- Department for the Social Sciences of Sport, Institute for Sport Sciences, University of Münster, Münster, Germany
Introduction: Mega sporting events, such as the Olympic Games, provide niche sports with unique opportunities to attract public attention. However, scandals during these events can pose serious threats to these sports. In particular, if a sport scandal enables hostile stakeholders to achieve a scale shift, it becomes almost impossible for a niche sport organization to manage the scandal.
Methods: The article employs a comparative research design that examines the trajectory of two scandals related to the German Olympic team that differ with regard to the occurrence of a scale shift. The first scandal involved a racist slur made by a German official during a cycling event; the second scandal was a case of animal cruelty during the modern pentathlon's equestrian event. Research relies on a mix of qualitative document analyses and quantitative analyses of the German Twitter discourse on both scandals. The analyses focus on the vulnerability to scandals, the potential for contentious politics, the scandal triggering events, the crisis communication, the reception, and the outcomes of both scandals.
Results and discussion: Our results show the detrimental impact of a scale shift on niche sports. The animal cruelty scandal put the future of the modern pentathlon at the Olympics at risk and triggered far-reaching reforms. The case supports the idea that a scale shift becomes more likely if there exists an effective collective action frame. In contrast, the German sports organizations effectively ended the racist slur scandal by imposing a limited sanction on the offender.
1. Introduction
The Olympics offer many niche sports a chance in the limelight, and many are able to boost their image through extensive media coverage and exposure to a global audience. However, the increased attention also implies that a scandal can be more profound than if it happened in ordinary competition. A scandal represents a transgression or inappropriate action, and it does not necessarily result in any substantial harm. Yet if a scandal escalates, it can turn into a crisis that can cause reputational or financial damage to an organization (Johansson and Vigsø, 2020). The destructive potential of sports scandals has increased due to the rise of social media. Sports have received substantial benefits from social media in terms of fan involvement, para-social relations, and fan identification (Williams et al., 2014). However, social media also create new risks. Social media have the potential to turn a scandal into a crisis and can further expand the boundaries of a crisis outside fan circles and geographic centers to those areas of interest or influence that can be otherwise unconfined (e.g., van der Meer and Verhoeven, 2013; Brown, 2014; Sung and Hwang, 2014; Morgan and Wilk, 2021).
When a crisis occurs, organizations usually employ crisis management strategies to limit reputational and commercial damage. Scholars have created a classification of typical crisis response strategies that are employed to protect or repair an organization's reputation and legal and commercial viability to explain the strategies that are most effective when organizations take specific paths. Contingency theory suggests that an organization's stance and crisis response strategies are influenced by factors located at an external and internal dimension (Donaldson, 2001). External contingency factors include threats outside the control of the organization or the industry environment, the political–social–cultural environment, the characteristics of the external stakeholders, and type, size, and complexity of the issue.
We combine concepts from scandal theory, communication theory, and crisis communication theory to further understand the issues at hand. In particular, we argue that social media provide hostile stakeholders with new opportunities to achieve a “scale shift”. Protest activists can promote highly effective frames scandalizing certain practices by capitalizing on the fact that social media are prone to “context collapse”, which creates difficulties for target organizations to adequately respond to a scandal. Thus, common crisis responses might fail, such as efforts to distance the organization from the action and to personalize misconduct.
We argue that in a case in which a sport scandal results in a context collapse enabling hostile stakeholders to achieve a scale shift, it becomes almost impossible for a niche sport organization to manage the scandal, which comes with far-reaching consequences. In order to provide support for our idea, we employ a comparative case study design that allows us to study the phenomenon in question in its real-life context. While the Tokyo Olympics might be best remembered for a 1-year delay and the absence of a crowd, the German Olympic team attracted undesired attention as it was involved in two scandals: a racist incident and a case of animal cruelty. We proceed as follows: We examine the vulnerability of the two sports to scandals and the potential for activist protests before the Olympics. We then analyze the Twitter discourse about the two scandals, the sports federations' responses, and the scandal outcomes.
2. Theoretical background
The Olympic Games (the Olympics) are the world's most important mega-sport event (MSE). As a media event, the Olympics represent what Dayan and Katz (1992) have called “high holidays of mass communication” with immense power to shape collective imagination and memory. For many niche sports, the Olympics are the primary source for gaining media coverage, consumer attention, and, ultimately, funding. By bundling distinct sports under a joint brand, the Olympics create an aggregation effect so that niche sports, which usually struggle to gain some media coverage at all, are able to attract substantial audience numbers (e.g., Meier et al., 2020). Inevitably, this dependence on the coverage and attention created by a single MSE implies substantial risks if a crisis or scandal becomes public during that very MSE.
The hyper-mediatized sport sphere provides ample support for the claim that scandals are ubiquitous phenomena in mediatized societies (Adut, 2005, 2008). Following Adut, we define a scandal as:
an event of varying duration that starts with the publicization of a real, apparent, or alleged transgression to a negatively oriented audience and lasts as long as there is significant and sustained public interest in it (Adut, 2008).
Sports scandals differ from a simple transgression, such as a violation of rules. Yet, they exist on a continuum of severity depending on the extent of illegality or immorality, the number of persons involved, the duration, and the impact on the integrity of the sport (Chien et al., 2016). Like other scandals, sports scandals have a moral component (Lewis and Hirt, 2019). Accordingly, it is likely that the audience moralizes a situation, which can trigger negative emotions and impact the attitudes toward a sport and its organizations (Zhao and Valentini, 2022). Previous research has demonstrated that sports scandals can have a strong impact on sport culture and fandom as well as on reputation and revenues (e.g., Solberg et al., 2010; Baker and Rowe, 2013; Rowe, 2019). Scandals can even threaten the future of sports because:
the negative publicity of some sports and the manner in which this has been portrayed has led people to question whether the sport should continue to receive government funding or retain a particular status, such as being an Olympic sport (Wilson et al., 2010).
Similar to “ordinary” corporate scandals, sports scandals can become disrupting and structuring events (Clemente et al., 2017; Daudigeos et al., 2020). As theorized by Daudigeos et al. (2020), corporate scandals make firms vulnerable and push them to be more open to the claims of marginalized or even hostile stakeholders. Building on the work of Adut (2005, 2008), these authors argue that three key social processes are associated with scandals: first, a “scale shift” or a convergence of contention on a single target; second, publicization of deviant behaviors, which provokes collective disapproval; and, finally, organizational contagion, which refers to social actors becoming anxious that they will be contaminated because the public questions the quality of their partners, which inspires social distancing (Jensen, 2006; Jonsson et al., 2009; Pontikes et al., 2010).
Essential for the disruptive potential of a scandal is the process of a scale shift, which McAdam et al. (2001) defined as “a change in the number and level of contentious actions leading to broader contention involving a wider range of actors and bridging their claims and identities”. Such a scale shift requires the existence of political entrepreneurs who successfully employ a collective action frame for mobilizing support and exploit a favorable opportunity structure. As elaborated by Soule (2012), private or non-state organizations are increasingly involved in forms of private and contentious politics because they have become targets of political entrepreneurs. Social movement research deems “the struggle over the production of mobilizing and counter mobilizing ideas and meanings” as central for the success of political entrepreneurs (Benford and Snow, 2000). Therefore, a facilitating condition for building a network of allies and for mobilizing support is the existence of an effective collective action frame (den Hond and de Bakker, 2007). A collective action frame represents an “interpretative schemata that simplifies and condenses the ‘world out there’ by selectively punctuating and encoding objects, situations, events, experiences, and sequences of actions” (Snow and Benford, 1992). According to social movement research, successful activists have to provide “diagnostic framing”, that is, a description of a social problem and its seriousness, “motivational framing”, which presents moral justifications for actions, and, finally, “prognostic framing”, which suggests solutions, strategies, and tactics to a social problem (Snow and Benford, 1988). Prognostic framing can also be defined as “theorizing”, that is, the “self-conscious development and specification of abstract categories and the formulation of patterned relationships such as chains of cause and effect” (Strang and Meyer, 1993). In a nutshell, theorizations justify an abstract solution and render ideas into understandable and compelling formats (Strang and Meyer, 1993).
The political opportunity structure can be broadly defined as the receptivity of the public and elites to the claims made by political entrepreneurs (Soule, 2012). MSEs, such as the Olympics, provide a natural focal point of public attention and, therefore, a unique potential stage for activist protests. Moreover, social media have benefitted sports organizations and athletes in a number of ways, but they have also increased reputational risks. As other consumers of entertainment, sports fans have moved online to socialize digitally (Crawford, 2009). Sports organizations and athletes try to capitalize on the fact that the interactivity and bidirectionality of social media have blurred the boundaries between audiences and publics (Boyd, 2012). Thus, sports organizations and athletes use social media to expand storytelling, sponsorship, para-social relationships, and advocacy (Pegoraro, 2010; Stavros et al., 2014; Meng et al., 2015; Abeza, 2016; Næss and Tickell, 2019). In normal times,
engagement opportunities for consumers (e.g., consumer-to-consumer interactions, voluntary participation in marketing programs, collaborative product customization, and reciprocal service learning and delivery), […] contribute to increasing the profitability of engaged consumers (Yoshida et al., 2014).
However, when a crisis emerges, the particular features of social media can turn into a destructive force. As argued by van Dijck (2013), by providing expansive and immediate connectivity, social media platforms have turned into sites of political debate and conflict. Social media have also lowered barriers for collective action, which qualifies them to serve as a podium for marginalized actors and also facilitates the widespread diffusion that seems to be essential for a scale shift (McAdam et al., 2001). As a result, social media have become crucial for challenging the legitimacy of organizations (Etter et al., 2017). They provide particularly favorable conditions for disruptive scale shifts that converge contention on a single target because they collapse multiple audiences into one (Marwick and Boyd, 2011). Initially, the concept of “context collapse” served to emphasize that social media make it difficult for people to use the same communication techniques that they use to handle multiplicity in face-to-face conversation (Marwick and Boyd, 2011). The concept is of broader relevance as it emphasizes the decreasing agency of social media users who have little control over who receives messages and how they are understood. Thus, a particular risk of social media communication is that behaviors and statements can easily be decontextualized. The concept of context collapse also indicates that it is difficult to exclude users from a conversation. While it was once the domain of traditional media to transcend multiple audiences (Baym and Boyd, 2012), the decentralized character of social media creates favorable opportunities for political entrepreneurs trying to reach out to new publics (Allagui and Breslow, 2016). Corporations can lose control of their messages and become vulnerable to postings by hostile external parties (Civelek et al., 2016). Social media have also served as a catalyst for political activists to approach sports organizations (Brown-Devlin, 2023). While social media have allowed sports organizations to circumvent traditional gatekeepers in order to directly address fans, this disintermediation can prove to be a disadvantage for managing a scandal or a legitimacy crisis. As much as the disintermediation by social media has facilitated the rise of political populism (Engesser et al., 2017), it can serve to escalate legitimacy crises. Social media's propensity to encourage highly emotional communication can result in “emotional contagion” (Ferrara and Yang, 2015). The emotional attachment in social media communications can disrupt narratives that have so far been dominant and affect consumer attitudes and behavior, whereby a tipping point might be reached that necessitates organizational change (Baker and Rowe, 2013; Lim et al., 2015; Mourão and Brown, 2022). Of course, the emotional attachment can also be harnessed for change by political entrepreneurs (Duncombe, 2019).
