Your new experience awaits. Try the new design now and help us make it even better

ORIGINAL RESEARCH article

Front. Ecol. Evol., 23 October 2025

Sec. Urban Ecology

Volume 13 - 2025 | https://doi.org/10.3389/fevo.2025.1671456

This article is part of the Research TopicUrban Nature and its Benefits for Human HealthView all 12 articles

Can forest cities enhance both economic and ecological resilience?

Yameng WangYameng Wang1Fan Zou*Fan Zou1*Feng WeiFeng Wei2Mengyang HouMengyang Hou3Huawang Jin*Huawang Jin4*Mingyue ZhangMingyue Zhang1
  • 1School of Economics, Qufu Normal University, Rizhao, China
  • 2School of Economics, Northwest Agriculture and Forestry (A&F) University, Yangling, China
  • 3School of Economics, Hebei University, Baoding, China
  • 4School of Economics and Management, WeiFang University, Weifang, China

How to balance the relationship between economy and ecology in order to cope with external shocks has become the key challenge for promoting sustainable regional development. Drawing on resilience theory, this paper applies a multi-period progressive difference-in-differences method to examine the impacts and mechanisms of the Forest City Selection system on economic resilience and ecological resilience using the panel data of Chinese cities from 2003 to 2022. The results show that the Forest City Selection encourages local governments to enhance economic resilience while maximizing the preservation of existing ecological space, thereby achieving synergy between urban economic resilience and ecological resilience through the optimized allocation of ecological and production spaces. Mechanism analyses indicate that technological progress in the production sector, upgrading of regional industrial structure, and ecological space utilization efficiency are the main channels through which the Forest City Selection fosters synergy between urban economic resilience and ecological resilience. The heterogeneity of this selection system is largely shaped by the combined effects between the transformation costs of shifting the economic resilience model and the opportunity costs of ecological construction. A coupled coordination model is further developed to demonstrate the synergistic effects of Forest City Selection in strengthening both economic and ecological resilience. Overall, this study provides empirical evidence that Forest City Selection promotes the joint improvement of economic and ecological resilience, offering a comprehensive perspective for advancing sustainable urban development.

1 Introduction

Against the backdrop of accelerated global industrialization and urbanization, the decoupling between rapid economic growth and ecological sustainability has become a widespread challenge faced by countries worldwide. In pursuing economic growth, many emerging and developing economies typically adopt a high-input, high-consumption heavy industrial model, leading to excessive resource exploitation, increased environmental pollution, and a decline in ecosystem services (Dang et al., 2025). Such development paths not only trigger local ecological disasters but also exacerbate cross-border issues, including global climate change and biodiversity loss, and pose a severe challenge to achieving the United Nations’ 2030 Sustainable Development Goals (Ting et al., 2022). Against this international backdrop, cities, as key carriers of global economic and social development, are increasingly recognized for their ability to cope with the impacts of various uncertainties. The concept of “resilience” has emerged in the international fields of sustainable development and disaster risk governance and is widely regarded as a key attribute enabling socio-ecosystems to maintain functional integrity and to recover and adapt when facing external disturbances (Wang and Li, 2025). Promoting the coordination between economic growth and ecological resilience has thus become a core issue in the sustainable transformation of cities worldwide.

Since China’s reform and opening-up, the country has achieved historic economic accomplishments but also faces resource and environmental pressures comparable to those faced globally (Xu et al., 2024). Under GDP-centered political competition, local governments, in pursuit of short-term rapid economic growth, tend to invest in heavy industries such as steel and coal chemicals, motivated by political signaling effects. This resource-driven growth model generates short-term economic gains but also increasingly negative effects, including ecological degradation and frequent disasters. It not only constrains regional sustainable development but also challenges the long-term advancement of Chinese-style modernization (Guo, 2025). As core dimensions of this study, ecological resilience and economic resilience are interdependent and mutually reinforcing, and their coordinated development is considered a key objective in modern urban planning and sustainable development (Ju et al., 2021). Drawing on the international research and practice framework of economic-ecological synergy resilience, an in-depth examination of the development pathways of Chinese cities not only contributes to enhancing high-quality local development but also provides insights for other countries facing similar transformation pressures, offering important implications for global sustainable urban governance.

