ORIGINAL RESEARCH article
Front. Cell. Infect. Microbiol.
Sec. Clinical Infectious Diseases
This article is part of the Research TopicExploring Clinical Application Scenarios of Metagenomic Next-Generation Sequencing for Pathogen DiagnosisView all 16 articles
Identification of Subtypes and Construction of a Predictive Model for Novel Subtypes in Severe Community-Acquired Pneumonia Based on Clinical Metagenomics: A Multicenter, Retrospective Cohort Study
Provisionally accepted- 1Taizhou hospital of Zhejiang province affiliated to Wenzhou medical university, Taizhou, China
- 2The Second Affiliated Hospital and Yuying Children's Hospital of Wenzhou Medical University, Wenzhou, China
Select one of your emails
You have multiple emails registered with Frontiers:
Notify me on publication
Please enter your email address:
If you already have an account, please login
You don't have a Frontiers account ? You can register here
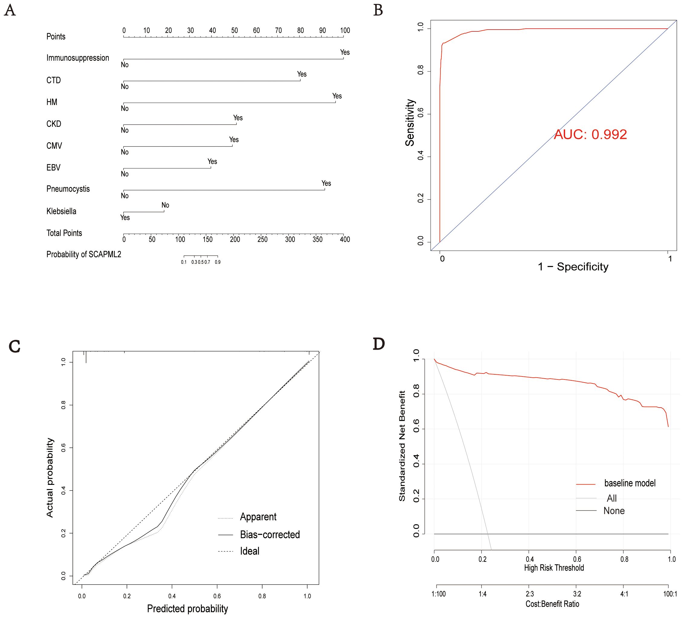
Objective: It is well recognized that high heterogeneity represents a key driver of the elevated mortality in severe community-acquired pneumonia (sCAP). Precise subtype classification is therefore essential for managing and prognostication in sCAP. This study aimed to develop a predictive model for novel clinical subtypes of sCAP, leveraging microbiome profiles identified via metagenomic next-generation sequencing (mNGS). Methods: This retrospective multicenter cohort study enrolled adult patients with sCAP who underwent clinical mNGS testing of bronchoalveolar lavage fluid in intensive care units (ICUs) across 17 medical centers in China. Based on mNGS-identified microbiome characteristics, unsupervised machine learning (UML) was employed for clustering analysis of sCAP patients. LASSO regression and random forest (RF) algorithms were applied to screen and identify predictors of novel sCAP subtypes. A predictive model for the new clinical subtypes was constructed according to the screening results, with a nomogram generated. The discriminative ability, calibration, and clinical utility of the model were evaluated using ROC curves, calibration curves, and decision curve analysis, respectively. Results: A total of 1,051 sCAP patients were included in the final analysis. The 28-day all-cause mortality rate was 45% (473/1,051). UML clustering identified two distinct sCAP subtypes: the 28-day mortality rate was 42.19% (343/813) in subtype 1 and 54.62% (130/238) in subtype 2. Incorporating clinical and microbial features, a predictive model for the novel sCAP subtypes was developed using the following predictors: immunosuppression (OR = 37,411.46, P < 0.001), connective tissue disease (CTD) (OR = 12,144.60, P = 0.004), hematological malignancy (HM) (OR = 107,768.13, P < 0.001), chronic kidney disease (CKD) (OR = 49.71, P < 0.001), cytomegalovirus (CMV) (OR = 0.00, P < 0.001), Epstein-Barr virus (EBV) (OR = 131.97, P < 0.001), Pneumocystis (OR = 47,949.56, P < 0.001), and Klebsiella (OR = 0.02, P = 0.003). The model demonstrated excellent discriminative ability with an area under the ROC curve (AUC) of 0.992. Calibration curves showed good agreement between predicted and observed outcomes. Decision curve analysis confirmed high clinical utility for predicting novel sCAP subtypes. Conclusion: This study identified novel clinical subtypes of sCAP based on mNGS-derived microbiome characteristics.
Keywords: Severe community-acquired pneumonia, pulmonary microbiome, metagenomic next-generation sequencing, machine learning, Subtype classification
Received: 30 Jul 2025; Accepted: 10 Nov 2025.
Copyright: © 2025 Chen, Jiang, Lv, Zhang, Dai, Wang, Li, Qi, Xu, Yu, Xu, Lu, Wu, Xu and Jin. This is an open-access article distributed under the terms of the Creative Commons Attribution License (CC BY). The use, distribution or reproduction in other forums is permitted, provided the original author(s) or licensor are credited and that the original publication in this journal is cited, in accordance with accepted academic practice. No use, distribution or reproduction is permitted which does not comply with these terms.
* Correspondence:
Xiaomai Wu, wuxm@enzemed.com
Yinghe Xu, xuyh@enzemed.com
Shengwei Jin, jinshengwei69@163.com
Disclaimer: All claims expressed in this article are solely those of the authors and do not necessarily represent those of their affiliated organizations, or those of the publisher, the editors and the reviewers. Any product that may be evaluated in this article or claim that may be made by its manufacturer is not guaranteed or endorsed by the publisher.