As organizations increasingly face the risk of contentious politics, scholars of crisis communication management have tried to develop strategies for limiting the reputational and commercial damage to an organization to ensure that it can continue to operate successfully into the future (Davies and Miles, 1998; Morgan and Wilk, 2021; Coombs and Holladay, 2022). In general, professional sports do not have to be concerned with the full array of risks that can apply to other businesses (e.g., human-induced product recall). Rather, they are much more at risk of damage from rumors or organizational misdeeds, in which people connected to the organization knowingly operate outside the law, regulations, or commonly accepted behaviors (Coombs and Holladay, 2002). Contingency theory suggests that an organization's stance and crisis response strategies are influenced by several variables known as contingency factors (Donaldson, 2001). Thus, the “situational crisis communication theory” (SCCT) builds on attribution theory in which people search for causes of events and attempt to predict a reputational threat and the necessary strategies and responsibilities that the organization needs to manage emotions and behavioral intentions of the public (Coombs, 2007; Tkalac Verčič et al., 2019; Coombs and Tachkova, 2023).
The SCCT approach details primary response strategies. These responses can be broadly divided into defensive tactics, that is, scapegoating, attacking the accuser, excusing, and denying, and accommodative tactics, such as ingratiating, correcting, cooperating, and fully apologizing (Coombs, 2007). A crisis needs to be understood and actioned to whether it is global or host, that is, whether the crisis affects a greater geographical area or can be concentrated both in terms of geography and of stakeholder groups (Coombs, 2010). A standard approach to crisis communication is scapegoating, which personalizes responsibility for a transgression in order to protect the organization's reputation. Such an attribution of responsibility followed by punitive actions against individuals who violated the values of the organization can help to distance the organization from the transgression and mitigate the crisis (Ma and Zhan, 2016). But when presented with a situation that is deemed highly unacceptable, “the primary publics tend to experience anger when facing a demanding offense from certain organization against them or their well-being” (Jin, 2007). Such anger can be proportional to the issue at hand or can draw a lobbying response from organizations through media framing (Waymer, 2017). Emotional reactions from publics and of the goals of external stakeholders can influence the trajectory of a scandal, even if an organization takes proactive measures against a member who acts against the values of the company. However, emotions do not always require far-reaching changes. Organizational response tactics can simply be to listen to emotional reactions (Coombs, 2007). The actions might be limited to apologies, training, awareness initiatives, or termination of relevant staff. In some cases, simply outlasting the public attention cycle can also be sufficient (Eriksson, 2018; Coombs and Holladay, 2022).
The crisis communication theoretical frameworks have been found to be too abstract for many professionals to apply in the midst of a crisis (Claeys and Opgenhaffen, 2016; Claeys and Coombs, 2020). As outlined by Claeys and Opgenhaffen (2016), a combination of experience and guidelines tailor-made to the organization is necessary (p. 238). This approach emphasizes that two factors are at play in any crisis response. The first is the culture of the organization, which dictates the crisis response (Claeys and Opgenhaffen, 2016). The second relates to the human nature of crisis communication. An early misstep in the execution of a strategy “may lead to other parties claiming ownership of the issue, along with its narrative” (Claeys and Opgenhaffen, 2016). These qualifications of SCCT are in line with Coombs (2010), who suggested that additional “evidence based crisis communication” strategies have to be identified (p. 721). Furthermore, the mechanisms in SCCT and their efficacy are not only limited by the actions of the focal organization but also by the actions of its stakeholders (e.g., sponsors), which can impact the effectiveness of the crisis response (Schafraad and Verhoeven, 2019). There are numerous accounts of stakeholder organizations shifting the blame or deflecting responsibility to defend their own reputations rather than to address the situation with a multistakeholder approach (see, e.g., Michelin vs. FIA vs. Indianapolis Motor Speedway for the US F1 Grand Prix 2005 or the Duke University Lacrosse scandal 2006) (Benoit, 2014). As outlined by van der Meer et al. (2017), stakeholder relationships can be strained during a crisis, and if the salient aspects of these relationships change, a negative relationship shift can occur.
The current paper aims to contribute to the debate about the efficacy of crisis communication strategies. We will examine one implication of contingency theory according to which it becomes much harder to control a message and to effectively target a set of users if a context collapse occurs (Eriksson, 2018) and a scale shift materializes. A scale shift can affect the salience of an issue so that it outlasts news and attention cycles. In combination with targeted contention by activists, the typical scapegoating and excuse strategies will turn into inefficient responses (Coombs, 2007; Roshan et al., 2016). Accordingly, our contribution aims to examine the following, theoretically-derived proposition in a comparative case study:
If activists succeed in utilizing a scandal to achieve a convergence of contention on a single target (scale shift), fundamental reform becomes unavoidable.
3. Research design
3.1. Case study design
We employed a comparative case study design and examined the two scandals involving the German Olympic team during the Tokyo Olympics of 2022. The first scandal involved a racist slur by a German official during a road cycling competition; the second was an animal cruelty incident during a modern pentathlon event. While the case selection initially represented a convenience sample, the cases differed with regard to the key explanatory variable as stated in our proposition: A scale shift seemed to have been achieved in the animal cruelty incident but not in the racist slur scandal. Therefore, our case selection resembled the most similar method in comparative case study research according to which cases should be selected based on the independent variable (Seawright and Gerring, 2008). This case selection method has been heavily championed in comparative case study research because it seems to emulate experimental designs common in the natural sciences (King et al., 1994; Gerring and McDermott, 2007). However, the assumption of the most similar method in its purest form in which the selected cases differ only with respect to the independent variable (Seawright and Gerring, 2008) is rather heroic and hard to meet given limited variety in the empirical population of cases. Although our cases differ with regard to the key explanatory variable (scale shift), we cannot claim that variations in the outcome variable (reform) have been exclusively caused by this variable. Nevertheless, the method of structured focused comparison, which we employ, allows the exploration of possible links between potentially relevant factors and case outcomes (George and Bennett, 2005), particularly when it is combined with process-tracing methods (Beach and Pedersen, 2013). Process-tracing methods “are tools to study causal mechanisms in a single-case research design” (Beach and Pedersen, 2013), which aim to construct narratives of structures and events by employing analytical concepts (Rowlinson et al., 2014) The ambition is to build relevant, verifiable, causal stories in the form of coherent sequences of motivated actions (Aminzade, 1992). Yet, while process-tracing methods are suited to show the presence of certain social mechanisms or factors, they do not allow the inference that these mechanisms were the only factors causing the outcome. Nevertheless, a narrative should always be verifiable as it should be true to the sequence of events, actor moves, and institutional outcomes and relies on a rich collection of primary sources, that are turned into theoretically relevant evidence by means of assessing, evaluating, and interpretating (Beach and Pedersen, 2013).
3.2. Data sources and analytic strategy
Our comparative case study combines the analysis of structures and events with quantitative thematic analyses of the German Twitter discourse on both scandals. We structure our case studies as follows: First, we examine the vulnerability of the relevant niche sports to public scandals. Second, we explore the potential for contentious politics in both sports. Third, we depict the scandal-triggering events. Fourth, we provide an account of the crisis communication by both sports. Fifth, we analyze the reception of both scandals by the German Twitter audience to provide evidence for a scale shift among audiences. Finally, we examine the outcomes of both scandals. The analysis of the Twitter discourse on both scandals represents just one element in the analytical narrative to be developed and is not the exclusive focus of our research. Nevertheless, the analysis of the Twitter discourse is crucial because it serves to indicate the presence or absence of the key explanatory variable.
3.3. Thematic analysis of twitter data
The architecture of Twitter allows data sampling and analyses at different levels, and we capitalized on this fact to examine the Twitter discourse on both scandals. Communication on Twitter is coordinated through hashtags, which refer to a specific event, topic, or theme. Including a hashtag in a tweet implies that a sender intends “to take part in a wider communicative process” (Bruns and Moe, 2014). Since both scandals involved the German Olympic team, we only retrieved tweets in the German language. We expected that most of the Twitter discourse regarding the two scandals would be centered around dominant topical hashtags and, therefore, took the following approach. First, we recorded all tweets during the Tokyo 2020 Olympics that used the most trending hashtags in Germany with regard to the Olympics (i.e., #olympia2020, #tokio2020, #teamd or similar) and that had a geotag from Germany. In a second step, we filtered out the tweets that referred to either of the two scandals or both of the scandals. A list of 269 hashtags was used to filter out those tweets that clearly referred to one or both scandals. Examples of these hashtags include #moster or #rassismus (racism) for the racist slur scandal and #schleu or #tierquälerei (animal cruelty) for the animal cruelty incident. The entire population of German tweets related to the Tokyo 2020 Olympics equaled 123,716 tweets from 13,634 unique users. The relevant population for our comparative case studies consisted of 2,544 tweets from 1,685 unique users, of which 522 tweets from 416 unique users referred to the racism scandal in cycling and 2,022 tweets from 1,352 unique users referred to the animal cruelty incident in the modern pentathlon.
To examine whether a scale shift occurred, we aimed to sample tweets representative of the reception of the scandals among Twitter audiences. We followed the assumption that the most popular tweets would be the most representative tweets. As a proxy for a tweet's popularity, we rely on the number of retweets (RTs) since retweeting or forwarding a tweet is one of the key mechanisms for information diffusion in Twitter (Suh et al., 2010). We decided to sample the one hundred most popular tweets for each scandal regardless of the different sizes of the base populations. Focusing on the most popular one hundred tweets seemed rational after the remaining tweets did not receive many retweets.