Enhancing the synergistic development of urban economic resilience and ecological resilience has become a key concern for both policymakers and scholars. On the other hand, the concept of “resilience” originated in ecology and has since been widely applied to socio-ecosystem research. Its core meaning lies in a system’s ability to resist external disturbances, maintain essential functions, and achieve reorganization and recovery. Under the background of urbanization and climate change, research on urban resilience has gradually distinguished into two key dimensions: one is “ecological resilience”, which focuses on the integrity of ecosystem structure and the stability of service functions; the other is “economic resilience”, which pays attention to the economic system’s ability to cope with shocks and achieve transformation and upgrading. The measurement of the two indicators usually includes three aspects: Resistance capacity, Adaptive capacity, and Recovery capacity. Ecological resilience is evaluated by indicators such as green coverage rate. Economic resilience is often measured by green coverage rate, innovation vitality, output value of high-techindustries, etc (Hu et al., 2025).

The “Adaptive Cycle” model proposed by Walker et al. (2004) provides valuable insights into the dynamic interactions and elastic synergies of the economic-ecological system. It describes the system’s evolution through four alternating stages—growth, conservation, release, and reorganization—highlighting changes in potential, connectivity, and resilience as the system transitions between stages. The economic and ecological subsystems collectively shape the overall resilience of a region through continuous interactions and feedback loops. Within this theoretical framework, government policy intervention is critical for guiding system coordination and preventing the system from falling into rigidity or poverty traps. Ecological space management and regulation represent such a vital policy tool. By implementing ecological space control policies, optimizing territorial layouts, and enhancing ecosystem service functions, policymakers can not only strengthen the system’s overall buffering capacity but also provide a solid ecological foundation for high-quality economic development, steering the system toward a more resilient development path.

On the other hand, many scholars have studied urban economic resilience and ecological resilience, highlighting the institutional environment as a key factor. Especially under complex and volatile external shocks, timely institutional adjustments and governmental regulations provide essential support for regional economic systems to buffer risks and adapt to recovery (Kakderi and Tasopulou, 2017; Ron and Peter, 2014). Institutional openness can effectively mitigate external shocks and enhance resilience both during crises and in post-crisis recovery (Asghar et al., 2025). Institutional arrangements that promote internal transformation, such as smart city initiatives or administrative restructuring (e.g., converting counties to districts), also have a positive transformative effect on urban economic resilience (Magruder and Chipman, 2025; Peng et al., 2025). Regional integration systems can remove bottlenecks in resource circulation and enhance economic resilience through structural optimization. However, this may reduce urban ecological resilience, and the overall effect on promoting economic and social resilience often outweighs the weakening effect on ecological resilience (Yang et al., 2025; Li et al., 2025). Additionally, heterogeneous environmental regulations can directly enhance urban economic resilience by exerting constraining pressures. Empirical studies show that formal and informal environmental regulations both significantly promote urban economic resilience, and the two types of regulation can synergistically enhance its effects.

Throughout the existing literature, some scholars have examined economic and ecological resilience from the perspective of the institutional environment, but research on ecological spatial control policies remains limited (Li and Diao, 2024; Zhang et al., 2023). Ecological spatial control mitigates the excessive consumption of ecological resources and the degradation of ecosystems under the traditional extensive development model by imposing both constraints and incentives on ecological protection and economic development. Typical measures include delineating ecological protection red lines, restoring permanent basic farmland and forest ecosystems, and strictly restricting unreasonable development (Wang and Li, 2025). At the same time, it guides capital toward green industries, ecological restoration, and high-efficiency, low-consumption sectors (Wang, 2024), while reducing dependence on resources and avoiding market imbalances in traditional high-pollution, high-energy-consumption industries (Julia et al., 2024).In 2016, the State Forestry Administration (SFA) issued the Measures for Approving the Designation of National Forest Cities, which emphasized the principle of “ecological priority and green development,” promoted urban greening, forest ecosystem restoration, and construction, and sought to improve the quality and functionality of urban ecosystems. As an ecological spatial control policy, the forest city selection system incorporates indicators such as urban forest coverage, green space ratios, and ecosystem service functions into its evaluation criteria. Through policy incentives and the optimization of ecological resource allocation, it encourages local governments to strike a balance between ecological protection and economic resilience (Guo, 2025). This policy orientation of “ecological priority and green development” requires local governments to prioritize the protection and expansion of ecological space during urban development, while avoiding disorderly growth and overexploitation of ecological resources, thereby ensuring effective ecological spatial control (Wang et al., 2024).

