- 1Columbia Astrophysics Laboratory, Columbia University, New York, NY, United States
- 2INAF—Osservatorio Astronomico di Brera, Merate, Italy
- 3Max-Planck-Institut für extraterrestrische Physik, Garching, Germany
- 4INAF-Osservatorio Astronomico di Cagliari, Selargius, Italy
- 5Department of Chemistry, Physics and Astronomy, Georgia College & State University, Milledgeville, GA, United States
- 6Harvard-Smithsonian Center for Astrophysics, Harvard University, Cambridge, MA, United States
- 7Space Research Institute (IKI), Russian Academy of Sciences, Moscow, Russia
- 8Cahill Center for Astronomy and Astrophysics, California Institute of Technology, Pasadena, CA, United States
- 9Department of Physics and Astronomy, Michigan State University, East Lansing, MI, United States
- 10School of Astronomy and Space Science, Nanjing University, Nanjing, China
- 11Instituto de Astrofísica, Millennium Institute of Astrophysics, Pontificia Universidad Católica de Chile, Santiago, Chile
- 12University Grenoble Alpes, CNRS, IPAG, Grenoble, France
- 13Space Sciences Laboratory, UC Berkeley, Berkeley, CA, United States
- 14X-ray Astrophysics Laboratory, NASA Goddard Space Flight Center, Greenbelt, MD, United States
- 15Department of Physics, University of Arkansas, Fayetteville, AR, United States
- 16Kavli Institute for Astrophysics and Space Research, Massachusetts Institute of Technology, Cambridge, MA, United States
- 17Jet Propulsion Laboratory, California Institute of Technology, Pasadena, CA, United States
HEX-P is a probe-class mission concept that will combine high spatial resolution X-ray imaging (
1 Introduction
The Galactic Center (GC) harbors an extremely dense and diverse population of stars, compact objects, X-ray binaries (XRBs), molecular clouds, magnetic filaments, and energetic cosmic-ray accelerators within its central few degrees. Sgr A*, the radiative counterpart of the supermassive black hole (SMBH), plays a crucial role in the gas dynamics and binary formation processes in the central few parsecs, where stars and XRBs cluster (Muno et al., 2003; Mori et al., 2021). Despite its faint quiescent X-ray emission, Sgr A* intermittently accelerates particles and emits daily X-ray flares. In the past, Sgr A* is believed to have been far more active, possibly fueling the Fermi GeV bubbles (Cheng et al., 2011), X-ray chimneys (Ponti et al., 2021), and, as recently as a few hundred years ago, X-ray emission from the GC molecular clouds (Ponti et al., 2010; Clavel et al., 2013). The population of relativistic cosmic rays, including leptons and hadrons, is evident in radio/X-ray filaments and TeV emission from molecular clouds (Zhang et al., 2014; Zhang et al., 2020).
X-ray observations provide valuable insights into compact objects, their binary systems, and particle accelerators in the GC region, since those sources are frequently observed to emit X-rays. However, conducting X-ray studies in this densely populated region, which is located at a large distance of 8 kpc, poses challenges. Furthermore, the GC is filled with numerous point and diffuse X-ray sources, requiring high-angular-resolution X-ray telescopes to resolve them. Over the past two decades, extensive surveys of the GC and bulge regions in the soft X-ray band (
In the GC and bulge regions, soft X-ray data is limited to E > 2 keV due to significant X-ray absorption and scattering. Consequently, the narrow-band (2–10 keV) X-ray data obtained by Chandra and XMM-Newton are often insufficient for identifying source types and accurately measuring spectral parameters (e.g., plasma temperatures and photon indices) due to the parameter degeneracy with neutral hydrogen column density (NH). In the GC, NH is typically high (NH ∼ (5–20) × 1022 cm−2) and variable across different regions (Johnson et al., 2009), complicating our ability to constrain other spectral parameters in the soft X-ray band. In the higher energy band above 10 keV, INTEGRAL/IBIS and Suzaku-HXD unveiled diffuse hard X-ray emission and a handful of bright XRBs (Revnivtsev et al., 2004; Yuasa et al., 2008). Subsequently, NuSTAR surveyed
In this paper, we highlight the unique capabilities of HEX-P to significantly advance our understanding of X-ray-emitting objects within the GC, Bulge and other regions in our Galaxy. Specifically, HEX-P′s exceptional angular resolution and broad-band X-ray coverage extending up to 80 keV are crucial for resolving X-ray sources, characterizing their X-ray emission, and identifying their nature. Given its energy band—extending to 25 keV with 3.5″ angular resolution, LET will be highly advantageous for investigating X-ray sources in crowded fields like the GC. On the other hand, HET will allow us to investigate hard X-ray sources and non-thermal X-ray emission with far better sensitivity than NuSTAR. X-ray spectral and timing properties of transients will be fully characterized by HEX-P thanks to its fast readout time. Both LET and HET will provide excellent Fe line diagnostics at E = 6–7 keV; detecting and resolving highly-ionized Fe lines at 6.7 and 6.9 keV will enable us to discern between thermal and non-thermal X-ray sources. Moreover, a neutral Fe fluorescence line at 6.4 keV can be utilized to constrain X-ray reflection models for molecular clouds and magnetic CVs (mCVs). Additionally, both LET and HET possess high-resolution timing capabilities, making them valuable tools for identifying pulsars and millisecond pulsars (Alford et al., 2023; Jaodand et al., 2023). During the 2030s, HEX-P is poised to make unique contributions to multi-messenger astrophysics of the GC, Bulge and Plane, in synergy with existing and upcoming telescopes across various wavelengths. These include the CTAO for TeV gamma-ray observations, the IceCube gen2 neutrino experiment, radio telescopes such as EHT (Event Horizon telescope), SKA (Square Kilometer Array) and next-generation VLA, as well as infrared telescopes like JWST and GRAVITY.
The paper is organized as follows. §2 describes the current design of the HEX-P telescope and simulation tools. §3 briefly introduces key science cases in the primary GC observation program. More detailed descriptions can be found about Sgr A* flares (§4), X-ray source populations in the GC and Bulge (§5 and diffuse X-ray sources in the GC (§6). §7.1 and §7.2 demonstrate some examples for potential HEX-P GO program observations of star-forming regions and CVs. §8 concludes the paper. Additional figures and tables, including a table defining all acronyms used in this paper, can be found in the Supplementary Material.
2 HEX-P mission design and simulation
The High Energy X-ray Probe (HEX-P; Madsen et al., 2023) is a probe-class mission concept that offers sensitive broad-band X-ray coverage (0.2–80 keV) with exceptional spectral, timing and angular capabilities. It features two high-energy telescopes (HETs) that focus hard X-rays and one low-energy telescope (LET) that focuses lower-energy X-rays.
The LET consists of a segmented mirror assembly coated with Ir on monocrystalline silicon that achieves an angular resolution of 3.5″, and a low-energy DEPFET detector, of the same type as the Wide Field Imager (WFI; Meidinger et al., 2020) onboard Athena (Nandra et al., 2013). It has 512 × 512 pixels that cover a field of view of 11.3′ × 11.3′. The LET has an effective passband of 0.2–25 keV, and a full frame readout time of 2 ms, which can be operated in a 128 and 64 channel window mode for higher count rates to mitigate pile-up with faster readout. Pile-up effects remain below an acceptable limit of ∼1% for fluxes up to ∼100 mCrab in the smallest window configuration. Excising the core of the PSF, a common practice in X-ray astronomy, will allow for observations of brighter sources, with a typical loss of up to ∼60% of the total photon counts.
The HET consists of two co-aligned telescopes and detector modules. The optics are made of Ni-electroformed full shell mirror substrates, leveraging the heritage of XMM-Newton, and coated with Pt/C and W/Si multilayers for an effective passband of 2–80 keV. The high-energy detectors are of the same type as those flown on NuSTAR, and they consist of 16 CZT sensors per focal plane, tiled 4 × 4, for a total of 128 × 128 pixel spanning a field of view of 13.4′ × 13.4′. The HET utilizes the same optics technology as XMM-Newton and the PSF is energy-dependent with an HPD of 10″ at 3 keV,
All simulations presented here were produced with a set of response files that represent the observatory performance based on current best estimates (see Madsen et al., 2023). The effective area is derived from a ray-trace of the mirror design including obscuration by all known structures. The detector responses are based on simulations performed by the respective hardware groups, with an optical blocking filter for the LET and a Be window and thermal insulation for the HET. The LET background was derived from a GEANT4 simulation (Eraerds et al., 2021) of the WFI instrument, and the one for the HET from a GEANT4 simulation of the NuSTAR instrument, both positioned at L1. Throughout the paper, we present our simulation results for HEX-P using the SIXTE (Dauser et al., 2019) and XSPEC toolkits (version 12.13.0 (Arnaud, 1996)). To ensure the most realistic simulation results, we incorporated recent high-resolution X-ray images (mostly from Chandra or other wavelength observations), the best-known spectral information, and theoretical model predictions. Various exposure times have been considered for the feasibility studies presented in the following sections.
3 HEX-P’s Galactic center observation program
Throughout the paper, we present how HEX-P will have a high impact on exploring and understanding a variety of high-energy sources in the GC. With its versatile and well-balanced capabilities, including 1) large effective area in 0.2–80 keV, 2) high energy resolution for resolving atomic lines, 3) low background levels, 4)

FIGURE 1. The GC regions surveyed by the HEX-P primary observation program, overlaid with Chandra X-ray (A) and MeerKAT radio images (B). SNR G1.9 + 0.3 and the LW are located outside the images above. Chandra image credit: Wang et al. (2002); Muno et al. (2009). MeerKAT image credit: Heywood et al. (2022).
1) Broad-band X-ray investigation of Sgr A* X-ray flares (§4): HEX-P observations of Sgr A* X-ray flares will play a unique and impactful role in the multi-messenger astrophysics of studying how the supermassive BH accelerates particles and emit flares in various ways. HEX-P will fully characterize the spectral and timing properties of bright flares thanks to the broadband and continuous coverage without earth occultation. In the 2030s, HEX-P in synergy with other telescopes in the radio (EHT), IR (GRAVITY) and TeV (CTA) bands will provide a wealth of multi-wavelength SED and lightcurve data on Sgr A* flares. These legacy data sets will make a significant impact on understanding the particle acceleration and emission mechanisms of Sgr A* flares.
2) Revealing X-ray point source populations in the GC (§5.1, 5.2, 5.3): The broadband X-ray spectral and timing capabilities of HEX-P will provide a variety of useful diagnostic tools for identifying X-ray point sources and transients in the GC, Bulge, and beyond. These diagnostic tools encompass Fe line analysis, broad-band X-ray spectroscopy, pulsation detection, and X-ray variability study. In the primary science program, HEX-P is expected to detect
3) Resolving the central 10 parsec region above 10 keV (§5.4): The nuclear star cluster (NSC), spanning over r ≲ 10 pc around Sgr A*, contains an extremely high concentration of stars and X-ray sources where the central hard X-ray emission (CHXE) was discovered by NuSTAR. HEX-P will be able to resolve the CHXE in the 20–40 keV band with better spatial resolution than NuSTAR, and determine whether the core of the CHXE is cuspy or not. This refined hard X-ray view of the NSC/CHXE will enable testing theoretical models on the formation of X-ray binaries through interactions with Sgr A* BH and other stars. Moreover, HEX-P will obtain the most pristine images of non-thermal X-ray sources in the vicinity of Sgr A* over 40 keV, including the central PWN, X-ray filaments, and unidentified hard X-ray sources.
4) Probing the composition of the Galactic Ridge X-ray emission (§5.5): The Limiting Window, known as one of the low extinction regions where Chandra resolved Fe line emission to a few hundred X-ray point sources, holds the key to unravel the composition of the Galactic Ridge X-ray emission (GRXE). Due to the narrow-band Chandra observations below 8 keV, their true plasma temperatures, possibly varying between different X-ray luminosities (which may reflect different types of CVs in the LW), remain unknown. HEX-P is expected to classify a majority of the Chandra sources by performing X-ray spectral analysis on bright sources individually and analyzing stacked spectral data. Consequently, we will be able to accurately measure the plasma temperatures of the X-ray sources across different X-ray luminosity ranges. Such measurements will lead to identifying which types of X-ray sources predominantly constitute the GRXE.
5) Surveying the central molecular zone (§6.1): Within the central molecular zone (CMZ), a handful of molecular clouds have exhibited X-ray emission. This emission consists of variable X-ray reflections of Sgr A* outbursts in the past and/or steady X-ray emission originating from cosmic-ray interactions with the clouds. In the primary observation program, HEX-P will conduct a survey of the Sgr A complex, Sgr B1, B2 and C, aiming to map their neutral Fe fluorescent line emission and X-ray continuum emission. The initial survey data will play a pivotal role in guiding subsequent HEX-P observations, dissecting the X-ray emission mechanisms, and gaining valuable insights into the past activities of Sgr A* and cosmic-ray distributions around the clouds.
