is the measurement of the GW luminosity distance. However, dLgw is degenerate with the inclination of the binary. More precisely, showing the explicit angular dependence of the waveform (34) one finds that the two polarizations scale as

h+(1 + cos ι)22dLgw and h×cos ιdLgw,    (61)

where ι is the inclination angle. This distance-inclination degeneracy is the main source of uncertainty of present measurements of dLgw (Abbott et al., 2016c). One possibility to break this degeneracy is to have an identification of both polarizations. This requires at least a three detector network and a good sky localization. Another possibility to break this degeneracy is when the binary has a precessing spin. Then, there is a characteristic modulation of the amplitude that can disentangle the inclination angle. Orbital precession is more significant for large effective spin χeff9 and/or small mass ratios q = m2/m1 ≤ 1 since there is also an effective spin-mass ratio degeneracy. Possibly good candidates for this would be BHNS binaries since BNS typically have a mass ratio close to 1.

The other ingredient for a standard siren is the identification of the redshift. This can be achieved by different means. The simplest consists in finding an EM counterpart of the GWs from the binary coalescence (Schutz, 1986). Then, the redshift could be extracted from the EM counterpart or from the host galaxy depending on the case. BNS will produce a sGRB after the merger. This sGRB is characterized by a beaming angle θj, which is typically expected to be θj30°. This means that depending on the orientation of the source we will be able to detect both signals only in a small fraction of the events. Observing a bright afterglow or kilonovae (Metzger, 2017) might increase the changes of detecting a counterpart. BNS will be the primary source for LIGO (Dalal et al., 2006), although BHNS could also play an important role (Vitale and Chen, 2018). SMBHs might be good standard sirens for LISA as well (Holz and Hughes, 2005). Several multi-messenger observations will lead to a precise measurement of the cosmic expansion either for second generation detectors (Nissanke et al., 2010, 2013) or for third generation (Sathyaprakash et al., 2010).

There are alternative proposals to identify the redshift without observing a counterpart. Based on statistical methods, one could associate every GW event with all the galaxies within the error in the localization and compute the cosmology (Schutz, 1986; Del Pozzo, 2012). For a large number of events, the true cosmology will statistically prevail. Conveniently, this method applies to any type of source, including BBH which is the most common observation. Moreover, for very loud (golden) events there might be only few galaxies in the localization box (Chen and Holz, 2016). On the con side, this method relies on a complete galaxy catalog.

For events involving a NS there are other possibilities. If the EoS of the NS is known, one could compute the tidal effects in the GW phase, which breaks the degeneracy between the source masses and the redshift (Messenger and Read, 2012). A good sensitivity could be achieved with the Einstein Telescope (Del Pozzo et al., 2017). Since this method relies on the knowledge of the EoS, which most probably will be uncovered through GW observations also, an iterative approach could be performed. In addition, one could benefit from the narrow mass distribution of NS to statistically infer the redshift (Taylor et al., 2012). Finally, numerical simulations suggests that in BNS a short burst of GWs with a characteristic frequency will be emitted after the merger. If this burst was observed, a redshift measurement could be obtained (Messenger et al., 2014). The main challenge of this method is possibly the low SNR of the GW burst.

GW170817 has become the first standard siren detected. The redshift, z=0.008-0.003+0.002, was obtained identifying the host galaxy NGC4993 through the different EM counterparts (Abbott et al., 2017i). For such a close event, only the leading term in the cosmic expansion H0 could be obtained following (53). The precise value obtained was (Abbott et al., 2017b),

H0=70.0-8.0+12.0km s-1Mpc-1.    (62)

This result has the relevance of being the first independent measurement of H0 using GWs. Still, since it is only one event, the relative error is large, of the order of 14%. From this error budget, 11% arises from the uncertainty in the measurement of the distance due to present detector sensitivity and the previously mentioned degeneracy with the inclination angle. The rest of the error comes from the uncertainty in the estimation of the peculiar velocity of the host galaxy. Observations of the afterglow in different frequencies can help in reducing the inclination uncertainty (Guidorzi et al., 2017; Hotokezaka et al., 2018). One could also use the statistical method to obtain H0 without information of the counterpart, although the error is significantly larger H0=76-23+48km s-1Mpc-1 (Fishbach et al., 2018). Recent studies have shown that with order ~ 50 BNS standard sirens events H0 could be measured at the level of ~ 2% (Chen et al., 2018; Feeney et al., 2018b). Depending on the actual population of BNS this might be achieved with second generation detectors. LISA will detect mergers of SMBHs (with EM counterparts), providing measurements of cosmic expansion up to z ~ 8 and potentially measuring H0 with 0.5% precision (Tamanini et al., 2016).

4.1. The Hubble Rate Tension

Standard siren observations of the cosmic expansion can also explore the tension on the Hubble parameter: where a distance ladder measurement gives a value H0=(73.52±1.62)km s-1Mpc-1 (Riess et al., 2018) higher than the model-dependent inference from the CMB H0=(67.4±0.5)km s-1Mpc-1 (Aghanim et al., 2018) (see in Figure 8). The tension now reaches the level of 3.6σ. Reanalysis of the local distance ladder with more sophisticated statistical techniques tend to agree on the high value, although with somewhat larger error bars (Cardona et al., 2017; Feeney et al., 2018a). Other low redshift determinations confirm this trend, for instance time delays from multiply-imaged quasar systems (Bonvin et al., 2017) give H0=(71.9-3.0+2.4)km s-1Mpc-1. Measurements of H0 can also be obtained combining BAO and primordial deuterium abundances (Addison et al., 2018) (see more details in the review Suyu et al., 2018 and a compilation of the values of H0 in Bernal and Peacock, 2018).

FIGURE 8
www.frontiersin.org

Figure 8. The Hubble tension (adapted from Beaton et al., 2016; Freedman, 2017, including the first standard sirens measurement following GW170817, Abbott et al., 2017b, Planck 2018, Aghanim et al., 2018 and Hubble Space Telescope (HST) with GAIA DR2, Riess et al., 2018). Blue stars correspond to measurements of H0 in the local universe with calibration based on Cepheids. Red dots refer to derived values of H0 from the CMB assuming ΛCDM. Green crosses are direct measurements of H0 with standard sirens. Forecasts are: CMB Stage IV (Abazajian et al., 2016), standard sirens (Nissanke et al., 2013) and distance ladder with full GAIA and HST (Casertano et al., 2016; Riess et al., 2016).

If the tension is not due to systematic errors in either of the surveys, it would indicate a mismatch between the low and high redshift distance ladders (Cuesta et al., 2015), which might be the first hint of the need to revise the standard cosmological model. Several partial solutions to the H0 tension have been proposed, although no satisfactory solution exists. Extensions to ΛCDM have been studied, but no simple model seems to work: for instance, increasing the effective number of relativistic species by ΔNeff≈0.4 eases the tension but enters in conflict with small scale Planck polarization (Bernal et al., 2016b), which has been confirmed in the latest Planck results. The role of dark energy (through w(z)) has also been investigated in connection with the H0 tension: no equation of state evolution w(z) can reconcile all datasets, as long as GR holds (although the tension could be eased if BAO or SNe data are not included) (Poulin et al., 2018). Interacting DE eases the tension, particularly for a phantom-like equation of state with w ~ −1.2 (Di Valentino et al., 2017).

Some dark energy models beyond GR and with massive neutrinos have been proposed to ease the tension. Galileon gravity leads to a phantom-like equation of state (EoS) w < −1 (De Felice and Tsujikawa, 2010a; Barreira et al., 2013): adding massive neutrinos with total mass ∑mν ≈ 0.6eV yielded a good fit to both Planck and the direct H0 measurement (Barreira et al., 2014a). One should note that although the EoS of Galileons wGal deviates significantly from wΛ = −1, massive neutrinos compensate part of the effect so that the total EoS wtot = ptottot is more similar to ΛCDM (see bottom panel of Figure 9). Still, this difference is enough to shift the present value of the Hubble parameter H0H(z = 0) to higher values (see upper panel of Figure 9). A latter analysis, shown in Figure 10, reproduced the result, but found a slight tension with the most recent BAO data (Renk et al., 2017). Most importantly, the cosmologically viable Galileons were ruled out by GW speed (Ezquiaga and Zumalacárregui, 2017) and weak lensing (Peirone et al., 2018a). Note however that those data employed BAO reconstruction and Galileons are known to affect the non-linear BAO evolution (Bellini and Zumalacarregui, 2015), making it more conservative to use the unreconstructed data, for which no tension exists. Non-local gravity has similar features (cf. Figure 10) but its less negative equation of state (compensated with ∑mν ≈ 0.3) leads to a reduced tension rather than close agreement (Belgacem et al., 2018c).

FIGURE 9
www.frontiersin.org

Figure 9. Hubble parameter H and equation of state (EoS) w as a function of redshift for the SM of Cosmology (ΛCDM) and for covariant Galileons with massive neutrinos. In the bottom panel, the total EoS wtot = ptottot is compared with the EoS of DE wDE = pDEDE.

FIGURE 10
www.frontiersin.org

Figure 10. Fit of modified gravity models to Planck + BAO, marginalized over the Hubble constant H0 and neutrino masses νmν for covariant Galileons (Left) and for the non-local, RR-model (Right). A phantom-like equation of state w < −1 helps to solve the tension between Planck and the direct measurement (the non-zero neutrino mass partly compensates the effect of w, cf. Figure 4). Figures reproduced with permission from the authors of Renk et al. (2017) and Belgacem et al. (2018c), respectively. © SISSA Medialab Srl. Reproduced by permission of IOP Publishing. All rights reserved.

5. Gravitational Wave Speed

The speed of GWs is a fundamental property of any gravity theory. GR predicts that GWs propagate at the speed of light. However, alternative theories generically change this prediction. In contrast to (42), GWs in modified gravity do not have to travel on null geodesics of the background metric. One can parametrize the generalized propagation by

Gμνkμkν+mg2+i=3nAα1αnkα1kαn=0.    (63)

Here, Gμν is the effective metric over which GWs propagate, mg is the effective mass of the graviton and the tensors Aα1αn encode higher-order, wave-vector corrections. When time and space can be decomposed, the above expression leads to a generalized dispersion relation

ω2=cg2k2+mg2+n=3Ankn,    (64)

where k is the spatial modulus of the wave-vector and An are the coefficients of the higher order corrections. Accordingly, we can see that the effective metric determines the propagation speed cg (Bettoni et al., 2017) while the higher order wave-vector corrections control Lorentz-violating modifications of the dispersion relation (Mirshekari et al., 2012). The mass term mg also modifies the dispersion relation (Will, 1998). In the following, we discuss the origin of and the constraints on these three different contributions. We will focus on constraints from late time GW sources. A modified dispersion relation for primordial GWs could be tested with the B-mode polarization of the CMB, as it has been studied for the case of the speed cg (Amendola et al., 2014a; Pettorino and Amendola, 2015; Raveri et al., 2015), and the mass mg (Dubovsky et al., 2010; Fasiello and Ribeiro, 2015; Brax et al., 2018).

5.1. Anomalous GW Speed

In order to obtain the frequency independent propagation speed cg, one has to focus on the leading derivative terms for the second order action for the tensor perturbations h. At small scales and for arbitrary backgrounds, the action is determined by the effective metric Gμν over which GWs propagate (Bettoni et al., 2017)

LhμνGαβαβhμν=hμν(C+Dαβαβ)hμν.    (65)

The effective metric can be further decomposed in a piece proportional to the original metric C and another not proportional D. Then, whenever the (non-conformal) second term is present, the GW-cone will be different from the light-cone and both signals will travel at different speeds (see Figure 11).10

FIGURE 11
www.frontiersin.org

Figure 11. Anomalous GW speed. Gravitational waves propagate on an effective metric Gμν (blue) with a different causal structure than the physical metric gμν (red) (Bettoni et al., 2017). The speed is derived as cg(k)=ω(k)/|k| where kμ=(ω,k) is the solution to Gμνkμkν=0. Note that the speed can depend on the propagation direction. It may also depend on the frequency (e.g., massive graviton or Lorentz violation), cf. (64).

In scalar-tensor gravity, two conditions have to be fulfilled to induce an anomalous propagation speed: (i) there is a non-trivial scalar field configuration (if we want to explain DE, we typically demand ϕ° ~ H0) and (ii) there is a derivative coupling to the curvature. This highlights the presence of a modified gravity coupling that will lead Dαβ ~ αϕβϕ. Whenever these two conditions are satisfied, cgc and there would be a delay between the GW and the EM counterpart. For instance, differences of 1%, cg/c ~ 0.01, for sources at 100Mpc induce delays of Δt ~ 107years, clearly beyond human timescales.

Similar arguments can be applied to other gravity theories with additional degrees of freedom. Massive gravity and bigravity have a canonical kinetic term for the gravitons (due to the Einstein-Hilbert term) and thus GWs propagate at the speed of light. In vector-tensor theories there could be couplings to the curvature leading to an anomalous propagation speed, for instance Rμνvμvν in vector DE (Beltran Jimenez and Maroto, 2008). Interestingly, in more complex vector theories, it is possible to have derivative couplings to the curvature through the field strength Fμν which do not induce an anomalous speed over cosmological backgrounds (Beltrn Jimnez and Heisenberg, 2018). This is because in these theories it is possible to have cosmic acceleration while the background of Fμν vanishes, thus violating condition (i) One should notice that, when violating some of the initial assumptions, the propagation speed of GWs might not be subject to the background value of any additional field and just to the parameters of the theories. This is the case for instance of Hořava gravity (Blas and Lim, 2015).

Alternatively, a much more common strategy followed in the literature is to compute the speed of GWs directly in a given background, usually FLRW. For Horndeski theory this was done in Kobayashi et al. (2011) and Bellini and Sawicki (2014). The implications of an anomalous GW speed have been discussed for instance for purely kinetic coupled gravity (Kimura and Yamamoto, 2012), covariant Galileons (Brax et al., 2016) and models with self-acceleration (Lombriser and Taylor, 2016; Lombriser and Lima, 2017). The implications for cosmology were discussed in Saltas et al. (2014) and Sawicki et al. (2017). In vector-tensor theories, cosmological tensor perturbations have been computed for instance in De Felice et al. (2016a) and De Felice et al. (2016b).

Prior to the direct detection of GWs, there were indirect constraints on the speed of GWs. High energy cosmic rays from galactic origin set a stringent lower bound -2·10-15cg/c-1 (Moore and Nelson, 2001), due to the absence of gravitational Cherenkov radiation (Caves, 1980). The reason is that if gravitons propagate slower than the speed of light, cosmic rays could decay into them and their signal would be lost. This lower bound affects Horndeski theory (Kimura and Yamamoto, 2012). However, note that we are talking about very energetic gravitons, different from the low energy GW emission of an astrophysical compact binary. Moreover, the GW speed was indirectly constrained at the level of |cg/c−1| ≤ 0.01 with the orbits of binary pulsar in the absence of screening of the cosmological solution (Beltrán Jiménez et al., 2016).

With the detections of GWs from BBHs, the first direct constraints on the speed of GWs were placed (Blas et al., 2016; Cornish et al., 2017). The constraints were still not very strong, −0.45 ≤ cg/c−1 ≤ 0.42, due to the uncertainties in the localization of the source and the low number of detections (3 at the time of the analysis). Detecting a GW with an EM counterpart changes the situation completely, leading to very precise measurements (Will, 1998; Nishizawa and Nakamura, 2014; Nishizawa, 2016).

Such a multi-messenger GW event was detected on August 17, 2017 with the BNS GW170817 (Abbott et al., 2017a). The GW signal was followed by a short gamma ray burst (sGRB) only Δt = 1.74 ± 0.05s after (Abbott et al., 2017e). The source was localized at a distance of dL=40-14+8Mpc. In order to set the constraints, the LIGO-Virgo collaboration conservatively considered the source at the lowest distance of 26Mpc. For the upper bound, it was assumed that both the GW and the sGRB were emitted at the same time and that all the delay is caused by the faster propagation of the GW. For the lower bound, they assumed that the sGRB was generated 10s after the GW, order of magnitude expected in standard astrophysical models, and that the delay was reduced to 1.74s due to the slower propagation of the GW. In total, this led to the impressive constraint

-3·10-15cg/c-17·10-16.    (66)

This result has profound implications for many gravity theories and dark energy models.

In scalar-tensor gravity at least one of the conditions for an anomalous GW speed has to be broken. If we want the scalar field to keep playing a role in the cosmic expansion history, it cannot have a trivial scalar field configuration. Therefore, the only possibility to satisfy GW170817 is to break the second condition an eliminate derivative couplings to the curvature. For Horndeski theory (5-8) this implies (Baker et al., 2017; Creminelli and Vernizzi, 2017; Ezquiaga and Zumalacárregui, 2017; Sakstein and Jain, 2017)

G4,X0, G5constant.    (67)

Translating this result, only the simplest models such as quintessence, Brans-Dicke or Kinetic Gravity Braiding survive. On the contrary, models like Covariant Galileons, Fab Four, Gauss-Bonnet or some sectors of beyond Horndeski are ruled out. The fact that the parameter space has been drastically reduced has implications for cosmological constraints (Kreisch and Komatsu, 2017; Arai and Nishizawa, 2018; Peirone et al., 2018b) and for large scale structure (Amendola et al., 2018b).

For vector-tensor theories the situation is very similar. In order to describe DE and to pass the GW test some couplings of the theory have to be eliminated (Baker et al., 2017; Ezquiaga and Zumalacárregui, 2017), in particular G4, Y ≈ 0 and G5, Y ≈ 0 (see full action in Equation 299 of Heisenberg, 2018a) The same happens for Hořava gravity where one has to impose ξ ≈ 1 or βkh ≈ 0 (Emir Gümrükçüoğlu et al., 2018), which correspond to the conditions for the low-energy version of the theory or its Einstein-aether analog, respectively. The implications of GW170817 for other gravity theories have been extensively explored, for instance for doubly-coupled bigravity (Akrami et al., 2018), f(T) gravity (Cai et al., 2018) or Born-Infeld models (Jana et al., 2018).

5.2. Mass Term

A graviton mass, either effective or fundamental, modifies the propagation speed of GWs. However, contrary to the anomalous speed term cg, it does it in a frequency dependent way. This means that it can be constrained with GW observation alone, analyzing how the phase of the wave changes in time. The present bound from the LIGO-Virgo collaboration is (Abbott et al., 2017f)

mg7.7·10-23eV/c2.    (68)

Note that this bound is still far away from the cosmologically “motivated” mg ~ H010-33eV/c2.

Since a graviton mass would also change gravity in other regimes, we can compare the GW bound with other tests. In particular, a massive graviton introduce a Yukawa potential that can be constrained with Solar System observations. This issue has been recently revisited (Will, 2018), showing that the best bound comes from the perihelion advance of Mars, leading to mg<(4-8)·10-24eV/c2, which is an order of magnitude better than present GW constraints.

For LISA, the GW bound could improve significantly, due to the lower frequencies and higher distances, possibly reaching mg<10-26eV/c2 (Berti et al., 2005). In addition, there are proposals to bound mg measuring the phase lag of continuos sources of GWs and EM radiation with LISA binaries (Larson and Hiscock, 2000; Cutler et al., 2003; Finn and Romano, 2013)11. For more details in other types of constraints, we recommend the recent review (de Rham et al., 2017).

