- Department of Statistics, Amity University Kolkata, Kolkata, India
The study of the process of hierarchical fragmentation of molecular clouds within Young Massive Clusters required modeling the Initial Mass Function by considering both binary and single-star components. Components of masses from the Gaia Early Data Release 3 (EDR3) dataset were estimated using the mass–luminosity relationship and the contribution of each mass to the total system was analyzed in the current research. Stochastic models describing the contribution of each component are developed for binary as well as single stars incorporating the escape mass theory of the assumed pair. Binary masses, fitted to suitable bi-variate distributions, were simulated using Griddy Gibbs sampler, a Markov Chain Monte Carlo (MCMC) algorithm. Stellar masses of single stars were simulated using data from suitable uni-variate distribution. The mass spectrum of the binary, as well as single star components, were then considered together to determine the initial mass function. The resulting mass function under opacity limited fragmentation scenario is further investigated at different projected distances from the cluster core to the radius where the signature of mass segregation is found.
1 Introduction
From decades, the Initial Mass Function (IMF) has been a key point of interest to astronomers who study the formation of galaxies as well as the expansion of the universe. As first reported by Salpeter (1955) and Scalo (1998) and later developed by Kroupa et al. (1993), IMF constitutes a power-law of the form
Stars are usually formed as single, binary, or multiple systems; they are usually viewed through their light curves observed through their orbital planes inclined at a definite angle. In the absence of definite observers of stars, there is considerable debate on whether stars belong to a system. Whether a system is gravitationally bound or not determines the name of its classification into various types of binary or multiple components. Some authors such as Duquennoy and Mayor (1991), Fischer and Marcy (1992), and Kouwenhoven et al. (2007) have conventionally studied the binary fragments and have put forward their findings. Authors like Giovinazzi and Blake (2022), Chulkov and Malkov (2022), and Ducati et al. (2011) have studied orbital binaries, spectroscopic binaries, and visual binaries and their contribution to the IMF by observing their physical features. Riaz et al. (2018) have discussed the formation of protostellar binaries along with their physical properties in the early stages of evolution. Sinha (2018) has studied the contribution of binary and single components by developing a stochastic model. In her finding, she has considered the contribution of binary fragments to be 80% whereas single components as 20%. This ratio, i.e., the percentage contribution of binary and single components has been put forward by different authors in indefinite forms, either by direct observation or by simulation. Resolvable binaries though have an impact on the high-mass regimes of the IMF, whereas unresolved binaries may have a very high impact on the low-mass regime. This point has been raised by Kroupa et al. (2019) in their study. Hence, the distinction of a star whether it belongs to a system or was born as single is very crucial for the IMF to be properly measured.
The formation of stars as multiple systems has been studied and presented by many authors (Duquennoy and Mayor, 1991; Fischer and Marcy, 1992; Kouwenhoven et al., 2007; Malkov and Zinnecker, 2001). In another study, various observational and theoretical studies of stars to be formed as parts of a gravitationally bound system have been presented. Stars that are born as multiple systems or as single star systems (which are not gravitationally bound) have been elaborated by (Offner et al. (2023))? On the other hand, various hypotheses on how stars are born as a binary system have been put forward by Malkov and Zinnecker (2001). In the present work, we retain the claim by Malkov and Zinnecker (2001) that all stars are initially born as a system and we carry our work with the assumption that most of the stars are formed as binary system. We have considered the binary data from the Gaia EDR3 database for the current study. In such a dataset, the mass of a star is not directly observable. Therefore, at this point, the mass of the star needs to be estimated in order to make the final form of IMF acceptable.
The mass of a system can be determined through various directly observable physical parameters. One such way is the use of mass–luminosity relationship using the Russell–Vogt theorem as introduced by Russell et al. (1923) and Hertzsprung (1923). The calculation of masses of the binary system is often quite challenging. Detailed information on mass ratio, orbital period, parallax, luminosity, and average distance of each star from their barycenter are some necessary parameters without which masses cannot be estimated. Chulkov and Malkov (2022) derived a synthetic mass-luminosity relationship for main-sequence stars in the G band and used it to determine masses for the binary system, alongside dynamical masses calculated via Kepler’s third law. While previous studies in the field typically had access to binary masses within their datasets, the current research faced a different scenario where such information was not available. This necessitates the estimation of masses using alternative methods (Chulkov and Malkov, 2022). Notably, the concept of escape mass has been considered only by a few authors and the impact of this on the final form of IMF is the major aspect of this work. The present study adopts the approach of considering the total contribution of both binary and single stars based on escape mass considerations (refer to Section 4 for details). The dataset used in this research was obtained from Gaia EDR3. This dataset offers enhanced positional accuracy, parallax measurements, and proper motion data, thus representing a significant advancement in astrometric precision. Due to its increasing wealth of information and improved astrometry, the Gaia EDR3 dataset is a valuable resource for conducting this comprehensive analysis. We estimated the stellar masses using the relationship as described by Chulkov and Malkov (2022) who extensively described the phenomenon for orbital binaries, resolved binaries, optical pairs as well as unresolved binaries. We have considered pairs having positive parallax.