6) Investigating energetic particle accelerators and mapping cosmic-ray distributions (§6.2 and Renolds et al. 2023): As an integral part of the major observation program aimed at exploring Galactic particle accelerators, HEX-P will observe prominent cosmic-ray acceleration sites, including the youngest SNR in our Galaxy (G1.9 + 0.3), the most luminous TeV sources (e.g., PWN G0.9 + 0.1), and star clusters (e.g., Arches) in synergy with future CTAO TeV observatory (Reynolds et al., 2023; Mori et al., 2021). Furthermore, HEX-P will characterize the synchrotron radiation emitted by X-ray filaments in conjunction with high-resolution radio data. Through broadband X-ray spectral data of these filaments, we will create a detailed map of the distribution of TeV–PeV electrons in the GC. Ultimately, HEX-P will explore how and where the relativistic cosmic rays are accelerated and then propagate through the GC region.
4 Sgr A⋆ flares
Sgr A⋆ is the radiative counterpart of the supermassive BH at the center of the Milky Way. Sgr A⋆ has been proposed as one of the energetic particle accelerators powered by accretion flow among other PeVatrons candidates in the GC, such as PWNe and star clusters (HESS Collaboration et al., 2016). However, the quiescent emission from Sgr A⋆ remains so faint with LBol ∼ 1036 erg s−1 and LX ∼ 2 × 1033 erg s−1, that it casts doubts about its role as a persistent particle accelerator (Genzel et al., 2010). On the other hand, Sgr A⋆ emits flares frequently, during which its X-ray luminosity can increase by up to two orders of magnitude (Baganoff et al., 2001; Neilsen et al., 2013; Barrière et al., 2014; Ponti et al., 2015a; Haggard et al., 2019). Similarly, IR flares have been observed daily (Genzel et al., 2003; Ghez et al., 2004). Interestingly, whenever an X-ray flare is observed, an IR counterpart is present, whereas the opposite is not always true. These flares are considered to originate from synchrotron or synchrotron self-Compton scattering radiation emitted from accelerated electrons to high Lorentz factors (γe ∼ 105–6 in the synchrotron case). Typically, X-ray flares last for a few thousand seconds before they decay via radiative cooling or particle escaping. While simultaneous, multi-wavelength observations of Sgr A⋆ flares in the IR and X-ray band are important, HEX-P will uniquely explore the particle acceleration and emission mechanisms of the highest energy electrons produced by the supermassive BH at Sgr A⋆.
Previous Chandra observations of Sgr A⋆ flares suggest an average rate of 1-2 flares per day (Nowak et al., 2012; Neilsen et al., 2013). With fainter X-ray flares occurring more frequently, the expected number of detectable flares depends on the telescope’s sensitivity. For instance, Ponti et al. (2015a) detected 11 flares with XMM-Newton in 1.6 Ms until 2014, yielding a lower rate of 0.6 flares per day. Note that HEX-P will be more sensitive to detecting fainter X-ray flares than XMM-Newton. It was reported that, since 2014, bright X-ray flares with 2–10 keV fluence above
The primary objective of investigating synchrotron X-ray emission during Sgr A⋆ flares is to determine their photon indices and potential spectral cutoffs. X-ray photon indices are directly linked to the intrinsic energy distributions of electrons, while X-ray spectral cutoffs reflect the maximum energy at which electrons are accelerated or a synchrotron cooling break. These X-ray spectral characteristics are likely to vary between different flares, such as faint vs. bright or short vs. long flares, and HEX-P is the most suitable for these measurements due to its broader energy coverage (compared to Chandra and XMM-Newton) and higher sensitivity (compared to NuSTAR). For example, Figure 2 shows simulated HEX-P spectra of a bright X-ray flare from Sgr A⋆ assuming different spectral shapes. These simulation results represent a significant advance as HEX-P will be able to detect spectral cutoffs from Sgr A* flares, which was not achievable by NuSTAR due to the limited sensitivity. Overall, HEX-P will provide much greater insight into the particle acceleration mechanism near the event horizon.

FIGURE 2. (A) Simulated HEX-P spectra of a bright flare. The flare has a mean luminosity of 54 times the quiescent level in 2–10 keV and lasts for 5,900 s. (B) Simulated HET spectra of a bright Sgr A⋆ flare, with a cutoff at 15 keV (orange) and without it (blue). In both cases above, we adopted the astrophysical background spectra from XMM-Newton observations of Sgr A⋆ in the 2–10 keV band, and extrapolated them up to 80 keV. (C) A scattered plot of the X-ray photon indices and flare strengths measured by HEX-P, assuming a similar ensemble of X-ray flares as that studied in Zhang et al. (2017). The flare strength is defined as the mean luminosity of a flare divided by the quiescent luminosity in the 2–10 keV band.
Furthermore, HEX-P will eventually collect a large sample of X-ray flares from Sgr A⋆ revealing their statistical properties. Based on seven bright flares observed with NuSTAR in ≃ 1 Ms, Zhang et al. (2017) reported a potential but unconfirmed correlation between the photon index and flux data. Figure 2C presents a scattered plot of the photon indices and the flare strengths measured by HEX-P, assuming the same flux distribution observed with NuSTAR and that the potential correlation reported in Zhang et al. (2017) exists. With about five-seven bright flares, HEX-P will be able to establish the correlation at ≳ 3σ, and more significantly from a larger number of flares detectable by HEX-P in the first few years.
4.1 Synergy with radio, IR, and TeV gamma-ray telescopes
Simultaneous X-ray and IR observations have proven to provide a more in-depth investigation of the particle acceleration and cooling mechanisms of Sgr A⋆, as recently realized by a few such successful observations. For instance, EHT directly images the SMBH and its environment in the sub-millimeter band, potentially capturing hot spots swirling around the event horizon following X-ray flares (Wielgus et al., 2022). In the IR band, GRAVITY has pinpointed Sgr A⋆ and detected flares with its exceptional sensitivity of the adaptive optics. Since the X-ray and IR emission represent different components of the entire synchrotron radiation emitted from Sgr A⋆ flares, multi-wavelength SED data will enable not only distinguishing between various emission models but also determining the magnetic field strengths through cooling breaks between the IR and X-ray bands (Dodds-Eden et al., 2009; Ponti et al., 2017).
Previous IR and sub-millimeter observations have revealed that flares originate from an area that extends over one gravitational radius, and they orbit around
Recent NuSTAR observations suggested somehow softer photon indices of Sgr A* flares compared with those measured by XMM-Newton and Chandra. This could indicate the presence of a high energy cut-off above 10 keV (GRAVITY Collaboration et al., 2021) or an artifact caused by the high background level in NuSTAR data. In contrast, HEX-P observations of Sgr A* flares over a broader X-ray band and with significantly reduced background contamination provide more direct insights into how particles are accelerated at a few Schwarzschild radii from the SMBH and will help to constrain the acceleration models and their physical parameters. If Sgr A* is indeed accelerating electrons to high Lorentz factors above γe ∼ 106, which will be evident from detecting hard X-rays with HEX-P, these electrons will also emit TeV gamma-rays through the inverse Compton scattering process. Thus, hard X-ray detections by HEX-P will motivate simultaneous TeV observations with the upcoming CTAO mission and ultimately determine whether the supermassive BH at Sgr A* is a PeVatron accelerator at the present time.
5 X-ray source population in the GC and bulge
Extensive Chandra surveys have detected over 10,000 X-ray sources in the 2° × 0.8° GC field (Wang et al., 2002; Muno et al., 2009; Zhu et al., 2018). Even excluding foreground sources, which constitute about 25% of the total, these Chandra sources represent the densest X-ray source population in our Galaxy. This is illustrated in Figure 3, which shows the Chandra X-ray flux distributions in different regions of the GC and Bulge. In the GC and bulge regions, where optical, UV, and soft X-ray (E ≲ 2 keV) observations are hindered due to significant extinction and dust scattering, the hard X-ray band provides a singular opportunity to explore the populations of compact objects and their binaries. Thus far, multi-decade X-ray observations of the GC, Bulge, and Ridge have revealed that 1) the X-ray point sources are predominantly mCVs, with a modest fraction of XRBs (Xu et al., 2019a); 2) a small population of non-thermal X-ray sources exist, and they are likely LMXBs or runaway pulsars (Hailey et al., 2018); 3)

FIGURE 3. LogN-logS (A) and radial (B) distributions of Chandra X-ray sources in the GC. The plots are excerpted and modified from Hong et al. (2016). The 2–10 keV flux limits are indicated by the vertical cyan and green lines with arrows for source identification by individual X-ray spectral analysis (1) and classification by hardness ratio analysis described (2), respectively. Note that we assumed 100 ks exposure per source, and these conditions for source identification and classification do not apply to crowded fields such as the Arches cluster and the central 10 pc region where the source density is much higher (A). These X-ray flux limits correspond to LX = 3 × 1032 and 1 × 1032 erg s−1 at the GC distance (8 kpc), respectively.
1) Magnetic CV population in the GC and Bulge: Stacked X-ray spectra of the Chandra sources were well fit with an optically thin thermal plasma model with kT ≳ 8 keV, indicating that they are predominantly mCVs (Hong et al., 2016). MCVs possess WD magnetic fields strong enough to truncate or quench accretion disks, and they are generally classified into two classes: intermediate polars (IPs) and polars. An IP is a type of mCV that has non-synchronized orbits and WD magnetic fields (B ∼ 0.1–10 MG) strong enough to truncate the inner accretion disk; they are copious emitters of hard X-rays (kT ∼ 20–40 keV). On the other hand, polars are magnetically synchronized mCVs with higher B-field strength (typically B ∼ 10–240 MG) and thus possess softer X-ray spectra (kT ∼ 10–20 keV) than IPs due to faster cyclotron cooling. By contrast, non-magnetic CVs (nmCVs) have lower B-fields (B ≲ 0.1 MG), and their accretion disks extend to the WD surface. NmCVs exhibit softer and fainter X-ray emission (kT ≲ 10 keV) than those of mCVs (Byckling et al., 2010). Since only a few % of the Chandra sources in the GC have been detected by NuSTAR above 10 keV (Hong et al., 2016), their source types remain elusive. To distinguish between nmCVs, IPs, and polars, it is important to characterize both broad-band X-ray continuum and Fe emission lines at 6–7 keV (Mukai, 2017; Xu et al., 2019b).
2) X-ray binaries and pulsars: A fraction of the Chandra sources are characterized by non-thermal X-ray spectra with no or weak Fe lines. These non-thermal X-ray sources are likely quiescent LMXBs (containing NSs or BHs) or pulsars (Mori et al., 2021). Subsequently, multi-decade X-ray observations of the Sgr A* region with Chandra, XMM-Newton, Swift and NuSTAR revealed a cusp of LMXBs in the central pc (Hailey et al., 2018; Mori et al., 2021). Finding a concentration of pulsars in the Galactic Bulge will have significant implications for the origin of the GeV gamma-ray excess emission detected by Fermi-LAT (Dexter and O’Leary, 2014).
3) X-ray transients: Daily Swift/XRT monitoring since 2006, combined with other frequent X-ray observations of the GC, resulted in the detection of 20 X-ray transients in the central
4) Diffuse hard X-ray emission: In the Bulge, Ridge and central 10 pc regions, diffuse hard X-ray emission with different plasma temperatures ranging from kT ∼ 8 to 35 keV have been detected by Suzaku, INTEGRAL/IBIS and NuSTAR (Türler et al., 2010; Yuasa et al., 2012; Perez et al., 2019; 2015). This diffuse X-ray emission is believed to originate from unresolved populations of X-ray point sources. Only a few low-extinction regions in the bulge and ridge, such as the Limiting Window (LW), have been observed by Chandra and resolved into hundreds of X-ray point sources, most of which remain unidentified due to the lack of hard X-ray observations.
As we present below, HEX-P will greatly enhance our understanding of X-ray source populations in the GC and Bulge, covering a wide range of X-ray luminosity (LX). HEX-P will conduct deep observations of prominent regions such as the Sgr A complex, the Arches cluster, Sgr B2, Sgr C, and the LW. These investigations will fully utilize the broadband spectral and timing capabilities of HEX-P to reveal the X-ray source populations within those regions. Our primary focus will be on classifying X-ray source populations in the range of LX ∼ 1032–1033 erg s−1 at the GC distance (8 kpc), and examining how they vary with LX and distance from the GC. This unexplored parameter space of X-ray sources holds considerable interest, as we expect to unveil a number of mCVs, XRBs, and pulsars that have not yet been discovered in the GC. In contrast, a significant portion of fainter X-ray sources is likely background AGNs and coronally active dwarfs (Ebisawa et al., 2005; DeWitt et al., 2010; Morihana et al., 2022), which are unrelated to the compact object populations in the GC and Bulge.