5.3. Modified Dispersion Relation

Similarly to a graviton mass, Lorentz violating terms modify the dispersion relation in a frequency dependent way. Different wavelengths thus travel at different speeds, modifying the time evolution of GW phase. The effects of the new terms Ai in the dispersion relation (64) can be systematically parametrized in modifications of the waveform (Mirshekari et al., 2012). A typical example of a Lorentz-violating theory would be high-energy Hořava gravity (Horava, 2009) in which

ω2=c2k2+κh4μh216k4+,    (69)

where κh and μh are parameters of the theory (Vacaru, 2012).

From the first two events, GW150914 (Abbott et al., 2016b) and GW151226 (Abbott et al., 2016a), one can already constraints several theories as detailed in Yunes et al. (2016). For Hořava gravity, one can constrain the combination of parameters κh4μh2, which were not bounded previously. GW170104 (Abbott et al., 2017f) and GW170817 (Abbott et al., 2017e) have also been used by LVC to constrain the different 𝔸n.

5.4. Equivalence Principle

The fact that GWs and EM radiation from GW170817 arrived almost simultaneously at Earth after approximately 100 million light years of travel tells us that both signals follow very similar geodesics. This statement can be made precise in terms of the Shapiro delay (Shapiro, 1964). The Shapiro delay measures the difference on arrival time of a massless particle in flat and curved space-time. This can be computed parametrizing the integral of the gravitational potential U(r) over the line of sight (Krauss and Tremaine, 1988)

ΔtS=(1+γ)c2reroU(r(l))dl,    (70)

where re and ro are the positions at emission and observation. The prediction of GR is that γ = 1 for any massless particle. This has been tested to very good precision for photons, γem-1(2.1±2.3)·10-5, using the Cassini space-craft (Bertotti et al., 2003). This is one of the most stringent Solar System test of gravity and implies that in these scales the gravitational potential should be very similar to GR as discussed in detail in the review (Will, 2014).

Now, the multi-messenger observation of GW170817 allow us to test if GWs and EM radiation feel the same gravitational potential. In other words, this is testing the equivalence principle. In order to get a bound on the relative difference of γgw and γem one needs to know the gravitational potential between the BNS and the detectors. A conservative bound can be placed introducing only the effect of the Milky Way to arrive at (Abbott et al., 2017e)

-2.7·10-7γgw-γem1.2·10-6.    (71)

This constraint has implications for instance for theories in which the dark matter arises from a non-minimal matter coupling to gravity, the so-called dark matter emulators (Boran et al., 2018). If both types of waves propagate in the same effective metric, no relative difference is present, as it has been argued for the case in MOG gravity (Green et al., 2018).

6. Gravitational Wave Damping

Apart from the speed of GWs, the other main observable from the modified propagation is the luminosity distance of GWs dLgw. For theories in which cg = c, the GW luminosity distance (57) is related to the EM luminosity distance dLem by

dLgw(z)dLem(z)=exp[120zν1 + zdz],    (72)

where ν is the additional friction term from modifying gravity, cf. (55). Therefore, one can probe the damping of GWs using standard sirens, since for those multi-messenger observations both dLgw(z) and dLem(z) are measured (Deffayet and Menou, 2007). Moreover, even without an EM counterpart, any additional friction for the GWs could be probed using GW source counts (Calabrese et al., 2016).

A paradigmatic example of a modification of gravity in which the GW luminosity distance differs from the EM one is adding extra dimensions (Deffayet and Menou, 2007). In extra dimension theories, for instance DGP, there can be a large distance leakage of the gravitons into the additional dimensions. This means that, as a net effect, an observer will receive less gravitons or, in other words, the gravitational signal will be dimmer. By dimensional analysis, the GW luminosity distance scales in these theories as

dLgw(z)dLem(z)(dLem(z))(D-4)/2,    (73)

where D refers to the number of space-time dimensions in which the graviton can propagate.12 For D = 4, one recovers the GR result dLgw=dLem. In cases in which the graviton can only travel in the extra dimensions above a certain screening scale Rc, the previous relation generalizes to Abbott et al. (2018f)

dLgw(z)dLem(z)=[1+(dLemRc)n](D-4)/(2n),    (74)

where n measures the transition steepness and the GR limit is recovered when D = 4.

In scalar-tensor gravity it is also known how the GW luminosity distance will evolve. The additional friction is equal to the effective Planck mass run rate αM

ν=αM=dln M*2dln a,    (75)

where M* is the effective Planck mass, i.e., the normalization of the kinetic term of the tensor perturbations. Then, recalling the redshift definition 1 + z = a0/a, one arrives at

dLgw(z)dLem(z)=M*(0)M*(z),    (76)

where M*(0) and M*(z) are the effective Planck masses at the time of observation and emission, respectively. Assuming that there is no screening and taking αM constant, one could rewrite this expression as (Nishizawa, 2018)

dLgw(z)dLem(z)=(1+z)αM/2.    (77)

For this case, the implications of measuring αM for Horndeski cosmology have been discussed in Saltas et al. (2014) and Lombriser and Taylor (2016). The prospects of constraining the time variation of the Planck mass has been investigated for aLIGO in Nishizawa (2018) and for LISA in Amendola et al. (2018c). For illustration, we plot in Figure 12 how the ratio dLgw(z)/dLem(z) would vary in Brans-Dicke depending on the coupling ωBD, cf. Equation (3).

FIGURE 12
www.frontiersin.org

Figure 12. Ratio between the GW and the EM luminosity distances in Brans-Dicke for different values of ωBD, cf. Equation (3).

Another theory in which the GW luminosity distance has been investigated is the non-local, RR-model. For this model, one finds (Belgacem et al., 2018a)

dLgw(z)dLem(z)=Geff(z)Geff(0),    (78)

where the effective Newton constant is related to the parameters of the theory

Geff(z)=G1 - 3γV-(z),    (79)

with V-(z) being the background evolution of the auxiliary field and γ=m2/(9H02) linked to the mass of the conformal mode m (see details in the review Belgacem et al., 2018c). Thus, the growth of structure is directly related to the GW propagation. This behavior is also reproduced in some Horndeski models (Linder, 2018). Differently to the scalar-tensor case, there is no screening for these non-local models. One should note also that the strength of the modification of the GW luminosity relation is sensitive to the initial conditions of the auxiliary field V-(z), which depends on the unknown early universe physics.

With the detection of the multi-messenger event GW170817 it was possible to test the gravitational Hubble diagram for the first time. The observation was consistent with GR although being just one event the constraining power is still moderate. For theories with extra dimensions following (73), it was found that the number of space-time dimensions in which the gravitons propagate is limited to Pardo et al. (2018)

D=4.02-0.10+0.07 or D=3.98-0.09+0.07    (80)

for SN or CMB prior in H0 (see Figure 8 and section 4.1).13 Similar analysis follows for brane-world models (Visinelli et al., 2018), constraining in that case the radius of curvature of the extra dimensions. Moreover, the additional friction ν can only be loosely constrained (Arai and Nishizawa, 2018)

-75.3ν78.4.    (81)

In order to connect this result with the previously discussed theories recall that for scalar-tensor gravity ν = αM and for the non-local, RR-model ν = −2δ (Belgacem et al., 2018a).

An important remark when evaluating the GW luminosity distance in modified gravity is that it will not only be altered with respect to GR due to the modified propagation of GWs but also because the cosmological expansion history is different. In other words, in alternative theories of gravity both the EM luminosity distance dLem and its relation with the GW luminosity distance can be modified, due to a different H(z) and to an additional friction ν, respectively. In fact, the contribution of the modified propagation can dominate over the modified cosmic expansion history. Introducing a phenomenological parametrization of the GW luminosity distance (Belgacem et al., 2018b)

dLgw(z)dLem(z)=Ξ0+1-Ξ0(1 + z)n    (82)

together with the usual (w0, wa) parametrization of H(z), it was shown that the largest contributions are Ξ0 and w0. The prospects of measuring Ξ0 with the Einstein telescope were also considered in Belgacem et al. (2018b).

7. Additional Polarizations

Apart from the modified GW propagation, the other main GW effect of theories beyond GR would be the emission of additional polarizations. We have seen that observing the orbits of pulsars already severely constrains the gravitational energy loss to that of GR. Now, GW astronomy enables to directly probe these extra modes. For this test, the basic role of multi-messenger events is improving the localization and breaking degeneracies with the orientation14.

With direct GW observations, the emission of additional polarizations can be constrained from the modifications of the waveforms. For instance, with the first two events it was possible to limit the presence of scalar hair (Yunes et al., 2016). However, there are still degeneracies between the modified GW phase and the spin and mass parameters that weaken the constraints. This is the case of Einstein-dilaton-Gauss-Bonnet (Sotiriou and Zhou, 2014) and dynamical Chern-Simons gravity (Jackiw and Pi, 2003), archetypical examples of theories studied in numerical relativity (Benkel et al., 2016; Yagi and Stein, 2016).

Moreover, there are also searches for direct signals of non-tensorial polarizations, analyzing the GW geometry through the projection of the different polarizations Aij (54) onto the detector's network. Since the two LIGO interferometers Hanford and Livingston are basically coaligned, they maximize the SNR of the detection but are insensitive to polarizations. This situation changes with the incorporation of Virgo. From the observation of GW170814, a three detector BBH signal, pure tensor polarization were favored over pure vector or pure scalar modes (Abbott et al., 2017h; Isi and Weinstein, 2017). However, this was just a simplified analysis and the LIGO-Virgo collaboration is performing a more intensive study including mixed-polarization, which would be a more realistic setup. In the future, these constraints will improve with the switch on of the Japanese detector KAGRA and aLIGO India (see Figure 2). Nevertheless, one should note that quadrupolar detectors like aLIGO and aVirgo cannot distinguish between the breathing and longitudinal scalar modes (see Figure 6).

In addition, it will be possible to test additional polarizations with continuous GW sources such as pulsars (Isi et al., 2017). No signal has so far been detected (Aasi et al., 2016; Abbott et al., 2017d), although only the first run has been analyzed because of the costly computational analysis.

Finally, observing the stochastic backgrounds of GWs can probe as well non-GR polarizations. Such background is composed of individually unresolved sources. Since the signal is received from different points in the sky in a continuous manner, it allows a direct measurement of the polarization from the spectral shape of the background (Callister et al., 2017). No stochastic GW background has been detected yet, placing limits on the stochastic background from tensor, vector and scalar polarizations (Abbott et al., 2018a).

7.1. Gravitational Wave Oscillations

Interestingly, these extra modes might mix with the GR polarizations h+, ×. Over cosmological backgrounds, tensor polarizations can only mix with other tensor modes by symmetry arguments. The simplest example of a theory with two metric perturbations is bigravity. In analogy with neutrino oscillations, the difference between the mass and propagation eigenstates in bigravity leads to GW oscillations (Narikawa et al., 2015; Max et al., 2017, 2018). Assuming that GWs are emitted as in GR, these oscillations during the propagation introduce a modulation of the GW amplitude. Thus, depending on the mixing angle and the mass of the graviton, there will be oscillations in the GW luminosity distance as a function of redshift. We plot different examples in Figure 13. Present ground-based detectors are sensitive to masses mg ~ 10-22eV. The mixing is maximized at an angle θ = π/4 [recall (58)]. In principle, for several multi-messenger events at different redshifts one could trace these oscillations (Max et al., 2017). Moreover, with space-based detectors like LISA one could reach a thousand times smaller masses. Interestingly, since both perturbations travel at different speeds due to the mass term of one of them, it is possible that they decohere ending traveling independently and arriving at different times. GW detectors will then see an echo signal. This allows to further constraint the parameter space of bigravity (Max et al., 2018).

FIGURE 13
www.frontiersin.org

Figure 13. Modulation of the GW luminosity distance due to GW oscillations in bigravity for different graviton masses mg and mixing angles θ, cf. (58). This plot is adapted from the results of Max et al. (2017).

Finally, we should stress that GW oscillations are not a unique property of bigravity. For instance, gravity theories with gauge fields in an SU(2) group have effectively two metric perturbations as well, leading to the same phenomena (Caldwell et al., 2016; Caldwell and Devulder, 2018). This can happen in different classes of vector-tensor DE models too (Beltrn Jimnez and Heisenberg, 2018).

8. Theoretical Implications

Present GW observations place severe limits on deviations from GR. Among the different constraints, the most stringent ones are the propagation speed equal to the speed of light and the absence of emission of additional polarizations. The key question is then

within the set of theories passing present tests, what interesting phenomenology is still possible?

Of course, we do not have a complete answer to this question. In the following, we survey different proposals of viable theories and highlight some lessons we have learned in light of current bounds.

8.1. cg = c

Before considering which theories are compatible with present constraint on the speed of GWs, it is important to discuss how far reaching this new measurement is. The first thing to note is that due to the closeness of the BNS, the constraint only applies basically to present time. Therefore, one could envision a situation in which the speed of GWs was different from the speed of light at early times but due to the cosmological evolution at present time cg(z = 0) = c. However, one should be careful about this argument for several reasons. First, the level of precision of cg/c−1 requires the cosmological evolution to be tuned at the level of 1 part in 1015. One way around this argument is to have cg(z = 0) = c as a late time cosmological attractor. An example of this is Doppelgänger DE (Amendola et al., 2018a), where a coupling between DM and DE allowed for this attractor to exist. Still, if the derivative couplings to the curvature leading to the anomalous speed remain present in the action, there are reasons to worry (Ezquiaga and Zumalacárregui, 2017). This is because although the cosmological evolution might lead to the precise cancellation of the dangerous terms, there will be deviations from the cosmological background along the path of the GWs toward the detector, for instance, when they cross the Milky Way.

A second remark is that constraints in the dispersion relation only apply to the characteristic wave numbers of the compact binary systems detected so far. These modes are characterized by kgwH0. As a consequence, in a phenomenological approach, one could envision modifications of the dispersion relation only arising at cosmological scales (Battye et al., 2018), for instance

ω2(k)=cg2k2(1+ncn(aHk)n).    (83)

This could, in principle, lead to modified gravity effects at large scales not affecting present GW constraints. However, in practice, only theories with non-local couplings or higher derivative interactions with ghost degrees of freedom are known to have this dispersion relation. It would be interesting to study in depth the theoretical framework allowing for this modified propagation.

Related to this point, one should note that the frequency of GW170817 was close to the typical strong coupling scale of the EFT of DE Λstrong ~ (MplH02)1/3 ~ 260Hz. If the cutoff of the theory is of the order of the strong coupling scale Mcutoff ~ Λstrong, as it is usually assumed, higher dimensional operators might modify the dispersion relation although one would not expect that they conspire to completely cancel the anomalous speed at the level of O(10-15) (Creminelli and Vernizzi, 2017). In the case in which the cutoff scale is parametrically smaller, Mcutoff ≪ Λstrong, the situation could be different (de Rham and Melville, 2018). Theories with a Lorentz-invariant ultra-violet (UV) completion are presumed to have luminal GW propagation. Therefore, one would expect higher dimensional operators to erase any anomalous speed beyond the cutoff scale, which in this case might already happen in the LIGO band. However, the speed of GWs cannot be computed beyond Mcutoff if the UV completion is unknown. In any case, the hypothesis that higher dimensional operators render cg(kLIGO) = c could be tested detecting GWs at different frequencies, for example with LISA (see Figure 7). This might give us valuable information about the cutoff scale of the effective theory of DE.

Another lesson from GW170817, as it was discussed in section 5.1, is that the effective metric for GWs is proportional to the effective metric for EM radiation. In other words, the GW-cone and the light-cone are the same. This fact suggests two ways to construct theories with cg = c (Ezquiaga and Zumalacárregui, 2017). On the one hand, one could start with a theory in which GWs propagate at the speed of light and apply a conformal transformation g~μν=Ω2(ϕ,X)gμνB to the gravity sector15. Then, one would automatically arrive to a theory with cg = c. In the case of scalar-tensor gravity, if one applies this recipe to GR, one arrives at the kinetic conformal theory (10), which was the first extension beyond Horndeski (Zumalacárregui and García-Bellido, 2014). On the other hand, one could begin with a theory with cgc and apply a disformal transformation (Bekenstein, 1993),

g~μν=Ω2(ϕ,X)gμνB+D(ϕ,X)ϕ,μϕ,ν,    (84)

engineered to compensate the anomalous speed. This is because the term D is not proportional to the metric and can modify the causal structure, unlike the conformal term Ω2. This is clear when computing how the speed of GWs would transform (Ezquiaga and Zumalacárregui, 2017)

c~g2=cg2(X~)1 + 2X~D,    (85)

where cg is the speed of tensors of the original gravity theory and -2X~=g~μνϕ,μϕ,ν.16 In this case, starting with Horndeski theory, one would arrive at the subclass of GLPV theory (Gleyzes et al., 2015b) characterized by cg = c. In terms of the free functions in the action (11), one needs to impose B4 = G4, X/X. Satisfying this constraint, concrete DE models have been proposed (Kase and Tsujikawa, 2018). In the context of DHOST theories, this constraint implies A1 = 0. Something to note is that after GW170817, DHOST has the same number of free functions in the action as Horndeski had before the constraint on the speed of GWs, i.e., four free functions of ϕ and X that could be counted as K(ϕ, X), G3(ϕ, X), G4(ϕ, X) (with B4 = G4, X/X) plus the conformal redefinition Ω2(ϕ, X) (cf. 5-7,11,10).

One may worry whether the conditions for cg = c are stable under quantum corrections. If they are not, one would need to tune the GW speed order by order in perturbation theory. Using the results of Pirtskhalava et al. (2015) and Luty et al. (2003) linking the properties of Horndeski with those of Galileons, it was argued in Creminelli and Vernizzi (2017) that the quantum corrections to the EFT coefficients are negligible, O(10-40), even compared to the 10−15 constraint in cg/c−1. Thus, the tree-level condition is not modified (see also Santoni et al., 2018 where the same conclusion is derived analysing higher derivative EFTs).

Within the scalar-tensor theories compatible with the constraint on the speed of GWs, there have been extensive efforts to explore interesting phenomenology. One immediate question is whether the survival theories can provide accelerated expansions at late times without a cosmological constant as covariant Galileons were providing. This possibility was investigated in the context of DHOST theory (Crisostomi and Koyama, 2018a). It was found that indeed there are scaling solutions with a late time de Sitter behavior. Still, a full comparison with present cosmological observations is missing due to the lack of appropriate Boltzmann codes for these higher-derivative theories.

Another attractive feature of Horndeski gravity was the possibility to have self-tuning solutions (Charmousis et al., 2012a,b). This was an attempt to solve the cosmological constant problem by counterbalancing the large bare vacuum energy with the energy momentum of the scalar field. However, Fab Four models realizing this behavior predict an anomalous GW speed. Now, beyond Horndeski models with cg = c could also exhibit self-tuning. Indeed, an infinite set of self-tuning models compatible with GW170817 were found in Babichev et al. (2018). Again, a detailed cosmological analysis is left for future work.

In the realm of Horndeski gravity, one could search for other definite predictions. In addition to the condition on the speed of GWs (αT = 0) one could impose that the gravitational strength coupling to matter is the same as the one to light, Gmatter = Glight (or αB = −2αM). This model, named no slip gravity (Linder, 2018), has the property of predicting that gravity should be weaker than GR in the late universe. This could be tested with growth of structure observations in the next generation galaxy redshift surveys.