After the two hundred most often retweeted tweets were retrieved, we performed a thematic coding of the tweets following the steps outlined by Braun and Clarke (2006). We identified initial codes, discussed and refined them, and defined more abstract themes. Ultimately, we decided to create a single variable that assumes the following twelve exclusive categories:
- News coverage: these tweets simply report on the transgression without taking a stance.
- Condemnation of the transgression: in these tweets, the transgression is explicitly morally condemned.
- Relativization of the transgression: tweets that attempt to relativize the transgression.
- Report on personal sanctions: these tweets report personal sanctions against the offenders.
- Criticism of media coverage: tweets that criticize the coverage of the transgression by the media.
- Approval of media coverage: tweets that approve of the media coverage of the transgression.
- Criticism of response of sports organizations: tweets of this category criticize the response of sports organizations as inadequate.
- Claims of contamination: tweets that claim that other organizations and actors interacting with the offenders were contaminated or compromised by the scandal.
- Distancing of other actors: tweets that report distancing behavior of other actors.
- Personal sanctions demanded: these tweets demand (stricter) personal sanctions against the offenders.
- Demand for institutional reform: tweets from this category demand a fundamental institutional reform in response to the scandal.
- Scale shifting attempt: these tweets attempt to achieve a further scale shift by characterizing the transgression as indicative of general societal problems.
- Discourse takeover: these tweets try to take over the scandal discourse by linking it to other transgressions.
- Meme: tweets including a joke or a skit.
- Other: residual category.
After intense work on the codebook, two members of the research team coded all of the two hundred tweets. Intercoder reliability (ICR) was sufficient (Krippendorff's α = 0.762; see Krippendorff, 2018). We also reported intercoder agreement for every thematic category in Table 1.
4. The two scandals at the Olympics
4.1. Vulnerability to scandals prior to the Olympics
The IOC has been trying to modernize the Olympics to maintain its appeal to younger audiences (IOC, 2002; Girginov, 2012). Impressed by the success of the X Games (Thorpe and Wheaton, 2011), the IOC added extreme sports or freestyle sports, such as skateboarding, sports climbing, and surfing, to the program of the Tokyo Olympics and breakdancing to the program of the upcoming Paris Olympics (International Olympic Committee, 2016; Diario, 2021; Velayos, 2021). As the modernization agenda of the IOC also includes a commitment to break the trend toward Olympic “gigantism,” such modernization efforts inevitably imply that a number of sports will be dropped from the Olympic program. This increases the vulnerability of niche sports to public scandals.
Cycling is certainly a niche sport within the context of the Olympics because the most important cycling events represent well-established brands owned by commercial organizers. While doping scandals in professional cycling served to “contaminate” the Olympic movement in the late 1990s, cycling's future presence in the Olympic program is certainly less uncertain than that of the modern pentathlon, which faces a number of issues in terms of audience appeal. As a former military competition, the modern pentathlon comprises five disciplines, namely fencing, swimming, horseback riding, running, and pistol shooting. The sport is difficult to broadcast and offers little visual attractions. It also represents an “equipment-intensive” sport, which restricts the number of participants (Engesser et al., 2017). Due to these features, the sport hardly fulfilled some of the criteria that the IOC has defined for its competitions, which include “television ratings, ticket sales, an anti-doping policy, and global participation and popularity” (NBC Sports, 2013). Hence, the modern pentathlon was already at the edge of being dropped from the program for the Tokyo Olympics and was barely retained as a “core sport” (NBC Sports, 2013). The sports' governing body, the Union Internationale de Pentathlon Moderne (UIPM), had already realized the need for modernization before the scandal. Prior to the Tokyo Olympics, the UIPM announced its intention to decrease the competition time to just 90 min and to incorporate a “laser run” to attract potential athletes (UIPM, 2021a).
To summarize: Given the IOC's attempts to drop sports with limited audience appeal, restricted global diffusion, and substantial infrastructure requirements, the modern pentathlon was much more vulnerable to potential scandals than cycling. As scandals serve to contaminate affiliated organizations (Jensen, 2006; Jonsson et al., 2009; Pontikes et al., 2010), it seemed likely that the IOC would use a potential scandal in order to drop a sport that had become a liability to the Olympic program.
4.2. Potential for contentious politics
The two issues at stake were not primarily different with regard to grievances but in terms of theorizations. While racism and other forms of discrimination have existed in sports for decades (e.g., Davis, 1995; Baker and Rowe, 2013; Cashmore and Cleland, 2014; Heaney and Flam, 2016), secular changes in social attitudes have created increased awareness of racist incidents and inspired a number of initiatives to address such discrimination in sports. As a result, not only has racist discrimination in sports become scandalized, but sports has become an arena for addressing racism in society (Singer et al., 2020). Nevertheless, scholars agree that there are no simple recipes for mitigating racism in sports (Dixon et al., 2016; Penfold and Cleland, 2022).
As with discrimination in sports, the issue of animal welfare and animal rights in sports is not new. For example, scandals have repeatedly occurred in greyhound or horse racing. Typically, these scandals involve the use of whips or fatal injuries to the animals. In horse racing, whipping is a common practice to encourage the horses to run faster (Pinchbeck et al., 2004; Evans and McGreevy, 2011; Thompson et al., 2020). Yet notwithstanding attempts of animal rights groups as well as governing bodies to restrict whipping, the practice has prevailed, while the industry seems to continue to operate largely unaffected by such scandals (e.g., Rollin and McIlwraith, 2011; Graham and McManus, 2016; Wahlquist, 2020; Elder, 2023). However, animal use in sports also involves the killing of underperformers. In 2017, it was revealed that in Ireland, almost 6,000 dogs were killed. The scandal triggered a decline in media coverage and attendance (Carroll, 2019). In 2019, a major investigative report by a national broadcaster in Australia suggested that three-hundred horses were slaughtered in one abattoir in just 22 days in 2019 (Australian Broadcasting Commission, 2019). The Australian governance body subsequently banned the practice (ABC News, 2019). However, the ban seemed to be enforced in a highly ineffective manner (Knaus and Wahlquist, 2002; McManus, 2019).
While cases of animal cruelty in sports might pale in comparison to the treatment of animals in the medical, cosmetic, or tourism industry (Karampournioti et al., 2018; Christensen and Lamberton, 2022), animal rights groups have fiercely opposed the use of animals in sports, which has resulted in a ban of certain sports (Velez, 2011). The fundamental character of the opposition is indicated by the fact that it extends from hunting and bull fighting to horse, greyhound, and even pigeon racing (Geraldy, 2007; Munro, 2012; Hoetzer, 2013; María et al., 2017).
To sum up: While sensitivity to racism and other forms of discrimination in sports has substantially increased and inspired a number of serious efforts to mitigate these problems, the policy issue is perceived as complex and requiring efforts located at different levels. In contrast, animal rights groups pursue a clear-cut agenda dedicated to end the use of animals in sports. In light of our theoretical considerations, animal rights groups that state “animals are no sport equipment” present an understandable and compelling theorization that justifies a clear-cut policy solution, which is the end of animal use in sports.
4.3. The scandal-triggering transgressions
During the cycling road trial, German official and team coach Patrick Moster made a racist slur to his rider Nikias Arndt in order to motivate him to catch up to a group of North-African cyclists. Moster's shout “Get the camel drivers!” was heard live on television. It caused an immediate reaction from the German TV commentator, who said that: “If I've really understood what he was shouting, that was totally wrong” and “Words fail me… something like that has no place in sport” (Deutsche Welle, 2021).
Barely a week later, the German Olympic team courted more controversary. The modern pentathlon includes an equestrian event and requires competitors to ride an unfamiliar horse, which is drawn at random, in a certain time over an obstacle course. German competitor Annika Schleu, who was in the lead before the equestrian competition, was assigned the horse Saint Boy. The horse started to buck and refused to follow commands. Schleu and her coach, Kim Raisner, were becoming frustrated and desperate. Seeing their Olympic chances disappear, they hit and punched the horse (Gustavo Mirabal Castro, 2021; Lane, 2022). The German TV commentator was highly sympathetic with the German team and characterized the incident as an “inconceivable bitter, unfortunate, undeserved moment, where you have to witness the helplessness, where someone just can't do anything in this situation” (Twitter, 2021).
4.4. Crisis communication
In response to the public outcry about his racist slur, Moster provided an immediate apology at the press conference after the race. Initially, the apology seemed to be sufficient for the German Cyclists' Federation (BDR) as well as the German Olympic Committee (DOSB) (BDR Medienservice, 2021b). The German governance bodies merely announced to have talks with Moster after the Olympics (BDR Medienservice, 2021b; FAZ.NET, 2021a). The International Cycling Union (UCI) issued a statement characterizing Moster's comments as “discriminatory and contrary to the basic rules of decency” and made clear that the “UCI condemns all forms of racist and discriminatory behavior.” Yet after two such statements on July 29 and August 6, the UCI did not again comment on the matter (UCI, 2021a,b). While the IOC did not issue any press releases on the incident, it created backstage pressure on the German governing bodies for a stronger response. Therefore, Moster was suspended from the Olympics and sent home 2 days after the scandal (Hecker, 2021a). The DOSB's official press release, published 2 days after the incident, claimed that the DOSB was convinced of the sincerity of Moster's apology but announced (unspecified) consequences (DOSB, 2021b). In the aftermath, the DOSB and its president Alfons Hörmann were heavily criticized for an insufficient response that involved attempts to excuse the slur due to competitive stress (Hecker, 2021b). Thus, Moster was first warned off by the BDR (BDR Medienservice, 2021a; FAZ.NET, 2021a) and then suspended by the UCI for the rest of 2021 (UCI, 2021c).
In the animal cruelty case, the UIPM as well as the DOSB responded swiftly to the scandal and disqualified coach Kim Raisner from further competitions in Tokyo (Kreisl, 2021). In addition, the UIPM announced its intention to investigate Annika Schleu after she had been disqualified from the results of the Olympic contest (UIPM, 2021b). These announcements came within a day of the competition. The UIPM acknowledged that “the events of August 6, 2021 in the Stadium have caused distress”, that “UIPM has a duty of care to all participants”, and that “UIPM regrets the trauma suffered by Saint Boy” (UIPM, 2021c). These placatory efforts failed to quell the outrage found within social media, which converged on the characterization of the incident as animal cruelty (FAZ.NET, 2021b). Media reported on the condition of the horse and critically discussed the outdated regulations and character of the modern pentathlon (Kreisl, 2021; Simeoni, 2021). The DOSB (2021a) criticized the regulations of the modern pentathlon and called for fair competition conditions protecting both horse and rider. The sport soon became a symbol not only for animal abuse in sports but for the general neglect of animal welfare within society. The fact that a scale shift had materialized to the extent that the scandal transcended the sphere of a mere niche sport and attracted the attention of the broader public is best indicated by the offer of U.S. actress Kaley Cuoco to buy Saint Boy (FAZ.NET, 2021c). By August 12, as pressure kept increasing, the UIPM announced the implementation of urgent measures with regard to animal welfare. At the same time, reassurances were given that the UIPM was fully committed to maintaining an equestrian event as an integral part of the modern pentathlon, and the public was informed that Saint Boy was “in good health” (UIPM, 2021d). When the scandal would not abate, the UIPM announced in August the appointment of an expert working group on animal welfare (UIPM, 2021e).