5.1 X-ray source population
The NuSTAR GC survey covered
The goals and capabilities of HEX-P in classifying and identifying X-ray sources in the GC are specified in Supplementary Table S2 in the Supplementary Material section and in the numbered paragraphs below. The primary GC survey program involves surveying the central 1° × 0.7° region with multiple tiled observations with a typical exposure time of
We conducted extensive simulations based on existing data to demonstrate the remarkable capabilities of our proposed surveys. In order to determine the detectability of X-ray sources with HEX-P, we adopted the X-ray flux data of 6,760 Chandra sources from Muno et al. (2009), excluding foreground sources. We assumed that these sources have kT = 15–30 keV, which are typical plasma temperatures for mCVs. Assuming a 100 ks exposure per field and kT = 15 keV, HET will be able to detect

FIGURE 4. The radial distributions of point sources that will be detectable by HEX-P HET in the 8–40 keV band above the 4σ level (yellow). The distribution only includes non-foreground sources for which the “nearest neighbor” is at least 8.5″ away, corresponding to half of HET’s HPD (Pfeifle et al., 2023). For comparison, the blue histogram shows the point sources detected by Chandra with
1) Identification of Chandra and IR counterparts: 18 out of the 77 NuSTAR sources do not have clear associations with Chandra sources because the limited angular resolution of NuSTAR (18″ FWHM) hinders their correlation with Chandra positions, as well as their IR counterparts. HEX-P′s angular resolution, superior to NuSTAR′s, will allow us to identify Chandra counterparts to hard X-ray sources with high confidence. Consequently, Chandra′s sub-arcsecond angular resolution will enable us to find the NIR counterparts to those X-ray sources and determine their nature using the combined X-ray and NIR spectral and temporal properties of those systems (Table 2). Accreting binaries are expected to display ellipsoidal modulations in their NIR light curves, which result from the distortion of Roche-lobe-filling donor stars due to the tidal forces exerted by the compact object. Currently ongoing—and upcoming—JWST surveys will be able to detect such periodic variability even from low-mass companions, thanks to their unprecedented depth (Schoedel et al., 2023). Combining deep NIR and X-ray data will open a new window into the nature and evolution of accreting compact objects. Furthermore, unambiguous Chandra counterpart identification will enable joint X-ray spectral and variability analysis with archived Chandra and XMM-Newton data, allowing us to understand the temporal properties of those sources over a timescale of decades.
2) X-ray spectral analysis: Hard X-ray detections above 10 keV suggest the NuSTAR sources could be either mCVs or XRBs (Hong et al., 2016). To accurately identify these sources, Fe line diagnostics are crucial. Typically, mCVs exhibit thermal X-ray spectra with strong Fe emission lines at 6–7 keV (Xu et al., 2016), while quiescent XRBs show non-thermal X-ray spectra with weak or no Fe lines. However, the majority of the NuSTAR sources lack clear Fe line determinations because their NuSTAR spectra are largely contaminated by diffuse X-ray emission, which also exhibits strong Fe lines. With both the LET and HET covering the 6–7 keV band, HEX-P will greatly improve Fe line diagnostics thanks to its superior angular resolution and significantly reduced background levels compared to NuSTAR. Figure 5 (top) illustrates how HEX-P can discern between thermal and non-thermal X-ray models by resolving the Fe line complex region at 6–7 keV. For faint X-ray sources that lack sufficient source counts for individual spectral analysis, HEX-P will be highly effective in classifying source types via hardness ratios and stacked X-ray spectra. Given its broad energy band, HEX-P is less susceptible to X-ray absorption below a few keV, which can cause parameter degeneracy with intrinsic spectral parameters like kT and Γ. Unlike the limited bandpass of Chandra and XMM-Newton data, HEX-P can investigate the broad-band hardness or quantile ratios, which are more intrinsic to source types and properties. For instance, one can define hardness ratios between 3–10 and 10–40 keV bands, which are nearly unaffected by X-ray absorption and dust scattering effects.

FIGURE 5. Simulated HEX-P LET (black) and HET (red) spectra of thermal (A) and non-thermal (B) X-ray sources in the GC, assuming 100 ks exposure. We fit an absorbed power-law model to both sources. The thermal source exhibits Fe line residuals at 6–7 keV (shaded area), which are detected with 5-σ significance.
3) Detection of X-ray variability and periodic signals: Multi-epoch HEX-P observations of the GC regions can provide long-term X-ray variability data over the course of days and weeks. Year-scale X-ray variabilities can be investigated by combining HEX-P with archived X-ray data obtained by NuSTAR, Chandra and XMM-Newtonover the past decades. These long-term X-ray variability data can be useful in identifying mCV types. For example: compared to IPs, polars often display significant flux variations (by more than an order of magnitude) in the optical and X-ray band due to higher variability in mass accretion rates. In the GC and bulge regions, optical observations are hindered by significant extinction and dust scattering, whereas IR emission of mCVs is usually dominated by companion stars. Chandra observations have shown promise in detecting orbital periods from a handful of mCVs in the LW (Hong et al., 2012; Bao and Li, 2020), which HEX-P could also achieve by using several sophisticated timing methods with only hundreds of source counts. Based on the simulation-based detection rate from Bao and Li (2020), in the case of a sinusoidal light curve, the detection completeness with significance over 99% by GL algorithm (Gregory and Loredo, 1992) was generally ≳ 20% and 50% for source counts ≳ 100 and 300, respectively. Moreover, at high amplitude variation (Fmax/Fmin ≳ 4), which is typical for polars, the detection completeness will be
5.2 X-ray transients
The GC region hosts a dense population of XRBs and X-ray transients, as revealed by deep X-ray surveys and long-term monitoring over the last two decades (Muno et al., 2005; Degenaar and Wijnands, 2010; Hailey et al., 2018; Mori et al., 2021). In the crowded GC region, HEX-P is uniquely suited to make these requisite hard X-ray (
5.3 Pulsars
In 2009, Fermi-LAT detected an excess of GeV gamma-ray emission extending over the central
There are a handful of pulsar candidates such as non-thermal, hard X-ray sources detected by Chandra and NuSTAR. For instance, a runaway NS called the “Cannonball”, detected in the radio and X-ray bands (Zhao et al., 2013), exhibited non-thermal X-ray emission extending up to 30 keV (Nynka et al., 2013). Furthermore, two PWNe (G359.95-0.04 and G0.13-0.11) are associated with TeV sources (Mori et al., 2015; Zhang et al., 2020). While Chandra has resolved PWNe X-ray point sources within both PWNe, no pulsations have been detected yet. Since the search for radio pulsations is severely hampered by significant dispersion measures, X-ray telescopes equipped with high angular and timing resolution, such as HEX-P, would be an ideal pulsar finder in the GC and Bulge. Figure 6 illustrates the sensitivity of HEX-P in detecting a

FIGURE 6. The map on the top left shows a simulated LET image of the pulsar wind nebula G359.95-0.04 and its surrounding region, using SIXTE. Equivalent maps were produced for the three additional instruments listed in the plot, and were used to estimate the source flux and the sky and instrumental background in the circular sources shown (calibrated on the mean HPD of the telescope). Simulated NuSTAR and HEX-P HET data take into account the flux from two modules. The color coding is consistent in the plots (e.g., cyan for HEX-P-HET). Percentages in the legend indicate the source to background (all components) flux ratio in the region. The shaded regions in the other plots show the pulsed flux fraction (ratio between the pulsed flux and the total flux) detectable at
5.4 Probing the distribution of compact object binaries in the nuclear star cluster
The central 10 pc region of our Galaxy contains a dense concentration of stars and compact objects around the SMBH at Sgr A*. Within the NSC, which boasts the densest stellar environment in our Galaxy, Chandra detected a few hundred X-ray point sources (Zhu et al., 2018). Above 20 keV, NuSTAR discovered diffuse hard X-ray emission spanning an area of approximately 8 pc × 4 pc, which coincides with the NSC (Perez et al., 2015). This emission, known as the central hard X-ray emission (CHXE), is predominantly attributed to an unresolved population of mCVs with a mean WD mass of MWD ∼ 0.9M⊙ (Hailey et al., 2016). However, the core of the CHXE/NSC within the central few pc region could not be resolved by NuSTAR due to the limited angular resolution and presence of hard X-ray filaments.
The central

FIGURE 7. (A) Simulated HEX-P/HET image of the central 10 pc region in the 20–40 keV band. Sgr A* and the CHXE are indicated by a black dot and a cyan ellipse, respectively. X-ray filaments are denoted by f1, f2, f3, etc. A complete list of the corresponding filament names and their spectral parameters can be found in Supplementary Table S3 in the Supplementary Material. (B) Simulated radial profiles of hard X-ray emission (20–40 keV) in the central 4 pc, assuming a cusp (blue) or deficit (black) of hard IPs at r < 3 pc around Sgr A*.
5.5 Resolving the composition of the GRXE through the Limiting Window
While a majority of the thousands of sources detected by Chandra in the GC are believed to be mCVs (Muno et al., 2009), their specific source types, average WD masses, and their dependence on the X-ray luminosity (LX) and radial distance from Sgr A* are still largely unknown. It is the study of diffuse X-ray emission that has revealed the presence of distinct populations of CVs between the GC and ridge. In contrast to the CHXE, which has kT ∼ 35 keV, the Galactic ridge exhibits softer diffuse X-ray emission with kT ∼ 8–15 keV (Türler et al., 2010; Yuasa et al., 2012; Perez et al., 2019). Several studies of this diffuse X-ray emission suggest that the softer ridge X-ray emission is due to an unresolved population of polars and/or nmCVs (Hailey et al., 2016; Xu et al., 2016). However, it is challenging to separate the diffuse X-ray emission into distinct CV populations (with varying LX and kT distributions) solely through analysis of diffuse hard X-ray continuum or Fe line emission.
The Limiting Window (LW), located 1.4° south of Sgr A*, is a region with low extinction that allows for the study of X-ray sources in the GC and Bulge regions without significant obscuration. A deep exposure of the LW with Chandra has resolved a large portion of the Fe line emission (≳80%) into
For our simulations, we considered different X-ray source compositions in the LW. For example, we assigned kT = 8, 15 or 35 keV to the X-ray sources in the LW. Figure 8 shows simulated LET (0.2–25 keV) and HET (3–40 keV) images of a section of the LW. Known mCVs from Hong et al. (2012) were given their best-fit model parameters specific to each source, while all other Chandra sources within this region were assumed to have spectra characterized by an absorbed APEC model with kT = 15 keV. HEX-P is expected to detect 53 and 29 sources above 4σ significance among 235 and 261 Chandra sources used as an input to SIXTE simulation for LET and HET, respectively. For different plasma temperatures (kT = 8 and 35 keV), we found that HEX-P can detect a similar number of Chandra sources in broad energy bands beyond 8 keV. Eventually, broad-band X-ray spectral data obtained by HEX-P will allow us to determine the X-ray source composition in the LW. More specifically, we aim to measure 1) plasma temperatures of the known mCVs, 2) the mean plasma temperature of other bright X-ray sources (LX ≳ 1032 erg s−1), and 3) the mean plasma temperature of faint X-ray sources (LX ≲ 1032 erg s−1). For group 1), we will analyze HEX-P and archived Chandra spectra of the known mCVs individually. For groups 2) and 3), stacking their LET and HET spectra, along with archived Chandra data, will allow us to measure their mean plasma temperatures. In all cases, the hard X-ray coverage by HEX-P is crucial to determine their plasma temperatures accurately (with

FIGURE 8. Simulated HEX-P LET (A) and HET (B) images of a section of the LW based on Chandra source positions and fluxes (Hong et al., 2009) assuming an absorbed APEC model (kT = 15 keV). Magnetic CVs identified in Hong et al. (2012) are encircled in yellow.
6 Diffuse X-ray sources in the Galactic center
The GC hosts a zoo of various, unique types of diffuse X-ray sources, containing both powerful particle accelerators (e.g., Sgr A* BH, SNRs, PWNe, star clusters) and targets bombarded by relativistic cosmic rays and X-rays (e.g., molecular clouds and filaments). HEX-P will survey all primary particle accelerators, molecular clouds (MCs), and X-ray filaments to obtain a whole picture of the CR spatial and energy distributions in the GC. Broad-band X-ray spectroscopy and excellent spatial resolution of HEX-P are crucial for distinguishing thermal and non-thermal diffuse X-ray emission. Combined with the CTAO GC survey, HEX-P will obtain the most accurate multi-wavelength SED data over the X-ray and TeV bands.
6.1 Molecular clouds
While the SMBH at Sgr A* is currently dormant, only occasionally emitting X-ray flares (see §4), a series of X-ray observations of the CMZ that Sgr A* used to be more active in the recent past. Following the first detection of hard X-ray emission from Sgr B2, it was suggested that the molecular cloud (MC) reflected bright X-ray flares, presumably emitted from Sgr A* (Sunyaev et al., 1993). The X-ray reflection exhibits Compton scattering, fluorescent Fe emission lines at 6.4 and 7.06 keV, and photo-absorption. In addition, both the X-ray continuum and Fe fluorescent lines have been observed to decrease over the last two decades as the X-ray flare propagated through the Sgr B2 cloud (Koyama et al., 1996; Sunyaev and Churazov, 1998; Terrier et al., 2010; 2018; Nobukawa et al., 2011; Zhang et al., 2015). Propagation of X-ray echoes is also detected from other MCs in the CMZ (e.g. Muno et al., 2007; Ponti et al., 2010; Clavel et al., 2013; Ryu et al., 2013; Chuard et al., 2018; Terrier et al., 2018). High energy observations with INTEGRAL (Sgr B2) and NuSTAR (Sgr A and B2) have shown that the reflection signal extends above 10 keV and has been detected up to 100 keV (Revnivtsev et al., 2004; Terrier et al., 2010; Mori et al., 2015; Zhang et al., 2015; Kuznetsova et al., 2022). NuSTAR played a crucial role in resolving hard X-ray continuum emission from Sgr B2 and Sgr A complex clouds, while Sgr C has not been observed with NuSTAR due to the high background contamination (Mori et al., 2015; Zhang et al., 2015; Rogers et al., 2022).