8.2. Compact Objects

Present observations severely constrain deviations from GR at small scales. Screening mechanisms are thus needed to surpass these bounds (Chu and Trodden, 2013; de Rham et al., 2013a,b; Barausse and Yagi, 2015). Modified gravity theories can display different types of screening mechanisms (see reviews Brax, 2013; Joyce et al., 2015). For theories with derivative interactions this is achieved with the Vainshtein mechanism, which screens the fifth force when the local curvature is larger than a given threshold. Such mechanism has been extensively studied for Horndeski theory (Kimura et al., 2012; Koyama et al., 2013; Narikawa et al., 2013). For theories beyond Horndeski of the GLPV class the screening works similarly outside the source, but there is a breaking of Vainshtein screening inside matter (Kobayashi et al., 2015). This suggests using astrophysical systems, such as neutron stars, to test these theories (Koyama and Sakstein, 2015; Babichev et al., 2016).

The question then is whether the viable scalar-tensor theories (in light of GW tests) can display a successful screening and if there are any observational signatures to test them. This was addressed by different groups soon after the announcement of GW170817 (Crisostomi and Koyama, 2018b; Dima and Vernizzi, 2018; Langlois et al., 2018). One should note that many models in which the breaking of Vainshtein screening was studied previously are incompatible with cg = c. Still, these recent analyses show that within DHOST theories satisfying the constraint in the speed of GWs, screening is effective outside non-relativistic bodies, but there could be a breaking inside matter as well. This deviation from GR inside compact bodies is only predicted for theories beyond Horndeski. Comparing with the previous GLPV analysis, the weakening of Vainshtein screening inside matter in DHOST theories has a different form with an additional term not present before.

Moreover, the emission of additional polarizations is highly constrained as well. Depending on the gravity theory, compact objects might emit extra radiation (see Herdeiro and Radu, 2015 for a review on no-hair theorems). An interesting question is if cosmologically relevant theories compatible with the bound on the speed of GWs can exhibit scalar hair in the black-hole solutions. In Tattersall et al. (2018) it was found under these conditions only very little or no scalar hair is possible. Analysis of black-hole solutions including screening effects have not been studied so far. Strong field effects are yet possible in theories not aimed at explaining cosmology, for instance spontaneous scalarization in neutron stars (Damour and Esposito-Farese, 1993) or even in black-holes (Antoniou et al., 2018; Doneva and Yazadjiev, 2018; Silva et al., 2018) [see more details in the extensive review (Barack et al., 2018)]. However, one should note that this kind of solutions may also induce an anomalous propagation speed due to the spatial scalar field profile (Papallo and Reall, 2015). Possible constraints from this effect should be investigated further.

9. Conclusions and Outlook

Gravitational wave astronomy has opened a new window to test gravity and dark energy. Multi-messenger probes are specially promising for this task. The first detection of GWs from a binary neutron star merger, GW170817, was followed up by several EM counterparts. This has provided an independent, standard siren measurement of the Hubble constant H0. Moreover, GW170817 already constrains large classes of DE models. In particular, the bound on the speed of GWs was significantly strong. Other multi-messenger tests of DE are possible, such as probing the GW luminosity distance or searching for additional polarizations. These tests will become more relevant in the future when more events will be available. Still, there remain important challenges in this GW program to probe DE.

From the observational side, it will be crucial to achieve a global synergy in the quest of multi-messenger GW astronomy. On the one hand, GW detectors will have to improve their sensitivity and enlarge the network to detect more events and localize them better. On the other hand, observatories around the world should be available to follow-up triggers. Moreover, improved galaxy catalogs might be necessary to maximize the chances of localization. Lastly, cross-correlations between GWs and other cosmological probes might be an interesting endeavor.

From the theoretical side, the main challenge will be to analyze the GW propagation over non-cosmological backgrounds, understanding the possible interplay of additional polarizations. This will be relevant for instance for GWs traveling through a screened region. Furthermore, degeneracies between modified gravity predictions and astrophysical properties should be studied in more detail. For example, possible signatures of phenomenology beyond GR in neutron stars could possibly be the same as modifications of the equation of state.

Altogether, the future of multi-messenger GW astronomy appears promising. In the coming years standard sirens will be routinely detected and we will be able to apply the different GW tests of gravity to a much higher precision. The new techniques brought by GW astronomy will bring us closer to unveil the nature of dark energy.

Author Contributions

All authors listed have made a substantial, direct and intellectual contribution to the work, and approved it for publication.

Conflict of Interest Statement

The authors declare that the research was conducted in the absence of any commercial or financial relationships that could be construed as a potential conflict of interest.

Acknowledgments

We are grateful to E. Bellini, J. Beltrán, J. L. Bernal, D. Bettoni, D. Blas, L. Heisenberg, G. Horndeski, J. Smirnov, G. Tasinato, and F. Vernizzi for comments on the manuscript. We would like to thank also the authors of Max et al. (2017) and Max et al. (2018) for providing us the tools to adapt their plots, and the authors of Renk et al. (2017) and Belgacem et al. (2018c) for the permission to reproduce their figures. JE is supported by the Spanish FPU Grant No. FPU14/01618, the Research Project FPA2015-68048-03-3P (MINECO-FEDER) and the Centro de Excelencia Severo Ochoa Program SEV-2016-0597. He thanks CERN Theory Division for hospitality during his stay there and the FPU program for financial support. MZ is supported by the Marie Sklodowska-Curie Global Fellowship Project NLO-CO. He thanks the Instituto de Física Fundamental IFF-CSIC for their hospitality during the completion of this work. We acknowledge the use of the hi_class code (www.hiclass-code.net) (Zumalacárregui et al., 2017). This research has made use of data, software and/or web tools obtained from the LIGO Open Science Center (https://losc.ligo.org), a service of LIGO Laboratory, the LIGO Scientific Collaboration and the Virgo Collaboration. LIGO is funded by the U.S. National Science Foundation. Virgo is funded by the French Centre National de Recherche Scientifique (CNRS), the Italian Istituto Nazionale della Fisica Nucleare (INFN) and the Dutch Nikhef, with contributions by Polish and Hungarian institutes. The first version of this work appeared as a preprint (Ezquiaga and Zumalacárregui, 2018).

Footnotes

1. ^In addition to GR, there is another theory for massless, spin-2 fields in 4D, Unimodular Gravity, which is invariant under diffeomorphisms preserving the 4D volume element (van der Bij et al., 1982).

2. ^A class of GR extensions include additional geometric elements like torsion or non-metricity. These elements can be viewed as either breaking the fundamental assumptions or including additional fields.

3. ^Self-accelerating solutions are those in which there is a late time acceleration without a cosmological constant (Λ = 0).

4. ^Scalar-tensor theories can be reformulated in terms of differential forms in which the second order equations follow naturally from the antisymmetry of this language (Ezquiaga et al., 2016). This approach can be generalized to gravity theories with additional vector and tensor fields as well (Ezquiaga et al., 2017).

5. ^Technically speaking, multiple vectors can lead to isotropic solutions if they have an internal symmetry that together with the broken space-time symmetries leaves a residual ISO(3) (Beltrn Jimnez and Heisenberg, 2018). For the case of the triad, the symmetry group is SO(3).

6. ^Similar arguments apply for the spin angular momentum in case the source exhibit some internal motion.

7. ^See Appendix A of the first arXiv version of Ezquiaga and Zumalacárregui (2017) for a derivation.

8. ^In (52) we had assumed a flat universe.

9. ^The effective spin is the mass weighted projection of the two spins of the binaries into the orbital angular momentum.

10. ^Note that similar arguments could be applied to the other gravitational modes, for instance for a scalar field (Babichev et al., 2008).

11. ^In fact, one can use the phase lag test to constraint the propagation speed of GWs in general (Bettoni et al., 2017).

12. ^For an analysis of the GW propagation over compact extra dimensions see Andriot and Lucena Gmez (2017).

13. ^This model was reanalyzed in Abbott et al. (2018f) without assuming any prior in H0 but the GW170817 measurement and including the screening (74), which differs from the one in Pardo et al. (2018).

14. ^In some sense, one could argue that a simultaneous detection of GR and non-GR polarizations is a multi-messenger observation itself.

15. ^Note that if the field redefinition was applied to the whole action, the transformed theory will not lead any new physics, being completely equivalent to the original one.

16. ^This result can be proven explicitly using the full disformal transformation of Horndeski theory presented in Ezquiaga et al. (2017).

References

Aasi, J., Abbott, B. P., Abbott, R., Abbott, T. D., Abernathy, M. R., Acernese, F., et al. (2016). First low frequency all-sky search for continuous gravitational wave signals. Phys. Rev. D 93:042007. doi: 10.1103/PhysRevD.93.042007

CrossRef Full Text | Google Scholar

Abazajian, K. N., Adshead, P., Aguirre, J., Ahmed, Z., Aiola, S., and Ali-Haimoud, Y. (2016). CMB-S4 Science Book, 1st Edn.

Abbott, B. P., Abbott, R., Abbott, T. D., Abernathy, M. R., Acernese, F., Ackley, K., et al. (2016a). GW151226: observation of gravitational waves from a 22-solar-mass binary black hole coalescence. Phys. Rev. Lett. 116:241103. doi: 10.1103/PhysRevLett.116.241103

PubMed Abstract | CrossRef Full Text | Google Scholar

Abbott, B. P., Abbott, R., Abbott, T. D., Abernathy, M. R., Acernese, F., Ackley, K., et al. (2016b). Observation of gravitational waves from a binary black hole merger. Phys. Rev. Lett. 116:061102. doi: 10.1103/PhysRevLett.116.061102

PubMed Abstract | CrossRef Full Text | Google Scholar

Abbott, B. P., Abbott, R., Abbott, T. D., Abernathy, M. R., Acernese, F., Ackley, K., et al. (2016c). Properties of the binary black hole merger GW150914. Phys. Rev. Lett. 116:241102. doi: 10.1103/PhysRevLett.116.241102

PubMed Abstract | CrossRef Full Text | Google Scholar

Abbott, B. P., Abbott, R., Abbott, T. D., Abernathy, M. R., Acernese, F., Ackley, K., et al. (2017d). First search for gravitational waves from known pulsars with Advanced LIGO. Astrophys. J. 839:12. doi: 10.3847/1538-4357/aa677f

CrossRef Full Text | Google Scholar

Abbott, B. P., Abbott, R., Abbott, T. D., Abernathy, M. R., Acernese, F., Ackley, K., et al. (2018b). All-sky search for long-duration gravitational wave transients in the first Advanced LIGO observing run. Class. Quant. Grav. 35:065009. doi: 10.1088/1361-6382/aaab76

CrossRef Full Text | Google Scholar

Abbott, B. P., Abbott, R., Abbott, T. D., Abernathy, M. R., Acernese, F., Ackley, K., et al. (2018e). Prospects for observing and localizing gravitational-wave transients with advanced LIGO, advanced virgo and KAGRA. Living Rev. Rel. 21:3. doi: 10.1007/s41114-018-0012-9

PubMed Abstract | CrossRef Full Text | Google Scholar

Abbott, B. P., Abbott, R., Abbott, T. D., Abernathy, M. R., Ackley, K., Adams, C., et al. (2017c). Exploring the sensitivity of next generation gravitational wave detectors. Class. Quant. Grav. 34:044001. doi: 10.1088/1361-6382/aa51f4

CrossRef Full Text | Google Scholar

Abbott, B. P., Abbott, R., Abbott, T. D., Abernathy, M. R., Ackley, K., Adams, C., et al. (2017e). Gravitational waves and gamma-rays from a binary neutron star merger: GW170817 and GRB 170817A. Astrophys. J. 848:L13. doi: 10.3847/2041-8213/aa920c

CrossRef Full Text | Google Scholar

Abbott, B. P., Abbott, R., Abbott, T. D., Acernese, F., Ackley, K., Adams, C., et al. (2017a). GW170817: observation of gravitational waves from a binary neutron star inspiral. Phys. Rev. Lett. 119:161101. doi: 10.1103/PhysRevLett.119.161101

PubMed Abstract | CrossRef Full Text | Google Scholar

Abbott, B. P., Abbott, R., Abbott, T. D., Acernese, F., Ackley, K., Adams, C., et al. (2017b). A gravitational-wave standard siren measurement of the Hubble constant. Nature 551, 85–88. doi: 10.1038/nature24471

CrossRef Full Text | Google Scholar

Abbott, B. P., Abbott, R., Abbott, T. D., Acernese, F., Ackley, K., Adams, C., et al. (2017f). GW170104: observation of a 50-solar-mass binary black hole coalescence at redshift 0.2. Phys. Rev. Lett. 118:221101. doi: 10.1103/PhysRevLett.118.221101

PubMed Abstract | CrossRef Full Text | Google Scholar

Abbott, B. P., Abbott, R., Abbott, T. D., Acernese, F., Ackley, K., Adams, C., et al. (2017g). GW170608: observation of a 19-solar-mass binary black hole coalescence. Astrophys. J. 851:L35. doi: 10.3847/2041-8213/aa9f0c

CrossRef Full Text | Google Scholar

Abbott, B. P., Abbott, R., Abbott, T. D., Acernese, F., Ackley, K., Adams, C., et al. (2017h). GW170814: a three-detector observation of gravitational waves from a binary black hole coalescence. Phys. Rev. Lett. 119:141101. doi: 10.1103/PhysRevLett.119.141101

PubMed Abstract | CrossRef Full Text | Google Scholar

Abbott, B. P., Abbott, R., Abbott, T. D., Acernese, F., Ackley, K., Adams, C., et al. (2017i). Multi-messenger observations of a binary neutron star merger. Astrophys. J. 848:L12. doi: 10.3847/2041-8213/aa91c9

CrossRef Full Text | Google Scholar

Abbott, B. P., Abbott, R., Abbott, T. D., Acernese, F., Ackley, K., Adams, C., et al. (2018a). A search for tensor, vector, and scalar polarizations in the stochastic gravitational-wave background. Phys. Rev. Lett. 120:201102. doi: 10.1103/PhysRevLett.120.201102

PubMed Abstract | CrossRef Full Text | Google Scholar

Abbott, B. P., Abbott, R., Abbott, T. D., Acernese, F., Ackley, K., Adams, C., et al. (2018c). Full band all-sky search for periodic gravitational waves in the O1 LIGO data. Phys. Rev. D 97:102003. doi: 10.1103/PhysRevD.97.102003

CrossRef Full Text | Google Scholar

Abbott, B. P., Abbott, R., Abbott, T. D., Acernese, F., Ackley, K., Adams, C., et al. (2018d). GW170817: implications for the stochastic gravitational-wave background from compact binary coalescences. Phys. Rev. Lett. 120:091101. doi: 10.1103/PhysRevLett.120.091101

PubMed Abstract | CrossRef Full Text | Google Scholar

Abbott, B. P., Abbott, R., Abbott, T. D., Acernese, F., Ackley, K., Adams, C., et al. (2018f). Tests of General Relativity with GW170817. arXiv[Preprint]:1812.02604.

Google Scholar

Addison, G. E., Watts, D. J., Bennett, C. L., Halpern, M., Hinshaw, G., and Weiland, J. L. (2018). Elucidating ΛCDM: impact of baryon acoustic oscillation measurements on the hubble constant discrepancy. Astrophys. J. 853:119. doi: 10.3847/1538-4357/aaa1ed

CrossRef Full Text | Google Scholar

Ade, P. A. R., Aghanim, N., Arnaud, M., Ashdown, M., Aumont, J., Baccigalupi, C., et al. (2016). Planck 2015 results. XIV. Dark energy and modified gravity. Astron. Astrophys. 594:A14. doi: 10.1051/0004-6361/201525814

CrossRef Full Text | Google Scholar

Adhikari, R., and Iyer, B. (2011). Proposal of the Consortium for Indian Initiative in Gravitational-Wave Observations (indigo). LIGO-India Tech. Rep. No. LIGO-M1100296.

Aghanim, N. (2018). Planck 2018 results. VI. Cosmological parameters. arXiv[Preprint]:1807.06209.

Google Scholar

Akrami, Y., Brax, P., Davis, A.-C., and Vardanyan, V. (2018). Neutron star merger GW170817 strongly constrains doubly-coupled bigravity. Phys. Rev. D 97:124010. doi: 10.1103/PhysRevD.97.124010

CrossRef Full Text | Google Scholar

Akrami, Y., Hassan, S. F., Könnig, F., Schmidt-May, A., and Solomon, A. R. (2015). Bimetric gravity is cosmologically viable. Phys. Lett. B 748, 37–44. doi: 10.1016/j.physletb.2015.06.062

CrossRef Full Text | Google Scholar

Akrami, Y., Koivisto, T. S., and Sandstad, M. (2013). Accelerated expansion from ghost-free bigravity: a statistical analysis with improved generality. J. High Energy Phys. 3:99. doi: 10.1007/JHEP03(2013)099

CrossRef Full Text | Google Scholar

Allys, E., Peter, P., and Rodriguez, Y. (2016a). Generalized Proca action for an Abelian vector field. J. Cosmol. Astropart. Phys. 1602:4. doi: 10.1088/1475-7516/2016/02/004

CrossRef Full Text | Google Scholar

Allys, E., Peter, P., and Rodriguez, Y. (2016b). Generalized SU(2) proca theory. Phys. Rev. D 94:084041. doi: 10.1103/PhysRevD.94.084041

CrossRef Full Text | Google Scholar

Alonso, D., Bellini, E., Ferreira, P. G., and Zumalacárregui, M. (2017). Observational future of cosmological scalar-tensor theories. Phys. Rev. D 95:063502. doi: 10.1103/PhysRevD.95.063502

CrossRef Full Text | Google Scholar

Amaro-Seoane, P., Aoudia, S., Babak, S., Binétruy, P., Berti, E., Bohé, A., et al. (2013). eLISA/NGO: astrophysics and cosmology in the gravitational-wave millihertz regime. GW Notes 6, 4–110.