In the meantime, animal rights activists tried to increase pressure on the sport's governing bodies by initiating criminal proceedings. The German Animal Welfare Association filed criminal charges against Schleu and Raisner for animal cruelty about a week after the incident (Frankfurter Allgemeine Zeitung, 2021), while the Swiss-based animal welfare organization IG Wild filed criminal charges against the IOC and the World Equestrian Federation (FAZ.NET, 2021b). These charges might have maintained public attention for the incident but ultimately came to nothing. In October 2021, a public prosecutor's office in Germany initiated an animal cruelty investigation against Schleu (FAZ.NET, 2021d) but dropped the charges in the beginning of 2022 (Burke, 2022). The UIPM had cleared Schleu of animal cruelty charges in September 2021, and the German Modern Pentathlon Federation (DVMF) welcomed the termination of the legal proceedings as “untenable from the outset” (Deutscher Verband für Modernen Fünfkampf, 2022). Raisner received an official reprimand and was required to attend a seminar on better horse handling (FAZ.NET, 2021e). The absence of strong sanctions against the involved actors finally doomed the scapegoating efforts to failure. In addition, in leading German newspapers, both horse and rider were characterized as victims of poorly designed regulations of the modern pentathlons so that the UIPM was finally forced to address the fundamental question of animal use.
4.5. The reception of the scandals in Twitter discourse
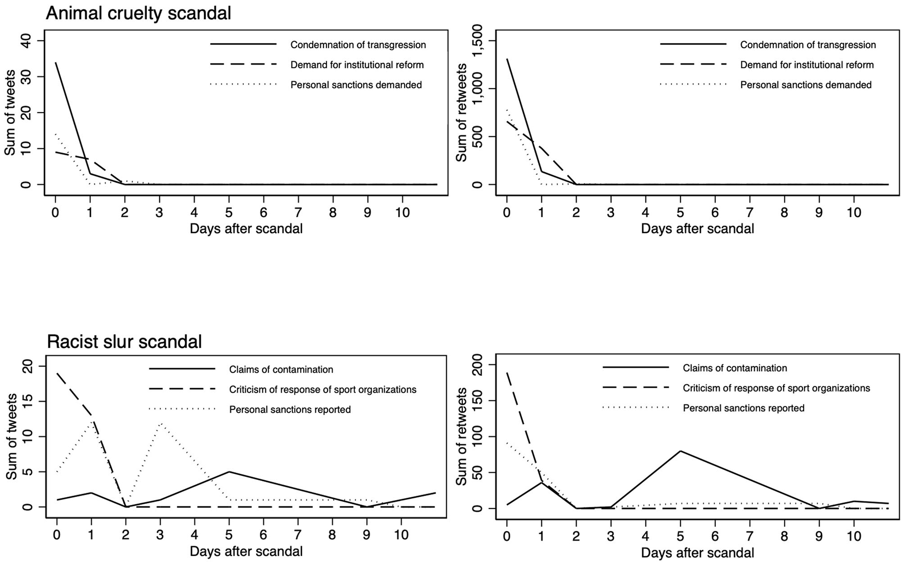
As becomes evident from Figure 1, the two scandals showed quite different trajectories, even though they were illustrative of the usual pattern of scandal or crisis communication, which is an outburst of public attention that rapidly ceases. The graphs suggest that the animal cruelty scandal was primarily a social media driven phenomenon, which might relate to the fact that the German commentator of the equestrian event expressed his sympathies with the German team, who saw its chances dwindling. In contrast, the TV commentator instantly condemned the racist slur, which might have provoked immediate reactions on social media. In any case, the public outcry over the animal cruelty incident materialized only a day after the incident, and the scandal received substantially more attention (Figure 1).
Our thematic analyses of the most popular tweets indicate substantial differences in the reception of the scandals and the crisis communication of the involved sports organizations. In the animal cruelty case, the outcry over the transgression was far more pronounced, and demands for institutional reform occupied a substantial share of the Twitter discourse. The combination of these two themes indicates the occurrence of a scale shift (Table 1). A rather qualitative analysis of the most popular tweets supports this diagnosis.
The initial response of the DOSB to relativize the racist slur by emphasizing the exceptionally stressful character of the competition was not well-received by German Twitter audiences. Hence, criticism of the DOSB's response was the most popular theme (Figure 2):
Professional cyclist Rick #Zabel has commented on the racist remarks of cycling director Patrick #Moster on his Instagram channel. He does not understand why there were no immediate consequences on the part of the BDR @wirsindradsport or @DOSB.
[Radprofi Rick #Zabel hat sich auf seinem Instagram-Kanal zu den rassistischen Äußerungen von Radsportdirektor Patrick #Moster geäußert. Er verstehe nicht, warum es keine sofortigen Konsequenzen seitens des BDR @wirsindradsport oder @DOSB gäbe.]
However, once the DOSB sanctioned Moster, the news was spread:
+++ BREAKING NEWS: After racism scandal at #Olympia2020: Cycling sports director #Moster must depart
[+++ EIL: Nach Rassismus-Eklat bei #Olympia2020: Rad-Sportdirektor #Moster muss abreisen]
The third major theme was the contamination of related actors, more precisely, the compromising of the German Olympic team by both scandals:
#Olympics 2020 in #Tokyo: #TeamD [Team Germany] and the Olympic spirit... #schleu #rider #horse #tierquaelerei #kameltreiber #TeamGermany #Olympics #Tokyo2020 #modernerfuenfkampf #cycling [#OlympischeSpiele 2020 in #Tokio: #TeamD und die olympische Idee... #Schleu #Reiterin #Pferd #tierquaelerei #kameltreiber #TeamDeutschland #Olympics #Tokyo2020 #modernerfuenfkampf #Radsport]
However, demands for further personal sanctions and institutional reforms failed to gain much resonance among German audiences. A number of tweets also tried to relativize the transgression. The most popular one compared the racist slur to a chant usually sung by fans of football teams playing against the top German team Bayern Munich:
Is the chant: “Take Bayern's lederhosen off” now actually also discriminatory or racist? I ask for a sports director. #camel driver #moster #Olympics
[Ist der Spruch: “Zieht den Bayern die Lederhosen aus” jetzt eigentlich auch diskriminierend oder rassistisch? Ich frage für einen Sportdirektor. #Kameltreiber #Moster #Olympia]
Attempts to facilitate a further scale shift by characterizing the incident as indicative of everyday racism in Germany were largely unsuccessful:
We have #racism in the police, in the federal army and now also in sports. Could it be that Germany has a racism problem in general? #Moster #Tokyo2020
[Wir haben #Rassismus in der Polizei, in der Bundeswehr und nun auch im Sport. Kann es vielleicht sein, dass Deutschland ganz generell ein Rassismus-Problem hat? #Moster #Tokyo2020]
The Twitter discourse on the animal cruelty incident showed quite different thematic patterns. A particularly interesting feature of this was that takeover attempts found substantial resonance. Several tweets linked the transgression to the violent death of an Afghan women at the hands of her brothers. Such tweets implied that the outrage over animal cruelty was disproportional and aimed at shifting attention:
A #horse is beaten at #Olympics, over 10,000 tweets. A young #woman is beaten to death by her brothers in Germany. #honor killing Not 1,000 tweets. You just have to prioritize.
[Ein #Pferd wird bei #Olympia geschlagen, über 10.000 Tweets. Eine junge #Frau wird in Deutschland von ihren Brüdern erschlagen. #ehrenmord Keine 1.000 Tweets. Man muss halt Prioritäten setzen.]
Indirectly, the partly successful takeover of the discourse proves that the animal cruelty incident indeed provoked a moral outcry among Twitter audiences. Explicit condemnation of the transgression was the second most popular theme:
If a horse refuses & then reacts almost in panic at the next obstacles, then it makes no sense to want to beat it quasi desperately to jump, just because someone needs a medal. #AnimalCruelty #ModernPentathlon #Olympics
[Wenn ein Pferd verweigert & dann fast schon panisch bei den nächsten Hindernissen reagiert, dann hat es keinen Sinn, es quasi verzweifelt zum Springen prügeln zu wollen, nur weil jmd. eine Medaille braucht. #Tierquälerei #ModernerFünfkampf #Olympics (https://t.co/yoNNgoPp4B)]
In addition, the discourse about the incident is indicative of a scale shift since demands for institutional reform found strong resonance:
Modern pentathlon show jumping becomes an extremely disturbing event. Equestrian sport as it should not be and so hopefully has no future. Our opinion #Tokyo2020 #ModernPentathlon #Animal cruelty
[Das Springreiten im Modernen Fünfkampf wird zum äußerst verstörenden Event. Pferdesport, wie er nicht sein sollte und so auch hoffentlich keine Zukunft hat. Unsere Meinung #Tokyo2020 #ModernPentathlon #Tierquälerei]
Twitter users also demanded personal sanctions against the rider and coach:
National coach Kim Raisner: “Really hit it. Really hit it!” Then she hits with her own fist (second 23). @DOSB There must be consequences. #ARD #pentathlon
[Bundestrainerin Kim Raisner: “Hau mal richtig drauf. Hau richtig drauf!” Dann schlägt sie selber noch mit der Faust zu (Sekunde 23). @DOSB Das muss Konsequenzen haben. #ARD #Fünfkampf]
Notwithstanding the moral outrage, a number of memes enjoyed some popularity. The most popular one displayed a visibly desperate Scheu riding an apparently grinning Saint Boy (Figure 3).

Figure 3. Meme on the animal cruelty incident. The tweet's title reads: “Equestrian sports symbol picture”. The tweet was the popular meme in the Twitter discourse about the animal cruelty incident.