While the variable X-ray emission is primarily caused by single Compton scatterings, another non-variable X-ray component may emerge after the X-ray light front passes the clouds. This “constant” X-ray emission component may be caused by 1) multiply-scattered X-ray photons confined within dense cloud cores (Sunyaev and Churazov, 1998; Molaro et al., 2016; Khabibullin et al., 2020; Sazonov et al., 2020) and/or 2) non-thermal X-ray emission and collisional ionization by cosmic-rays (Tatischeff et al., 2012). Recent X-ray observations indicated that clouds in Sgr B2 (Kuznetsova et al., 2022; Rogers et al., 2022) and the Arches cluster (Kuznetsova et al., 2019) may have entered the constant X-ray emission phase. Diffuse TeV gamma-ray emission was observed to coincide with the MCs in the GC region, indicating that the clouds are bombarded by energetic CRs (Aharonian et al., 2006; van Eldik and H. E. S. S. Collaboration, 2008; Beilicke and VERITAS Collaboration, 2012; Sinha et al., 2022). Overall, extensive X-ray observations over the last two decades revealed that the MCs exhibit different time evolution and X-ray properties, likely due to multiple X-ray outbursts from Sgr A* and different cosmic-ray bombardment mechanisms.
HEX-P will survey all prominent MCs, including Sgr A, B1, B2 and C, in the primary GC observation program (Table 1). The HEX-P survey will capture the X-ray landscape of the MCs through both the Fe fluorescent line at 6.4 keV and non-thermal X-ray continuum emission in the early 2030s. HEX-P will likely conduct follow-up observations of these clouds later to monitor X-ray variabilities. All MC complexes with X-ray variability will be covered with at least 100 ks exposure. Detection of changes in the morphology and spectral parameters of the MC emission will determine whether X-ray echoes are still propagating through the clouds or the cosmic-ray bombardment component is dominating. The significantly lower stray-light background will allow us to investigate the hard X-ray morphology of the CMZ with HEX-P far more precisely than NuSTAR. To demonstrate the capability of HEX-P on the MC science, we present simulation results for Sgr B2, whose emission has been decreasing since the 1990s and has now likely reached a faint constant level. We adopted the latest NuSTAR (Zhang et al., 2015; Rogers et al., 2022) and INTEGRAL (Kuznetsova et al., 2022) observation results for XSPEC simulations (Zhang et al., 2015). Figure 9 shows the simulated HEX-P spectra of the Sgr B2 core. Our simulation demonstrates that the non-thermal X-ray component will be detected at

FIGURE 9. Simulated HEX-P spectra of the Sgr B2 core (r < 90″) based on our phenomenological model (see text and Zhang et al., 2015) obtained with 100 ks exposure time. The model was corrected for foreground absorption and consisted of a thermal background emission with a temperature of kT = 1.9 keV, an intrinsically absorbed power-law with a photon index of Γ = 1.9 and two Gaussian emission lines Fe Kα (6.4 keV) and Kβ (7.06 keV), with an unabsorbed non-thermal flux in the 10–40 keV energy band of F10−40 keV = 1.9 × 10−12 erg cm−2 s−1 (other parameters are listed in Table 2 in Zhang et al., 2015). Red points correspond to the simulated LET data (2–10 keV), blue and green to the HET data (2–70 keV). Arrows show 2σ upper limits. The total model is represented by stepped solid lines of the colors corresponding to the data.
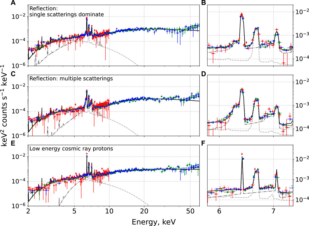
Furthermore, we investigated whether HEX-P can discriminate between different emission models based on broad-band X-ray spectral data. We considered two main scenarios: 1) reflection of past X-ray flares and 2) non-thermal bremsstrahlung emission and collisional excitation by low-energy cosmic-ray protons (LECRp). In the reflection scenario, the spectrum can be dominated by single or multiple scatterings, depending on the location of the X-ray light front. To clarify whether these scenarios can be discerned by HEX-P, we simulated Sgr B2 spectra for three models using 2013 NuSTAR flux measurements; the same low-energy component (absorption and astrophysical background) and either LECRp parameters (model described in Tatischeff et al., 2012) from NuSTAR (Zhang et al., 2015) or reflection parameters (CREFL16 model from Churazov et al., 2017) from INTEGRAL observations to account for the emission of Sgr B2 at high energies (Revnivtsev et al., 2004; Kuznetsova et al., 2022). Figure 10 illustrates the three different models and corresponding spectra simulated for the 90″-region of Sgr B2.

FIGURE 10. Sgr B2 spectra simulated based on the CREFL16 (A,B), CREFL16 multiple scatterings only (C,D), LECRp (E,F) models in the 2–70 keV energy band with 300 ks exposure. Arrows show 2σ upper limits. The right panels represent the strongest emission lines of the Sgr B2 spectrum. Red points correspond to the simulated LET data in the 2–10 keV energy band, blue and green to the HET data in 2–70 keV. The right panels show the Fe Kα and Kβ emission lines, at 6.40 and 7.06 keV energies, respectively, caused by non-thermal processes. Between them, there is the Fe 6.7 keV emission line related to the thermal emission component. For illustration purposes, the spectra plotted were further grouped to reach either 7σ or 7 bins of the fitted spectra per bin.
The Compton shoulder is clearly present below the Fe fluorescent lines (both for Kα and Kβ) for the reflection models (Khabibullin et al., 2020), while the LECR spectra exhibit only the narrow emission lines (Tatischeff et al., 2012). The multiple-scattering case in the middle panel can be identified well by the large line ratio
Overall, HEX-P′s Fe line spectroscopy and broad-band X-ray data can distinguish between the X-ray reflection and cosmic-ray models unambiguously. HEX-P′s spatial and spectral resolutions will allow us to trace the X-ray morphology evolution and characterize the Fe line profiles in detail, respectively. HEX-P′s broadband X-ray spectral data will lead to measuring the spectral index of past X-ray flares from Sgr A* and bombarding CRs. In the former case, this is a unique opportunity to investigate the mechanism of Sgr A* X-ray flares that occurred a few hundred years ago. For the latter, we can map out the population of CRs in the GC region in conjunction with future TeV observations by CTAO.
6.2 X-ray filaments
A unique phenomenon in the GC region is the existence of numerous radio and X-ray filaments (Yusef-Zadeh et al., 1984; Morris and Serabyn, 1996). The origin and formation of these filaments have been a long-standing question for decades. Within the central
At higher energies, filaments at smaller spatial scales have also been detected in the X-ray band. About 30 parsec-long X-ray filaments have been detected so far, some of which have radio counterparts (Lu et al., 2008; Muno et al., 2008; Johnson et al., 2009; Zhang et al., 2014; Ponti et al., 2015a; Zhang et al., 2020). Out of
HEX-P data above 40 keV will provide an unprecedentedly pristine view of non-thermal X-ray emission in the central 10 pc region. While the central PWN G359.95-0.04 and several X-ray filaments have been detected by NuSTAR above 40 keV (Mori et al., 2015; Nynka et al., 2015), other (potentially hidden) non-thermal X-ray sources remain largely unresolved. These non-thermal X-ray sources in the GC represent energetic particle accelerators (e.g., PWNe) or tracers of TeV–PeV electrons emitting synchrotron X-rays. It is still unclear just how high the maximum energy of X-rays emitted from the filaments around Sgr A* can reach (Li et al., 2013). This information is crucial for measuring the maximum energies of relativistic electrons in the region. HEX-P is poised to resolve high-energy X-ray emission from a much larger number of X-ray filaments than NuSTAR and potentially discover new filaments. For example, a 500 ks HEX-P simulation of the central 13′ × 13′field results in detecting 8 out of the 12 known X-ray filaments above 40 keV (Figure 11). A full list of all filaments included in this simulation—along with their spectral parameters—is provided in Supplementary Table S3 in the Supplementary Material. Figure 11B shows simulated HEX-P spectra for three filaments with 100 ks exposure: Sgr A-E (G359.889−0.081), G0.007−0.014 and G0.029−0.06, respectively. The simulated spectra can be fitted well with an absorbed power-law model extending beyond 50 keV. For brighter filaments like Sgr A-E and G0.029-0.06, spectral indices can be constrained to less than 5%. A spectral break or cutoff below 50 keV can be ruled out. Determination of the maximum X-ray photon energy is essential to infer the energy of parent electrons. Unlike the current and proposed soft X-ray telescopes operating below 8–10 keV, broadband X-ray spectroscopy with HEX-P can measure the X-ray spectral shapes robustly with minimal parameter degeneracy issues with NH. Multi-wavelength SED and morphology studies of these filaments with MeerKAT/SKA and HEX-P will allow us to determine ambient B-field and broadband particle energy distribution. In summary, HEX-P observation of X-ray and radio filaments will help to reveal the origin of relativistic particles in the GC, whether they are driven by common PeVatron accelerators in the GC (e.g., Sgr A* BH) or associated with local particle accelerators such as PWNe, SNRs, stellar winds or magnetic reconnections within the filaments.

FIGURE 11. (A) Simulated HEX-P 40–80 keV image of the GC region. Eight of the 12 simulated non-thermal X-ray filaments are resolved. A list of the filaments and their spectral parameters is given in Supplementary Table S3 in the Supplementary Material. (B) Simulated HEX-P spectra of three of those filaments. LET and HET spectra are shown in black and red, respectively. HEX-P will be able to constrain their spectral indices far better than current instruments.
7 HEX-P science in other regions of the Milky Way
Besides the primary observation program of the GC and Bulge regions described above, below we list several unique HEX-P science cases that can be explored through GO observations. These observation ideas have not been feasible with NuSTAR or stem from expanding the previous NuSTAR observations.
7.1 Investigation of X-ray sources in star-forming regions
Outside the GC and Bulge, a HEX-P survey of several young massive clusters (YMCs) and star-formation regions in our Galaxy can be conducted to search for hidden BH–OB binaries, detect hard X-ray flares from young stellar objects (affecting the dynamics of protostellar disks) and identify hard X-ray sources previously detected by NuSTAR. YMCs, ranging in age from approximately 1 to 10 million years, are characterized by the presence of massive star-forming regions. These clusters offer valuable insights into ongoing star formation and often host compact objects such as NSs and stellar-mass BHs. This is due to the relatively short lifetimes of massive stars, which eventually undergo core-collapse supernovae. The Orion Nebula is particularly well-suited for studying a wide range of X-ray activities, including hard X-ray emission from BH binaries and flares from massive young stars. The Norma spiral arm, where NuSTAR detected
7.1.1 Search for black hole binaries with OB stars
It is estimated that the Milky Way harbors a substantial number of stellar mass BHs, ranging from 108 to 109. However, only around 20 BHs have been dynamically confirmed, and approximately 50 candidates have been identified mainly based on their X-ray characteristics. This discrepancy highlights the scarcity of confirmed BHs compared to the estimated population. In addition, these confirmed BH systems are predominantly LMXBs, in contrast to the dearth of BH-HMXBs. Currently, there are only six known HMXBs that contain a BH companion. Among them, Cygnus X-1 is the only system with an undisputed BH companion. Thus, the discovery of X-ray emission from just a few new BH–OB systems would significantly impact our understanding of these systems and their evolution.
The majority of massive stars are formed as binary or high multiple systems, as supported by studies such as Moe and Di Stefano (2017). Langer et al. (2020) estimated that

FIGURE 12. NuSTAR images of the Orion Nebula Cluster (A) and light curve of one of the variables (B). The hard (
While Gaia′s sensitivity does extend to systems with shorter orbital periods, the detection of BH–OB systems with periods ≲ 10 days can be facilitated by observing X-ray emission resulting from wind accretion onto the BH (Gomez and Grindlay, 2021). This is because BH–OB systems in close binaries with short orbital periods are more likely to have accretion onto the BH from the powerful stellar wind of the OB star, leading to the generation of X-ray emission. In particular, the presence of hard X-ray emission above 10 keV serves as a definitive signature of the BH’s existence, especially when combined with knowledge of the orbital mass (which allows for differentiation between BH–OB and NS–OB systems). This is due to the fact that single OB stars or (massive) active binaries rarely emit hard X-rays. Eta Carinae stands as the sole known massive binary system exhibiting hard X-rays above 10 keV. Thus, observing such hard X-ray emission can provide crucial evidence for the presence of a BH in an BH–OB system.