Google Scholar

Amendola, L., Ballesteros, G., and Pettorino, V. (2014a). Effects of modified gravity on B-mode polarization. Phys. Rev. D90:043009. doi: 10.1103/PhysRevD.90.043009

CrossRef Full Text | Google Scholar

Amendola, L., Bettoni, D., DomÃnech, G., and Gomes, A. R. (2018a). DoppelgÃnger dark energy: modified gravity with non-universal couplings after GW170817. J. Cosmol. Astropart. Phys. 1806:29. doi: 10.1088/1475-7516/2018/06/029

CrossRef Full Text | Google Scholar

Amendola, L., Fogli, S., Guarnizo, A., Kunz, M., and Vollmer, A. (2014b). Model-independent constraints on the cosmological anisotropic stress. Phys. Rev. D 89:063538. doi: 10.1103/PhysRevD.89.063538

CrossRef Full Text | Google Scholar

Amendola, L., Kunz, M., Motta, M., Saltas, I. D., and Sawicki, I. (2013). Observables and unobservables in dark energy cosmologies. Phys. Rev. D 87:023501. doi: 10.1103/PhysRevD.87.023501

CrossRef Full Text | Google Scholar

Amendola, L., Kunz, M., Saltas, I. D., and Sawicki, I. (2018b). Fate of large-scale structure in modified gravity after GW170817 and GRB170817A. Phys. Rev. Lett. 120:131101. doi: 10.1103/PhysRevLett.120.131101

PubMed Abstract | CrossRef Full Text | Google Scholar

Amendola, L., Sawicki, I., Kunz, M., and Saltas, I. D. (2018c). Direct detection of gravitational waves can measure the time variation of the Planck mass. J. Cosmol. Astropart. Phys. 1808:30. doi: 10.1088/1475-7516/2018/08/030

CrossRef Full Text | Google Scholar

Andriot, D., and Lucena Gmez, G. (2017). Signatures of extra dimensions in gravitational waves. J. Cosmol. Astropart. Phys. 1706:48. doi: 10.1088/1475-7516/2017/06/048

CrossRef Full Text | Google Scholar

Antoniadis, I., Arkani-Hamed, N., Dimopoulos, S., and Dvali, G. R. (1998). New dimensions at a millimeter to a Fermi and superstrings at a TeV. Phys. Lett. B436, 257–263. doi: 10.1016/S0370-2693(98)00860-0

CrossRef Full Text | Google Scholar

Antoniou, G., Bakopoulos, A., and Kanti, P. (2018). Evasion of no-hair theorems and novel black-hole solutions in gauss-bonnet theories. Phys. Rev. Lett. 120:131102. doi: 10.1103/PhysRevLett.120.131102

PubMed Abstract | CrossRef Full Text | Google Scholar

Arai, S., and Nishizawa, A. (2018). Generalized framework for testing gravity with gravitational-wave propagation. II. Constraints on Horndeski theory. Phys. Rev. D 97:104038. doi: 10.1103/PhysRevD.97.104038

CrossRef Full Text | Google Scholar

Archibald, A. M., Gusinskaia, N. V., Hessels, J. W. T., Deller, A. T., Kaplan, D. L., Lorimer, D. R., et al. (2018). Testing the universality of free fall by tracking a pulsar in a stellar triple system. Nature 559,73–76. doi: 10.1038/s41586-018-0265-1

CrossRef Full Text | Google Scholar

Arkani-Hamed, N., Dimopoulos, S., and Dvali, G. R. (1998). The Hierarchy problem and new dimensions at a millimeter. Phys. Lett. B 429, 263–272. doi: 10.1016/S0370-2693(98)00466-3

CrossRef Full Text | Google Scholar

Armendariz-Picon, C. (2004). Could dark energy be vector-like? J. Cosmol. Astropart. Phys. 407:7. doi: 10.1088/1475-7516/2004/07/007

CrossRef Full Text | Google Scholar

Armendariz-Picon, C., Damour, T., and Mukhanov, V. F. (1999). k-inflation. Phys. Lett. B458, 209–218. doi: 10.1016/S0370-2693(99)00603-6

CrossRef Full Text | Google Scholar

Armendariz-Picon, C., Mukhanov, V. F., and Steinhardt, P. J. (2001). Essentials of k essence. Phys. Rev. D 63:103510. doi: 10.1103/PhysRevD.63.103510

CrossRef Full Text | Google Scholar

Arvanitaki, A., Baryakhtar, M., Dimopoulos, S., Dubovsky, S., and Lasenby, R. (2017). Black hole mergers and the QCD axion at advanced LIGO. Phys. Rev. D95:043001. doi: 10.1103/PhysRevD.95.043001

CrossRef Full Text | Google Scholar

Audley, H. (2017). Laser interferometer space antenna. arXiv[Preprint]:1702.00786.

Google Scholar

Audren, B., Blas, D., Ivanov, M. M., Lesgourgues, J., and Sibiryakov, S. (2015). Cosmological constraints on deviations from Lorentz invariance in gravity and dark matter. J. Cosmol. Astropart. Phys. 1503:16. doi: 10.1088/1475-7516/2015/03/016

CrossRef Full Text | Google Scholar

Audren, B., Blas, D., Lesgourgues, J., and Sibiryakov, S. (2013). Cosmological constraints on Lorentz violating dark energy. J. Cosmol. Astropart. Phys. 1308:39. doi: 10.1088/1475-7516/2013/08/039

CrossRef Full Text | Google Scholar

Avilez, A., and Skordis, C. (2014). Cosmological constraints on Brans-Dicke theory. Phys. Rev. Lett. 113:011101. doi: 10.1103/PhysRevLett.113.011101

PubMed Abstract | CrossRef Full Text | Google Scholar

Babichev, E., and Brito, R. (2015). Black holes in massive gravity. Class. Quant. Grav. 32:154001. doi: 10.1088/0264-9381/32/15/154001

CrossRef Full Text | Google Scholar

Babichev, E., Charmousis, C., Esposito-Farse, G., and Lehbel, A. (2018). Stability of black holes and the speed of gravitational waves within self-tuning cosmological models. Phys. Rev. Lett. 120:241101. doi: 10.1103/PhysRevLett.120.241101

PubMed Abstract | CrossRef Full Text | Google Scholar

Babichev, E., and Deffayet, C. (2013). An introduction to the Vainshtein mechanism. Class. Quant. Grav. 30:184001. doi: 10.1088/0264-9381/30/18/184001

CrossRef Full Text | Google Scholar

Babichev, E., Koyama, K., Langlois, D., Saito, R., and Sakstein, J. (2016). Relativistic stars in beyond horndeski theories. Class. Quant. Grav. 33:235014. doi: 10.1088/0264-9381/33/23/235014

CrossRef Full Text | Google Scholar

Babichev, E., Mukhanov, V., and Vikman, A. (2008). k-Essence, superluminal propagation, causality and emergent geometry. J. High Energy Phys. 2:101. doi: 10.1088/1126-6708/2008/02/101

CrossRef Full Text | Google Scholar

Bailin, D., and Love, A. (1987). Kaluza-klein theories. Rept. Prog. Phys. 50, 1087–1170. doi: 10.1088/0034-4885/50/9/001

CrossRef Full Text | Google Scholar

Baker, T., Bellini, E., Ferreira, P. G., Lagos, M., Noller, J., and Sawicki, I. (2017). Strong constraints on cosmological gravity from GW170817 and GRB 170817A. Phys. Rev. Lett. 119:251301. doi: 10.1103/PhysRevLett.119.251301

PubMed Abstract | CrossRef Full Text | Google Scholar

Baker, T., and Bull, P. (2015). Observational signatures of modified gravity on ultra-large scales. Astrophys. J. 811:116. doi: 10.1088/0004-637X/811/2/116

CrossRef Full Text | Google Scholar

Baker, T., Ferreira, P. G., Leonard, C. D., and Motta, M. (2014). New gravitational scales in cosmological surveys. Phys. Rev. D 90:124030. doi: 10.1103/PhysRevD.90.124030

CrossRef Full Text | Google Scholar

Barack, L., Cardoso, V., Nissanke, S., Sotiriou, T. P., Askar, A., Belczynski, C., et al. (2018). Black holes, gravitational waves and fundamental physics: a roadmap. arXiv[Preprint]:1806.05195.

Google Scholar

Barausse, E., and Yagi, K. (2015). Gravitation-wave emission in shift-symmetric horndeski theories. Phys. Rev. Lett. 115:211105. doi: 10.1103/PhysRevLett.115.211105

PubMed Abstract | CrossRef Full Text | Google Scholar

Barreira, A., Li, B., Baugh, C., and Pascoli, S. (2014a). The observational status of Galileon gravity after Planck. J. Cosmol. Astropart. Phys. 1408:59. doi: 10.1088/1475-7516/2014/08/059

CrossRef Full Text | Google Scholar

Barreira, A., Li, B., Hellwing, W. A., Baugh, C. M., and Pascoli, S. (2014b). Nonlinear structure formation in Nonlocal Gravity. J. Cosmol. Astropart. Phys. 1409:031. doi: 10.1088/1475-7516/2014/09/031

CrossRef Full Text | Google Scholar

Barreira, A., Li, B., Sanchez, A., Baugh, C. M., and Pascoli, S. (2013). Parameter space in Galileon gravity models. Phys. Rev. D 87:103511. doi: 10.1103/PhysRevD.87.103511

CrossRef Full Text | Google Scholar

Battye, R. A., Pace, F., and Trinh, D. (2018). Gravitational wave constraints on dark sector models. Phys. Rev. D 98:023504. doi: 10.1103/PhysRevD.98.023504

CrossRef Full Text | Google Scholar

Baym, G., Patil, S. P., and Pethick, C. J. (2017). Damping of gravitational waves by matter. Phys. Rev. D 96:084033. doi: 10.1103/PhysRevD.96.084033

CrossRef Full Text | Google Scholar

Beaton, R. L., Freedman, W. L., Madore, B. F., Bono, G., Carlson, E. K., Clementini, G., et al. (2016). The carnegie-chicago hubble program. I. An independent approach to the extragalactic distance scale using only population II distance indicators. Astrophys. J. 832:210. doi: 10.3847/0004-637X/832/2/210

CrossRef Full Text | Google Scholar

Bekenstein, J. D. (1993). The Relation between physical and gravitational geometry. Phys. Rev. D 48, 3641–3647. doi: 10.1103/PhysRevD.48.3641

PubMed Abstract | CrossRef Full Text | Google Scholar

Bekenstein, J. D. (2004). Relativistic gravitation theory for the MOND paradigm. Phys. Rev. D 70:083509. doi: 10.1103/PhysRevD.70.083509

CrossRef Full Text | Google Scholar

Belgacem, E., Dirian, Y., Foffa, S., and Maggiore, M. (2018a). Gravitational-wave luminosity distance in modified gravity theories. Phys. Rev. D 97:104066. doi: 10.1103/PhysRevD.97.104066

CrossRef Full Text | Google Scholar

Belgacem, E., Dirian, Y., Foffa, S., and Maggiore, M. (2018b). Modified gravitational-wave propagation and standard sirens. Phys. Rev. D 98:023510. doi: 10.1103/PhysRevD.98.023510

CrossRef Full Text | Google Scholar

Belgacem, E., Dirian, Y., Foffa, S., and Maggiore, M. (2018c). Nonlocal gravity. Conceptual aspects and cosmological predictions. J. Cosmol. Astropart. Phys. 1803:2. doi: 10.1088/1475-7516/2018/03/002

CrossRef Full Text | Google Scholar

Bellini, E., Barreira, A., Frusciante, N., Hu, B., Peirone, S., Raveri, M., et al. (2018). Comparison of Einstein-Boltzmann solvers for testing general relativity. Phys. Rev. D 97:023520. doi: 10.1103/PhysRevD.97.023520

CrossRef Full Text | Google Scholar

Bellini, E., Cuesta, A. J., Jimenez, R., and Verde, L. (2016). Constraints on deviations from ΛCDM within Horndeski gravity. J. Cosmol. Astropart. Phys. 1602:53. doi: 10.1088/1475-7516/2016/02/053

CrossRef Full Text | Google Scholar

Bellini, E., Jimenez, R., and Verde, L. (2015). Signatures of horndeski gravity on the dark matter bispectrum. J. Cosmol. Astropart. Phys. 1505:57. doi: 10.1088/1475-7516/2015/05/057

CrossRef Full Text | Google Scholar

Bellini, E., and Sawicki, I. (2014). Maximal freedom at minimum cost: linear large-scale structure in general modifications of gravity. J. Cosmol. Astropart. Phys. 1407:050. doi: 10.1088/1475-7516/2014/07/050

CrossRef Full Text | Google Scholar

Bellini, E., and Zumalacarregui, M. (2015). Nonlinear evolution of the baryon acoustic oscillation scale in alternative theories of gravity. Phys. Rev. D 92:063522. doi: 10.1103/PhysRevD.92.063522

CrossRef Full Text | Google Scholar

Beltran Jimenez, J., and Heisenberg, L. (2016). Derivative self-interactions for a massive vector field. Phys. Lett. B757, 405–411. doi: 10.1016/j.physletb.2016.04.017

CrossRef Full Text | Google Scholar

Beltran Jimenez, J., and Heisenberg, L. (2017). Generalized multi-Proca fields. Phys. Lett. B770, 16–26. doi: 10.1016/j.physletb.2017.03.002

CrossRef Full Text | Google Scholar

Beltran Jimenez, J., and Maroto, A. L. (2008). A cosmic vector for dark energy. Phys. Rev. D 78:063005. doi: 10.1103/PhysRevD.78.063005

CrossRef Full Text | Google Scholar

Beltrán Jiménez, J., Piazza, F., and Velten, H. (2016). Evading the vainshtein mechanism with anomalous gravitational wave speed: constraints on modified gravity from binary pulsars. Phys. Rev. Lett. 116:061101. doi: 10.1103/PhysRevLett.116.061101

PubMed Abstract | CrossRef Full Text | Google Scholar

Beltrn Jimnez, J., and Heisenberg, L. (2018). Non-trivial gravitational waves and structure formation phenomenology from dark energy. J. Cosmol. Astropart. Phys. 1809:35. doi: 10.1088/1475-7516/2018/09/035

CrossRef Full Text | Google Scholar

Ben Achour, J., Crisostomi, M., Koyama, K., Langlois, D., Noui, K., and Tasinato, G. (2016a). Degenerate higher order scalar-tensor theories beyond Horndeski up to cubic order. J. High Energy Phys. 12:100. doi: 10.1007/JHEP12(2016)100

CrossRef Full Text | Google Scholar

Ben Achour, J., Langlois, D., and Noui, K. (2016b). Degenerate higher order scalar-tensor theories beyond Horndeski and disformal transformations. Phys. Rev. D 93:124005. doi: 10.1103/PhysRevD.93.124005

CrossRef Full Text | Google Scholar

Benkel, R., Sotiriou, T. P., and Witek, H. (2016). Dynamical scalar hair formation around a Schwarzschild black hole. Phys. Rev. D 94:121503. doi: 10.1103/PhysRevD.94.121503

CrossRef Full Text | Google Scholar

Bernal, J. L., and Peacock, J. A. (2018). Conservative cosmology: combining data with allowance for unknown systematics. J. Cosmol. Astropart. Phys. 1807:2. doi: 10.1088/1475-7516/2018/07/002

CrossRef Full Text | Google Scholar

Bernal, J. L., Verde, L., and Cuesta, A. J. (2016a). Parameter splitting in dark energy: is dark energy the same in the background and in the cosmic structures? J. Cosmol. Astropart. Phys. 1602:59. doi: 10.1088/1475-7516/2016/02/059

CrossRef Full Text | Google Scholar

Bernal, J. L., Verde, L., and Riess, A. G. (2016b). The trouble with H0. J. Cosmol. Astropart. Phys. 1610:19. doi: 10.1088/1475-7516/2016/10/019

CrossRef Full Text | Google Scholar

Berti, E., Barausse, E., Cardoso, V., Gualtieri, L., Pani, P., Sperhake, U., et al. (2015). Testing general relativity with present and future astrophysical observations. Class. Quant. Grav. 32:243001. doi: 10.1088/0264-9381/32/24/243001

CrossRef Full Text | Google Scholar

Berti, E., Buonanno, A., and Will, C. M. (2005). Estimating spinning binary parameters and testing alternative theories of gravity with LISA. Phys. Rev. D 71:084025. doi: 10.1103/PhysRevD.71.084025

CrossRef Full Text | Google Scholar

Bertotti, B., Iess, L., and Tortora, P. (2003). A test of general relativity using radio links with the Cassini spacecraft. Nature 425, 374–376. doi: 10.1038/nature01997

PubMed Abstract | CrossRef Full Text | Google Scholar

Bettoni, D., Ezquiaga, J. M., Hinterbichler, K., and Zumalacárregui, M. (2017). Speed of gravitational waves and the fate of scalar-tensor gravity. Phys. Rev. D 95:084029. doi: 10.1103/PhysRevD.95.084029

CrossRef Full Text | Google Scholar

Bettoni, D., and Liberati, S. (2013). Disformal invariance of second order scalar-tensor theories: framing the Horndeski action. Phys. Rev. D 88:084020. doi: 10.1103/PhysRevD.88.084020

CrossRef Full Text | Google Scholar

Bettoni, D., and Zumalacárregui, M. (2015). Kinetic mixing in scalar-tensor theories of gravity. Phys. Rev. D 91:104009. doi: 10.1103/PhysRevD.91.104009

CrossRef Full Text | Google Scholar

Biswas, T., Gerwick, E., Koivisto, T., and Mazumdar, A. (2012). Towards singularity and ghost free theories of gravity. Phys. Rev. Lett. 108:031101. doi: 10.1103/PhysRevLett.108.031101

PubMed Abstract | CrossRef Full Text | Google Scholar

Blas, D., Ivanov, M. M., Sawicki, I., and Sibiryakov, S. (2016). On constraining the speed of gravitational waves following GW150914. JETP Lett. 103, 624–626. doi: 10.1134/S0021364016100040

CrossRef Full Text | Google Scholar

Blas, D., Lesgourgues, J., and Tram, T. (2011a). The cosmic linear anisotropy solving system (CLASS) II: approximation schemes. J. Cosmol. Astropart. Phys. 1107:34. doi: 10.1088/1475-7516/2011/07/034

CrossRef Full Text | Google Scholar

Blas, D., and Lim, E. (2015). Phenomenology of theories of gravity without Lorentz invariance: the preferred frame case. Int. J. Mod. Phys. D23:1443009. doi: 10.1142/S0218271814430093

CrossRef Full Text | Google Scholar

Blas, D., Nacir, D. L., and Sibiryakov, S. (2017). Ultralight dark matter resonates with binary pulsars. Phys. Rev. Lett. 118:261102. doi: 10.1103/PhysRevLett.118.261102

PubMed Abstract | CrossRef Full Text | Google Scholar

Blas, D., Pujolas, O., and Sibiryakov, S. (2009). On the extra mode and inconsistency of horava gravity. J. High Energy Phys. 10:29. doi: 10.1088/1126-6708/2009/10/029

CrossRef Full Text | Google Scholar

Blas, D., Pujolas, O., and Sibiryakov, S. (2010). Consistent extension of horava gravity. Phys. Rev. Lett. 104:181302. doi: 10.1103/PhysRevLett.104.181302

PubMed Abstract | CrossRef Full Text | Google Scholar

Blas, D., Pujolas, O., and Sibiryakov, S. (2011b). Models of non-relativistic quantum gravity: the Good, the bad and the healthy. J. High Energy Phys. 4:18. doi: 10.1007/JHEP04(2011)018

CrossRef Full Text | Google Scholar

Bloomfield, J. K., Flanagan, É. É., Park, M., and Watson, S. (2013). Dark energy or modified gravity? An effective field theory approach. J. Cosmol. Astropart. Phys. 1308:10. doi: 10.1088/1475-7516/2013/08/010

CrossRef Full Text | Google Scholar

Bonvin, C., and Fleury, P. (2018). Testing the equivalence principle on cosmological scales. J. Cosmol. Astropart. Phys. 1805:61. doi: 10.1088/1475-7516/2018/05/061

CrossRef Full Text | Google Scholar

Bonvin, V., Courbin, F., Suyu, S. H., Marshall, P. J., Rusu, C. E., Sluse, D., et al. (2017). H0LiCOW – V. New COSMOGRAIL time delays of HE 0435-1223: H0 to 3.8 per cent precision from strong lensing in a flat ΛCDM model. Mon. Not. Roy. Astron. Soc. 465, 4914–4930. doi: 10.1093/mnras/stw3006

CrossRef Full Text | Google Scholar

Boran, S., Desai, S., Kahya, E. O., and Woodard, R. P. (2018). GW170817 falsifies dark matter emulators. Phys. Rev. D 97:041501. doi: 10.1103/PhysRevD.97.041501

CrossRef Full Text | Google Scholar

Boulware, D. G., and Deser, S. (1972). Can gravitation have a finite range? Phys. Rev. D 6, 3368–3382. doi: 10.1103/PhysRevD.6.3368

CrossRef Full Text | Google Scholar

Bourliot, F., Ferreira, P. G., Mota, D. F., and Skordis, C. (2007). The cosmological behavior of Bekenstein's modified theory of gravity. Phys. Rev. D 75:063508. doi: 10.1103/PhysRevD.75.063508

CrossRef Full Text | Google Scholar

Brans, C., and Dicke, R. H. (1961). Mach's principle and a relativistic theory of gravitation. Phys. Rev. 124, 925–935.