4.6. Scandal outcomes
Given the reception of the racist slur scandal among Twitter audiences, it should not come as a surprise that the outcomes were negligible. After a short suspension, Moster kept all his posts and was able to return as head of delegation as early as the track cycling world championships in October 2021 (FAZ.NET, 2022a). However, in addition to an apology and a (limited) personal sanction for Moster, some amends to the victims of the slur were made. Azzedine Lagab, one of the derogated athletes, who was a multiple Algerian champion but had not made it onto a professional team, was signed by Bike Aid, a non-profit organization, and could participate in the Tour of Germany in August 2021 (Bikeaid, 2021) (Figure 4). In addition, the German Cycling Federation implemented some organizational reforms, including some in the education of coaches, in order to prevent such incidents in the future (BDR Medienservice, 2021a).
Given the moral outcry and the scale shift within the Twitter discourse, it could be expected that the UIPM faced pressure to implement a far-reaching reform. In November 2021, the IOC demanded that the UIPM replaced equestrianism with a modern event adapted to a younger audience, otherwise the competition would be dropped from the Olympic program from 2028 on (Becker, 2021). Taking the IOC's strategic roadmap into account, the UIPM's so-called Innovation Commission recommended in November 2021 to replace the equestrian event. UIPM Vice President and IOC member Juan Antonio Samaranch Jr. claimed that “this is a very important moment for Modern Pentathlon—and actually for the Olympic programme” (UIPM, 2021f). The recommendation paved the way for abolishing the horse-riding elements. Irrespective of resistance by some national governing bodies and the UIPM's long-standing president, the proposed reform was approved by the UIPM members with an 83.3% majority (Court of Arbitration for Sport, 2022; UIPM, 2022). In November 2022, after some tests during the year, the UIPM finally announced that a form of the “Ninja Warrior” contest, which has been extremely successful on TV, would be the fifth discipline in the future (FAZ.NET, 2022b) (Figure 5).
5. Discussion and conclusion
In accordance with our theoretical expectations, we found that a sporting scandal occurring in the context of an MSE such as the Olympics can be extremely dangerous for minor sports. A highly visible transgression can facilitate a scale shift. Our key claim was that if a scale shift occurs and public opinion converges contention on a single target, organizational responses become inevitable. A scale shift is most detrimental when the target refers to fundamental features of the sport. Under these circumstances, sports organizations face the need for institutional reform. The case study evidence that has been presented is consistent with this basic idea. The animal cruelty scandal served to facilitate a convergence of public opinion against the continued use of horses in the modern pentathlon, and the governing body UIPM was forced to replace one of the modern pentathlon's traditional disciplines. However, our case study design does not allow the conclusion that the scale shift that showed in the Twitter discourse about the animal cruelty case was the only cause of the institutional reform. Instead, our cases provide some support for the relevance of contingency factors and the social mechanisms identified in the scandal literature.
The two sports examined, road cycling and the modern pentathlon, differed with regard to their vulnerability to scandals. While niche sports are, in general, vulnerable to public scandals because their contribution to the popularity and revenues of the Olympics is questionable, the future of the modern pentathlon in the programs of the Olympics was uncertain even before the scandal. Hence, the scandal was likely to nurture concerns on the part of the IOC about further contamination of the Olympic Games, which increased the likelihood that the IOC would try to distance itself from offenders. In both scandals, the IOC exerted pressure on the sports to adopt stricter responses, which included a request for fundamental reform in the case of the modern pentathlon.
Another relevant contingency factor seemed to be the potential for contentious politics. Again, the modern pentathlon fared worse than cycling in this respect because animal rights activists pursued a clear-cut policy solution—the end of animal use in sports—based on an understandable and compelling collective action frame. The existence of this collective action frame allowed animal rights groups to mobilize the public and to facilitate a scale shift. The highly emotional public response converged at targeting the use of horses in the modern pentathlon.
The case of the UIPM supports our claim that if a scale shift occurs, common crisis communication strategies are likely to fail. Scapegoating and personalizing the transgression did not suffice to appease the public outcry about the perceived animal cruelty incident. The UPIM had no alternative other than to adhere to the demand of the animal rights activists and to implement the simple and compelling policy solution pursued. It has yet to be seen whether these efforts guarantee a future for the modern pentathlon at the Olympics. Such a fundamental reform has far-reaching consequences for athletes and coaches who see their specific human capital devalued, as well as for governing bodies that face new infrastructure and training needs. It is also unclear whether the modified sports will succeed in attracting Olympic audiences.
In contrast, the standard responses as recommended by the crisis communication literature seemed to have worked quite well in the racist slur scandal (see e.g., Coombs, 2010; Benoit, 2014; Claeys and Opgenhaffen, 2016; Coombs and Holladay, 2022). The result is slightly surprising insofar as the initial responses of the German governing bodies to the scandal support the claim of Claeys and Opgenhaffen (2016) that practitioners often fail to skillfully execute crisis communication strategies as outlined by academics. The DOSB first hesitated to sanction the offender and took some inadequate attempts to excuse the slur. The DOSB only acted more determinedly after persistent pressure by the public and the IOC. However, when the DOSB finally imposed limited sanctions and compensated one of the victims, the public was effectively silenced. While we have argued that due to the intricate character of the problem, efforts to fight anti-racism in sports cannot rely on an equally effective collective action frame as can animal rights activists, the negligible outcome of the scandal is surprising, particularly because a number of tweets claimed a contamination of the entire German Olympic Team. However, the broader public did not take up the contamination claim and did not respond to attempts to frame the racist slur scandal as indicative of everyday racism in Germany. In sum, it is quite remarkable how the German sports organizations weathered the racist slur scandal by adopting standard elements of crisis communication strategies.
5.1. Limitations and suggestions for future research
As with any other case study research, our contribution can only claim to arrive at an “analytical generalization” that uses case study evidence to test theoretical expectations (Yin, 2015). Thus, we cannot conclude that no effective crisis communication strategies exist for a case in which a scale shift occurs. Such a conclusion would require considerably more quantitative evidence. Besides this general limitation, a particular shortcoming of our study is that the rather small number of tweets limits the opportunity to statistically examine the efficacy of crisis communication strategies by analyzing longitudinal data.
Regarding limits of generalization, our case study on the modern pentathlon should not be misinterpreted as suggesting that animal rights activists can, in general, easily achieve a scale shift. It has to be kept in mind that the scale shift examined here targeted a niche sport with limited resources rather than a major sports industry such as horse racing. The ability to deal with a potential legitimacy crisis probably relates to available resources and expertise (Johansen, 2017). Hence, the animal cruelty case might also be interpreted as suggesting that in sports that cannot effectively manage the news, social media, and policy cycles, a scandal can indeed become a disruptive event (Coombs, 2014). It would be interesting to examine the success of animal rights activists vis-à-vis more powerful sports industries. Again with respect to limits of generalization, our case study on the racist slur does not allow an inference that German audiences ignore racism in sports. The trajectory of the racist slur scandal might also reflect the limited popularity of cycling in Germany. In a case of similar racist slurs made by a youth coach of Bayern Munich, the club's response was swift. Several coaches were fired and others were warned (Fischer, 2020). Yet, the club's determined response could also be related to the fact that Bayern Munich competes for athletic talent in a globalized player market in which a reputation for racist incidents creates disadvantages. Nevertheless, the two cases raise the question of whether (German) audiences tend to more upset about animal cruelty than racism.
Data availability statement
The raw data supporting the conclusions of this article will be made available by the authors, without undue reservation.
Ethics statement
Ethical approval was not required for the study involving human data in accordance with the local legislation and institutional requirements. The social media data was accessed and analyzed in accordance with the platforms' terms of use and all relevant institutional/national regulations.
Author contributions
HM led the conceptualization of the study. HM and ST built and wrote the introduction and theoretical background. MK captured the Twitter data and sourced the German news. MK and HM interpreted the social media data. ST sourced the English news. All authors contributed to the findings and discussion, read, and approved the submitted version.
Conflict of interest
The authors declare that the research was conducted in the absence of any commercial or financial relationships that could be construed as a potential conflict of interest.
Publisher's note
All claims expressed in this article are solely those of the authors and do not necessarily represent those of their affiliated organizations, or those of the publisher, the editors and the reviewers. Any product that may be evaluated in this article, or claim that may be made by its manufacturer, is not guaranteed or endorsed by the publisher.
References
ABC News (2019). Footage of Racehorses Being Abused and Slaughtered “Will Shake the Industry to Its Core”. Available from: https://www.abc.net.au/news/2019-10-18/slaughter-abuse-of-racehorses-undermines-industry-animal-welfare/11603834 (accessed January 19, 2023).
Abeza, G. (2016). Social Media in Relationship Marketing: The Professional Sport Context (dissertation). Ottawa, ON: University of Ottawa.
Adut, A. (2008). On scandal: moral disturbances in society, politics and art. Eur. J. Sociol. 49, 536–540. doi: 10.1017/S0003975609000332
Adut, A. A. (2005). Theory of scandal: victorians, homosexuality, and the fall of Oscar Wilde. Am. J. Sociol. 213–248. doi: 10.1086/428816
Allagui, I., and Breslow, H. (2016). Social media for public relations: lessons from four effective cases. Public Relat. Rev. 42, 20–30. doi: 10.1016/j.pubrev.2015.12.001
Aminzade, R. (1992). Historical sociology and time. Sociol. Methods Res. 20, 456–480. doi: 10.1177/0049124192020004003
Australian Broadcasting Commission (2019). The Dark Side of the Horse Racing Industry. 7:30 Report. Sydney, NSW: Australian Broadcasting Commission (2019). Available from: https://abc.net.au/news/programs/730 (accessed January 19, 2023).
Baker, S. A., and Rowe, D. (2013). The power of popular publicity: new social media and the affective dynamics of the sport racism scandal. J. Polit. Power 6, 441–460. doi: 10.1080/2158379X.2013.846553
Baym, N. K., and Boyd, D. (2012). Socially mediated publicness: an introduction. J. Broadcast. Electron Media 56, 320–329. doi: 10.1080/08838151.2012.705200
BDR Medienservice (2021a). BDR-Präsidium beschließt Abmahnung und weitere Maßnahmen. Available from: https://www.bdr-medienservice.de/nachrichten/bdr-praesidium-beschliesst-abmahnung-massnahmen (accessed January 30, 2023).
BDR Medienservice (2021b). Moster entschuldigt sich. Available from: https://www.bdr-medienservice.de/nachrichten/moster-entschuldigt (accessed January 30, 2023).
Beach, D., and Pedersen, R. (2013). Process-Tracing Methods: Foundations and Guidelines (Ann Arbor: University of Michigan Press), 1.
Becker, C. (2021). Das IOC verteilt rote und gelbe Karten. Frankfurt: Frankfurter Allgemeine Zeitung. 38.