In Gomez and Grindlay (2021), a novel method for identifying BH–OB systems is presented. The approach involves initially compiling a list of single-line spectroscopic binaries that exhibit no observable stellar spectrum of the secondary (with absorption lines) companion (hence, the binary is a SB1). Such systems are strong candidates to have secondary companions that are evolved stellar remnants: either a NS or a stellar-mass BH. These selected systems are then subjected to follow-up observations using NuSTAR to investigate the presence of hard X-ray emission originating from the binary. The critical signature of a NS or BH secondary is that the X-ray spectrum is detectable above 10 keV since isolated O stars have soft thermal spectra with kT ∼ 1–3 keV and LX ∼ 10–7 Lbol ∼ 1031 erg s−1. According to El-Badry et al. (2023a,b), BH binary systems with Porb ≲ 10 days are expected to exhibit X-ray fluxes greater than ∼ 10–13 erg s−1 cm−2. These estimations suggest that both soft and hard X-ray emission from close BH–OB systems in nearby massive clusters are detectable with HEX-P, for example, by surveying the central 23′ × 23′field of the Orion nebula, containing 1,600 Chandra X-ray sources (Getman et al., 2005), with 2 × 2 pointings (60 ks exposure each) and an additional 60 ksec observation at the center. HEX-P′s hard X-ray search for BH–OB binary candidates in several YMCs (alternatively, hard X-ray sources identified by HEX-P in these fields can be further investigated using follow-up optical/infrared spectroscopic studies to measure orbital mass) will complement the BH systems discovered through astrometric orbital solutions with Gaia, which are primarily sensitive to non-interacting, long-period systems.
7.1.2 Hard X-ray flares from young stellar objects
Flares from stars are the most energetic events in their star systems, but our understanding of them, including flare distributions and their long-term influence on orbiting planets, is limited, primarily to our own sun. The situation becomes even more uncertain for flares from young stellar objects (YSOs), such as pre-main sequence stars (PMS). Deep X-ray surveys, like COUP, offer valuable opportunities to gain knowledge about flares originating from YSOs. According to the standard picture, a flare occurs due to magnetic reconnection, which accelerates non-thermal electrons along magnetic field lines, resulting in the heating of the chromosphere and corona. Based on the largest flares observed in COUP, Favata et al. (2005) suggested the existence of additional flare channels in YSOs, where reconnection events in magnetic field lines connect the star and the protoplanetary disk. Getman et al. (2008a,b) also found that the brightest flare distribution, in terms of peak luminosity or temperatures, significantly deviates from expectations based on extrapolations from main sequence stars.
The evolution of a protoplanetary disk relies on the strength of the interaction between the magnetic field and ionized matter within the disk. High-temperature flares emit energetic photons that play a significant role in ionizing the disk, creating what is known as an active zone since they penetrate deep into the disk. The active zone, in turn, facilitates the transport of matter throughout the disk (Glassgold et al., 2004) through mechanisms such as the magnetorotational instability (Glassgold et al., 1997). The influence of hard X-rays is particularly important as they penetrate deeper into the disk, making the hard X-ray luminosity a key factor in determining the accretion rate of a protostar.
The simultaneous observation of the Orion Nebula using NuSTAR and Chandra aimed to study the properties of flares from YSOs in the hard X-ray range (
7.2 Magnetic cataclysmic variables
The knowledge of WD masses, metallicities, and source types (e.g., magnetic vs. nmCVs) offers valuable insights into the formation and evolution of CVs in various environments within our Galaxy (Mukai, 2017). The high sensitivity and wide spectral coverage of HEX-P present a unique opportunity to investigate the spatial evolution of the seemingly distinct CV populations in the GC, Bulge, Ridge and solar neighborhood. Also, as described in the next section, accurately measuring the WD masses of mCVs—a task that HEX-P is uniquely suited for—allows us to probe the fundamental properties of these systems, such as 1) the long-term mass evolution of mCVs toward the Chandrasekhar mass limit with IPs, and 2) the origin of WD magnetic fields with polars. In the near future, eROSITA, ZTF, and Rubin all-sky surveys are expected to discover a large number of mCVs in the Galactic Disk, including rare classes of CVs such as AM CVn stars, novae, and fast-spinning CVs (Rodriguez et al., 2023). HEX-P will provide broad-band X-ray spectral and timing data of these exotic CVs, allowing us to study and understand those new populations with physically meaningful interpretations.
7.2.1 White dwarf mass measurements from magnetic CVs
Whether mCVs gain or lose mass is of great significance for probing the two competing channels for type Ia supernovae (SNIa) (Pala and Gänsicke, 2017). In the double-degenerate case, two WDs in a binary system merge to form a WD with M > MCh (the Chandrasekhar mass limit, MWD ∼ 1.4M⊙); in the alternative single-degenerate model, a CO WD increases its mass at it accretes matter from its companion, eventually exceeding the Chandrasekhar limit. It is, however, still unknown whether CVs increase in mass over time due to accretion or lose mass through episodic nova eruptions. Interestingly, some of the newly identified IPs originally detected by INTEGRAL were found to have WD masses close to the Chandrasekhar limit (Tomsick et al., 2016; Tomsick et al., 2023). However, the INTEGRAL sources are intrinsically biased toward a population of more massive IPs, which generally possess harder X-ray spectra. In order to robustly test the CV mass evolution models such as the eCAML model (Schreiber et al., 2016), it is necessary to collate WD masses and characterize their distribution from a larger, unbiased sample of IPs. Polars, on the other hand, are more suited for studying the WD mass and B-field correlation, in order to test the common envelope (CE) model. The CE model is a leading but unconfirmed candidate for WD B-field formation where differential rotation between the decaying binary orbit and the CE leads to a magnetic dynamo, enhancing the B-field in the WD. One of the most robust predictions of CE models is an anti-correlation between B and MWD (Briggs, 2019). Measuring the WD masses of polars will allow us to explore the B vs. M correlation because their B-fields (B = 7–240 MG) are well determined in the optical band. Since polars are typically fainter and more variable than IPs, HEX-P′s high sensitivity in the broad X-ray band will be crucial for determining their WD masses accurately.
X-ray spectral modeling of the accretion flow over a broad energy range (extending beyond

FIGURE 13. (A) Simulated HEX-P LET (black) and HET (red) spectra of an IP with MWD = 0.8M⊙. (B) Simulated 100-ks HEX-P LET (black) and HET (red) spectra of AE Aqr. The input model is composed of two thermal (APEC) and power-law components adopted from (Kitaguchi et al., 2014). The simulated HEX-P spectra are fit only with the two thermal components to illustrate the hard non-thermal X-ray excess above 10 keV.
7.2.2 Exotic classes of magnetic CVs
Among the thousands of CVs discovered by extensive optical and X-ray surveys, several rare classes of CVs have been identified, such as AM CVn stars (compact CVs with short orbital periods), recurrent novae, and fast-spinning CVs. While rare, the populations and high-energy emission mechanisms of these exotic CVs are considered extremely important in contemporary astrophysics. For example, given their tight orbits, AM CVn stars are among the most likely gravitational wave sources detectable by the future LISA observatory. In another example, recurrent novae such as RS Oph, which undergo episodic thermonuclear explosions on the WD surface that produce shocks from the ejecta slamming into the surrounding circumstellar winds, are of great interest for their strong X-ray and gamma-ray emission (Cheung et al., 2022). Of particular and increasing interest is a rare class of fast-spinning CVs (FSCVs) with Pspin ≲ a few minutes. These FSCVs discovered so far are unique and distinct from regular accretion-powered CVs, including the WD “pulsar” systems (AR Sco and J191213.72-441045.1) and propeller CV (AE Aqr) (Pelisoli et al., 2023). In the near future, a larger population of undetected FSCVs may be revealed by the Rubin and eROSITA all-sky surveys (Pretorius and Mukai, 2014). HEX-P′s higher sensitivity and broad-band X-ray coverage will allow us to study a large number of FSCVs better than NuSTAR. For example, HEX-P will be able to detect the putative non-thermal X-ray component from AE Aqr above 10 keV (Figure 13B). As demonstrated for AR Sco (Takata et al., 2018), multi-wavelength observations of new WD pulsars will be invaluable for understanding their particle acceleration and non-thermal emission mechanisms.
8 Conclusion
In conclusion, HEX-P, as a probe-class mission, will offer an unprecedented opportunity to revolutionize our understanding of various astrophysical phenomena in the GC and broadly in Galactic astrophysics. With its high spatial resolution X-ray imaging, broad spectral coverage, and superior effective area, HEX-P is poised to provide groundbreaking insights into a variety of important questions in the GC. These include the past and current X-ray flares from the SMBH at Sgr A*, the populations of compact object binaries from the NSC to the GRXE, the primary particle accelerators, and cosmic-ray distributions in the GC. Outside the GC, HEX-P is expected to accurately measure WD masses of hundreds of mCVs, explore broadband X-ray spectral and timing properties of X-ray transients (including determining BH spins from Galactic BH transients), detect pulsars, and search for BH–OB binaries in young star clusters. These scientific objectives can be uniquely achieved by HEX-P or in synergy with other currently operating or future telescopes such as EHT, GRAVITY, MeerKAT, Roman, CTAO, and IceCube gen2. This paper, along with other Galactic science papers, highlights HEX-P′s enormous potential to uncover significant new insights into the most important astrophysical problems in the field of Galactic astrophysics in the 2030s.
Data availability statement
The raw data supporting the conclusion of this article will be made available by the authors, without undue reservation.
Author contributions
KM: Data curation, Methodology, Supervision, Writing–original draft, Writing–review and editing, Conceptualization. GP: Supervision, Writing–review and editing, Writing–original draft. MB: Writing–review and editing, Data curation, Formal Analysis, Investigation, Visualization. AB: Investigation, Writing–review and editing, Visualization. JG: Writing–review and editing, Supervision. JH: Writing–original draft, Data curation, Visualization. RK: Supervision, Writing–review and editing. EK: Investigation, Visualization, Writing–original draft. SM: Investigation, Methodology, Visualization, Writing–original draft, Writing–review and editing. AR: Writing–review and editing, Writing–original draft. GS: Investigation, Visualization, Writing–original draft. SZ: Supervision, Writing–original draft. TB: Writing–review and editing, Investigation. FB: Writing–review and editing. MC: Writing–review and editing. BC: Writing–review and editing. JaG: Writing–review and editing. JuG: Investigation, Writing–review and editing. BG: Writing–review and editing. AJ: Writing–review and editing. BL: Writing–review and editing. KM: Writing–review and editing. MN: Writing–review and editing. PP: Writing–review and editing. CS: Investigation, Visualization, Writing–review and editing. DS: Writing–review and editing. JT: Writing–review and editing.
Funding
The author(s) declare that no financial support was received for the research, authorship, and/or publication of this article.
Acknowledgments
We are grateful to J. Wilms, T. Dauser, C. Kirsch, M. Lorenz, L. Dauner, and the SIXTE development team for their assistance with SIXTE simulations. We would like to thank the reviewers for their thoughtful feedback, which helped improve an earlier draft of this paper.
Conflict of interest
The authors declare that the research was conducted in the absence of any commercial or financial relationships that could be construed as a potential conflict of interest.
Publisher’s note
All claims expressed in this article are solely those of the authors and do not necessarily represent those of their affiliated organizations, or those of the publisher, the editors and the reviewers. Any product that may be evaluated in this article, or claim that may be made by its manufacturer, is not guaranteed or endorsed by the publisher.
Supplementary material
The Supplementary Material for this article can be found online at: https://www.frontiersin.org/articles/10.3389/fspas.2023.1292130/full#supplementary-material
Footnotes
1The number of spectral bins, and so the number of trials, is proportional to the frequency and, for the FFT, to the observation length (because Δν = 1/T).
2For example, a
References
Aharonian, F., Akhperjanian, A. G., Bazer-Bachi, A. R., Beilicke, M., Benbow, W., Berge, D., et al. (2006). Discovery of very-high-energy γ-rays from the galactic centre ridge. Nature 439, 695–698. doi:10.1038/nature04467
Anastasopoulou, K., Ponti, G., Sormani, M. C., Locatelli, N., Haberl, F., Morris, M. R., et al. (2023). Study of the excess Fe XXV line emission in the central degrees of the Galactic centre using XMM-Newton data. Astronomy Astrophysics 671, A55. doi:10.1051/0004-6361/202245001
Arnaud, K. A. (1996). “XSPEC: the first ten years,” in Astronomical data analysis software and systems V, A.S.P. Conference series, vol. 101. Editors G. H. Jacoby, and J. Barnes, 17.
Baganoff, F. K., Bautz, M. W., Brandt, W. N., Chartas, G., Feigelson, E. D., Garmire, G. P., et al. (2001). Rapid X-ray flaring from the direction of the supermassive black hole at the Galactic Centre. Nature 413, 45–48. doi:10.1038/35092510
Bao, T., and Li, Z. (2020). Periodic X-ray sources in the Galactic bulge: application of the Gregory-Loredo algorithm. MNRAS 498, 3513–3534. doi:10.1093/mnras/staa2603
Barrière, N. M., Tomsick, J. A., Baganoff, F. K., Boggs, S. E., Christensen, F. E., Craig, W. W., et al. (2014). NuSTAR detection of high-energy X-ray emission and rapid variability from Sagittarius A* flares. Astrophysical J. 786, 46. doi:10.1088/0004-637X/786/1/46
Beilicke, M.VERITAS Collaboration (2012). The Galactic Center region imaged by VERITAS. Nucl. Instrum. Methods Phys. Res. A 692, 208–211. doi:10.1016/j.nima.2012.01.045
Bortolas, E., Mapelli, M., and Spera, M. (2017). Supernova kicks and dynamics of compact remnants in the Galactic Centre. MNRAS 469, 1510–1520. doi:10.1093/mnras/stx930
Brandt, T. D., and Kocsis, B. (2015). Disrupted globular clusters can explain the galactic center gamma-ray excess. ApJ 812, 15. doi:10.1088/0004-637X/812/1/15
Briggs, G. P. (2019). The genesis of magnetic fields in white dwarfs. arXiv e-prints, arXiv:1907.04513.