Google Scholar

Brax, P. (2013). Screening mechanisms in modified gravity. Class. Quant. Grav. 30:214005. doi: 10.1088/0264-9381/30/21/214005

CrossRef Full Text | Google Scholar

Brax, P., Burrage, C., and Davis, A.-C. (2016). The speed of Galileon gravity. J. Cosmol. Astropart. Phys. 1603:4. doi: 10.1088/1475-7516/2016/03/004

CrossRef Full Text | Google Scholar

Brax, P., Cespedes, S., and Davis, A.-C. (2018). Signatures of graviton masses on the CMB. J. Cosmol. Astropart. Phys. 1803:8. doi: 10.1088/1475-7516/2018/03/008

CrossRef Full Text | Google Scholar

Bruneton, J.-P., and Esposito-Farese, G. (2007). Field-theoretical formulations of MOND-like gravity. Phys. Rev. D 76:124012. doi: 10.1103/PhysRevD.76.124012

CrossRef Full Text | Google Scholar

Burrage, C., and Sakstein, J. (2016). A compendium of chameleon constraints. J. Cosmol. Astropart. Phys. 1611:45. doi: 10.1088/1475-7516/2016/11/045

CrossRef Full Text | Google Scholar

Cai, Y.-F., Li, C., Saridakis, E. N., and Xue, L. (2018). f(T) gravity after GW170817 and GRB170817A. Phys. Rev. D 97:103513. doi: 10.1103/PhysRevD.97.103513

CrossRef Full Text

Calabrese, E., Battaglia, N., and Spergel, D. N. (2016). Testing gravity with gravitational wave source counts. Class. Quant. Grav. 33:165004. doi: 10.1088/0264-9381/33/16/165004

CrossRef Full Text | Google Scholar

Calcagni, G., and Modesto, L. (2015). Nonlocal quantum gravity and M-theory. Phys. Rev. D 91:124059. doi: 10.1103/PhysRevD.91.124059

CrossRef Full Text | Google Scholar

Caldwell, R. R., and Devulder, C. (2018). Gravitational wave opacity from gauge field dark energy. arXiv[Preprint]:1802.07371.

Google Scholar

Caldwell, R. R., Devulder, C., and Maksimova, N. A. (2016). Gravitational wave–Gauge field oscillations. Phys. Rev. D 94:063005. doi: 10.1103/PhysRevD.94.063005

CrossRef Full Text | Google Scholar

Callister, T., Biscoveanu, A. S., Christensen, N., Isi, M., Matas, A., Minazzoli, O., et al. (2017). Polarization-based Tests of Gravity with the Stochastic Gravitational-Wave Background. Phys. Rev. X 7:041058. doi: 10.1103/PhysRevX.7.041058

CrossRef Full Text | Google Scholar

Caprini, C., and Figueroa, D. G. (2018). Cosmological backgrounds of gravitational waves. Class. Quant. Grav. 35:163001. doi: 10.1088/1361-6382/aac608

CrossRef Full Text | Google Scholar

Cardona, W., Kunz, M., and Pettorino, V. (2017). Determining H0 with Bayesian hyper-parameters. J. Cosmol. Astropart. Phys. 1703:56. doi: 10.1088/1475-7516/2017/03/056

CrossRef Full Text | Google Scholar

Carroll, S. M. (2004). Spacetime and Geometry: An Introduction to General Relativity. San Francisco, CA: Addison-Wesley.

Google Scholar

Carroll, S. M., Duvvuri, V., Trodden, M., and Turner, M. S. (2004). Is cosmic speed - up due to new gravitational physics? Phys. Rev. D 70:043528. doi: 10.1103/PhysRevD.70.043528

CrossRef Full Text | Google Scholar

Casertano, S., Riess, A. G., Anderson, J., Anderson, R. I., Bradley Bowers, J., Clubb, K. I., et al. (2016). Parallax of galactic cepheids from spatially scanning the wide field camera 3 on the hubble space telescope: the case of SS canis majoris. Astrophys. J. 825:11. doi: 10.3847/0004-637X/825/1/11

CrossRef Full Text | Google Scholar

Caves, C. M. (1980). Gravitational radiation and the ultimate speed in rosen's bimetric theory of gravity. Ann. Phys. 125, 35–52.

Google Scholar

Cembranos, J. A. R., Coma Daz, M., and Martn-Moruno, P. (2019). Modified gravity as a diagravitational medium. Phys. Lett. B 788, 336–340. doi: 10.1016/j.physletb.2018.10.068

CrossRef Full Text | Google Scholar

Cembranos, J. A. R., Hallabrin, C., Maroto, A. L., and Jareno, S. J. N. (2012). Isotropy theorem for cosmological vector fields. Phys. Rev. D 86:021301. doi: 10.1103/PhysRevD.86.021301

CrossRef Full Text | Google Scholar

Cembranos, J. A. R., Maroto, A. L., and Núñez Jareño, S. J. (2017). Perturbations of ultralight vector field dark matter. J. High Energy Phys. 2:64. doi: 10.1007/JHEP02(2017)064

CrossRef Full Text | Google Scholar

Chamseddine, A. H., and Mukhanov, V. (2013). Mimetic dark matter. J. High Energy Phys. 11:135. doi: 10.1007/JHEP11(2013)135

CrossRef Full Text | Google Scholar

Charmousis, C., Copeland, E. J., Padilla, A., and Saffin, P. M. (2012a). General second order scalar-tensor theory, self tuning, and the Fab Four. Phys. Rev. Lett. 108:051101. doi: 10.1103/PhysRevLett.108.051101

CrossRef Full Text | Google Scholar

Charmousis, C., Copeland, E. J., Padilla, A., and Saffin, P. M. (2012b). Self-tuning and the derivation of a class of scalar-tensor theories. Phys. Rev. D 85:104040. doi: 10.1103/PhysRevD.85.104040

CrossRef Full Text | Google Scholar

Chen, H.-Y., Fishbach, M., and Holz, D. E. (2018). A two per cent Hubble constant measurement from standard sirens within five years. Nature 562, 545–547. doi: 10.1038/s41586-018-0606-0

PubMed Abstract | CrossRef Full Text | Google Scholar

Chen, H.-Y., and Holz, D. E. (2016). Finding the One: Identifying the Host Galaxies of Gravitational-Wave Sources. arXiv[Preprint]:1612.01471.

Google Scholar

Chevallier, M., and Polarski, D. (2001). Accelerating universes with scaling dark matter. Int. J. Mod. Phys. D 10, 213–224. doi: 10.1142/S0218271801000822

CrossRef Full Text | Google Scholar

Chu, Y.-Z., and Trodden, M. (2013). Retarded Green's function of a Vainshtein system and Galileon waves. Phys. Rev. D 87:024011. doi: 10.1103/PhysRevD.87.024011

CrossRef Full Text | Google Scholar

Clifton, T., Ferreira, P. G., Padilla, A., and Skordis, C. (2012). Modified gravity and cosmology. Phys. Rept. 513, 1–189. doi: 10.1016/j.physrep.2012.01.001

CrossRef Full Text | Google Scholar

Comelli, D., Crisostomi, M., and Pilo, L. (2014). FRW cosmological perturbations in massive bigravity. Phys. Rev. D 90:084003. doi: 10.1103/PhysRevD.90.084003

CrossRef Full Text | Google Scholar

Copeland, E. J., Sami, M., and Tsujikawa, S. (2006). Dynamics of dark energy. Int. J. Mod. Phys. D 15, 1753–1936. doi: 10.1142/S021827180600942X

CrossRef Full Text | Google Scholar

Cornish, N., Blas, D., and Nardini, G. (2017). Bounding the speed of gravity with gravitational wave observations. Phys. Rev. Lett. 119:161102. doi: 10.1103/PhysRevLett.119.161102

PubMed Abstract | CrossRef Full Text | Google Scholar

Creminelli, P., Nicolis, A., Papucci, M., and Trincherini, E. (2005). Ghosts in massive gravity. J. High Energy Phys. 9:3. doi: 10.1088/1126-6708/2005/09/003

CrossRef Full Text | Google Scholar

Creminelli, P., and Vernizzi, F. (2017). Dark energy after GW170817 and GRB170817A. Phys. Rev. Lett. 119:251302. doi: 10.1103/PhysRevLett.119.251302

PubMed Abstract | CrossRef Full Text | Google Scholar

Crisostomi, M., Hull, M., Koyama, K., and Tasinato, G. (2016a). Horndeski: beyond, or not beyond? J. Cosmol. Astropart. Phys. 1603:38. doi: 10.1088/1475-7516/2016/03/038

CrossRef Full Text | Google Scholar

Crisostomi, M., Klein, R., and Roest, D. (2017). Higher derivative field theories: degeneracy conditions and classes. J. High Energy Phys. 6:124. doi: 10.1007/JHEP06(2017)124

CrossRef Full Text | Google Scholar

Crisostomi, M., and Koyama, K. (2018a). Self-accelerating universe in scalar-tensor theories after GW170817. Phys. Rev. D 97:084004. doi: 10.1103/PhysRevD.97.084004

CrossRef Full Text | Google Scholar

Crisostomi, M., and Koyama, K. (2018b). Vainshtein mechanism after GW170817. Phys. Rev. D 97:021301. doi: 10.1103/PhysRevD.97.021301

CrossRef Full Text | Google Scholar

Crisostomi, M., Koyama, K., and Tasinato, G. (2016b). Extended scalar-tensor theories of gravity. J. Cosmol. Astropart. Phys. 1604:44. doi: 10.1088/1475-7516/2016/04/044

CrossRef Full Text | Google Scholar

Cuesta, A. J., Verde, L., Riess, A., and Jimenez, R. (2015). Calibrating the cosmic distance scale ladder: the role of the sound horizon scale and the local expansion rate as distance anchors. Mon. Not. Roy. Astron. Soc. 448, 3463–3471. doi: 10.1093/mnras/stv261

CrossRef Full Text | Google Scholar

Cusin, G., Lewandowski, M., and Vernizzi, F. (2018a). Dark energy and modified gravity in the effective field theory of large-scale structure. J. Cosmol. Astropart. Phys. 1804:5. doi: 10.1088/1475-7516/2018/04/005

CrossRef Full Text | Google Scholar

Cusin, G., Lewandowski, M., and Vernizzi, F. (2018b). Nonlinear effective theory of dark energy. J. Cosmol. Astropart. Phys. 1804:61. doi: 10.1088/1475-7516/2018/04/061

CrossRef Full Text | Google Scholar

Cutler, C., Hiscock, W. A., and Larson, S. L. (2003). LISA, binary stars, and the mass of the graviton. Phys. Rev. D 67:024015. doi: 10.1103/PhysRevD.67.024015

CrossRef Full Text | Google Scholar

Dalal, N., Holz, D. E., Hughes, S. A., and Jain, B. (2006). Short grb and binary black hole standard sirens as a probe of dark energy. Phys. Rev. D 74:063006. doi: 10.1103/PhysRevD.74.063006

CrossRef Full Text | Google Scholar

D'Amico, G., de Rham, C., Dubovsky, S., Gabadadze, G., Pirtskhalava, D., and Tolley, A. J. (2011). Massive cosmologies. Phys. Rev. D 84:124046. doi: 10.1103/PhysRevD.84.124046

CrossRef Full Text | Google Scholar

D'Amico, G., Gabadadze, G., Hui, L., and Pirtskhalava, D. (2013). Quasidilaton: theory and cosmology. Phys. Rev. D 87:064037. doi: 10.1103/PhysRevD.87.064037

CrossRef Full Text | Google Scholar

D'Amico, G., Huang, Z., Mancarella, M., and Vernizzi, F. (2017). Weakening gravity on redshift-survey scales with kinetic matter mixing. J. Cosmol. Astropart. Phys. 1702:14. doi: 10.1088/1475-7516/2017/02/014

CrossRef Full Text | Google Scholar

Damour, T., and Esposito-Farese, G. (1993). Nonperturbative strong field effects in tensor - scalar theories of gravitation. Phys. Rev. Lett. 70, 2220–2223. doi: 10.1103/PhysRevLett.70.2220

PubMed Abstract | CrossRef Full Text | Google Scholar

De Felice, A., Gümrükçüoğlu, A. E., Lin, C., and Mukohyama, S. (2013). Nonlinear stability of cosmological solutions in massive gravity. J. Cosmol. Astropart. Phys. 1305:35. doi: 10.1088/1475-7516/2013/05/035

CrossRef Full Text | Google Scholar

De Felice, A., Heisenberg, L., Kase, R., Mukohyama, S., Tsujikawa, S., and Zhang, Y.-L. (2016a). Cosmology in generalized Proca theories. J. Cosmol. Astropart. Phys. 1606:48. doi: 10.1088/1475-7516/2016/06/048

CrossRef Full Text | Google Scholar

De Felice, A., Heisenberg, L., Kase, R., Mukohyama, S., Tsujikawa, S., and Zhang, Y.-l. (2016b). Effective gravitational couplings for cosmological perturbations in generalized Proca theories. Phys. Rev. D 94:044024. doi: 10.1103/PhysRevD.94.044024

CrossRef Full Text | Google Scholar

De Felice, A., Kobayashi, T., and Tsujikawa, S. (2011). Effective gravitational couplings for cosmological perturbations in the most general scalar-tensor theories with second-order field equations. Phys. Lett. B 706, 123–133. doi: 10.1016/j.physletb.2011.11.028

CrossRef Full Text | Google Scholar

De Felice, A., and Tsujikawa, S. (2010a). Cosmology of a covariant Galileon field. Phys. Rev. Lett. 105:111301. doi: 10.1103/PhysRevLett.105.111301

CrossRef Full Text | Google Scholar

De Felice, A., and Tsujikawa, S. (2010b). f(R) theories. Living Rev. Rel. 13:3. doi: 10.12942/lrr-2010-3

PubMed Abstract | CrossRef Full Text | Google Scholar

de Rham, C. (2014). Massive gravity. Living Rev. Rel. 17:7. doi: 10.12942/lrr-2014-7

PubMed Abstract | CrossRef Full Text | Google Scholar

de Rham, C., Deskins, J. T., Tolley, A. J., and Zhou, S.-Y. (2017). Graviton mass bounds. Rev. Mod. Phys. 89:025004. doi: 10.1103/RevModPhys.89.025004

CrossRef Full Text | Google Scholar

de Rham, C., Fasiello, M., and Tolley, A. J. (2014). Stable FLRW solutions in generalized massive gravity. Int. J. Mod. Phys. D 23:1443006. doi: 10.1142/S0218271814430068

CrossRef Full Text | Google Scholar

de Rham, C., Gabadadze, G., and Tolley, A. J. (2011). Resummation of massive gravity. Phys. Rev. Lett. 106:231101. doi: 10.1103/PhysRevLett.106.231101

PubMed Abstract | CrossRef Full Text | Google Scholar

de Rham, C., Matas, A., and Tolley, A. J. (2013a). Galileon radiation from binary systems. Phys. Rev. D 87:064024. doi: 10.1103/PhysRevD.87.064024

CrossRef Full Text | Google Scholar

de Rham, C., and Melville, S. (2018). Gravitational rainbows: LIGO and dark energy at its cutoff. Phys. Rev. Lett. 121:221101. doi: 10.1103/PhysRevLett.121.221101

PubMed Abstract | CrossRef Full Text | Google Scholar

de Rham, C., and Tolley, A. J. (2010). DBI and the Galileon reunited. J. Cosmol. Astropart. Phys. 1005:15. doi: 10.1088/1475-7516/2010/05/015

CrossRef Full Text | Google Scholar

de Rham, C., Tolley, A. J., and Wesley, D. H. (2013b). Vainshtein mechanism in binary pulsars. Phys. Rev. D 87:044025. doi: 10.1103/PhysRevD.87.044025

CrossRef Full Text | Google Scholar

Deffayet, C., Esposito-Farese, G., and Steer, D. A. (2015). Counting the degrees of freedom of generalized Galileons. Phys. Rev. D 92:084013. doi: 10.1103/PhysRevD.92.084013

CrossRef Full Text | Google Scholar

Deffayet, C., Esposito-Farese, G., and Vikman, A. (2009). Covariant galileon. Phys. Rev. D 79:084003. doi: 10.1103/PhysRevD.79.084003

CrossRef Full Text | Google Scholar

Deffayet, C., Gao, X., Steer, D. A., and Zahariade, G. (2011). From k-essence to generalised Galileons. Phys. Rev. D 84:064039. doi: 10.1103/PhysRevD.84.064039

CrossRef Full Text | Google Scholar

Deffayet, C., and Menou, K. (2007). Probing gravity with spacetime sirens. Astrophys. J. 668, L143–L146. doi: 10.1086/522931

CrossRef Full Text | Google Scholar

Deffayet, C., Pujolas, O., Sawicki, I., and Vikman, A. (2010). Imperfect dark energy from kinetic gravity braiding. J. Cosmol. Astropart. Phys. 1010:26. doi: 10.1088/1475-7516/2010/10/026

CrossRef Full Text | Google Scholar

Del Pozzo, W. (2012). Inference of the cosmological parameters from gravitational waves: application to second generation interferometers. Phys. Rev. D 86:043011. doi: 10.1103/PhysRevD.86.043011

CrossRef Full Text | Google Scholar

Del Pozzo, W., Li, T. G. F., and Messenger, C. (2017). Cosmological inference using only gravitational wave observations of binary neutron stars. Phys. Rev. D 95:043502. doi: 10.1103/PhysRevD.95.043502

CrossRef Full Text | Google Scholar

Deser, S., and Woodard, R. P. (2007). Nonlocal cosmology. Phys. Rev. Lett. 99:111301. doi: 10.1103/PhysRevLett.99.111301

PubMed Abstract | CrossRef Full Text | Google Scholar

Di Dio, E., Montanari, F., Lesgourgues, J., and Durrer, R. (2013). The CLASSgal code for relativistic cosmological large scale structure. J. Cosmol. Astropart. Phys. 1311:44. doi: 10.1088/1475-7516/2013/11/044

CrossRef Full Text | Google Scholar

Di Valentino, E., Melchiorri, A., and Mena, O. (2017). Can interacting dark energy solve the H0 tension? Phys. Rev. D 96:043503. doi: 10.1103/PhysRevD.96.043503

CrossRef Full Text | Google Scholar

Dima, A., and Vernizzi, F. (2018). Vainshtein screening in scalar-tensor theories before and after GW170817: constraints on theories beyond horndeski. Phys. Rev. D 97:101302. doi: 10.1103/PhysRevD.97.101302

CrossRef Full Text | Google Scholar

Dirian, Y., Foffa, S., Kunz, M., Maggiore, M., and Pettorino, V. (2015). Non-local gravity and comparison with observational datasets. J. Cosmol. Astropart. Phys. 1504:44. doi: 10.1088/1475-7516/2015/04/044

CrossRef Full Text | Google Scholar

Doneva, D. D., and Yazadjiev, S. S. (2018). New Gauss-Bonnet black holes with curvature-induced scalarization in extended scalar-tensor theories. Phys. Rev. Lett. 120:131103. doi: 10.1103/PhysRevLett.120.131103

PubMed Abstract | CrossRef Full Text | Google Scholar

Dubovsky, S., Flauger, R., Starobinsky, A., and Tkachev, I. (2010). Signatures of a graviton mass in the cosmic microwave background. Phys. Rev. D 81:023523. doi: 10.1103/PhysRevD.81.023523

CrossRef Full Text | Google Scholar

Dvali, G. R., Gabadadze, G., and Porrati, M. (2000). 4-D gravity on a brane in 5-D Minkowski space. Phys. Lett. B 485, 208–214. doi: 10.1016/S0370-2693(00)00669-9

CrossRef Full Text | Google Scholar

Emir Gümrükçüoğlu, A., Saravani, M., and Sotiriou, T. P. (2018). Hořava gravity after GW170817. Phys. Rev. D 97:024032. doi: 10.1103/PhysRevD.97.024032

CrossRef Full Text | Google Scholar

Ezquiaga, J. M., García-Bellido, J., and Zumalacárregui, M. (2016). Towards the most general scalar-tensor theories of gravity: a unified approach in the language of differential forms. Phys. Rev. D 94:024005. doi: 10.1103/PhysRevD.94.024005

CrossRef Full Text | Google Scholar

Ezquiaga, J. M., García-Bellido, J., and Zumalacárregui, M. (2017). Field redefinitions in theories beyond Einstein gravity using the language of differential forms. Phys. Rev. D 95:084039. doi: 10.1103/PhysRevD.95.084039

CrossRef Full Text | Google Scholar

Ezquiaga, J. M., and Zumalacárregui, M. (2017). Dark energy after GW170817: dead ends and the road ahead. Phys. Rev. Lett. 119:251304. doi: 10.1103/PhysRevLett.119.251304

PubMed Abstract | CrossRef Full Text | Google Scholar

Ezquiaga, J. M., and Zumalacárregui, M. (2018). Dark Energy in light of Multi-Messenger Gravitational-Wave astronomy. arXiv[Preprint]:1807.09241.