Benford, R. D., and Snow, D. A. (2000). Framing processes and social movements: an overview and assessment. Annu. Rev. Sociol. 26, 611–639. doi: 10.1146/annurev.soc.26.1.611
Benoit, W. L. (2014). Accounts, Excuses, and Apologies, Second Edition: Image Repair Theory and Research. New York, NY: SUNY Press. 168.
Bikeaid,de. (2021). Azzedine Lagab mit BIKE AID zur Deutschland Tour. Available from: https://bikeaid.de/racing/racing_artikel/title-azzedine_lagab_mit_bike_aid_zur_deutschland_tour/article-61250e9970aaa (accessed January 30, 2023).
Boyd, D. (2012). The Power of Fear in Networked Publics. Austin, TX: Austin Convention Center. Available from: http://www.danah.org/papers/talks/2012/SXSW2012.html (accessed September 11, 2023).
Braun, V., and Clarke, V. (2006). Using thematic analysis in psychology. Qual. Res. Psychol. 3, 77–101. doi: 10.1191/1478088706qp063oa
Brown, N. A. (2014). The Convergence of Situational Crisis Communication Theory and Social Media: Empirically Testing the Effectiveness of Sports Fan-Enacted Crisis Communication (dissertation on the Internet). Tuscaloosa, AL: The University of Alabama. Available from: https://www.proquest.com/docview/1537087790/abstract/F7D550FC975145DFPQ/1 (accessed March 30, 2023).
Brown-Devlin, N. (2023). Examining the role of social media, employee voice, and the National Football League's organizational response to NFL athlete racial justice protests. Public Relat. Inq. 12, 71–91. doi: 10.1177/2046147X221081174
Bruns, A., and Moe, H. (2014). “Structural layers of communication on Twitter,” in Twitter and society [Digital Formations, Volume 89], eds A. Bruns, M. Mahrt, K. Weller, J. Burgess, and C. Puschmann (Peter Lang Publishing), 15–28. Available from: https://eprints.qut.edu.au/66324/ (accessed January 30, 2023).
Burke, P. (2022). German Prosecutors Drop Investigation Into Tokyo 2020 Horse Abuse. Inside the Games. Available from: https://www.insidethegames.biz/articles/1117862/schleu-raisner-investigation-dropped (accessed January 30, 2023).
Carroll, R. (2019). Irish Greyhound Racing Faces Backlash Over Killing of Dogs | Greyhound Racing. The Guardian. Available from: https://www.theguardian.com/sport/2019/jul/03/irish-greyhound-racing-faces-backlash-over-killing-of-dogs (accessed January 21, 2023).
Cashmore, E., and Cleland, J. (2014). Football's Dark Side: Corruption, Homophobia, Violence and Racism in the Beautiful Game. New York, NY: Springer. 112.
Chien, P. M., Kelly, S. J., and Weeks, C. S. (2016). Sport scandal and sponsorship decisions: team identification matters. J. Sport Manag. 30, 490–505. doi: 10.1123/jsm.2015-0327
Christensen, M., and Lamberton, G. (2022). Accounting for animal welfare: addressing epistemic vices during live sheep export voyages. J. Bus. Ethics. 180, 35–56. doi: 10.1007/s10551-021-04857-6
Civelek, M. E., Çemberci, M., and Eralp, E. (2016). The role of social media in crisis communication and crisis management. Int. J. Acad. Res. Bus. Soc. Sci. 5, 111–120. doi: 10.20525/ijrbs.v5i3.279
Claeys, A. S., and Coombs, W. T. (2020). Organizational crisis communication: suboptimal crisis response selection decisions and behavioral economics. Commun. Theory 30, 290–309. doi: 10.1093/ct/qtz002
Claeys, A. S., and Opgenhaffen, M. (2016). Why practitioners do (not) apply crisis communication theory in practice. J. Public Relat. Res. 28, 232–247. doi: 10.1080/1062726X.2016.1261703
Clemente, M., Durand, R., and Roulet, T. (2017). The recursive nature of institutional change: an Annales school perspective. J. Manag. Inq. 26, 17–31. doi: 10.1177/1056492616656408
Coombs, T. (2014). Ongoing Crisis Communication: Planning, Managing, and Responding. 4th Edn. Thousand Oaks, CA: SAGE Publications, Inc., 256.
Coombs, W. T. (2007). Protecting organization reputations during a crisis: the development and application of situational crisis communication theory. Corp. Reput. Rev. 10, 163–176. doi: 10.1057/palgrave.crr.1550049
Coombs, W. T. (2010). “Pursuing evidence-based crisis communication,” in The Handbook of Crisis Communication (John Wiley & Sons, Ltd.), 719–25. Available from: https://onlinelibrary.wiley.com/doi/abs/10.1002/9781444314885.ch39 (accessed March 23, 2023).
Coombs, W. T., and Holladay, S. J. (2002). Helping crisis managers protect reputational assets: initial tests of the situational crisis communication theory. Manag. Commun. Q. 16, 165–186. doi: 10.1177/089331802237233
Coombs, W. T., and Holladay, S. J. (2022). The Handbook of Crisis Communication: Second Edition. London: John Wiley & Sons. 597.
Coombs, W. T., and Tachkova, E. R. (2023). Integrating moral outrage in situational crisis communication theory: a triadic appraisal model for crises. Manag. Commun. Q. 08933189221151177. doi: 10.1177/08933189221151177
Court of Arbitration for Sport (2022). The Court of Arbitration for Sport (</A>Cas) Dismisses the Appeal Filed by the Danish Modern Pentathlon Association. Available from: https://www.tas-cas.org/fileadmin/user_upload/CAS_Media_Release_8656.pdf (accessed January 30, 2023).
Crawford, G. (2009). “Consuming sport, consuming beer: sport fans, scene and everyday life,” in Sport, Beer, and Gender: Promotional Culture and Contemporary Social Life, eds L. A. Wenner and S. J. Jackson (London: Peter Lang), 279.
Daudigeos, T., Roulet, T., and Valiorgue, B. (2020). How scandals act as catalysts of fringe stakeholders' contentious actions against multinational corporations. Bus. Soc. 59, 387–418. doi: 10.1177/0007650318756982
Davies, G., and Miles, L. (1998). Reputation management: theory versus practice. Corp. Reput. Rev. 2, 16–27. doi: 10.1057/palgrave.crr.1540064
Davis, T. (1995). The myth of the superspade: the persistence of racism in college athletics. Fordham Urban Law J. 22, 615–698.
Dayan, D., and Katz, E. (1992). Media Events: The Live Broadcasting of History. Cambridge, MA: Harvard University Press, 324.
den Hond, F., and de Bakker, FGA. (2007). Ideologically motivated activism: how activist groups influence corporate social change activities. Acad. Manage. Rev. 32, 901–924. doi: 10.5465/amr.2007.25275682
Deutsche Welle (2021). Tokyo Olympics: German cycling Official Sent Home After Racist Remarks. Available from: https://www.dw.com/en/tokyo-olympics-german-cycling-official-sent-home-after-racist-remarks/a-58672383 (accessed September 22, 2022).
Deutscher Verband für Modernen Fünfkampf (2022). Verfahren gegen Annika Schleu und Kim Raisner eingestellt. Available from: https://www.dvmf.de/verbands-news/dvmf-intern/verfahren-gegen-annika-schleu-und-kim-raisner-eingestellt.html (accessed January 30, 2023).
Diario, A. S. (2021). What Are the New Olympic Sports for 2024 and Which Ones Are Dropping Out? Available from: https://en.as.com/en/2021/08/08/olympic_games/1628423968_762841.html (accessed January 21, 2023).
Dixon, K., Lowes, J., and Gibbons, T. (2016). Show racism the red card: potential barriers to the effective implementation of the anti-racist message. Soccer Soc. 17, 140–154. doi: 10.1080/14660970.2014.919280
DOSB (2021a). Statement DOSB Zum Reit-Wettkampf Im Modernen Fünfkampf. Available from: https://newsletter.dosb.de/statement-dosb-zum-reit-wettkampf-im-modernen-fuenfkampf (accessed January 30, 2023).
DOSB (2021b). ERKLÄRUNG DES DOSB. Available from: https://newsletter.dosb.de/erklaerung-des-dosb-zu-patrick-moster (accessed September 11, 2023).
Duncombe, C. (2019). The politics of twitter: emotions and the power of social media. Int. Polit. Sociol. 13, 409–429. doi: 10.1093/ips/olz013 (accessed September 11, 2023).
Elder, L. (2023). Last-Minute Changes to New Whip Rules for 2023. Horse & Hound. Available from: https://www.horseandhound.co.uk/news/last-minute-changes-british-racing-whip-rules-2023-813227 (accessed January 19, 2023).
Engesser, S., Ernst, N., Esser, F., and Büchel, F. (2017). Populism and social media: how politicians spread a fragmented ideology. Inf. Commun. Soc. 20, 1109–1126. doi: 10.1080/1369118X.2016.1207697
Eriksson, M. (2018). Lessons for crisis communication on social media: a systematic review of what research tells the practice. Int. J. Strateg. Commun. 12, 526–551. doi: 10.1080/1553118X.2018.1510405
Etter, M., Lutz, C., Newlands, G., and Ranzini, G. (2017). “Coping with surveillance capitalism in the sharing economy,” in Abstract from Reshaping Work Conference. Platform Economy 2017 (Amsterdam).
Evans, D., and McGreevy, P. (2011). An investigation of racing performance and whip use by jockeys in thoroughbred races. PLoS ONE 6, e15622. doi: 10.1371/journal.pone.0015622
FAZ.NET (2021a). Radsport-Skandal bei Olympia: Rassismus-Eklat durch deutschen Sportdirektor. Available from: https://www.faz.net/aktuell/sport/olympia/deutsches-team/rassismus-skandal-bei-olympia-durch-radsport-chef-patrick-moster-17458156.html (accessed January 30, 2023.).
FAZ.NET (2021b). Schleu nach Olympia-Drama: “es ist sehr schwer, sich davon zu erholen”. Available from: https://www.faz.net/aktuell/sport/mehr-sport/annika-schleu-spricht-ueber-olympia-fuenfkampf-mit-pferde-drama-17480577.html (accessed January 30, 2023).
FAZ.NET (2021c). Schauspielerin will Pferd nach Olympia-Drama im Fünfkampf kaufen-Bild 1 von 1. Available from: https://www.faz.net/aktuell/sport/mehr-sport/big-bang-theory-star-kaley-cuoco-will-pferd-saint-boy-kufen-17485586.html (accessed January 30, 2023).