As put forward by Hennebelle and Grudić (2024), the final form of IMF depends upon various stellar parameters including the mass of a star, gravity and turbulence, match number and density function, protostellar jets as well as dust opacity and molecular hydrogen physics. The impact of these factors on the final form is highlighted in the current study. Our primary focus is on the stochastic fragmentation of Young Massive Clusters (YMCs) through investigation of the contribution of binary and single components to the main population of stars resulting through hierarchical fragmentation of molecular clouds and the final form of IMF observed under opacity limited fragmentation scenario. A stochastic model was developed for the fragmented masses. The binary stars, as a part of the population, were simulated using the Izawa bi-variate gamma distribution through the Griddy Gibbs Sampler method. The single stars were generated from a Pareto distribution, truncated at minimum and maximum masses. We thoroughly investigated the patterns of the bi-variate gamma distribution, and their percentage contribution to the total population of stars and identified an appropriate fitting model. The subsequent sections of this work are organized as follows: Section 2 discusses the dataset; Section 3 presents the estimation of the binary as well as masses of single stars, the form of the bi-variate distribution and uni-variate distributions with their parameter estimation and simulation procedures, and Section 4 provides the results and discussions.
2 Data
The data on binary stars were collected from Gaia Early Data Release 3 (Gaia EDR3) (Chulkov and Malkov, 2022; Brown et al., 2021; Vallenari et al., 2023). It contains information of magnitudes,
3 Methodology
3.1 Estimation of binary masses
For estimating the binary masses, the mass–luminosity relationship diagram introduced by Hertzsprung (Hertzsprung, 1923) and Russell (Russell et al., 1923) is highly useful in the estimation of mass using luminosities. However, the mass obtained from the above relationship is the cumulative mass of the primary and secondary components of the system. On the other hand, using Kepler's third law, one can estimate the cumulative sum of masses of the binary components using Equation 1:
where
The apparent magnitudes
We use the above-obtained values of absolute magnitudes (G) given in Equation (3) to calculate the mass of the brighter component using the approximation formula, as proposed by Chulkov and Malkov (2022),
The anti-log of the mass, say
3.2 Fitting of binary masses
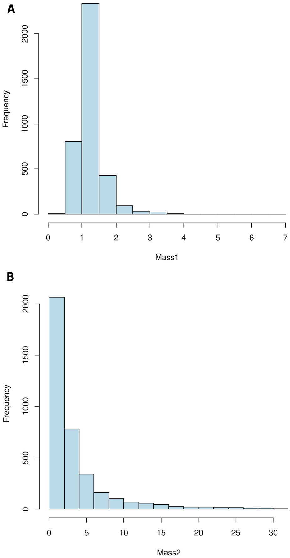
First, we plot the data of the binary masses to study the underlying distribution of masses, as displayed in Figures 1A, B. It can be observed that the binary masses are positively skewed; therefore, a bi-variate gamma distribution suitable for our data is proposed. To model this distribution, we fit a form of bi-variate gamma distribution, namely, the Izawa bi-variate gamma distribution (Izawa, 1965) to our data. The Izawa bi-variate gamma distribution is formulated using the uni-variate gamma marginals and permits distinct scale parameters while maintaining identical shape parameters. The joint PDF of the Izawa bi-variate gamma distribution is given as shown in Equation 5:
where

Figure 1. (A) Histogram of mass of the primary components in the observed binary system. (B) Histogram of mass of the secondary components in the observed binary system.
The method of moments involves equating the population moments, expressed as a function of the parameters of interest, to their corresponding sample moments and solving for the parameters (Bobee and Ashkar, 1991; Stedinger, 1993). The solutions are estimates of those parameters.
As
Here, (
The binary masses are simulated from the Izawa bi-variate gamma distribution with the parameter values as obtained in Section 3.2, by implementing the Griddy Gibbs Sampler as discussed in Section 3.4. The histogram of the primary and secondary components are displayed in Figures 2A, B. The binary components for the observed as well as simulated stellar masses are displayed in Figures 3A, B respectively.