Against the backdrop of multiple uncertainties—such as climate change, environmental degradation, and economic development pressures—cities worldwide are facing increasing challenges. In this context, examining how ecological spatial control policies can simultaneously promote economic growth and ecological resilience has become an issue of broad international significance. This study takes China’s “Forest City” selection system as a case study to reveal the mechanisms and practical effects of how such policies, through incentive and restraint mechanisms, guide local governments to optimize ecological space allocation and thereby achieve a “win–win” outcome for the economy and the environment. The marginal contributions of this paper are threefold. First, it fills a research gap in the international academic community by examining how ecological spatial control policies enhance urban resilience through the optimization of ecological resource allocation. Using China’s forest city selection system as an empirical case, it analyzes the mechanisms through which policy incentives and optimized ecological resource allocation jointly promote both economic development and ecological resilience, offering a new theoretical perspective to the field. Second, considering both the transformation costs of local economic development models and the potential opportunity costs of ecological resource protection, this paper investigates whether the forest city selection policy significantly strengthens economic and ecological resilience across different types of cities. It evaluates the policy effects from multiple dimensions and proposes targeted recommendations, thereby providing both theoretical support and practical guidance for improving ecological spatial control policies. Third, the policy design principles, incentive mechanisms, and evaluation frameworks distilled from China’s experience provide valuable references for other countries facing similar resource and environmental pressures and transformation challenges. In particular, they offer meaningful insights for emerging economies seeking sustainable urbanization pathways. More broadly, this study provides an “Eastern case” and practical guidance for optimizing spatial governance policies in the context of the global implementation of the Sustainable Development Goals (SDGs).

2 Institutional background and literature review

2.1 Institutional context

Since the reform and opening up, China has rapidly advanced industrialization and urbanization, during which urban land use patterns have changed significantly (Seto et al., 2012; Li et al., 2014). According to official statistics, the country’s urban built-up area expanded from 3,606 square kilometers in 1972 to 30,521 square kilometers in 2020, an increase of about 7.5 times. While this rapid expansion has strengthened economic resilience, it has also caused the loss of natural habitats, the reduction of arable land, and the degradation of ecological environments (Grumbine, 2014). To address these ecological and environmental challenges, the government has issued a series of policy documents to guide the coordinated development of urban ecology and the economy (Xu et al., 2025). In 2010, the State Council released the National Main Function Zone Planning, which classified national land into zones for optimized development, key development, restricted development, and prohibited development, thereby providing strategic guidance for both development and spatial protection (Liu, 2024). Building on this, the National Forestry and Grassland Administration launched the Forest City initiative in 2012, aiming to restore and enhance urban ecosystem functions by expanding forest coverage, improving urban greening, and upgrading environmental quality (Chen et al., 2024). In 2017, the General Office of the CPC Central Committee issued the Several Opinions on Demarcating and Strictly Observing Ecological Conservation Red Lines, elevating ecological spatial governance to an important institutional arrangement for advancing ecological civilization (Cheng et al., 2024). In 2019, the State Council promulgated the Several Opinions on Establishing the System of Territorial Spatial Planning and Supervising Its Implementation, which stressed the need to strengthen territorial spatial planning and to strictly observe ecological protection red lines. Together, these policies have provided a new direction for integrating urban economic resilience with ecological resilience (Martin et al., 2021). However, a typical principal–agent problem has arisen in policy implementation between the central and local governments. Due to information asymmetry and misaligned incentives, local governments may overstate indicators such as forest coverage rates for fiscal purposes, thereby undermining policy effectiveness. To address these governance challenges, the central government has incorporated an incentive compatibility mechanism into policy design, drawing on multi-level governance theory. Specifically, the allocation of central transfer payments (δE) is not entirely exogenous but is tied to third-party auditing and performance verification. Through credible supervision and accountability, this mechanism encourages local governments to genuinely and effectively advance forest city construction, thereby improving both the effectiveness and sustainability of policies. In sum, the Forest City policy seeks to balance urban development with ecological protection, providing institutional safeguards for achieving green and sustainable urbanization. As shown in Figure 1, which presents the spatial distribution of Forest Cities in China, the dark green areas represent cities that have already been designated as Forest Cities.