Byckling, K., Mukai, K., Thorstensen, J. R., and Osborne, J. P. (2010). Deriving an X-ray luminosity function of dwarf novae based on parallax measurements. MNRAS 408, 2298–2311. doi:10.1111/j.1365-2966.2010.17276.x
Chakrabarti, S., Simon, J. D., Craig, P. A., Reggiani, H., Brandt, T. D., Guhathakurta, P., et al. (2023). A noninteracting galactic black hole candidate in a binary system with a main-sequence star. Astrophysical J. 166, 6. doi:10.3847/1538-3881/accf21
Cheng, K. S., Chernyshov, D. O., Dogiel, V. A., Ko, C. M., and Ip, W. H. (2011). Origin of the Fermi bubble. Astrophysical J. Lett. 731, L17. doi:10.1088/2041-8205/731/1/L17
Cheung, C. C., Johnson, T. J., Jean, P., Kerr, M., Page, K. L., Osborne, J. P., et al. (2022). Fermi LAT gamma-ray detection of the recurrent nova RS ophiuchi during its 2021 outburst. Astrophysical J. 935, 44. doi:10.3847/1538-4357/ac7eb7
Chuard, D., Terrier, R., Goldwurm, A., Clavel, M., Soldi, S., Morris, M. R., et al. (2018). Glimpses of the past activity of Sgr A* inferred from X-ray echoes in Sgr C. A&A 610, A34. doi:10.1051/0004-6361/201731864
Churazov, E., Khabibullin, I., Ponti, G., and Sunyaev, R. (2017). Polarization and long-term variability of Sgr A* X-ray echo. MNRAS 468, 165–179. doi:10.1093/mnras/stx443
Clavel, M., Terrier, R., Goldwurm, A., Morris, M. R., Ponti, G., Soldi, S., et al. (2013). Echoes of multiple outbursts of Sagittarius A⋆revealed byChandra. A&A 558, A32. doi:10.1051/0004-6361/201321667
Dauser, T., Falkner, S., Lorenz, M., Kirsch, C., Peille, P., Cucchetti, E., et al. (2019). SIXTE: a generic X-ray instrument simulation toolkit. A&A 630, A66. doi:10.1051/0004-6361/201935978
Degenaar, N., and Wijnands, R. (2010). A four-year baseline Swift study of enigmatic X-ray transients located near the Galactic center. A&A 524, A69. doi:10.1051/0004-6361/201015322
Degenaar, N., Wijnands, R., Cackett, E. M., Homan, J., in’t Zand, J. J. M., Kuulkers, E., et al. (2012). A four-year XMM-Newton/Chandra monitoring campaign of the Galactic centre: analysing the X-ray transients. A&A 545, A49. doi:10.1051/0004-6361/201219470
Degenaar, N., Wijnands, R., Miller, J. M., Reynolds, M. T., Kennea, J., and Gehrels, N. (2015). The Swift X-ray monitoring campaign of the center of the Milky Way. J. High Energy Astrophysics 7, 137–147. doi:10.1016/j.jheap.2015.03.005
De Luca, A., Caraveo, P. A., Mereghetti, S., Tiengo, A., and Bignami, G. F. (2006). A long-period, violently variable X-ray source in a young supernova remnant. Science 313, 814–817. doi:10.1126/science.1129185
DeWitt, C., Bandyopadhyay, R. M., Eikenberry, S. S., Blum, R., Olsen, K., Sellgren, K., et al. (2010). Near-infrared counterparts of Chandra X-ray sources toward the galactic center. Astrophysical J. 721, 1663–1679. doi:10.1088/0004-637X/721/2/1663
Dexter, J., and O’Leary, R. M. (2014). The peculiar pulsar population of the central parsec. Astrophysical J. Lett. 783, L7. doi:10.1088/2041-8205/783/1/L7
Dodds-Eden, K., Porquet, D., Trap, G., Quataert, E., Haubois, X., Gillessen, S., et al. (2009). Evidence for X-ray synchrotron emission from simultaneous mid-infrared to X-ray observations of a strong Sgr A* flare. Astrophysical J. 698, 676–692. doi:10.1088/0004-637X/698/1/676
Ebisawa, K., Tsujimoto, M., Paizis, A., Hamaguchi, K., Bamba, A., Cutri, R., et al. (2005). Chandra deep X-ray observation of a typical galactic plane region and near-infrared identification. Astrophysical J. 635, 214–242. doi:10.1086/497284
El-Badry, K., Rix, H.-W., Cendes, Y., Rodriguez, A. C., Conroy, C., Quataert, E., et al. (2023a). A red giant orbiting a black hole. MNRAS 521, 4323–4348. doi:10.1093/mnras/stad799
El-Badry, K., Rix, H.-W., Quataert, E., Howard, A. W., Isaacson, H., Fuller, J., et al. (2023b). A Sun-like star orbiting a black hole. MNRAS 518, 1057–1085. doi:10.1093/mnras/stac3140
Eraerds, T., Antonelli, V., Davis, C., Hall, D., Hetherington, O., Holland, A., et al. (2021). Enhanced simulations on the athena/wide field imager instrumental background. J. Astronomical Telesc. Instrum. Syst. 7, 034001. doi:10.1117/1.JATIS.7.3.034001
Favata, F., Flaccomio, E., Reale, F., Micela, G., Sciortino, S., Shang, H., et al. (2005). Bright X-ray flares in orion young stars from COUP: evidence for star-disk magnetic fields? Astrophysical J. Suppl. Ser. 160, 469–502. doi:10.1086/432542
Fornasini, F. M., Tomsick, J. A., Hong, J., Gotthelf, E. V., Bauer, F., Rahoui, F., et al. (2017). The NuSTAR hard X-ray survey of the norma arm region. Astrophysical J. Suppl. Ser. 229, 33. doi:10.3847/1538-4365/aa61fc
Gautam, A., Crocker, R. M., Ferrario, L., Ruiter, A. J., Ploeg, H., Gordon, C., et al. (2022). Millisecond pulsars from accretion-induced collapse as the origin of the Galactic Centre gamma-ray excess signal. Nat. Astron. 6, 703–707. doi:10.1038/s41550-022-01658-3
Generozov, A., Stone, N. C., Metzger, B. D., and Ostriker, J. P. (2018). An overabundance of black hole X-ray binaries in the Galactic Centre from tidal captures. MNRAS 478, 4030–4051. doi:10.1093/mnras/sty1262
Genzel, R., Eisenhauer, F., and Gillessen, S. (2010). The Galactic Center massive black hole and nuclear star cluster. Rev. Mod. Phys. 82, 3121–3195. doi:10.1103/RevModPhys.82.3121
Genzel, R., Schödel, R., Ott, T., Eckart, A., Alexander, T., Lacombe, F., et al. (2003). Near-infrared flares from accreting gas around the supermassive black hole at the Galactic Centre. Nature 425, 934–937. doi:10.1038/nature02065
Getman, K. V., Feigelson, E. D., Broos, P. S., Micela, G., and Garmire, G. P. (2008a). X-ray flares in orion young stars. I. Flare characteristics. Astrophysical J. 688, 418–436. doi:10.1086/592033
Getman, K. V., Feigelson, E. D., Micela, G., Jardine, M. M., Gregory, S. G., and Garmire, G. P. (2008b). X-ray flares in orion young stars. II. Flares, magnetospheres, and protoplanetary disks. ApJ 688, 437–455. doi:10.1086/592034
Getman, K. V., Flaccomio, E., Broos, P. S., Grosso, N., Tsujimoto, M., Townsley, L., et al. (2005). Chandra orion ultradeep project: observations and source lists. Astrophysical J. Suppl. Ser. 160, 319–352. doi:10.1086/432092
Ghez, A. M., Wright, S. A., Matthews, K., Thompson, D., Le Mignant, D., Tanner, A., et al. (2004). Variable infrared emission from the supermassive black hole at the center of the Milky way. ApJL 601, L159–L162. doi:10.1086/382024
Glassgold, A. E., Najita, J., and Igea, J. (1997). X-ray ionization of protoplanetary disks. ApJ 480, 344–350. doi:10.1086/303952
Glassgold, A. E., Najita, J., and Igea, J. (2004). Heating protoplanetary disk atmospheres. ApJ 615, 972–990. doi:10.1086/424509
Gomez, S., and Grindlay, J. E. (2021). Optical analysis and modeling of HD96670, a new black hole X-ray binary candidate. ApJ 913, 48. doi:10.3847/1538-4357/abf24c
Goodenough, L., and Hooper, D. (2009). Possible evidence for dark matter annihilation in the inner Milky way from the Fermi gamma ray space telescope. arXiv e-prints, arXiv:0910.2998. doi:10.48550/arXiv.0910.2998
GRAVITY Collaboration Abuter, R., Amorim, A., Bauböck, M., Berger, J. P., Bonnet, H., et al. (2018). Detection of orbital motions near the last stable circular orbit of the massive black hole SgrA. A&A 618, L10. doi:10.1051/0004-6361/201834294
GRAVITY Collaboration Bauböck, M., Dexter, J., Abuter, R., Amorim, A., Berger, J. P., et al. (2020). Modeling the orbital motion of Sgr A*’s near-infrared flares. A&A 635, A143. doi:10.1051/0004-6361/201937233
GRAVITY Collaboration Abuter, R., Amorim, A., Bauböck, M., Baganoff, F., Berger, J. P., et al. (2021). Constraining particle acceleration in Sgr A⋆ with simultaneous GRAVITY, spitzer, NuSTAR, and Chandra observations. A&A 654, A22. doi:10.1051/0004-6361/202140981
Gregory, P. C., and Loredo, T. J. (1992). A new method for the detection of a periodic signal of unknown shape and period. ApJ 398, 146. doi:10.1086/171844
Haggard, D., Nynka, M., Mon, B., de la Cruz Hernandez, N., Nowak, M., Heinke, C., et al. (2019). Chandra spectral and timing analysis of Sgr A*’s brightest X-ray flares. ApJ 886, 96. doi:10.3847/1538-4357/ab4a7f
Hailey, C. J., Mori, K., Bauer, F. E., Berkowitz, M. E., Hong, J., and Hord, B. J. (2018). A density cusp of quiescent X-ray binaries in the central parsec of the Galaxy. Nature 556, 70–73. doi:10.1038/nature25029
Hailey, C. J., Mori, K., Perez, K., Canipe, A. M., Hong, J., Tomsick, J. A., et al. (2016). Evidence for intermediate polars as the origin of the galactic center hard X-ray emission. ApJ 826, 160. doi:10.3847/0004-637X/826/2/160
Hayashi, T., Kitaguchi, T., and Ishida, M. (2021). Application of a new X-ray reflection model to V1223 Sagittarii. MNRAS 504, 3651–3661. doi:10.1093/mnras/stab809
HESS Collaboration Abramowski, A., Aharonian, F., Benkhali, F. A., Akhperjanian, A. G., Angüner, E. O., et al. (2016). Acceleration of petaelectronvolt protons in the galactic centre. Nature 531, 476–479. doi:10.1038/nature17147
Heywood, I., Camilo, F., Cotton, W. D., Yusef-Zadeh, F., Abbott, T. D., Adam, R. M., et al. (2019). Inflation of 430-parsec bipolar radio bubbles in the Galactic Centre by an energetic event. Nature 573, 235–237. doi:10.1038/s41586-019-1532-5
Heywood, I., Rammala, I., Camilo, F., Cotton, W. D., Yusef-Zadeh, F., Abbott, T. D., et al. (2022). The 1.28 GHz MeerKAT galactic center mosaic. ApJ 925, 165. doi:10.3847/1538-4357/ac449a
Hillman, Y., Shara, M. M., Prialnik, D., and Kovetz, A. (2020). A unified theory of cataclysmic variable evolution from feedback-dominated numerical simulations. Nat. Astron. 4, 886–892. doi:10.1038/s41550-020-1062-y