Figure 2. (A) Histogram of mass of the primary components in the simulated binary system. (B) Histogram of mass of the secondary components in the simulated binary system.

Figure 3. (A) Bi-variate histogram of mass of the primary and secondary components in the observed binary system. (B) Bi-variate histogram of mass of the primary and secondary components in the simulated binary system.
The goodness of fit test to see whether the simulated data fit our desired distribution yields a result of
3.3 Fitting of single masses
The single stars are simulated from the Truncated Pareto Distribution as given in an earlier study by Chattopadhyay et al. (2011). The method for generating random samples from the Truncated Power Law distribution, as described by Chattopadhyay et al. (2015) and Chattopadhyay et al. (2016), involves utilizing a segmented power law of the form as given in Equation (7):
where the parameters
The parameters
3.4 Fragmentation and mass distribution
The hierarchical fragmentation procedure within molecular clouds in YMCs and in other galaxies, along with the resulting (IMF), has been a topic of significant debate over recent decades. Chattopadhyay et al. (2011) explored the random fragmentation of YMCs through Monte Carlo simulations and treated the number of fragments, the mass of these fragments, and the time intervals between successive fragmentation as the random variables. In their research, masses of binary stars were generated from a bi-variate Gumbel Exponential distribution, and the masses of the single stars from a Truncated Pareto Distribution. They simulated
In the present work, our primary assumption was that 100% of the total fragments were binary stars. Subsequently, the distinction between binary and single stars was made based on the discussion of escape mass, as explained in the previous section. We retained a choice of
3.5 Simulation of binary stars
Based on our fitting of the observed masses of binary stars, the simulation of binary masses is conducted using the Griddy Gibbs Sampler method as given by Ritter and Tanner (1992), which is an approximate method of Gibbs Sampling. Gibbs Sampling facilitates generation of random samples from their corresponding conditional density, with a
Our conditional distribution,
1. Evaluate
2. Using
3. Generate a random number
Here, the mass of the primary component
As previously stated, the conditional density is highly complex, which makes direct simulation from this density unfeasible which validates the application of the Griddy Gibbs Sampler method. We segment the
3.6 Simulation of single stars
The single masses are simulated from the Truncated Pareto Distribution as mentioned in Chattopadhyay et al. (2011). With the choices of parameters as mentioned in Section 3.3, the random numbers are produced using the inverse transformation method for generating pseudo-random samples from the probability distribution. This method involves generating random samples based on the CDF of the distribution as given in Sinha (2018). By combining the total stellar masses derived from binary fragments and single stars, we establish a segmented power law. This allows us to determine the critical masses and the slopes for various segments.
4 Results and discussion
The resultant mass spectrum generated using a combination of masses from binary fragments and single fragments is fitted to segmented power laws in different mass regimes considering the initial parametric values, mass of molecular cloud, efficiency, and other parameters from Sinha (2018). The results are displayed in Table1 along with errors, obtained after repeating each simulation several times. Figure 4 shows the segmented power–law fit for

Table 1. Segmented power–law models fitted to the simulated fragments resulting from random fragmentation of young massive clusters (YMCs), accounting for a binary fraction that makes up
Hence, the changes observed in the slope of the IMF are due to the inclusion of unresolved binaries, which are gravitationally bound, and primarily recorded as single or high-mass stars or resolvable binaries. Moreover, it is not unknown whether the preliminary drivers determining the star fragmentation procedure are rotation and turbulence Offner et al. (2023), Riaz et al. (2018), the fragmentation procedure of small filaments in dense cores having massive accretion disks leads to multiple or binary system of stars born as protostars. Later, in the evaluation phase, multiplicity or binary declines with time, the binary protostars generally evolving as single stars for losing their gravitationally bound pair. Keeping in view the opacity-limited fragmentation scenario and mass segregation due to cooling from the core of the fragmentation mechanism to the radius, combined with the rotational speed and turbulence of the molecular gas, the presence of smaller stars in multiple systems toward the outer part of the disk of fragmentation is observable, which again leads to the formation of planets and planetary system associated with each star(s) as previously reported by Hannebeller and Gurdic (2024).
To summarize, the study sheds some light into the open questions of star formation and evolution scenarios, when a small number of observable quantities are available at hand.
Data availability statement
Publicly available datasets were analyzed in this study. This dataset can be found here: https://github.com/chulkovd/ORB6.