Figure 1
Map of China illustrating forest cities in dark green and non-forest cities in light green. Most forest cities are located in the eastern and southeastern regions. An inset shows additional details. A compass rose indicates cardinal directions, and a scale bar is present.

Figure 1. Distribution map of forest cities in China.

3 Theoretical framework and research hypotheses

This paper develops a simple theoretical model to explain regional economic resilience in relation to the use of ecological and environmental resources within the context of the forest city selection system, as well as the accompanying changes in the urban ecological environment resulting from resource depletion. Based on this framework, a set of research hypotheses is proposed.In this study, a region is treated as a decision-making entity endowed with a given stock of ecological and environmental resources at the initial stage of development. Figure 2 presents the logical framework of the study. The framework shows that the paper first clarifies the theoretical foundation: through the forest city selection system, local governments are incentivized to optimize urban ecological and production spaces under goal-oriented guidance. Second, the analysis examines the underlying mechanisms and identifies three pathways: technological progress, industrial structure upgrading, and the enhancement of ecological space utilization efficiency. Finally, the discussion turns to policy optimization, arguing that by improving the allocation of ecological resources, it is possible to achieve a “win–win” outcome between regional economic resilience and ecological resilience.

Figure 2
Flowchart depicting the process of optimizing ecological and production space through selection of forest cities and motivating local governments. It includes influence mechanisms like energy and ecological departments, geographical and economic distance impacts, and optimizing resources, leading to economic and ecological resilience, and achieving regional balance. Key stages are connected with arrows, illustrating the theoretical connotation, influence mechanism, and policy optimization.

Figure 2. The mechanism of action of the article.

The region maximizes social utility through the conservation and use of ecological and environmental resources. Asume that the social utility of the region (U) depends on both ecological environment quality (E) and economic resilience (Q). As shown in Formula 1:

U=U(E,Q)=(Eρ+Qρ)1ρ(1)

Here ρ represents the elasticity of substitution between ecological environment and economic resilience. The term before the plus sign represents social utility derived from ecological and environmental resources, while the term after represents utility from economic output; together, they constitute total utility. The dynamic feedback equation of ecological elasticity is: dEdt=αE(1EK)βQ1. Here, K denotes the ecological carrying capacity and is the consumption coefficient of the economic sector. Assume that the region initially possesses a fixed stock of ecological resources, and that the production sector consists of energy-based sectors and ecological sectors. Energy-based sectors consume ecological resources and generate pollutants during production, such as deforestation and other production methods involving significant ecological resource consumption, in this case, the economy and ecological resources act as substitutes; ecological sectors do not consume ecological resources during production, such as the development of eco-tourism and other activities that do not compromise the ecological environment in pursuit of economic resilience, in this case, economic output and ecological resources are complementary. Assume that the amount of ecological resources used in the ecological sector in the region is E, the amount of ecological resources used in the energy sector is E¯E. For simplicity, assume that the factors of production in the production sector are ecological resources (this assumption can be relaxed). The region’s economic output thus consists of two components: one is the economic output from consumptive use of ecological resources Q1, and the other is the economic output from non-consumptive use of ecological resources Q2, i.e. Q1=nA1EN1, Q2=(1n)A2(E¯E)N2. Here n is the proportion of ecological sectors in the region, Nis the utilization efficiency of ecological space by energy-based sectors and ecological sectors, and Ais the technological level of energy-based sectors and ecological sectors. Generally, the energy-based sectors can be represented by some manufacturing industries, while the ecological sectors can be represented by service sectors, such as the tourism industry, with the technological level of manufacturing typically exceeding that of service sectors, and therefore A1<A2. Corresponding to the ways in which these two sectors utilize ecological resources, the central government, during the implementation of the forest city system, provides financial transfer payments to local governments to compensate for potential losses of development rights caused by ecological protection. The amount of transfer is determined based on the quantity of ecological resources preserved in the region, denoted as T=δE, δ representing the proportion of central government transfers linked to retained ecological resources, δ>0. Following implementation of the forest city selection system, the total regional economic output is: Q=Q1+Q2+T The overall social utility of a region is composed of two parts: ecological utility derived from non-consumptive ecological resources and economic utility generated from total economic output. The latter is derived from three sources: (i) the output of sectors that consume ecological resources, (ii) the output of sectors that use ecological resources non-consumptively, and (iii) centralized ecological compensation transfers. As shown in Formula 2:

U(E,Q)=[Eρ+(Q1+Q2+δE)ρ]1ρ(2)

The forest city system aims to promote development that is both ecologically sustainable and economically beneficial. The region faces the choice that non-consumptive use Ecan bring both ecological utility and direct economic output Q2 and receive centralized transfer payments T. In this case, the regional social development decision is to maximize regional utility by optimizing the allocation of ecological resources between the ecologically consumptive energy sector and the ecologically non-consumptive ecological sector, given a fixed total stock of ecological resources in the region. As shown in Formula 3.

maxU(E,Q){Eρ+[nA1EN1+(1n)A2(E¯E)N2+δE]ρ}1ρ(3)

The amount of non-consumptive ecological resources retained when utility is maximized (denoted as E*) must satisfy the first-order condition UE=0, which yields the amount of ecological resources allocated to the non-consumptive sector, i.e., the amount of ecological resources retained in the region is:

E*=(1n)A2N2E¯[(1n)A2N2nA1N1δ]1ρ1[(1n)A2N2nA1N1δ]ρρ1(4)

At this point, the economic output of the region is as shown in Formula 5:

Q=(1n)A2N2E¯[(1n)A2N2nA1N1δ]E*(5)

Reduced to:

Q=(1n)A2N2E¯1+[(1n)A2N2nA1N1δ]ρρ1(6)

From the formula (6), QE*=nA1N1+δ(1n)A2N2, when nA1N1+δ>(1n)A2N2, that is, when the total benefits generated by the implementation of the Forest City system exceed the gains obtained by regional energy-based sectors through the consumption of ecological resources, overall economic output will increase with improvements in economic resilience, thereby achieving a win–win outcome for both the economy and the ecological environment.

The traditional Environmental Kuznets Curve theory holds that economic development and environmental pollution exhibit an inverted U-shaped relationship, meaning that in the early stage of regional development, a trade-off between the two is inevitable (Hu et al., 2023). The theory of ecological modernization argues that environmental protection is not a burden on economic development, but rather a key driver of economic innovation, efficiency, and competitiveness (Gao et al., 2023). The Forest City Selection system serves as a practical embodiment. It establishes clear evaluation criteria—such as forest coverage rate, green space quality, and biodiversity—thereby creating a “green benchmark” for regional development that compels local governments and enterprises to integrate ecological considerations into economic planning. This process fosters industrial transformation and technological innovation, enabling a shift from the path of “pollution first, treatment later” to one of “green growth” (Xing and Chunkai, 2022). This not only strengthens the region’s ecological resilience but also attracts high-end talent and green industries by fostering a livable environment, thereby driving the growth of emerging sectors such as tourism and healthcare (Xie et al., 2024). Ultimately, this will foster a symbiotic pathway in which ecological investment drives economic prosperity and economic achievements ensure ecological security, thereby achieving a win–win outcome between regional ecological and economic resilience. On this basis, the following hypothesis is proposed. Hypothesis 1: The Forest City Selection system can achieve a win–win outcome between regional economic resilience and ecological resilience.