Hong, J., Mori, K., Hailey, C. J., Nynka, M., Zhang, S., Gotthelf, E., et al. (2016). NuSTAR hard X-ray survey of the galactic center region. II. X-ray point sources. ApJ 825, 132. doi:10.3847/0004-637X/825/2/132
Hong, J., van den Berg, M., Grindlay, J. E., Servillat, M., and Zhao, P. (2012). Discovery of a significant magnetic cataclysmic variable population in the limiting window. ApJ 746, 165. doi:10.1088/0004-637X/746/2/165
Hong, J. S., van den Berg, M., Grindlay, J. E., and Laycock, S. (2009). Radial distribution of X-ray point sources near the galactic center. ApJ 706, 223–237. doi:10.1088/0004-637X/706/1/223
Hooper, D., and Linden, T. (2011). On the origin of the gamma rays from the galactic center. Phys. Rev. D. 84, 1230005. doi:10.1103/PhysRevD.84.123005
Janssens, S., Shenar, T., Sana, H., Faigler, S., Langer, N., Marchant, P., et al. (2022). Uncovering astrometric black hole binaries with massive main-sequence companions with Gaia. A&A 658, A129. doi:10.1051/0004-6361/202141866
Johnson, S. P., Dong, H., and Wang, Q. D. (2009). A large-scale survey of X-ray filaments in the Galactic Centre. Mon. Notices R. Astronomical Soc. 399, 1429–1440. doi:10.1111/j.1365-2966.2009.15362.x
Keane, E., Bhattacharyya, B., Kramer, M., Stappers, B., Keane, E. F., Bhattacharyya, B., et al. (2015). “A cosmic census of radio pulsars with the SKA,” in Advancing Astrophysics with the Square Kilometre Array (AASKA14), Giardini Naxos, Italy, 8 – 13 June, 2014, 40. doi:10.22323/1.215.0040
Khabibullin, I., Churazov, E., Sunyaev, R., Federrath, C., Seifried, D., and Walch, S. (2020). X-raying molecular clouds with a short flare: probing statistics of gas density and velocity fields. MNRAS 495, 1414–1432. doi:10.1093/mnras/staa1262
Kitaguchi, T., An, H., Beloborodov, A. M., Gotthelf, E. V., Hayashi, T., Kaspi, V. M., et al. (2014). NuSTAR and Swift observations of the fast rotating magnetized white dwarf AE aquarii. ApJ 782, 3. doi:10.1088/0004-637X/782/1/3
Koyama, K., Maeda, Y., Sonobe, T., Takeshima, T., Tanaka, Y., and Yamauchi, S. (1996). ASCA view of our galactic center: remains of past activities in X-rays? PASJ 48, 249–255. doi:10.1093/pasj/48.2.249
Koyama, K., Takikawa, Y., Hyodo, Y., Inui, T., Nobukawa, M., Matsumoto, H., et al. (2009). Spatial distribution of the galactic center diffuse X-rays and the spectra of the brightest 6.4keV clumps. PASJ 61, S255–S262. doi:10.1093/pasj/61.sp1.S255
Kuznetsova, E., Krivonos, R., Clavel, M., Lutovinov, A., Chernyshov, D., Hong, J., et al. (2019). Investigating the origin of the faint non-thermal emission of the Arches cluster using the 2015-2016 NuSTAR and XMM-Newton X-ray observations. MNRAS 484, 1627–1636. doi:10.1093/mnras/stz119
Kuznetsova, E., Krivonos, R., Lutovinov, A., and Clavel, M. (2022). Sgr B2 hard X-ray emission with INTEGRAL after 2009: still detectable? MNRAS 509, 1605–1613. doi:10.1093/mnras/stab3004
Langer, N., Schürmann, C., Stoll, K., Marchant, P., Lennon, D. J., Mahy, L., et al. (2020). Properties of OB star-black hole systems derived from detailed binary evolution models. A&A 638, A39. doi:10.1051/0004-6361/201937375
Li, Z., Morris, M. R., and Baganoff, F. K. (2013). Evidence for a parsec-scale jet from the galactic center black hole: interaction with local gas. ApJ 779, 154. doi:10.1088/0004-637X/779/2/154
Lu, F. J., Yuan, T. T., and Lou, Y.-Q. (2008). An imaging and spectral study of 10 X-ray filaments around the galactic center. ApJ 673, 915–927. doi:10.1086/524369
Madsen, K. K., García, J. A., Stern, D., Armini, R., Basso, S., Coutinho, D., et al. (2023). The high energy X-ray probe (HEX-P): instrument and mission profile. arXiv e-prints arXiv:2312.04678
Meidinger, N., Albrecht, S., Beitler, C., Bonholzer, M., Emberger, V., Frank, J., et al. (2020). “Development status of the wide field imager instrument for Athena,” in Space telescopes and instrumentation 2020: ultraviolet to gamma ray (SPIE). doi:10.1117/12.2560507
Moe, M., and Di Stefano, R. (2017). Mind your ps and qs: the interrelation between period (P) and mass-ratio (Q) distributions of binary stars. ApJS 230, 15. doi:10.3847/1538-4365/aa6fb6
Molaro, M., Khatri, R., and Sunyaev, R. A. (2016). Probing the clumping structure of giant molecular clouds through the spectrum, polarisation and morphology of X-ray reflection nebulae. A&A 589, A88. doi:10.1051/0004-6361/201527760
Mondal, S., Ponti, G., Haberl, F., Anastasopoulou, K., Campana, S., Mori, K., et al. (2022). An intermediate polar candidate toward the Galactic plane. A&A 666, A150. doi:10.1051/0004-6361/202244264
Mondal, S., Ponti, G., Haberl, F., Mori, K., Rea, N., Morris, M. R., et al. (2023). Discovery of periodicities in two highly variable intermediate polars towards the Galactic centre. A&A 671, A120. doi:10.1051/0004-6361/202245553
Mori, K., Gotthelf, E. V., Zhang, S., An, H., Baganoff, F. K., Barrière, N. M., et al. (2013). NuSTAR discovery of a 3.76 s transient magnetar near Sagittarius A. ApJL 770, L23. doi:10.1088/2041-8205/770/2/L23
Mori, K., Hailey, C. J., Krivonos, R., Hong, J., Ponti, G., Bauer, F., et al. (2015). NuSTAR hard X-ray survey of the galactic center region I: hard X-ray morphology and spectroscopy of the diffuse emission. ApJ 814, 94. doi:10.1088/0004-637X/814/2/94
Mori, K., Hailey, C. J., Mandel, S., Schutt, Y. E., Bachetti, M., Coerver, A., et al. (2019). NuSTAR and Chandra observations of new X-ray transients in the central parsec of the Galaxy. ApJ 885, 142. doi:10.3847/1538-4357/ab4b47
Mori, K., Hailey, C. J., Schutt, T. Y. E., Mandel, S., Heuer, K., Grindlay, J. E., et al. (2021). The X-ray binary population in the galactic center revealed through multi-decade observations. ApJ 921, 148. doi:10.3847/1538-4357/ac1da5
Morihana, K., Tsujimoto, M., Ebisawa, K., and Gandhi, P. (2022). Deep near-infrared imaging observation of the faint X-ray point sources constituting the Galactic bulge X-ray emission. PASJ 74, 283–297. doi:10.1093/pasj/psab124
Morris, M., and Serabyn, E. (1996). The galactic center environment. Annu. Rev. Astronomy Astrophysics 34, 645–701. doi:10.1146/annurev.astro.34.1.645
Morris, M. R., Zhao, J. H., and Goss, W. M. (2014). “Nonthermal filamentary radio features within 20 pc of the Galactic center,” in The galactic center: feeding and feedback in a normal galactic nucleus. Editors L. O. Sjouwerman, C. C. Lang, and J. Ott, 369–373.
Mossoux, E., Finociety, B., Beckers, J. M., and Vincent, F. H. (2020). Continuation of the X-ray monitoring of Sgr A*: the increase in bright flaring rate confirmed. A&A 636, A25. doi:10.1051/0004-6361/201937136
Mukai, K. (2017). X-ray emissions from accreting white dwarfs: a review. Publ. Astronomical Soc. Pac. 129, 062001. doi:10.1088/1538-3873/aa6736
Muno, M. P., Baganoff, F. K., Bautz, M. W., Brandt, W. N., Broos, P. S., Feigelson, E. D., et al. (2003). A deep Chandra catalog of X-ray point sources toward the galactic center. ApJ 589, 225–241. doi:10.1086/374639
Muno, M. P., Baganoff, F. K., Brandt, W. N., Morris, M. R., and Starck, J.-L. (2008). A catalog of diffuse X-ray-emitting features within 20 pc of Sagittarius A*: twenty pulsar wind nebulae? ApJ 673, 251–263. doi:10.1086/521641
Muno, M. P., Baganoff, F. K., Brandt, W. N., Park, S., and Morris, M. R. (2007). Discovery of variable iron fluorescence from reflection nebulae in the galactic center. ApJL 656, L69–L72. doi:10.1086/512236
Muno, M. P., Bauer, F. E., Baganoff, F. K., Bandyopadhyay, R. M., Bower, G. C., Brandt, W. N., et al. (2009). A catalog of X-ray point sources from two megaseconds of Chandra observations of the galactic center. ApJS 181, 110–128. doi:10.1088/0067-0049/181/1/110
Muno, M. P., Pfahl, E., Baganoff, F. K., Brandt, W. N., Ghez, A., Lu, J., et al. (2005). An overabundance of transient X-ray binaries within 1 parsec of the galactic center. ApJL 622, L113–L116. doi:10.1086/429721
Nandra, K., Barret, D., Barcons, X., Fabian, A., den Herder, J.-W., Piro, L., et al. (2013). The hot and energetic universe: a white paper presenting the science theme motivating the Athena+ mission. arXiv e-prints, arXiv:1306.2307. doi:10.48550/arXiv.1306.2307
Neilsen, J., Nowak, M. A., Gammie, C., Dexter, J., Markoff, S., Haggard, D., et al. (2013). A Chandra/HETGS census of X-ray variability from Sgr A* during 2012. ApJ 774, 42. doi:10.1088/0004-637X/774/1/42
Nobukawa, M., Ryu, S. G., Tsuru, T. G., and Koyama, K. (2011). New evidence for high activity of the supermassive black hole in our galaxy. ApJL 739, L52. doi:10.1088/2041-8205/739/2/L52
Nowak, M. A., Neilsen, J., Markoff, S. B., Baganoff, F. K., Porquet, D., Grosso, N., et al. (2012). Chandra/HETGS observations of the brightest flare seen from Sgr A. ApJ 759, 95. doi:10.1088/0004-637X/759/2/95
Nynka, M., Hailey, C. J., Mori, K., Baganoff, F. K., Bauer, F. E., Boggs, S. E., et al. (2013). High-energy X-rays from j174545.5-285829, the Cannonball: a candidate pulsar wind nebula associated with Sgr A East. ApJL 778, L31. doi:10.1088/2041-8205/778/2/L31
Nynka, M., Hailey, C. J., Reynolds, S. P., An, H., Baganoff, F. K., Boggs, S. E., et al. (2015). G359.97-0.038: a hard X-ray filament associated with a supernova shell-molecular cloud interaction. ApJ 800, 119. doi:10.1088/0004-637X/800/2/119
Pala, A. F., and Gänsicke, B. T. (2017). “Dynamical masses of accreting white dwarfs,” in 20th European white dwarf workshop. Editors P. E. Tremblay, B. Gaensicke, and T. Marsh (San Francisco: Astronomical Society of the Pacific), 91.