Author contributions
AS: conceptualization, methodology, project administration, supervision, validation, writing–original draft, and writing–review and editing. AD: data curation, formal analysis, funding acquisition, investigation, resources, software, visualization, and writing–original draft.
Funding
The author(s) declare that no financial support was received for the research, authorship, and/or publication of this article.
Conflict of interest
The authors declare that the research was conducted in the absence of any commercial or financial relationships that could be construed as a potential conflict of interest.
Publisher’s note
All claims expressed in this article are solely those of the authors and do not necessarily represent those of their affiliated organizations, or those of the publisher, the editors and the reviewers. Any product that may be evaluated in this article, or claim that may be made by its manufacturer, is not guaranteed or endorsed by the publisher.
References
Bellazzini, M., Fusi Pecci, F., Messineo, M., Monaco, L., and Rood, R. T. (2002). Deep hubble space telescope wfpc2 photometry of ngc 288. i. binary systems and blue stragglers. Astronomical J. 123, 1509–1525. doi:10.1086/340082
Bobee, B., and Ashkar, F. (1991). The gamma family and derived distributions applied inhydrology. Water Resources Publications
Brown, A. G., Vallenari, A., Prusti, T., De Bruijne, J., Babusiaux, C., Biermann, M., et al. (2021). Gaia early data release 3-summary of the contents and survey properties. Astronomy and Astrophysics 649, A1. doi:10.1051/0004-6361/202039657
Chabrier, G. (2003). Galactic stellar and substellar initial mass function. Publ. Astron Soc. Pac. 115, 763–795. doi:10.48550/arXiv.astro-ph/0304382
Chabrier, G. (2005). The initial mass function: from salpeter 1955 to 2005. Initial Mass Funct. 50 Years Later 327, 41–52. doi:10.1007/978-1-4020-3407-7_5
Chattopadhyay, T., Chattopadhyay, A. K., and Sinha, A. (2011). Modeling of the initial mass function using the metropolis–hastings algorithm. Astrophysical J. 736, 152. doi:10.1088/0004-637x/736/2/152
Chattopadhyay, T., De, T., Warlu, B., and Chattopadhyay, A. K. (2015). Cosmic history of the integrated galactic stellar initial mass function: a simulation study. Astrophysical J. 808, 24. doi:10.1088/0004-637x/808/1/24
Chattopadhyay, T., Sinha, A., and Chattopadhyay, A. K. (2016). Influence of binary fraction on the fragmentation of young massive clusters—a Monte Carlo simulation. Astrophysics Space Sci. 361, 120–214. doi:10.1007/s10509-016-2705-4
Chulkov, D., and Malkov, O. (2022). Visual binary stars with known orbits in gaia edr3. Mon. Notices R. Astronomical Soc. 517, 2925–2941. doi:10.1093/mnras/stac2827
Ducati, J. R., Penteado, E. M., and Turcati, R. (2011). The mass ratio and initial mass functions in spectroscopic binaries. Astronomy and Astrophysics 525, A26. doi:10.1051/0004-6361/200913895
Duquennoy, A., and Mayor, M. (1991). Multiplicity among solar-type stars in the solar neighbourhood. ii-distribution of the orbital elements in an unbiased sample. Astronomy Astrophysics 248 (2), 485–524.
Fischer, D. A., and Marcy, G. W. (1992). Multiplicity among m dwarfs. Astrophysical J. Part 396 (1), 178–194. doi:10.1086/171708
Giovinazzi, M. R., and Blake, C. H. (2022). A mass–magnitude relation for low-mass stars based on dynamical measurements of thousands of binary star systems. Astronomical J. 164, 164. doi:10.3847/1538-3881/ac8cf7
Hannebeller, P., and Gurdic, M. (2024). The physical origin of the stellar initial mass function. Annu. Rev. Astronomy Astrophysics 1, 1–53. doi:10.48550/arXiv.2404.07301
Hennebelle, P. G. M., and Grudić, M. (2024). The physical origin of the stellar initial mass function. Annu. Rev. Astronomy Astrophysics 62, 63–111. doi:10.1146/annurev-astro-052622-031748
Hertzsprung, E. (1923). On the relation between mass and absolute brightness of components of double stars. Bull. Astronomical Institutes Neth. 2, 15–22.