Google Scholar

Fasiello, M., and Ribeiro, R. H. (2015). Mild bounds on bigravity from primordial gravitational waves. J. Cosmol. Astropart. Phys. 1507:27. doi: 10.1088/1475-7516/2015/07/027

CrossRef Full Text | Google Scholar

Fasiello, M., and Tolley, A. J. (2013). Cosmological stability bound in massive gravity and bigravity. J. Cosmol. Astropart. Phys. 1312:2. doi: 10.1088/1475-7516/2013/12/002

CrossRef Full Text | Google Scholar

Feeney, S. M., Mortlock, D. J., and Dalmasso, N. (2018a). Clarifying the Hubble constant tension with a Bayesian hierarchical model of the local distance ladder. Mon. Not. R. Astron. Soc. 476, 3861–3882. doi: 10.1093/mnras/sty418

CrossRef Full Text | Google Scholar

Feeney, S. M., Peiris, H. V., Williamson, A. R., Nissanke, S. M., Mortlock, D. J., Alsing, J., et al. (2018b). Prospects for resolving the Hubble constant tension with standard sirens. arXiv[Preprint]:1802.03404.

Google Scholar

Ferreira, P. G., and Maroto, A. L. (2013). A few cosmological implications of tensor nonlocalities. Phys. Rev. D 88:123502. doi: 10.1103/PhysRevD.88.123502

CrossRef Full Text | Google Scholar

Fierz, M., and Pauli, W. (1939). On relativistic wave equations for particles of arbitrary spin in an electromagnetic field. Proc. R. Soc. Lond. A 173, 211–232. doi: 10.1098/rspa.1939.0140

CrossRef Full Text | Google Scholar

Finn, L. S., and Romano, J. D. (2013). Rømer time-delay determination of the gravitational-wave propagation speed. Phys. Rev. D 88:022001. doi: 10.1103/PhysRevD.88.022001

CrossRef Full Text | Google Scholar

Fishbach, M., Gray, R., Hernandez, I. M., Qi, H., and Sur, A. (2018). A standard siren measurement of the Hubble constant from GW170817 without the electromagnetic counterpart. arXiv[Preprint]:1807.05667.

Google Scholar

Flanagan, E. E. (2004). The conformal frame freedom in theories of gravitation. Class. Quant. Grav. 21:3817. doi: 10.1088/0264-9381/21/15/N02

CrossRef Full Text | Google Scholar

Flanagan, E. E., and Hughes, S. A. (2005). The basics of gravitational wave theory. New J. Phys. 7:204. doi: 10.1088/1367-2630/7/1/204

CrossRef Full Text | Google Scholar

Flauger, R., and Weinberg, S. (2018). Gravitational waves in cold dark matter. Phys. Rev. D 97:123506. doi: 10.1103/PhysRevD.97.123506

CrossRef Full Text | Google Scholar

Freedman, W. L. (2017). Cosmology at a Crossroads. Nat. Astron. 1:0121. doi: 10.1038/s41550-017-0121

CrossRef Full Text | Google Scholar

Freire, P. C. C., Wex, N., Esposito-Farese, G., Verbiest, J. P. W., Bailes, M., Jacoby, B. A., et al. (2012). The relativistic pulsar-white dwarf binary PSR J1738+0333 II. The most stringent test of scalar-tensor gravity. Mon. Not. R. Astron. Soc. 423:3328. doi: 10.1111/j.1365-2966.2012.21253.x

CrossRef Full Text | Google Scholar

Gleyzes, J. (2017). Parametrizing modified gravity for cosmological surveys. Phys. Rev. D 96:063516. doi: 10.1103/PhysRevD.96.063516

CrossRef Full Text | Google Scholar

Gleyzes, J., Langlois, D., Mancarella, M., and Vernizzi, F. (2016). Effective theory of dark energy at redshift survey scales. J. Cosmol. Astropart. Phys. 1602:56. doi: 10.1088/1475-7516/2016/02/056

CrossRef Full Text | Google Scholar

Gleyzes, J., Langlois, D., Piazza, F., and Vernizzi, F. (2013). Essential building blocks of dark energy. J. Cosmol. Astropart. Phys. 1308:25. doi: 10.1088/1475-7516/2013/08/025

CrossRef Full Text | Google Scholar

Gleyzes, J., Langlois, D., Piazza, F., and Vernizzi, F. (2015a). Exploring gravitational theories beyond Horndeski. J. Cosmol. Astropart. Phys. 1502:18. doi: 10.1088/1475-7516/2015/02/018

CrossRef Full Text | Google Scholar

Gleyzes, J., Langlois, D., Piazza, F., and Vernizzi, F. (2015b). Healthy theories beyond Horndeski. Phys. Rev. Lett. 114:211101. doi: 10.1103/PhysRevLett.114.211101

CrossRef Full Text | Google Scholar

Gleyzes, J., Langlois, D., and Vernizzi, F. (2015c). A unifying description of dark energy. Int. J. Mod. Phys. D 23:1443010. doi: 10.1142/S021827181443010X

CrossRef Full Text | Google Scholar

Golovnev, A., Mukhanov, V., and Vanchurin, V. (2008). Vector inflation. J. Cosmol. Astropart. Phys. 806:9. doi: 10.1088/1475-7516/2008/06/009

CrossRef Full Text | Google Scholar

Goon, G. L., Hinterbichler, K., and Trodden, M. (2011). A new class of effective field theories from embedded branes. Phys. Rev. Lett. 106:231102. doi: 10.1103/PhysRevLett.106.231102

PubMed Abstract | CrossRef Full Text | Google Scholar

Green, M. A., Moffat, J. W., and Toth, V. T. (2018). Modified Gravity (MOG), the speed of gravitational radiation and the event GW170817/GRB170817A. Phys. Lett. B 780, 300–302. doi: 10.1016/j.physletb.2018.03.015

CrossRef Full Text | Google Scholar

Gubitosi, G., Piazza, F., and Vernizzi, F. (2013). The effective field theory of dark energy. J. Cosmol. Astropart. Phys. 1302:032. doi: 10.1088/1475-7516/2013/02/032

CrossRef Full Text | Google Scholar

Guidorzi, C., Margutti, R., Brout, D., Scolnic, D., Fong, W., Alexander, K. D., et al. (2017). Improved constraints on H0 from a combined analysis of gravitational-wave and electromagnetic emission from GW170817. Astrophys. J. 851:L36. doi: 10.3847/2041-8213/aaa009

CrossRef Full Text | Google Scholar

Gumrukcuoglu, A. E., Lin, C., and Mukohyama, S. (2011). Open FRW universes and self-acceleration from nonlinear massive gravity. J. Cosmol. Astropart. Phys. 1111:30. doi: 10.1088/1475-7516/2011/11/030

CrossRef Full Text | Google Scholar

Hassan, S. F., and Rosen, R. A. (2012a). Bimetric gravity from ghost-free massive gravity. J. High Energy Phys. 2:126. doi: 10.1007/JHEP02(2012)126

CrossRef Full Text | Google Scholar

Hassan, S. F., and Rosen, R. A. (2012b). Confirmation of the secondary constraint and absence of ghost in massive gravity and bimetric gravity. J. High Energy Phys. 4:123. doi: 10.1007/JHEP04(2012)123

CrossRef Full Text | Google Scholar

Hassan, S. F., and Rosen, R. A. (2012c). Resolving the ghost problem in non-linear massive gravity. Phys. Rev. Lett. 108:041101. doi: 10.1103/PhysRevLett.108.041101

CrossRef Full Text | Google Scholar

Hees, A., Do, T., Ghez, A. M., Martinez, G. D., Naoz, S., Becklin, E. E., et al. (2017). Testing general relativity with stellar orbits around the supermassive black hole in our Galactic center. Phys. Rev. Lett. 118:211101. doi: 10.1103/PhysRevLett.118.211101

PubMed Abstract | CrossRef Full Text | Google Scholar

Heisenberg, L. (2014). Generalization of the proca action. J. Cosmol. Astropart. Phys. 1405:15. doi: 10.1088/1475-7516/2014/05/015

CrossRef Full Text | Google Scholar

Heisenberg, L. (2018a). A systematic approach to generalisations of General Relativity and their cosmological implications. arXiv[Preprint]:1807.01725.

Google Scholar

Heisenberg, L. (2018b). Scalar-vector-tensor gravity theories. J. Cosmol. Astropart. Phys. 1810:54. doi: 10.1088/1475-7516/2018/10/054

CrossRef Full Text | Google Scholar

Heisenberg, L., Kase, R., and Tsujikawa, S. (2016). Beyond generalized Proca theories. Phys. Lett. B 760, 617–626. doi: 10.1016/j.physletb.2016.07.052

CrossRef Full Text | Google Scholar

Herdeiro, C. A. R., and Radu, E. (2015). Asymptotically flat black holes with scalar hair: a review. Int. J. Mod. Phys. D 24:1542014. doi: 10.1142/S0218271815420146

CrossRef Full Text | Google Scholar

Hinterbichler, K. (2012). Theoretical aspects of massive gravity. Rev. Mod. Phys. 84, 671–710. doi: 10.1103/RevModPhys.84.671

CrossRef Full Text | Google Scholar

Hinterbichler, K., and Khoury, J. (2010). Symmetron fields: screening long-range forces through local symmetry restoration. Phys. Rev. Lett. 104:231301. doi: 10.1103/PhysRevLett.104.231301

CrossRef Full Text | Google Scholar

Hinterbichler, K., and Rosen, R. A. (2012). Interacting spin-2 fields. J. High Energy Phys. 7:47. doi: 10.1007/JHEP07(2012)047

CrossRef Full Text | Google Scholar

Holz, D. E., and Hughes, S. A. (2005). Using gravitational-wave standard sirens. Astrophys. J. 629, 15–22. doi: 10.1086/431341

CrossRef Full Text | Google Scholar

Horava, P. (2009). Quantum gravity at a lifshitz point. Phys. Rev. D 79:084008. doi: 10.1103/PhysRevD.79.084008

CrossRef Full Text | Google Scholar

Horndeski, G. W. (1974). Second-order scalar-tensor field equations in a four-dimensional space. Int. J. Theor. Phys. 10, 363–384. doi: 10.1007/BF01807638

CrossRef Full Text | Google Scholar

Hotokezaka, K., Nakar, E., Gottlieb, O., Nissanke, S., Masuda, K., Hallinan, G., et al. (2018). A Hubble constant measurement from superluminal motion of the jet in GW170817. arXiv[Preprint]:1806.10596.

Google Scholar

Hu, B., Raveri, M., Frusciante, N., and Silvestri, A. (2014). Effective field theory of cosmic acceleration: an implementation in CAMB. Phys. Rev. D 89:103530. doi: 10.1103/PhysRevD.89.103530

CrossRef Full Text | Google Scholar

Hu, W., and Sawicki, I. (2007). Models of f(R) cosmic acceleration that evade solar-system tests. Phys. Rev. D 76:064004. doi: 10.1103/PhysRevD.76.064004

CrossRef Full Text | Google Scholar

Huang, Z. (2016). Observational effects of a running Planck mass. Phys. Rev. D 93:043538. doi: 10.1103/PhysRevD.93.043538

CrossRef Full Text | Google Scholar

Hulse, R. A., and Taylor, J. H. (1975). Discovery of a pulsar in a binary system. Astrophys. J. 195, L51–L53. doi: 10.1086/181708

CrossRef Full Text | Google Scholar

Isi, M., Pitkin, M., and Weinstein, A. J. (2017). Probing dynamical gravity with the polarization of continuous gravitational waves. Phys. Rev. D 96:042001. doi: 10.1103/PhysRevD.96.042001

CrossRef Full Text | Google Scholar

Isi, M., and Weinstein, A. J. (2017). Probing gravitational wave polarizations with signals from compact binary coalescences. arXiv[Preprint]:1710.03794.

Google Scholar

Jaccard, M., Maggiore, M., and Mitsou, E. (2013). Nonlocal theory of massive gravity. Phys. Rev. D 88:044033. doi: 10.1103/PhysRevD.88.044033

CrossRef Full Text | Google Scholar

Jackiw, R., and Pi, S. Y. (2003). Chern-simons modification of general relativity. Phys. Rev. D 68:104012. doi: 10.1103/PhysRevD.68.104012

CrossRef Full Text | Google Scholar

Jacobson, T. (2007). Einstein-aether gravity: a status report. PoS QG-PH:020.

Google Scholar

Jacobson, T. (2010). Extended horava gravity and einstein-aether theory. Phys. Rev. D 81:101502. doi: 10.1103/PhysRevD.81.101502

CrossRef Full Text | Google Scholar

Jacobson, T., and Mattingly, D. (2004). Einstein-Aether waves. Phys. Rev. D 70:024003. doi: 10.1103/PhysRevD.70.024003

CrossRef Full Text | Google Scholar

Jana, S., Chakravarty, G. K., and Mohanty, S. (2018). Constraints on Born-Infeld gravity from the speed of gravitational waves after GW170817 and GRB 170817A. Phys. Rev. D 97:084011. doi: 10.1103/PhysRevD.97.084011

CrossRef Full Text | Google Scholar

Joyce, A., Jain, B., Khoury, J., and Trodden, M. (2015). Beyond the cosmological standard model. Phys. Rept. 568, 1–98. doi: 10.1016/j.physrep.2014.12.002

CrossRef Full Text | Google Scholar

Kase, R., and Tsujikawa, S. (2018). Dark energy scenario consistent with GW170817 in theories beyond Horndeski gravity. Phys. Rev. D 97:103501. doi: 10.1103/PhysRevD.97.103501

CrossRef Full Text | Google Scholar

Kennedy, J., Lombriser, L., and Taylor, A. (2017). Reconstructing Horndeski models from the effective field theory of dark energy. Phys. Rev. D 96:084051. doi: 10.1103/PhysRevD.96.084051

CrossRef Full Text | Google Scholar

Kennedy, J., Lombriser, L., and Taylor, A. (2018). Reconstructing Horndeski theories from phenomenological modified gravity and dark energy models on cosmological scales. Phys. Rev. D 98:044051. doi: 10.1103/PhysRevD.98.044051

CrossRef Full Text | Google Scholar

Khoury, J., and Weltman, A. (2004). Chameleon fields: awaiting surprises for tests of gravity in space. Phys. Rev. Lett. 93:171104. doi: 10.1103/PhysRevLett.93.171104

PubMed Abstract | CrossRef Full Text | Google Scholar

Kimura, R., Kobayashi, T., and Yamamoto, K. (2012). Vainshtein screening in a cosmological background in the most general second-order scalar-tensor theory. Phys. Rev. D 85:024023. doi: 10.1103/PhysRevD.85.024023

CrossRef Full Text | Google Scholar

Kimura, R., Naruko, A., and Yoshida, D. (2017). Extended vector-tensor theories. J. Cosmol. Astropart. Phys. 1701:2. doi: 10.1088/1475-7516/2017/01/002

CrossRef Full Text | Google Scholar

Kimura, R., and Yamamoto, K. (2012). Constraints on general second-order scalar-tensor models from gravitational Cherenkov radiation. J. Cosmol. Astropart. Phys. 1207:50. doi: 10.1088/1475-7516/2012/07/050

CrossRef Full Text | Google Scholar

Kobayashi, T., Watanabe, Y., and Yamauchi, D. (2015). Breaking of Vainshtein screening in scalar-tensor theories beyond Horndeski. Phys. Rev. D 91:064013. doi: 10.1103/PhysRevD.91.064013

CrossRef Full Text | Google Scholar

Kobayashi, T., Yamaguchi, M., and Yokoyama, J. (2010). G-inflation: inflation driven by the Galileon field. Phys. Rev. Lett. 105:231302. doi: 10.1103/PhysRevLett.105.231302

CrossRef Full Text | Google Scholar

Kobayashi, T., Yamaguchi, M., and Yokoyama, J. (2011). Generalized G-inflation: inflation with the most general second-order field equations. Prog. Theor. Phys. 126, 511–529. doi: 10.1143/PTP.126.511

CrossRef Full Text | Google Scholar

Koivisto, T., Wills, D., and Zavala, I. (2014). Dark D-brane cosmology. J. Cosmol. Astropart. Phys. 1406:36. doi: 10.1088/1475-7516/2014/06/036

CrossRef Full Text | Google Scholar

Koivisto, T. S. (2008). Newtonian limit of nonlocal cosmology. Phys. Rev. D 78:123505. doi: 10.1103/PhysRevD.78.123505

CrossRef Full Text | Google Scholar

Koivisto, T. S., Mota, D. F., and Zumalacarregui, M. (2012). Screening modifications of gravity through disformally coupled fields. Phys. Rev. Lett. 109:241102. doi: 10.1103/PhysRevLett.109.241102

PubMed Abstract | CrossRef Full Text | Google Scholar

Könnig, F. (2015). Higuchi ghosts and gradient instabilities in bimetric gravity. Phys. Rev. D 91:104019. doi: 10.1103/PhysRevD.91.104019

CrossRef Full Text | Google Scholar

Könnig, F., Nersisyan, H., Akrami, Y., Amendola, L., and Zumalacárregui, M. (2016). A spectre is haunting the cosmos: quantum stability of massive gravity with ghosts. J. High Energy Phys. 11:118. doi: 10.1007/JHEP11(2016)118

CrossRef Full Text | Google Scholar

Koyama, K., Niz, G., and Tasinato, G. (2013). Effective theory for the Vainshtein mechanism from the Horndeski action. Phys. Rev. D 88:021502. doi: 10.1103/PhysRevD.88.021502

CrossRef Full Text | Google Scholar

Koyama, K., and Sakstein, J. (2015). Astrophysical probes of the vainshtein mechanism: stars and galaxies. Phys. Rev. D 91:124066. doi: 10.1103/PhysRevD.91.124066

CrossRef Full Text | Google Scholar

Krauss, L. M., and Tremaine, S. (1988). Test of the weak equivalence principle for neutrinos and photons. Phys. Rev. Lett. 60:176. doi: 10.1103/PhysRevLett.60.176

PubMed Abstract | CrossRef Full Text | Google Scholar

Kreisch, C. D., and Komatsu, E. (2017). Cosmological Constraints on Horndeski Gravity in Light of GW170817. arXiv[Preprint]:1712.02710.