FAZ.NET (2021d). Anzeige wegen Tierquälerei: Staatsanwaltschaft ermittelt gegen Fünfkämpferin Schleu - Bild 1 von 1. Available from: https://www.faz.net/aktuell/sport/mehr-sport/tierquaelerei-bei-olympia-ermittlungen-gegen-fuenfkaempferin-schleu-17569565.html (accessed January 30, 2023).
FAZ.NET (2021e). Freispruch für Annika Schleu nach Fünfkampf-Drama - Bild 1 von 1. Available from: https://www.faz.net/aktuell/sport/mehr-sport/olympia-freispruch-fuer-fuenfkaempferin-annika-schleu-17523853.html (accessed January 30, 2023).
FAZ.NET (2022a). Friedrich rast zu Gold bei Bahnrad-WM: “So geheult habe ich nie” - Bild 1 von 1. Available from: https://www.faz.net/aktuell/sport/mehr-sport/friedrich-rast-wieder-zu-gold-bei-bahnrad-wm-18391706.html (accessed January 30, 2023).
FAZ.NET (2022b). Ersatzdisziplin für Reiten: “Ninja Warriors” statt verängstigte Pferde im Fünfkampf. Available from: https://www.faz.net/aktuell/sport/ninja-warriors-statt-veraengstigte-pferde-im-fuenfkampf-18458718.html (accessed January 30, 2023).
Ferrara, E., and Yang, Z. (2015). Measuring emotional contagion in social media. PLoS ONE 10, e0142390. doi: 10.1371/journal.pone.0142390
George, A. L., and Bennett, A. (2005). Case Studies and Theory Development in the Social Sciences. Cambridge, MA; London: MIT Press. 356.
Geraldy, K. (2007). Transport of racing pigeons and animal welfare. Dtsch Tierarztl Wochenschr. 114, 114–115.
Gerring, J., and McDermott, R. (2007). An experimental template for case study research. Am. J. Polit. Sci. 51, 688–701. doi: 10.1111/j.1540-5907.2007.00275.x
Girginov, V. (2012). “Making the 2012 London Games: taking stock and looking forward to celebrating the Games,” in Handbook of the London 2012 Olympic and Paralympic Games (Routledge). Available from: https://www.taylorfrancis.com/chapters/edit/10.4324/9780203132517-34/making-2012-london-games-taking-stock-looking-forward-celebrating-games-vassil-girginov (accessed January 29, 2023).
Graham, R., and McManus, P. (2016). Changing human-animal relationships in sport: an analysis of the UK and Australian horse racing whips debates. Animals 6, 32. doi: 10.3390/ani6050032
Gustavo Mirabal Castro (2021). Olympic Scandal: Annika Schleu, Kim Raisner and the Pentathlon - Gustavo. Available from: https://gustavomirabalcastro.online/en/current-stories/olympic-scandal-annika-schleu-kim-raisner-and-the-pentathlon/ (accessed October 4, 2022).
Hoetzer, C. (2013). Animal welfare issues in the greyhound industry. Aust. Anim. Prot. Law J. 9, 109.
International Olympic Committee (2016). IOC Approves Five New Sports for Olympic Games Tokyo 2020. Available from: https://olympics.com/ioc/news/ioc-approves-five-new-sports-for-olympic-games-tokyo-2020 (accessed January 21, 2023).
IOC (2002). IOC looks to attract younger audience with new olympic sports. Sport Bus. J. Available online at: https://www.sportsbusinessjournal.com/Daily/Issues/2020/12/08/Olympics/Olympic-Sports.aspx (accessed September 11, 2023).
Jensen, D. H. (2006). Responsive Labor: A Theology of Work. Louisville; London: Presbyterian Publishing Corp. 161.
Jin, D. Y. (2007). Integrated crisis mapping: toward a publics-based, emotion-driven conceptualization in crisis communication. Sphera Públ. 7, 81–95.
Johansen, W. (2017). Understanding and practicing crisis consulting: a study of public relations and communications firms. J. Commun. Manag. 21, 106–123. doi: 10.1108/JCOM-12-2016-0104
Johansson, B., and Vigsø, O. (2020). “Crisis communication and the political scandal,” in 22 Crisis Communication and the Political Scandal. De Gruyter Mouton, 461–476. Available from: https://www.degruyter.com/document/doi/10.1515/9783110554236-022/html?lang=en (accessed March 30, 2023).
Jonsson, S., Greve, H. R., and Fujiwara-Greve, T. (2009). Undeserved loss: the spread of legitimacy loss to innocent organizations in response to reported corporate deviance. Adm. Sci. Q. 54, 195–228. doi: 10.2189/asqu.2009.54.2.195
Karampournioti, E., Hennigs, N., and Wiedmann, K. P. (2018). When pain is pleasure: identifying consumer psychopaths. Psychol. Mark. 35, 268–282. doi: 10.1002/mar.21085
King, G., Keohane, R. O., and Verba, S. (1994). “1. The science in social science,” in 1 The Science in Social Science (Princeton, NJ: Princeton University Press), 1–33. Available from: https://www.degruyter.com/document/doi/10.1515/9781400821211-002/html?lang=en (accessed March 30, 2023).
Knaus, C., and Wahlquist, C. (2002). NSW Stud Owned by Gerry Harvey Among Those Accused in Parliament of Sending Racehorses to Slaughter. The Guardian. Available from: https://www.theguardian.com/world/2020/oct/29/nsw-stud-owned-by-gerry-harvey-among-those-accused-in-parliament-of-sending-racehorses-to-slaughter (accessed January 19, 2023).
Kreisl, V. (2021). Moderner Fünfkampf: Aus der Zeit gefallen. Süddeutsche.de. Available from: https://www.sueddeutsche.de/sport/olympia-moderner-fuenfkampf-1.5376104 (accessed January 30, 2023).
Krippendorff, K. (2018). Content Analysis: An Introduction to Its Methodology. Los Angeles, CA: SAGE Publications. 473.
Lane, B. (2022). Scandal-Ridden Modern Pentathlon Is Replacing Horse Riding With an Obstacle Course for Athletes. The Sport's Olympic Champion Says It's “Insulting.”. Business Insider Nederland. Available from: https://www.businessinsider.nl/scandal-ridden-modern-pentathlon-is-replacing-horse-riding-with-an-obstacle-course-for-athletes-the-sports-olympic-champion-says-its-insulting/ (accessed September 25, 2022).
Lewis, N., and Hirt, E. R. (2019). Sacred sports: moral responses to sports media content. J. Mass Commun. Q. 96, 579–597. doi: 10.1177/1077699018802256
Lim, J. S., Hwang, Y., Kim, S., and Biocca, F. A. (2015). How social media engagement leads to sports channel loyalty: mediating roles of social presence and channel commitment. Comput. Hum. Behav. 46, 158–167. doi: 10.1016/j.chb.2015.01.013
Ma, L., and Zhan, M. (2016). Effects of attributed responsibility and response strategies on organizational reputation: a meta-analysis of situational crisis communication theory research. J. Public Relat. Res. 28, 102–119. doi: 10.1080/1062726X.2016.1166367
María, G. A., Mazas, B., Zarza, F. J., and Miranda de la Lama, G. C. (2017). Animal welfare, national identity and social change: attitudes and opinions of spanish citizens towards bullfighting. J. Agric. Environ. Ethics 30, 809–826. doi: 10.1007/s10806-017-9700-9
Marwick, A. E., and Boyd, D. (2011). I tweet honestly, I tweet passionately: Twitter users, context collapse, and the imagined audience. New Media Soc. 13, 114–133. doi: 10.1177/1461444810365313
McAdam, P., McAdam, D., Tarrow, S., and Tilly, C. (2001). Dynamics of Contention. Cambridge: Cambridge University Press, 416.
McManus, P. (2019). Horse Racing Must Change, or the Court of Public Opinion Will Bury It. The Conversation. Available from: http://theconversation.com/horse-racing-must-change-or-the-court-of-public-opinion-will-bury-it-125637 (accessed January 19, 2023).
Meier, H. E., Hagenah, J., and Jetzke, M. (2020). Aggregation as the remedy for the decline of niche sports broadcasting: a case study of the European Championships. Int. J. Sport Commun. 13, 719–743. doi: 10.1123/ijsc.2020-0007
Meng, M. D., Stavros, C., and Westberg, K. (2015). Engaging fans through social media: implications for team identification. Sport Bus. Manag. 5, 199–217. doi: 10.1108/SBM-06-2013-0013
Morgan, A., and Wilk, V. (2021). Social media users' crisis response: a lexical exploration of social media content in an international sport crisis. Public Relat. Rev. 47, 102057. doi: 10.1016/j.pubrev.2021.102057
Mourão, R. R., and Brown, D. K. (2022). Black lives matter coverage: how protest news frames and attitudinal change affect social media engagement. Digit J. 10, 626–646. doi: 10.1080/21670811.2021.1931900
Munro, L. (2012). The animal rights movement in theory and practice: a review of the sociological literature. Sociol Compass. 6, 166–181. doi: 10.1111/j.1751-9020.2011.00440.x
Næss, H. E., and Tickell, S. (2019). Fan engagement in motorsports: a case of the FIA world rally championship. J. Media Innov. 5, 31–44. doi: 10.5617/jomi.6289
NBC Sports (2013). See What Sport Was Dropped From 2020 Olympics. Available from: https://www.nbcsports.com/boston/see-what-sport-was-dropped-2020-olympics (accessed January 21, 2023).
Pegoraro, A. (2010). Look who's talking—athletes on twitter: a case study. Int. J. Sport Commun. 3, 501–514. doi: 10.1123/ijsc.3.4.501
Penfold, C., and Cleland, J. (2022). Kicking it out? Football fans' views of anti-racism initiatives in english football. J. Sport Soc. Issues 46, 176–198. doi: 10.1177/01937235211067190
Pinchbeck, G. L., Clegg, P. D., Proudman, C. J., Morgan, K. L., and French, N. R. (2004). Whip use and race progress are associated with horse falls in hurdle and steeplechase racing in the UK. Eq. Vet. J. 36, 384–389. doi: 10.2746/0425164044868387
Pontikes, E., Negro, G., and Rao, H. (2010). Stained red: a study of stigma by association to blacklisted artists during the “red scare” in hollywood, 1945 to 1960. Am. Sociol. Rev. 75, 456–478. doi: 10.1177/0003122410368929
Roshan, M., Warren, M., and Carr, R. (2016). Understanding the use of social media by organisations for crisis communication. Comput. Hum. Behav. 63, 350–361. doi: 10.1016/j.chb.2016.05.016
Rowe, D. (2019). “Scandals and sport,” in The Routledge Companion to Media and Scandal, eds H. Tumber, and S. Waisbord (New York, NY: Routledge), 324–332.