Panamarev, T., Just, A., Spurzem, R., Berczik, P., Wang, L., and Arca Sedda, M. (2019). Direct N-body simulation of the Galactic centre. MNRAS 484, 3279–3290. doi:10.1093/mnras/stz208
Pelisoli, I., Marsh, T. R., Buckley, D. A. H., Heywood, I., Potter, S. B., Schwope, A., et al. (2023). A 5.3-min-period pulsing white dwarf in a binary detected from radio to X-rays. Nat. Astron. 7, 931–942. doi:10.1038/s41550-023-01995-x
Perez, K., Hailey, C. J., Bauer, F. E., Krivonos, R. A., Mori, K., Baganoff, F. K., et al. (2015). Extended hard-X-ray emission in the inner few parsecs of the Galaxy. Nature 520, 646–649. doi:10.1038/nature14353
Perez, K., Krivonos, R., and Wik, D. R. (2019). The galactic bulge diffuse emission in broadband X-rays with NuSTAR. ApJ 884, 153. doi:10.3847/1538-4357/ab4590
Pfeifle, R. W., Boorman, R. G., Weaver, K. A., Buchner, J., Civano, F., Madsen, K., et al. (2023). The high energy X-ray Probe (HEX-P): the future of hard X-ray dual AGN science. arXiv e-prints. doi:10.48550/arXiv.2311.05154
Ponti, G., De Marco, B., Morris, M. R., Merloni, A., Muñoz-Darias, T., Clavel, M., et al. (2015a). Fifteen years of XMM-Newton and Chandra monitoring of Sgr A*: evidence for a recent increase in the bright flaring rate. MNRAS 454, 1525–1544. doi:10.1093/mnras/stv1537
Ponti, G., George, E., Scaringi, S., Zhang, S., Jin, C., Dexter, J., et al. (2017). A powerful flare from Sgr A* confirms the synchrotron nature of the X-ray emission. MNRAS 468, 2447–2468. doi:10.1093/mnras/stx596
Ponti, G., Morris, M. R., Churazov, E., Heywood, I., and Fender, R. P. (2021). The Galactic center chimneys: the base of the multiphase outflow of the Milky Way. A&A 646, A66. doi:10.1051/0004-6361/202039636
Ponti, G., Morris, M. R., Terrier, R., Haberl, F., Sturm, R., Clavel, M., et al. (2015b). The XMM-Newton view of the central degrees of the Milky Way. MNRAS 453, 172–213. doi:10.1093/mnras/stv1331
Ponti, G., Terrier, R., Goldwurm, A., Belanger, G., and Trap, G. (2010). Discovery of a superluminal Fe K echo at the galactic center: the glorious past of Sgr A* preserved by molecular clouds. ApJ 714, 732–747. doi:10.1088/0004-637X/714/1/732
Pretorius, M. L., and Mukai, K. (2014). Constraints on the space density of intermediate polars from the Swift-BAT survey. MNRAS 442, 2580–2585. doi:10.1093/mnras/stu990
Revnivtsev, M., Sazonov, S., Churazov, E., Forman, W., Vikhlinin, A., and Sunyaev, R. (2009). Discrete sources as the origin of the galactic x-ray ridge emission. Nature 458, 1142–1144. doi:10.1038/nature07946
Revnivtsev, M. G., Churazov, E. M., Sazonov, S. Y., Sunyaev, R. A., Lutovinov, A. A., Gilfanov, M. R., et al. (2004). Hard X-ray view of the past activity of Sgr A* in a natural Compton mirror. A&A 425, L49–L52. doi:10.1051/0004-6361:200400064
Rodriguez, A. C., Galiullin, I., Gilfanov, M., Kulkarni, S. R., Khamitov, I., Bikmaev, I., et al. (2023). SRGeJ045359.9+622444: a 55-min period eclipsing AM CVn discovered from a joint SRG/eROSITA + ZTF search. arXiv e-prints, arXiv:2306.13133. doi:10.48550/arXiv.2306.13133
Rogers, F., Zhang, S., Perez, K., Clavel, M., and Taylor, A. (2022). New constraints on cosmic particle populations at the galactic center using X-ray observations of the molecular cloud Sagittarius B2. ApJ 934, 19. doi:10.3847/1538-4357/ac7717
Ryu, S. G., Nobukawa, M., Nakashima, S., Tsuru, T. G., Koyama, K., and Uchiyama, H. (2013). X-ray echo from the Sagittarius C complex and 500-year activity history of Sagittarius A. PASJ 65, 33. doi:10.1093/pasj/65.2.33
Sazonov, S., Paizis, A., Bazzano, A., Chelovekov, I., Khabibullin, I., Postnov, K., et al. (2020). The galactic LMXB population and the galactic centre region. New Astron. Rev. 88, 101536. doi:10.1016/j.newar.2020.101536
Schmitt, J. H. M. M., Czesla, S., Schneider, P. C., Freund, S., and Robrade, J. (2022). The nature of the X-ray sources constituting the 6.7 keV Galactic ridge emission. A&A 661, A88. doi:10.1051/0004-6361/202142876
Schödel, R., Gallego-Cano, E., Dong, H., Nogueras-Lara, F., Gallego-Calvente, A. T., Amaro-Seoane, P., et al. (2018). The distribution of stars around the Milky Way’s central black hole. II. Diffuse light from sub-giants and dwarfs. A&A 609, A27. doi:10.1051/0004-6361/201730452
Schoedel, R., Longmore, S., Henshaw, J., Ginsburg, A., Bally, J., Feldmeier, A., et al. (2023). The JWST galactic center survey – a white paper. arXiv e-prints, arXiv:2310.11912. doi:10.48550/arXiv.2310.11912
Schreiber, M. R., Zorotovic, M., and Wijnen, T. P. G. (2016). Three in one go: consequential angular momentum loss can solve major problems of CV evolution. MNRAS 455, L16–L20. doi:10.1093/mnrasl/slv144
Shaw, A. W., Heinke, C. O., Mukai, K., Tomsick, J. A., Doroshenko, V., Suleimanov, V. F., et al. (2020). Measuring the masses of magnetic white dwarfs: a NuSTAR legacy survey. MNRAS 498, 3457–3469. doi:10.1093/mnras/staa2592
Sinha, A., Baghmanyan, V., Peron, G., Gallant, Y., Casanova, S., Holler, M., et al. (2022). “Search for enhanced TeV gamma ray emission from Giant Molecular Clouds using H.E.S.S,” in 37th International Cosmic Ray Conference, Berlin, Germany, 12-23 July 2021. doi:10.22323/1.395.0790
Suleimanov, V. F., Doroshenko, V., and Werner, K. (2019). Hard X-ray view on intermediate polars in the Gaia era. MNRAS 482, 3622–3635. doi:10.1093/mnras/sty2952
Sunyaev, R., and Churazov, E. (1998). Equivalent width, shape and proper motion of the iron fluorescent line emission from molecular clouds as an indicator of the illuminating source X-ray flux history. MNRAS 297, 1279–1291. doi:10.1046/j.1365-8711.1998.01684.x
Sunyaev, R. A., Markevitch, M., and Pavlinsky, M. (1993). The center of the Galaxy in the recent past - a view from GRANAT. ApJ 407, 606–610. doi:10.1086/172542
Szölgyén, Á., and Kocsis, B. (2018). Black hole disks in galactic nuclei. Phys. Rev. Lett. 121, 101101. doi:10.1103/PhysRevLett.121.101101
Takata, J., Hu, C. P., Lin, L. C. C., Tam, P. H. T., Pal, P. S., Hui, C. Y., et al. (2018). A non-thermal pulsed X-ray emission of AR scorpii. ApJ 853, 106. doi:10.3847/1538-4357/aaa23d
Tatischeff, V., Decourchelle, A., and Maurin, G. (2012). Nonthermal X-rays from low-energy cosmic rays: application to the 6.4 keV line emission from the Arches cluster region. A&A 546, A88. doi:10.1051/0004-6361/201219016
Terrier, R., Clavel, M., Soldi, S., Goldwurm, A., Ponti, G., Morris, M. R., et al. (2018). An X-ray survey of the central molecular zone: variability of the Fe Kα emission line. A&A 612, A102. doi:10.1051/0004-6361/201730837
Terrier, R., Ponti, G., Bélanger, G., Decourchelle, A., Tatischeff, V., Goldwurm, A., et al. (2010). Fading hard X-ray emission from the galactic center molecular cloud Sgr B2. ApJ 719, 143–150. doi:10.1088/0004-637X/719/1/143
Tomsick, J. A., Kumar, S. G., Coughenour, B. M., Shaw, A. W., Mukai, K., Hare, J., et al. (2023). Classifying IGR J15038-6021 as a magnetic CV with a massive white dwarf. arXiv e-prints, arXiv:2306.04691. doi:10.48550/arXiv.2306.04691
Tomsick, J. A., Rahoui, F., Krivonos, R., Clavel, M., Strader, J., and Chomiuk, L. (2016). Identifying IGR J14091-6108 as a magnetic CV with a massive white dwarf using X-ray and optical observations. MNRAS 460, 513–523. doi:10.1093/mnras/stw871
Türler, M., Chernyakova, M., Courvoisier, T. J.-L., Lubiński, P., Neronov, A., Produit, N., et al. (2010). INTEGRAL hard X-ray spectra of the cosmic X-ray background and Galactic ridge emission. A&A 512, A49. doi:10.1051/0004-6361/200913072
van Eldik, C.H. E. S. S. Collaboration (2008). The H.E.S.S. view of the Galactic Centre region. Nucl. Instrum. Methods Phys. Res. A 588, 72–75. doi:10.1016/j.nima.2008.01.025
Vermette, B., Salcedo, C., Mori, K., Gerber, J., Yoon, K. D., Bridges, G., et al. (2023). Constraining white dwarf mass and magnetic field strength of a new intermediate polar through X-ray observations. arXiv e-prints, arXiv:2307.11910. doi:10.48550/arXiv.2307.11910
Wang, Q. D., Gotthelf, E. V., and Lang, C. C. (2002). A faint discrete source origin for the highly ionized iron emission from the Galactic Centre region. Nature 415, 148–150. doi:10.1038/415148a
Wielgus, M., Moscibrodzka, M., Vos, J., Gelles, Z., Martí-Vidal, I., Farah, J., et al. (2022). Orbital motion near Sagittarius A*. Constraints from polarimetric ALMA observations. A&A 665, L6. doi:10.1051/0004-6361/202244493
Xu, X.-j., Li, Z., Zhu, Z., Cheng, Z., Li, X.-d., and Yu, Z.-l. (2019a). Massive white dwarfs in the galactic center: a Chandra X-ray spectroscopy of cataclysmic variables. ApJ 882, 164. doi:10.3847/1538-4357/ab32df
Xu, X.-j., Wang, Q. D., and Li, X.-D. (2016). Fe line diagnostics of cataclysmic variables and Galactic Ridge X-Ray emission. ApJ 818, 136. doi:10.3847/0004-637X/818/2/136
Xu, X.-j., Yu, Z.-l., and Li, X.-d. (2019b). The Fe line flux ratio as a diagnostic of the maximum temperature and the white dwarf mass of cataclysmic variables. ApJ 878, 53. doi:10.3847/1538-4357/ab1fe1
Yuasa, T., Makishima, K., and Nakazawa, K. (2012). Broadband spectral analysis of the Galactic Ridge X-Ray emission. ApJ 753, 129. doi:10.1088/0004-637X/753/2/129
Yuasa, T., Tamura, K.-I., Nakazawa, K., Kokubun, M., Makishima, K., Bamba, A., et al. (2008). Suzaku detection of extended/diffuse hard X-ray emission from the galactic center. PASJ 60, S207–S221. doi:10.1093/pasj/60.sp1.S207
Yusef-Zadeh, F., Arendt, R. G., Wardle, M., and Heywood, I. (2023). The population of the galactic center filaments: position angle distribution reveals a degree-scale collimated outflow from Sgr A* along the galactic plane. ApJL 949, L31. doi:10.3847/2041-8213/acd54b
Yusef-Zadeh, F., Morris, M., and Chance, D. (1984). Large, highly organized radio structures near the galactic centre. Nature 310, 557–561. doi:10.1038/310557a0
Zhang, S., Baganoff, F. K., Ponti, G., Neilsen, J., Tomsick, J. A., Dexter, J., et al. (2017). Sagittarius A* high-energy X-ray flare properties duringNuStarMonitoring of the galactic center from 2012 to 2015. ApJ 843, 96. doi:10.3847/1538-4357/aa74e8
Zhang, S., Hailey, C. J., Baganoff, F. K., Bauer, F. E., Boggs, S. E., Craig, W. W., et al. (2014). High-energy X-ray detection of g359.89-0.08 (Sgr A-E): magnetic flux tube emission powered by cosmic rays? ApJ 784, 6. doi:10.1088/0004-637X/784/1/6
Zhang, S., Hailey, C. J., Baganoff, F. K., Bauer, F. E., Boggs, S. E., Craig, W. W., et al. (2015). Hard X-ray morphological and spectral studies of the galactic center molecular cloud Sgr B2: constraining past Sgr A* flaring activity. Astrophysical J. 815, 132. doi:10.1088/0004-637X/815/2/132
Zhang, S., Zhu, Z., Li, H., Pasham, D., Li, Z., Clavel, M., et al. (2020). NuSTAR and Chandra observations of the galactic center nonthermal X-ray filament g0.13-0.11: a pulsar-wind-nebula-driven magnetic filament. ApJ 893, 3. doi:10.3847/1538-4357/ab7dc1
Zhao, J.-H., Morris, M. R., and Goss, W. M. (2013). Radio detection of a candidate neutron star associated with galactic center supernova remnant Sagittarius A East. ApJ 777, 146. doi:10.1088/0004-637X/777/2/146
Keywords: galaxy: centre, black hole physics, X-rays: binaries, stars: cataclysmic variables, accretion, acceleration of particles, pulsars: general
Citation: Mori K, Ponti G, Bachetti M, Bodaghee A, Grindlay J, Hong J, Krivonos R, Kuznetsova E, Mandel S, Rodriguez A, Stel G, Zhang S, Bao T, Bauer F, Clavel M, Coughenour B, García JA, Gerber J, Grefenstette B, Jaodand A, Lehmer B, Madsen K, Nynka M, Predehl P, Salcedo C, Stern D and Tomsick J (2024) The high energy X-ray probe (HEX-P): Resolving the nature of Sgr A* flares, compact object binaries and diffuse X-ray emission in the Galactic center and beyond. Front. Astron. Space Sci. 10:1292130. doi: 10.3389/fspas.2023.1292130
Received: 11 September 2023; Accepted: 05 December 2023;
Published: 08 January 2024.
Edited by:
Murray Brightman, California Institute of Technology, United StatesReviewed by:
Jakob Van Den Eijnden, University of Warwick, United KingdomRuth Daly, Penn State Berks, United States
Copyright © 2024 Mori, Ponti, Bachetti, Bodaghee, Grindlay, Hong, Krivonos, Kuznetsova, Mandel, Rodriguez, Stel, Zhang, Bao, Bauer, Clavel, Coughenour, García, Gerber, Grefenstette, Jaodand, Lehmer, Madsen, Nynka, Predehl, Salcedo, Stern and Tomsick. This is an open-access article distributed under the terms of the Creative Commons Attribution License (CC BY). The use, distribution or reproduction in other forums is permitted, provided the original author(s) and the copyright owner(s) are credited and that the original publication in this journal is cited, in accordance with accepted academic practice. No use, distribution or reproduction is permitted which does not comply with these terms.
*Correspondence: Kaya Mori, a2F5YUBhc3Ryby5jb2x1bWJpYS5lZHU=