Google Scholar

Lagos, M., Baker, T., Ferreira, P. G., and Noller, J. (2016). A general theory of linear cosmological perturbations: scalar-tensor and vector-tensor theories. J. Cosmol. Astropart. Phys. 1608:7. doi: 10.1088/1475-7516/2016/08/007

CrossRef Full Text | Google Scholar

Lagos, M., Bellini, E., Noller, J., Ferreira, P. G., and Baker, T. (2018). A general theory of linear cosmological perturbations: stability conditions, the quasistatic limit and dynamics. J. Cosmol. Astropart. Phys. 1803:21. doi: 10.1088/1475-7516/2018/03/021

CrossRef Full Text | Google Scholar

Lagos, M., and Ferreira, P. G. (2017). A general theory of linear cosmological perturbations: bimetric theories. J. Cosmol. Astropart. Phys. 1701:47. doi: 10.1088/1475-7516/2017/01/047

CrossRef Full Text | Google Scholar

Langlois, D., Mancarella, M., Noui, K., and Vernizzi, F. (2017). Effective description of higher-order scalar-tensor theories. J. Cosmol. Astropart. Phys. 1705:33. doi: 10.1088/1475-7516/2017/05/033

CrossRef Full Text | Google Scholar

Langlois, D., and Noui, K. (2016). Degenerate higher derivative theories beyond Horndeski: evading the Ostrogradski instability. J. Cosmol. Astropart. Phys. 1602:34. doi: 10.1088/1475-7516/2016/02/034

CrossRef Full Text | Google Scholar

Langlois, D., Saito, R., Yamauchi, D., and Noui, K. (2018). Scalar-tensor theories and modified gravity in the wake of GW170817. Phys. Rev. D 97:061501. doi: 10.1103/PhysRevD.97.061501

CrossRef Full Text | Google Scholar

Larson, S. L., and Hiscock, W. A. (2000). Using binary stars to bound the mass of the graviton. Phys. Rev. D 61:104008. doi: 10.1103/PhysRevD.61.104008

CrossRef Full Text | Google Scholar

Lewis, A., Challinor, A., and Lasenby, A. (2000). Efficient computation of CMB anisotropies in closed FRW models. Astrophys. J. 538, 473–476. doi: 10.1086/309179

CrossRef Full Text | Google Scholar

Linder, E. V. (2003). Exploring the expansion history of the universe. Phys. Rev. Lett. 90:091301. doi: 10.1103/PhysRevLett.90.091301

PubMed Abstract | CrossRef Full Text | Google Scholar

Linder, E. V. (2018). No slip gravity. J. Cosmol. Astropart. Phys. 1803:5. doi: 10.1088/1475-7516/2018/03/005

CrossRef Full Text | Google Scholar

Lombriser, L., and Lima, N. A. (2017). Challenges to self-acceleration in modified gravity from gravitational waves and large-scale structure. Phys. Lett. B 765, 382–385. doi: 10.1016/j.physletb.2016.12.048

CrossRef Full Text | Google Scholar

Lombriser, L., and Taylor, A. (2016). Breaking a dark degeneracy with gravitational waves. J. Cosmol. Astropart. Phys. 1603:31. doi: 10.1088/1475-7516/2016/03/031

CrossRef Full Text | Google Scholar

Lombriser, L., Yoo, J., and Koyama, K. (2013). Relativistic effects in galaxy clustering in a parametrized post-Friedmann universe. Phys. Rev. D 87:104019. doi: 10.1103/PhysRevD.87.104019

CrossRef Full Text | Google Scholar

Lorenz, C. S., Alonso, D., and Ferreira, P. G. (2018). Impact of relativistic effects on cosmological parameter estimation. Phys. Rev. D 97:023537. doi: 10.1103/PhysRevD.97.023537

CrossRef Full Text | Google Scholar

Lovelock, D. (1971). The Einstein tensor and its generalizations. J. Math. Phys. 12, 498–501. doi: 10.1063/1.1665613

CrossRef Full Text | Google Scholar

Lovelock, D. (1972). The four-dimensionality of space and the einstein tensor. J. Math. Phys. 13, 874–876. doi: 10.1063/1.1666069

CrossRef Full Text | Google Scholar

Luty, M. A., Porrati, M., and Rattazzi, R. (2003). Strong interactions and stability in the DGP model. J. High Energy Phys. 9:29. doi: 10.1088/1126-6708/2003/09/029

CrossRef Full Text | Google Scholar

Ma, C.-P., and Bertschinger, E. (1995). Cosmological perturbation theory in the synchronous and conformal Newtonian gauges. Astrophys. J. 455, 7–25. doi: 10.1086/176550

CrossRef Full Text | Google Scholar

Maggiore, M. (2008). Gravitational Waves: Volume 1: Theory and Experiments, Vol. 1. Oxford: Oxford University Press.

Google Scholar

Maggiore, M. (2014). Phantom dark energy from nonlocal infrared modifications of general relativity. Phys. Rev. D 89:043008. doi: 10.1103/PhysRevD.89.043008

CrossRef Full Text | Google Scholar

Maggiore, M. (2018). Gravitational Waves. Vol. 2: Astrophysics and Cosmology. Oxford: Oxford University Press.

Google Scholar

Maggiore, M., and Mancarella, M. (2014). Nonlocal gravity and dark energy. Phys. Rev. D 90:023005. doi: 10.1103/PhysRevD.90.023005

CrossRef Full Text | Google Scholar

Marsh, D. J. E., Bull, P., Ferreira, P. G., and Pontzen, A. (2014). Quintessence in a quandary: prior dependence in dark energy models. Phys. Rev. D 90:105023. doi: 10.1103/PhysRevD.90.105023

CrossRef Full Text | Google Scholar

Martin, J. (2012). Everything you always wanted to know about the cosmological constant problem (but were afraid to ask). Comptes Rendus Physique 13, 566–665. doi: 10.1016/j.crhy.2012.04.008

CrossRef Full Text | Google Scholar

Martin-Moruno, P., Nunes, N. J., and Lobo, F. S. N. (2015). Horndeski theories self-tuning to a de Sitter vacuum. Phys. Rev. D 91:084029. doi: 10.1103/PhysRevD.91.084029

CrossRef Full Text | Google Scholar

Max, K., Platscher, M., and Smirnov, J. (2017). Gravitational wave oscillations in bigravity. Phys. Rev. Lett. 119:111101. doi: 10.1103/PhysRevLett.119.111101

PubMed Abstract | CrossRef Full Text | Google Scholar

Max, K., Platscher, M., and Smirnov, J. (2018). Decoherence of gravitational wave oscillations in bigravity. Phys. Rev. D 97:064009. doi: 10.1103/PhysRevD.97.064009

CrossRef Full Text | Google Scholar

McClelland, D., Cavaglia, M., Evans, M., Schnabel, R., Lantz, B., Quetschke, V., et al. (2017). The lsc-virgo White Paper on Instrument Science (2017-2018 Edition). LIGO Technical Report T1700231.

Messenger, C., and Read, J. (2012). Measuring a cosmological distance-redshift relationship using only gravitational wave observations of binary neutron star coalescences. Phys. Rev. Lett. 108:091101. doi: 10.1103/PhysRevLett.108.091101

PubMed Abstract | CrossRef Full Text | Google Scholar

Messenger, C., Takami, K., Gossan, S., Rezzolla, L., and Sathyaprakash, B. S. (2014). Source redshifts from gravitational-wave observations of binary neutron star mergers. Phys. Rev. X 4:041004. doi: 10.1103/PhysRevX.4.041004

CrossRef Full Text | Google Scholar

Metzger, B. D. (2017). Kilonovae. Living Rev. Rel. 20:3. doi: 10.1007/s41114-017-0006-z

PubMed Abstract | CrossRef Full Text | Google Scholar

Mills, C., Tiwari, V., and Fairhurst, S. (2018). Localization of binary neutron star mergers with second and third generation gravitational-wave detectors. Phys. Rev. D 97:104064. doi: 10.1103/PhysRevD.97.104064

CrossRef Full Text | Google Scholar

Mirshekari, S., Yunes, N., and Will, C. M. (2012). Constraining generic lorentz violation and the speed of the graviton with gravitational waves. Phys. Rev. D 85:024041. doi: 10.1103/PhysRevD.85.024041

CrossRef Full Text | Google Scholar

Misner, C. W., Thorne, K. S., and Wheeler, J. A. (1973). Gravitation. Princeton, NJ: Macmillan.

Google Scholar

Modesto, L. (2012). Super-renormalizable quantum gravity. Phys. Rev. D 86:044005. doi: 10.1103/PhysRevD.86.044005

CrossRef Full Text | Google Scholar

Moore, C. J., Cole, R. H., and Berry, C. P. L. (2015). Gravitational-wave sensitivity curves. Class. Quant. Grav. 32:015014. doi: 10.1088/0264-9381/32/1/015014

CrossRef Full Text | Google Scholar

Moore, C. J., Mihaylov, D., Lasenby, A., and Gilmore, G. (2017). Astrometric search method for individually resolvable gravitational wave sources with gaia. Phys. Rev. Lett. 119:261102. doi: 10.1103/PhysRevLett.119.261102

PubMed Abstract | CrossRef Full Text | Google Scholar

Moore, G. D., and Nelson, A. E. (2001). Lower bound on the propagation speed of gravity from gravitational Cherenkov radiation. J. High Energy Phys. 9:23. doi: 10.1088/1126-6708/2001/09/023

CrossRef Full Text | Google Scholar

Mortsell, E., and Enander, J. (2015). Scalar instabilities in bimetric gravity: the Vainshtein mechanism and structure formation. J. Cosmol. Astropart. Phys. 1510:44. doi: 10.1088/1475-7516/2015/10/044

CrossRef Full Text | Google Scholar

Motohashi, H., Noui, K., Suyama, T., Yamaguchi, M., and Langlois, D. (2016). Healthy degenerate theories with higher derivatives. J. Cosmol. Astropart. Phys. 1607:33. doi: 10.1088/1475-7516/2016/07/033

CrossRef Full Text | Google Scholar

Motohashi, H., Suyama, T., and Yamaguchi, M. (2018). Ghost-free theories with arbitrary higher-order time derivatives. J. High Energy Phys. 6:133. doi: 10.1007/JHEP06(2018)133

CrossRef Full Text | Google Scholar

Namikawa, T., Bouchet, F. R., and Taruya, A. (2018). CMB lensing bispectrum as a probe of modified gravity theories. Phys. Rev. D 98:043530. doi: 10.1103/PhysRevD.98.043530

CrossRef Full Text | Google Scholar

Narikawa, T., Kobayashi, T., Yamauchi, D., and Saito, R. (2013). Testing general scalar-tensor gravity and massive gravity with cluster lensing. Phys. Rev. D 87:124006. doi: 10.1103/PhysRevD.87.124006

CrossRef Full Text | Google Scholar

Narikawa, T., Ueno, K., Tagoshi, H., Tanaka, T., Kanda, N., and Nakamura, T. (2015). Detectability of bigravity with graviton oscillations using gravitational wave observations. Phys. Rev. D 91:062007. doi: 10.1103/PhysRevD.91.062007

CrossRef Full Text | Google Scholar

Nersisyan, H., Akrami, Y., Amendola, L., Koivisto, T. S., Rubio, J., and Solomon, A. R. (2017). Instabilities in tensorial nonlocal gravity. Phys. Rev. D 95:043539. doi: 10.1103/PhysRevD.95.043539

CrossRef Full Text | Google Scholar

Nicolis, A., and Rattazzi, R. (2004). Classical and quantum consistency of the DGP model. J. High Energy Phys. 6:59. doi: 10.1088/1126-6708/2004/06/059

CrossRef Full Text | Google Scholar

Nicolis, A., Rattazzi, R., and Trincherini, E. (2009). The Galileon as a local modification of gravity. Phys. Rev. D 79:064036. doi: 10.1103/PhysRevD.79.064036

CrossRef Full Text | Google Scholar

Nishizawa, A. (2016). Constraining the propagation speed of gravitational waves with compact binaries at cosmological distances. Phys. Rev. D 93:124036. doi: 10.1103/PhysRevD.93.124036

CrossRef Full Text | Google Scholar

Nishizawa, A. (2018). Generalized framework for testing gravity with gravitational-wave propagation. I. Formulation. Phys. Rev. D 97:104037. doi: 10.1103/PhysRevD.97.104037

CrossRef Full Text | Google Scholar

Nishizawa, A., and Nakamura, T. (2014). Measuring speed of gravitational waves by observations of photons and neutrinos from compact binary mergers and supernovae. Phys. Rev. D 90:044048. doi: 10.1103/PhysRevD.90.044048

CrossRef Full Text | Google Scholar

Nissanke, S., Holz, D. E., Dalal, N., Hughes, S. A., Sievers, J. L., and Hirata, C. M. (2013). Determining the Hubble constant from gravitational wave observations of merging compact binaries. arXiv[Preprint]:1307.2638.

Google Scholar

Nissanke, S., Holz, D. E., Hughes, S. A., Dalal, N., and Sievers, J. L. (2010). Exploring short gamma-ray bursts as gravitational-wave standard sirens. Astrophys. J. 725, 496–514. doi: 10.1088/0004-637X/725/1/496

CrossRef Full Text | Google Scholar

Ostrogradski, M. (1850). Mem. Ac. St. Petersbourg VI 4:385.

Overduin, J. M., and Wesson, P. S. (1997). Kaluza-Klein gravity. Phys. Rept. 283, 303–380. doi: 10.1016/S0370-1573(96)00046-4

CrossRef Full Text | Google Scholar

Papallo, G., and Reall, H. S. (2015). Graviton time delay and a speed limit for small black holes in Einstein-Gauss-Bonnet theory. J. High Energy Phys. 11:109. doi: 10.1007/JHEP11(2015)109

CrossRef Full Text | Google Scholar

Pardo, K., Fishbach, M., Holz, D. E., and Spergel, D. N. (2018). Limits on the number of spacetime dimensions from GW170817. J. Cosmol. Astropart. Phys. 1807:48. doi: 10.1088/1475-7516/2018/07/048

CrossRef Full Text | Google Scholar

Peirone, S., Frusciante, N., Hu, B., Raveri, M., and Silvestri, A. (2018a). Do current cosmological observations rule out all Covariant Galileons? Phys. Rev. D 97:063518. doi: 10.1103/PhysRevD.97.063518

CrossRef Full Text | Google Scholar

Peirone, S., Koyama, K., Pogosian, L., Raveri, M., and Silvestri, A. (2018b). Large-scale structure phenomenology of viable Horndeski theories. Phys. Rev. D 97:043519. doi: 10.1103/PhysRevD.97.043519

CrossRef Full Text | Google Scholar

Perenon, L., Piazza, F., Marinoni, C., and Hui, L. (2015). Phenomenology of dark energy: general features of large-scale perturbations. J. Cosmol. Astropart. Phys. 1511:29. doi: 10.1088/1475-7516/2015/11/029

CrossRef Full Text | Google Scholar

Perna, R., Lazzati, D., and Giacomazzo, B. (2016). Short gamma-ray bursts from the merger of two black holes. Astrophys. J. 821:L18. doi: 10.3847/2041-8205/821/1/L18

CrossRef Full Text | Google Scholar

Pettorino, V., and Amendola, L. (2015). Friction in gravitational waves: a test for early-time modified gravity. Phys. Lett. B 742, 353–357. doi: 10.1016/j.physletb.2015.02.007

CrossRef Full Text | Google Scholar

Pirtskhalava, D., Santoni, L., Trincherini, E., and Vernizzi, F. (2015). Weakly broken galileon symmetry. J. Cosmol. Astropart. Phys. 1509:7. doi: 10.1088/1475-7516/2015/09/007

CrossRef Full Text | Google Scholar

Pogosian, L., and Silvestri, A. (2016). What can cosmology tell us about gravity? Constraining Horndeski gravity with Σ and μ. Phys. Rev. D 94:104014. doi: 10.1103/PhysRevD.94.104014

CrossRef Full Text | Google Scholar

Poulin, V., Boddy, K. K., Bird, S., and Kamionkowski, M. (2018). Implications of an extended dark energy cosmology with massive neutrinos for cosmological tensions. Phys. Rev. D 97:123504. doi: 10.1103/PhysRevD.97.123504

CrossRef Full Text | Google Scholar

Proca, A. (1936). Sur la theorie ondulatoire des electrons positifs et negatifs. J. Phys. Radium 7, 347–353. doi: 10.1051/jphysrad:0193600708034700

CrossRef Full Text | Google Scholar

Pujolas, O., Sawicki, I., and Vikman, A. (2011). The imperfect fluid behind kinetic gravity braiding. J. High Energy Phys. 1111:156. doi: 10.1007/JHEP11(2011)156

CrossRef Full Text | Google Scholar

Raccanelli, A. (2017). Gravitational wave astronomy with radio galaxy surveys. Mon. Not. R. Astron. Soc. 469, 656–670. doi: 10.1093/mnras/stx835

CrossRef Full Text | Google Scholar

Raccanelli, A., Bertacca, D., Doré, O., and Maartens, R. (2014). Large-scale 3D galaxy correlation function and non-Gaussianity. J. Cosmol. Astropart. Phys. 1408:22. doi: 10.1088/1475-7516/2014/08/022

CrossRef Full Text | Google Scholar

Randall, L., and Sundrum, R. (1999). A large mass hierarchy from a small extra dimension. Phys. Rev. Lett. 83, 3370–3373. doi: 10.1103/PhysRevLett.83.3370

CrossRef Full Text | Google Scholar

Ratra, B., and Peebles, P. J. E. (1988). Cosmological consequences of a rolling homogeneous scalar field. Phys. Rev. D 37:3406. doi: 10.1103/PhysRevD.37.3406

PubMed Abstract | CrossRef Full Text | Google Scholar

Raveri, M., Baccigalupi, C., Silvestri, A., and Zhou, S.-Y. (2015). Measuring the speed of cosmological gravitational waves. Phys. Rev. D 91:061501. doi: 10.1103/PhysRevD.91.061501