Izawa, T. (1965). Two or multi-dimensional gamma-type distribution and its application to rainfall data. Pap. Meteorology Geophys. 15, 167–200. doi:10.2467/mripapers1950.15.3-4_167
Kouwenhoven, M., Brown, A., Zwart, S. P., and Kaper, L. (2007). The primordial binary population. ii.-recovering the binary population for intermediate mass stars in scorpius ob2. Astronomy and Astrophysics 474, 77–104. doi:10.1051/0004-6361:20077719
Kroupa, P. (2002). The initial mass function of stars: evidence for uniformity in variable systems. Science 295, 82–91. doi:10.1126/science.1067524
Kroupa, P., Jerabkova, T., Giacomo, B., and Henri, M. (2019). The impact of binaries on the stellar initial mass function. Impact Bin. Stars Stellar Evol. 54, 208. doi:10.48550/arXiv.1806.10605
Kroupa, P., Tout, C. A., and Gilmore, G. (1993). The distribution of low-mass stars in the galactic disc. Mon. Notices R. Astronomical Soc. 262, 545–587. doi:10.1093/mnras/262.3.545
Malkov, O., and Zinnecker, H. (2001). Binary stars and the fundamental initial mass function. Mon. Notices R. Astronomical Soc. 321, 149–154. doi:10.1046/j.1365-8711.2001.04015.x
Offner, S. S. R., Moe, M., Kratter, K. M., Sadavoy, S. I., Jensen, E. L. N., Tobin, J. J., et al. (2023). The origin and evolution of multiple star systems. Annu. Rev. Astronomy Astrophysics 534, 275. doi:10.48550/arXiv.2203.10066
Olver, F. W. J., and Lozier, D. W. (2010). NIST handbook of mathematical functions. The city: Cambridge University Press.
Riaz, R., Bovino, S., Vanaverbeke, S., and Schleicher, D. R. G. (2018). The formation of protostellar binaries in primordial minihalos. Mon. Notices R. Astronomical Soc. 479, 667–677. doi:10.1093/mnras/sty1635
Ritter, C., and Tanner, M. A. (1992). Facilitating the gibbs sampler: the gibbs stopper and the griddy-gibbs sampler. J. Am. Stat. Assoc. 87, 861–868. doi:10.1080/01621459.1992.10475289
Russell, H., Adams, W., and Joy, A. (1923). A comparison of spectroscopic and dynamical parallaxes. Public. Astro. Soc. Pac. 35, 189–193.
Sagar, R., and Richtler, T. (1991). Mass functions of five young large magellanic cloud star clusters. Astronomy Astrophysics 250 (250), 324–339. doi:10.48550/arXiv.astro-ph/9712317
Salpeter, E. E. (1955). The luminosity function and stellar evolution. Astrophysical J. 121, 161–121. doi:10.1086/145971
Sanner, J., and Geffert, M. (2001). The imf of open star clusters with tycho-2. Astronomy and Astrophysics 370, 87–99. doi:10.1051/0004-6361:20010230
Sinha, A. (2018). “Fragmentation of young massive clusters: a hybrid Monte Carlo simulation study,” in Statistics and its applications: platinum jubilee conference (Kolkata, India: Springer), 1–14.
Vallenari, A., Brown, A. G., Prusti, T., De Bruijne, J. H., Arenou, F., Babusiaux, C., et al. (2023). Gaia data release 3-summary of the content and survey properties. Astronomy and Astrophysics 674, A1. doi:10.1051/0004-6361/202243940
Keywords: initial mass function, Izawa bi-variate gamma distribution, escape mass, Griddy Gibbs sampler, mass segregation
Citation: Sinha Adhikary A and Das A (2025) Fragmentation of young massive clusters in binary components: an application of Griddy Gibbs Sampler. Front. Astron. Space Sci. 12:1473492. doi: 10.3389/fspas.2025.1473492
Received: 31 July 2024; Accepted: 17 February 2025;
Published: 13 March 2025.
Edited by:
Vincenzo Ripepi, Astronomical Observatory of Capodimonte (INAF), ItalyReviewed by:
Asis Chattopadhyay, University of Calcutta, IndiaDominik Schleicher, Sapienza University of Rome, Italy
Copyright © 2025 Sinha Adhikary and Das. This is an open-access article distributed under the terms of the Creative Commons Attribution License (CC BY). The use, distribution or reproduction in other forums is permitted, provided the original author(s) and the copyright owner(s) are credited and that the original publication in this journal is cited, in accordance with accepted academic practice. No use, distribution or reproduction is permitted which does not comply with these terms.
*Correspondence: Abisa Sinha Adhikary, YWJpc2Euc2luaGFAZ21haWwuY29t