Based on Equation 4 and Equation 6, the impacts of changes in technology level and ecological space utilization rate of each sector on regional ecological resource reserves E*and regional economic resilience Qare discussed through comparative static analysis. Firstly, this paper analyzes the changes in the optimal regional ecological resource reserves and regional economic resilience when the technological level of each sector changes.

To simplify the equation, let M=(1n)A2N2nA1N1δ

E*A1=n(1n)A2N1N2E¯(M2ρ1+M2ρρ11ρ)(1+Mρρ1)2>0(7)
QA1=ρρ1nN1M1ρ1(1+Mρρ1)2>0(8)

And based on Equation 7 and Equation 8, it can be concluded that after the technological progress of the ecological sector, it will promote the region to retain more ecological resources and will promote the economic resilience of the region.

The Forest City selection system establishes a strong framework of incentives and constraints. Within this framework, regional production sectors—particularly enterprises subject to environmental regulations—are more strongly motivated to pursue green technological innovation and application, such as adopting energy-saving equipment and developing recycling technologies (Lisha et al., 2021). Such green technological prgress operates along two paths. First, it directly improves resource-use efficiency and pollution-control capacity, thereby lowering the resource and environmental costs per unit of economic output. This reduces pressure on ecosystems at the source and directly strengthens their stability and resilience, namely ecological resilience (Wenjian et al., 2022). Second, technological progress fosters the emergence of new green industries and enhances the green competitiveness of traditional ones. This promotes the transformation of the industrial structure toward higher value-added and lower environmental impact, thereby supporting a more innovative and resilient economic development model, namely economic resilience (Xu and Song, 2024). These two paths complement each other and ultimately generate synergy between the economy and the ecology. Accordingly, this paper proposes Hypothesis 2.

Hypothesis 2: Under the Forest City Selection system, the technological progress of the regional production sector, especially the level of green technology, can promote the balanced co-progression of urban economic resilience and ecological resilience.

E*A2=(1n)N2E¯[M1ρ1+M1+ρρ1+(1n)A2N2ρ1M2ρρ1(1n)A2N2M2ρ1](1+Mρρ1)2>0(9)
QA2=(1n)N2E¯(1+Mρρ1)ρ(1n)2A2N22E¯ρ1M1ρ1(1+Mρρ1)2>0(10)

Equations (9) and (10) show that when the effects of technological progress in the ecological and energy sectors on economic development and the ecological environment are taken into account, the utilization of ecological and environmental resources shifts from a consumption-oriented mode to a non-consumption-oriented mode. The Forest City system establishes a clear vision for the coordinated development of ecology and economy, with green technology offering concrete pathways for the production sector to realize this vision. First, it directly promotes economic growth and lowers the resource and environmental costs per unit of GDP by improving resource-use efficiency and facilitating industrial upgrading, thereby achieving “green growth” (. Second, these technological applications reduce pollution at the source, strengthen the capacity to adapt to and recover from environmental pressures, and thereby directly reinforce ecological resilience (Asghar et al., 2025). Therefore, green technological progress allows the production sector to overcome the traditional trade-off between the economy and ecology, transforming external system requirements into internal sectoral driving forces. Ultimately, it promotes balanced advancement of economic development and ecological resilience at the operational level. Accordingly, this paper proposes Hypothesis 3. Hypothesis 3: Under the Forest City system, the regional industrial structure upgrading can promote the balance between economic resilience and ecological resilience.

Secondly, this paper analyzes the changes in regional optimal ecological resource retention and economic resilience when the production sector’s utilization efficiency of regional ecological space changes.