CrossRef Full Text | Google Scholar

Raveri, M., Bull, P., Silvestri, A., and Pogosian, L. (2017). Priors on the effective Dark Energy equation of state in scalar-tensor theories. Phys. Rev. D 96:083509. doi: 10.1103/PhysRevD.96.083509

CrossRef Full Text | Google Scholar

Reischke, R., Spurio Mancini, A., Schfer, B. M., and Merkel, P. M. (2018). Investigating scalar-tensor-gravity with statistics of the cosmic large-scale structure. arXiv[Preprint]:1804.02441. doi: 10.1093/mnras/sty2919

CrossRef Full Text | Google Scholar

Renk, J., Zumalacarregui, M., and Montanari, F. (2016). Gravity at the horizon: on relativistic effects, CMB-LSS correlations and ultra-large scales in Horndeski's theory. J. Cosmol. Astropart. Phys. 1607:40. doi: 10.1088/1475-7516/2016/07/040

CrossRef Full Text | Google Scholar

Renk, J., Zumalacárregui, M., Montanari, F., and Barreira, A. (2017). Galileon gravity in light of ISW, CMB, BAO and H0 data. J. Cosmol. Astropart. Phys. 1710:20. doi: 10.1088/1475-7516/2017/10/020

CrossRef Full Text | Google Scholar

Riess, A. G., Casertano, S., Yuan, W., Macri, L., Bucciarelli, B., Lattanzi, M. G., et al. (2018). Milky way cepheid standards for measuring cosmic distances and application to gaia DR2: implications for the hubble constant. Astrophys. J. 861:126. doi: 10.3847/1538-4357/aac82e

CrossRef Full Text | Google Scholar

Riess, A. G., Macri, L. M., Hoffmann, S. L., Scolnic, D., Casertano, S., Filippenko, A. V., et al. (2016). A 2.4% determination of the local value of the hubble constant. Astrophys. J. 826:56. doi: 10.3847/0004-637X/826/1/56

CrossRef Full Text | Google Scholar

Ruiz, E. J., and Huterer, D. (2015). Testing the dark energy consistency with geometry and growth. Phys. Rev. D 91:063009. doi: 10.1103/PhysRevD.91.063009

CrossRef Full Text | Google Scholar

Sagi, E. (2010). Propagation of gravitational waves in generalized TeVeS. Phys. Rev. D 81:064031. doi: 10.1103/PhysRevD.81.064031

CrossRef Full Text | Google Scholar

Sakstein, J., and Jain, B. (2017). Implications of the Neutron Star Merger GW170817 for Cosmological Scalar-Tensor Theories. Phys. Rev. Lett. 119:251303. doi: 10.1103/PhysRevLett.119.251303

PubMed Abstract | CrossRef Full Text | Google Scholar

Saltas, I. D., Sawicki, I., Amendola, L., and Kunz, M. (2014). Anisotropic stress as a signature of nonstandard propagation of gravitational waves. Phys. Rev. Lett. 113:191101. doi: 10.1103/PhysRevLett.113.191101

PubMed Abstract | CrossRef Full Text | Google Scholar

Santoni, L., Trincherini, E., and Trombetta, L. G. (2018). Behind Horndeski: structurally robust higher derivative EFTs. J. High Energy Phys. 8:118. doi: 10.1007/JHEP08(2018)118

CrossRef Full Text | Google Scholar

Sasaki, M., Suyama, T., Tanaka, T., and Yokoyama, S. (2018). Primordial black holes—perspectives in gravitational wave astronomy. Class. Quant. Grav. 35:063001. doi: 10.1088/1361-6382/aaa7b4

CrossRef Full Text | Google Scholar

Sathyaprakash, B., Abernathy, M., Acernese, F., Ajith, P., Allen, B., Amaro-Seoane, P., et al. (2012). Scientific objectives of einstein telescope. Class. Quant. Grav. 29:124013. doi: 10.1088/0264-9381/29/12/124013

CrossRef Full Text | Google Scholar

Sathyaprakash, B. S., Schutz, B. F., and Van Den Broeck, C. (2010). Cosmography with the Einstein Telescope. Class. Quant. Grav. 27:215006. doi: 10.1088/0264-9381/27/21/215006

CrossRef Full Text | Google Scholar

Sawicki, I., and Bellini, E. (2015). Limits of quasistatic approximation in modified-gravity cosmologies. Phys. Rev. D 92:084061. doi: 10.1103/PhysRevD.92.084061

CrossRef Full Text | Google Scholar

Sawicki, I., Saltas, I. D., Motta, M., Amendola, L., and Kunz, M. (2017). Nonstandard gravitational waves imply gravitational slip: on the difficulty of partially hiding new gravitational degrees of freedom. Phys. Rev. D 95:083520. doi: 10.1103/PhysRevD.95.083520

CrossRef Full Text | Google Scholar

Schutz, B. F. (1986). Determining the hubble constant from gravitational wave observations. Nature 323, 310–311. doi: 10.1038/323310a0

CrossRef Full Text | Google Scholar

Shapiro, I. I. (1964). Fourth test of general relativity. Phys. Rev. Lett. 13, 789–791. doi: 10.1103/PhysRevLett.13.789

CrossRef Full Text | Google Scholar

Silva, H. O., Sakstein, J., Gualtieri, L., Sotiriou, T. P., and Berti, E. (2018). Spontaneous scalarization of black holes and compact stars from a Gauss-Bonnet coupling. Phys. Rev. Lett. 120:131104. doi: 10.1103/PhysRevLett.120.131104

PubMed Abstract | CrossRef Full Text | Google Scholar

Silvestri, A., Pogosian, L., and Buniy, R. V. (2013). Practical approach to cosmological perturbations in modified gravity. Phys. Rev. D 87:104015. doi: 10.1103/PhysRevD.87.104015

CrossRef Full Text | Google Scholar

Simon, J. Z. (1990). Higher derivative lagrangians, nonlocality, problems and solutions. Phys. Rev. D 41:3720. doi: 10.1103/PhysRevD.41.3720

PubMed Abstract | CrossRef Full Text | Google Scholar

Skordis, C. (2009). The tensor-vector-scalar theory and its cosmology. Class. Quant. Grav. 26:143001. doi: 10.1088/0264-9381/26/14/143001

CrossRef Full Text | Google Scholar

Skordis, C., Mota, D. F., Ferreira, P. G., and Boehm, C. (2006). Large scale structure in Bekenstein's theory of relativistic modified newtonian dynamics. Phys. Rev. Lett. 96:011301. doi: 10.1103/PhysRevLett.96.011301

PubMed Abstract | CrossRef Full Text | Google Scholar

Somiya, K. (2012). Detector configuration of KAGRA: the Japanese cryogenic gravitational-wave detector. Class. Quant. Grav. 29:124007. doi: 10.1088/0264-9381/29/12/124007

CrossRef Full Text | Google Scholar

Sotiriou, T. P. (2011). Horava-Lifshitz gravity: a status report. J. Phys. Conf. Ser. 283:012034. doi: 10.1088/1742-6596/283/1/012034

CrossRef Full Text | Google Scholar

Sotiriou, T. P., and Faraoni, V. (2010). f(R) theories of gravity. Rev. Mod. Phys. 82, 451–497. doi: 10.1103/RevModPhys.82.451

CrossRef Full Text | Google Scholar

Sotiriou, T. P., Visser, M., and Weinfurtner, S. (2009a). Phenomenologically viable Lorentz-violating quantum gravity. Phys. Rev. Lett. 102:251601. doi: 10.1103/PhysRevLett.102.251601

PubMed Abstract | CrossRef Full Text | Google Scholar

Sotiriou, T. P., Visser, M., and Weinfurtner, S. (2009b). Quantum gravity without Lorentz invariance. J. High Energy Phys. 10:033. doi: 10.1088/1126-6708/2009/10/033

CrossRef Full Text | Google Scholar

Sotiriou, T. P., and Zhou, S.-Y. (2014). Black hole hair in generalized scalar-tensor gravity. Phys. Rev. Lett. 112:251102. doi: 10.1103/PhysRevLett.112.251102

PubMed Abstract | CrossRef Full Text | Google Scholar

Spurio Mancini, A., Reischke, R., Pettorino, V., Schfer, B. M., and Zumalacrregui, M. (2018). Testing (modified) gravity with 3D and tomographic cosmic shear. Mon. Not. R. Astron. Soc. 480:3725. doi: 10.1093/mnras/sty2092

CrossRef Full Text | Google Scholar

Stairs, I. H. (2003). Testing general relativity with pulsar timing. Living Rev. Rel. 6:5. doi: 10.12942/lrr-2003-5

PubMed Abstract | CrossRef Full Text | Google Scholar

Suyu, S. H., Chang, T.-C., Courbin, F., and Okumura, T. (2018). Cosmological distance indicators. Space Sci. Rev. 214:91. doi: 10.1007/s11214-018-0524-3

CrossRef Full Text | Google Scholar

Taddei, L., Martinelli, M., and Amendola, L. (2016). Model-independent constraints on modified gravity from current data and from the Euclid and SKA future surveys. J. Cosmol. Astropart. Phys. 1612:32. doi: 10.1088/1475-7516/2016/12/032

CrossRef Full Text | Google Scholar

Tamanini, N., Caprini, C., Barausse, E., Sesana, A., Klein, A., and Petiteau, A. (2016). Science with the space-based interferometer eLISA. III: probing the expansion of the Universe using gravitational wave standard sirens. J. Cosmol. Astropart. Phys. 1604:2. doi: 10.1088/1475-7516/2016/04/002

CrossRef Full Text | Google Scholar

Tasinato, G. (2014). Cosmic acceleration from abelian symmetry breaking. J. High Energy Phys. 4:67. doi: 10.1007/JHEP04(2014)067

CrossRef Full Text | Google Scholar

Tattersall, O. J., Ferreira, P. G., and Lagos, M. (2018). Speed of gravitational waves and black hole hair. Phys. Rev. D 97:084005. doi: 10.1103/PhysRevD.97.084005

CrossRef Full Text | Google Scholar

Taylor, S. R., Gair, J. R., and Mandel, I. (2012). Hubble without the Hubble: cosmology using advanced gravitational-wave detectors alone. Phys. Rev. D 85:023535. doi: 10.1103/PhysRevD.85.023535

CrossRef Full Text | Google Scholar

Vacaru, S. I. (2012). Modified dispersion relations in Horava-Lifshitz gravity and finsler brane models. Gen. Rel. Grav. 44, 1015–1042. doi: 10.1007/s10714-011-1324-1

CrossRef Full Text | Google Scholar

Vainshtein, A. I. (1972). To the problem of nonvanishing gravitation mass. Phys. Lett. B 39, 393–394. doi: 10.1016/0370-2693(72)90147-5

CrossRef Full Text | Google Scholar

Vallisneri, M., Kanner, J., Williams, R., Weinstein, A., and Stephens, B. (2015). The LIGO open science center. J. Phys. Conf. Ser. 610:012021. doi: 10.1088/1742-6596/610/1/012021

CrossRef Full Text | Google Scholar

van Dam, H., and Veltman, M. J. G. (1970). Massive and massless Yang-Mills and gravitational fields. Nucl. Phys. B 22, 397–411. doi: 10.1016/0550-3213(70)90416-5

CrossRef Full Text | Google Scholar

van der Bij, J. J., van Dam, H., and Ng, Y. J. (1982). The exchange of massless spin two particles. Physica 116A, 307–320. doi: 10.1016/0378-4371(82)90247-3

CrossRef Full Text | Google Scholar

Vardanyan, V., and Amendola, L. (2015). How can we tell whether dark energy is composed of multiple fields? Phys. Rev. D 92:024009. doi: 10.1103/PhysRevD.92.024009

CrossRef Full Text | Google Scholar

Villa, E., Di Dio, E., and Lepori, F. (2018). Lensing convergence in galaxy clustering in ΛCDM and beyond. J. Cosmol. Astropart. Phys. 1804:33. doi: 10.1088/1475-7516/2018/04/033

CrossRef Full Text | Google Scholar

Visinelli, L., Bolis, N., and Vagnozzi, S. (2018). Brane-world extra dimensions in light of GW170817. Phys. Rev. D 97:064039. doi: 10.1103/PhysRevD.97.064039

CrossRef Full Text | Google Scholar

Vitale, S., and Chen, H.-Y. (2018). Measuring the Hubble constant with neutron star black hole mergers. Phys. Rev. Lett. 121:021303. doi: 10.1103/PhysRevLett.121.021303

PubMed Abstract | CrossRef Full Text | Google Scholar

Weinberg, D. H., Mortonson, M. J., Eisenstein, D. J., Hirata, C., Riess, A. G., and Rozo, E. (2013). Observational probes of cosmic acceleration. Phys. Rept. 530, 87–255. doi: 10.1016/j.physrep.2013.05.001

CrossRef Full Text | Google Scholar

Weinberg, S. (1964). Photons and gravitons in s matrix theory: derivation of charge conservation and equality of gravitational and inertial mass. Phys. Rev. 135, B1049–B1056. doi: 10.1103/PhysRev.135.B1049

CrossRef Full Text | Google Scholar

Weinberg, S. (1965). Photons and gravitons in perturbation theory: derivation of Maxwell's and Einstein's equations. Phys. Rev. 138, B988–B1002.

Google Scholar

Weinberg, S. (1989). The cosmological constant problem. Rev. Mod. Phys. 61, 1–23. doi: 10.1103/RevModPhys.61.1

CrossRef Full Text | Google Scholar

Weisberg, J. M., Nice, D. J., and Taylor, J. H. (2010). Timing measurements of the relativistic binary pulsar PSR B1913+16. Astrophys. J. 722, 1030–1034. doi: 10.1088/0004-637X/722/2/1030

CrossRef Full Text | Google Scholar

Wetterich, C. (1988). Cosmology and the fate of dilatation symmetry. Nucl. Phys. B 302:668. doi: 10.1016/0550-3213(88)90193-9

CrossRef Full Text | Google Scholar

Wex, N. (2014). Testing relativistic gravity with radio pulsars. arXiv[Preprint]:1402.5594.

Google Scholar

Will, C. M. (1998). Bounding the mass of the graviton using gravitational wave observations of inspiralling compact binaries. Phys. Rev. D 57, 2061–2068. doi: 10.1103/PhysRevD.57.2061

CrossRef Full Text | Google Scholar

Will, C. M. (2014). The confrontation between general relativity and experiment. Living Rev. Rel. 17:4. doi: 10.12942/lrr-2014-4

PubMed Abstract | CrossRef Full Text | Google Scholar

Will, C. M. (2018). Solar system vs. gravitational-wave bounds on the graviton mass. Class Quantum Grav. Lett. 17:17LT01. doi: 10.1088/1361-6382/aad13c

CrossRef Full Text | Google Scholar

Woodard, R. P. (2015). Ostrogradsky's theorem on Hamiltonian instability. Scholarpedia 10:32243. doi: 10.4249/scholarpedia.32243

CrossRef Full Text | Google Scholar

Yagi, K., Blas, D., Barausse, E., and Yunes, N. (2014a). Constraints on Einstein-Æther theory and Hořava gravity from binary pulsar observations. Phys. Rev. D 89:084067. doi: 10.1103/PhysRevD.89.084067

CrossRef Full Text | Google Scholar

Yagi, K., Blas, D., Yunes, N., and Barausse, E. (2014b). Strong binary pulsar constraints on lorentz violation in gravity. Phys. Rev. Lett. 112:161101. doi: 10.1103/PhysRevLett.112.161101

PubMed Abstract | CrossRef Full Text | Google Scholar

Yagi, K., and Stein, L. C. (2016). Black hole based tests of general relativity. Class. Quant. Grav. 33:054001. doi: 10.1088/0264-9381/33/5/054001

CrossRef Full Text | Google Scholar

Yamauchi, D., Yokoyama, S., and Tashiro, H. (2017). Constraining modified theories of gravity with the galaxy bispectrum. Phys. Rev. D 96:123516. doi: 10.1103/PhysRevD.96.123516

CrossRef Full Text | Google Scholar

Yunes, N., Yagi, K., and Pretorius, F. (2016). Theoretical physics implications of the binary black-hole mergers GW150914 and GW151226. Phys. Rev. D 94:084002. doi: 10.1103/PhysRevD.94.084002

CrossRef Full Text | Google Scholar

Zakharov, V. I. (1970). Linearized gravitation theory and the graviton mass. JETP Lett. 12:312.

Google Scholar

Zhu, X. J., Hobbs, G., Wen, L., Coles, W. A., Wang, J.-B., Shannon, R. M., et al. (2014). An all-sky search for continuous gravitational waves in the Parkes Pulsar Timing Array data set. Mon. Not. R. Astron. Soc. 444, 3709–3720. doi: 10.1093/mnras/stu1717

CrossRef Full Text | Google Scholar

Zumalacárregui, M., Bellini, E., Sawicki, I., Lesgourgues, J., and Ferreira, P. G. (2017). hi_class: horndeski in the cosmic linear anisotropy solving system. J. Cosmol. Astropart. Phys. 1708:19. doi: 10.1088/1475-7516/2017/08/019

CrossRef Full Text | Google Scholar

Zumalacárregui, M., and García-Bellido, J. (2014). Transforming gravity: from derivative couplings to matter to second-order scalar-tensor theories beyond the Horndeski Lagrangian. Phys. Rev. D 89:064046. doi: 10.1103/PhysRevD.89.064046

CrossRef Full Text | Google Scholar

Zumalacarregui, M., Koivisto, T. S., and Mota, D. F. (2013). DBI galileons in the Einstein frame: local gravity and cosmology. Phys. Rev. D 87:083010. doi: 10.1103/PhysRevD.87.083010

CrossRef Full Text | Google Scholar

Keywords: gravitational wave propagation, modified gravity, dark energy, multi-messenger astronomy, testing general relativity

Citation: Ezquiaga JM and Zumalacárregui M (2018) Dark Energy in Light of Multi-Messenger Gravitational-Wave Astronomy. Front. Astron. Space Sci. 5:44. doi: 10.3389/fspas.2018.00044

Received: 25 July 2018; Accepted: 04 December 2018;
Published: 21 December 2018.

Edited by:

Pilar Ruiz-Lapuente, Instituto de Física Fundamental (IFF), Spain

Reviewed by:

Vyacheslav Ivanovich Dokuchaev, Institute for Nuclear Research (RAS), Russia
Gianluca Calcagni, Spanish National Research Council (CSIC), Spain

Copyright © 2018 Ezquiaga and Zumalacárregui. This is an open-access article distributed under the terms of the Creative Commons Attribution License (CC BY). The use, distribution or reproduction in other forums is permitted, provided the original author(s) and the copyright owner(s) are credited and that the original publication in this journal is cited, in accordance with accepted academic practice. No use, distribution or reproduction is permitted which does not comply with these terms.

*Correspondence: Jose María Ezquiaga, am9zZS5lenF1aWFnYUB1YW0uZXM=">jose.ezquiaga@uam.es
Miguel Zumalacárregui, bWlndWVsenVtYUBiZXJrZWxleS5lZHU=

Disclaimer: All claims expressed in this article are solely those of the authors and do not necessarily represent those of their affiliated organizations, or those of the publisher, the editors and the reviewers. Any product that may be evaluated in this article or claim that may be made by its manufacturer is not guaranteed or endorsed by the publisher.