Rowlinson, M., Hassard, J., and Decker, S. (2014). Research strategies for organizational history: a dialogue between historical theory and organization theory. Acad. Manage. Rev. 39, 250–274. doi: 10.5465/amr.2012.0203
Schafraad, P., and Verhoeven, J. W. M. (2019). Headwinds in sports sponsoring. Int. J. Sports Mark. Spons. 20, 538–552. doi: 10.1108/IJSMS-10-2018-0108
Seawright, J., and Gerring, J. (2008). Case selection techniques in case study research: a menu of qualitative and quantitative options. Polit. Res. Q. 61, 294–308. doi: 10.1177/1065912907313077
Singer, J. N., Shaw, S., Hoeber, L., Walker, N., Agyemang, K. J. A., Rich, K., et al. (2020). Critical conversations about qualitative research in sport management. J Sport Manag. 33, 50–63. doi: 10.1123/jsm.2018-0085
Snow, D., and Benford, R. (1988). Ideology, frame resonance, and participant mobilization. Int. Soc. Mov. Res. 1, 197–217.
Snow, D., and Benford, R. (1992). “Master frames and cycles of protest,” in Frontiers in Social Movement Theory, ed C. Mueller (Yale: Yale University Press).
Solberg, H. A., Hanstad, D. V., and Thøring, T. A. (2010). Doping in elite sport – do the fans care? Public opinion on the consequences of doping scandals. Int. J. Sports Mark. Spons. 11, 2–16. doi: 10.1108/IJSMS-11-03-2010-B002
Soule, S. A. (2012). Social movements and markets, industries, and firms. Organ. Stud. 33, 1715–1733. doi: 10.1177/0170840612464610
Stavros, C., Meng, M. D., Westberg, K., and Farrelly, F. (2014). Understanding fan motivation for interacting on social media. Sport Manag. Rev. 17, 455–469. doi: 10.1016/j.smr.2013.11.004
Strang, D., and Meyer, J. W. (1993). Institutional conditions for diffusion. Theory Soc. 22, 487–511. doi: 10.1007/BF00993595
Suh, B., Hong, L., Pirolli, P., and Chi, E. H. (2010). “Want to be retweeted? Large scale analytics on factors impacting retweet in twitter network,” in 2010 IEEE Second International Conference on Social Computing, 177–84. Available online at: https://ieeexplore.ieee.org/document/5590452 (accessed September 11, 2023).
Sung, M., and Hwang, J. S. (2014). Who drives a crisis? The diffusion of an issue through social networks. Comput. Hum. Behav. 36, 246–257. doi: 10.1016/j.chb.2014.03.063
Thompson, K., McManus, P., Stansall, D., Wilson, B. J., and McGreevy, P. D. (2020). Is Whip use important to thoroughbred racing integrity? What Stewards' reports reveal about fairness to punters, jockeys and horses. Animals 10, 1985. doi: 10.3390/ani10111985
Thorpe, H., and Wheaton, B. (2011). ‘Generation X Games’, action sports and the olympic movement: understanding the cultural politics of incorporation. Sociology 45, 830–847. doi: 10.1177/0038038511413427
Tkalac Verčič, A., Verčič, D., and Coombs, W. T. (2019). Convergence of crisis response strategy and source credibility: who can you trust? J. Conting. Crisis Manag. 27, 28–37. doi: 10.1111/1468-5973.12229
Twitter (2021). Polysub [@lovelyropes]. Der Moderator nennt das Ausscheiden der bis dahin führenden #Schleu einen “unfassbar, bitteren, unglücklichen, unverdienten Moment, wo man die Wehrlosigkeit mitansehen muss, wo jemand einfach in dieser Situation nichts machen kann”... #Olympia #Tokyo2021 #Reiten 1/x https://t.co/4E21BsryAu. Available from: https://twitter.com/lovelyropes/status/1423587885396242434 (accessed January 31, 2023).
UCI (2021a). UCI statement concerning Patrick Moster. Available from: https://www.uci.org/pressrelease/uci-statement-concerning-patrick-moster/r0v1ZxBmKrGvqmIkgws31 (accessed January 26, 2023).
UCI (2021b). Decision of the UCI Disciplinary Commission concerning Patrick Moster. Available from: https://www.uci.org/pressrelease/decision-of-the-uci-disciplinary-commission-concerning-patrick-moster/5FaV7A19gpPGb6Fbft8bb6 (accessed January 30, 2023).
UCI Frankfurter Allgemeine Zeitung (2021c). UCI Sperrt Moster (Frankfurt: Frankfurter Allgemeine Zeitung), 33.
UIPM (2021a). Annual Report 2020. Monaco (2021) p. 62. Available from: https://www.uipmworld.org/sites/default/files/innovation_uipm_digital_0_0.pdf (accessed January 21, 2023).
UIPM (2021b). UIPM Official Statement: Horse WELFARE and Athlete Safety in Modern Pentathlon. Union Internationale de Pentathlon Moderne. Available from: https://www.uipmworld.org/news/uipm-official-statement-horse-welfare-and-athlete-safety-modern-pentathlon (accessed January 30, 2023).
UIPM (2021c). UIPM official statement: Kim Raisner (GER) disqualified from Tokyo 2020 Olympic Games. Union Internationale de Pentathlon Moderne. Available from: https://www.uipmworld.org/news/uipm-official-statement-kim-raisner-ger-disqualified-tokyo-2020-olympic-games (accessed January 30, 2023).
UIPM (2021d). UIPM ntroduces new measures to urgently improve horse welfare in Modern Pentathlon. Union Internationale de Pentathlon Moderne. Available from: https://www.uipmworld.org/news/uipm-introduces-new-measures-urgently-improve-horse-welfare-modern-pentathlon (accessed January 30, 2023).
UIPM (2021e). UIPM forms Riding Working Group and appoints Disciplinary Panel. Union Internationale de Pentathlon Moderne. Available from: https://www.uipmworld.org/news/uipm-forms-riding-working-group-and-appoints-disciplinary-panel (accessed January 30, 2023).
UIPM (2021f). UIPM opens consultation on replacement of Riding discipline in Modern Pentathlon. Union Internationale de Pentathlon Moderne. Available from: https://www.uipmworld.org/news/uipm-opens-consultation-replacement-riding-discipline-modern-pentathlon (accessed January 30, 2023).
UIPM (2022). UIPM 2022 Congress: 83% say Yes to Obstacle Discipline. Union Internationale de Pentathlon Moderne. Available from: https://www.uipmworld.org/news/uipm-2022-congress-83-say-yes-obstacle-discipline (accessed January 30, 2023).
van der Meer, T. G. L. A., and Verhoeven, P. (2013). Public framing organizational crisis situations: social media versus news media. Public Relat. Rev. 39, 229–231. doi: 10.1016/j.pubrev.2012.12.001
van der Meer, T. G. L. A., Verhoeven, P., Beentjes, W. J., and Vliegenthart, H. (2017). Communication in times of crisis: the stakeholder relationship under pressure. Public Relat. Rev. 43, 426–440. doi: 10.1016/j.pubrev.2017.02.005
van Dijck, J. (2013). ‘You have one identity’: performing the self on Facebook and LinkedIn. Media Cult. Soc. 35, 199–215. doi: 10.1177/0163443712468605
Velayos, D. (2021). What Are the New Olympic Sports for 2024 and Which Ones Are Dropping Out?. Available online at: https://en.as.com/en/2021/08/08/olympic_games/1628423968_762841.html (accessed September 11, 2023).
Velez, A. N. (2011). Ole, Ole, Ole, Oh No: bullfighting in the United States and reconciling constitutional rights with animal cruelty statutes. Penn State Law Rev. 115, 497.
Wahlquist, C. (2020). Jockeys Get No Benefit From Using a Whip in Horse Racing, Landmark Study Finds. The Guardian. Available from: https://www.theguardian.com/sport/2020/oct/30/jockeys-get-no-benefit-from-using-a-whip-in-horse-racing-landmark-study-finds (accessed January 19, 2023).
Waymer, D. (2017). Interrogating corporate voice: implications for dialogue, transparency, tragedy, lobbying, and leadership in public relations scholarship and practice. Public Relat. Inq. 6, 215–218. doi: 10.1177/2046147X17728769
Williams, J., Chinn, S. J., and Suleiman, J. (2014). The value of Twitter for sports fans. J. Direct. Data Digit. Mark. Pract. 16, 36–50. doi: 10.1057/dddmp.2014.36
Wilson, B., Stavros, C., and Westberg, K. (2010). A sport crisis typology: establishing a pathway for future research. Int. J. Sport Manag. Mark. 7, 21. doi: 10.1504/IJSMM.2010.029709
Yin, R. K. (2015). Qualitative Research from Start to Finish. New York, NY; London: Guilford Publications. 417.
Yoshida, M., Gordon, B., Nakazawa, M., and Biscaia, R. (2014). Conceptualization and measurement of fan engagement: empirical evidence from a professional sport context. J. Sport Manag. 28, 399–417. doi: 10.1123/jsm.2013-0199
Keywords: crisis communication, media sport, social media, Olympics, modern pentathlon, cycling, racism, animal welfare
Citation: Meier HE, Tickell S and Konjer MV (2023) A tale of two scandals: scale shift and the inefficacy of crisis communication management in Olympic scandals. Front. Commun. 8:1155747. doi: 10.3389/fcomm.2023.1155747
Received: 31 January 2023; Accepted: 31 August 2023;
Published: 28 September 2023.
Edited by:
Joseph Faina, Los Angeles Valley College, United StatesReviewed by:
Pytrik Schafraad, University of Amsterdam, NetherlandsRita Gill Singh, Hong Kong Baptist University, Hong Kong SAR, China
Copyright © 2023 Meier, Tickell and Konjer. This is an open-access article distributed under the terms of the Creative Commons Attribution License (CC BY). The use, distribution or reproduction in other forums is permitted, provided the original author(s) and the copyright owner(s) are credited and that the original publication in this journal is cited, in accordance with accepted academic practice. No use, distribution or reproduction is permitted which does not comply with these terms.
*Correspondence: Henk Erik Meier, aGVuay5lcmlrLm1laWVyQHVuaS1tdWVuc3Rlci5kZQ==