E*N1=n(1n)A1A2N2E¯(M2ρ1+M2ρρ11ρ)(1+Mρρ1)2>0(11)
QN1=ρρ1nA1M1ρ1(1+Mρρ1)2>0(12)

Equations (11) and (12) indicate that higher utilization efficiency of urban ecological space by the ecological sector promotes both the retention of ecological resources and the enhancement of regional economic resilience. Furthermore, by imposing stricter constraints on the development of urban ecological space, forest cities can prevent environmental degradation from over-exploitation, maintain ecological space stocks, and thereby maximize ecological protection while enhancing economic resilience. The Forest City system emphasizes scientific planning and the intensive use of territorial space. A core goal is to enhance the efficiency of ecological space use, defined as the ecosystem service value and economic support capacity provided per unit area of ecological land. This mechanism operates through the following pathways. First, systematic ecological restoration and the construction of landscape connectivity optimize the structure and layout of ecological spaces. Consequently, without reducing—and in some cases even increasing—the total area, the ecosystem’s regulatory functions and biodiversity maintenance capacity are significantly enhanced, directly improving its stability and resilience Ye et al., 2025). Second, an efficient and interconnected ecological space network provides a strong foundation for green industries such as eco-tourism, health care and leisure, facilitating the value addition of ecological products (Zhou et al., 2025). This enables regional economies to move away from reliance on traditional land-extensive expansion toward a green growth model based on ecological endowments, thereby enhancing economic resilience. Therefore, improving the efficiency of ecological space use is a key link connecting policy objectives with collaborative outcomes. Based on these findings, Hypothesis 4 is proposed.

Hypothesis 4: Under the forest city system, the improvement of ecological space utilization efficiency can promote economic resilience and ecological resilience to achieve a balance.

4 Research design

4.1 Modeling

yit=β0+β1Didit+β1Controlsit+μi+λt+ϵit(13)

In Formula 13: yit is the dependent variable, representing economic resilience and ecological resilience. This study holds that economic resilience mainly refers to the ability of an urban economic system to effectively resist, adapt to, and achieve reorganization, recovery, and sustained growth after being subjected to external shocks, such as market fluctuations and industrial changes. Ecological resilience refers to the ability of urban ecosystems to maintain structural stability, prevent the degradation of service functions and self-repair under pressures such as environmental pollution and climate change. Investigating the mutually reinforcing mechanism between the two is crucial for addressing the decoupling between economic development and ecological sustainability; the subscripts iand trepresent the first i county (city, district) and the first tyear, respectively; Didit is the key independent variable, representing the interaction between the city dummy and time dummy variables, used to indicate whether a region is included in the Forest City selection system, and is used to measure whether a region is included in the forest city selection system.; β1 is the coefficient; Controlsit denotes s a set of control variables; μi represents individual fixed effects; λt is a time fixed effect; and ϵit denotes the error term.

4.2 Data sources

To examine the effect of the Forest City selection system on urban economic and ecological resilience, this study uses panel data from 288 prefecture-level cities in China for the period 2003–2022. The list of areas awarded the Forest City title was obtained from the National Development and Reform Commission website, while other data were primarily drawn from the China Urban Statistical Yearbook, provincial and municipal statistical yearbooks, national economic and social development bulletins, and the Wind database. Samples with substantial missing data were excluded, and remaining missing values were imputed using interpolation.

4.3 Explanation of variables

(1) Dependent variables: Based on existing research (Hu et al., 2023), this study constructs the following two indicators. ① Economic resilience index: This study measures economic resilience from three dimensions—resistance and recovery, adaptation and regulation, and innovation and transformation—selecting 16 indicators to construct a comprehensive evaluation system for economic development, see Table 1. ② Ecological resilience index: Drawing on three dimensions—resistance, recovery, and adaptability—17 indicators were selected to construct a comprehensive evaluation system of ecological resilience, see Table 2.

Table 1
www.frontiersin.org

Table 1. System of indicators and weights for the comprehensive evaluation of economic resilience.

Table 2
www.frontiersin.org

Table 2. Ecological resilience comprehensive evaluation index system and weights.

(2) The national forest city dummy variable is defined as Did=Treati×Postt. Among them, treati is a city dummy variable, this paper regards the national forest city selection as an exogenous policy shock, and takes the area that actually obtains the title of national forest city as the treatment group, and the area that does not obtain the title of national forest city as the control group; postt is a policy dummy variable, and Postt takes the value of 1 after obtaining the title of forest city, and takes the value of 0 otherwise.

(3) Control variables: Drawing on related literature (Xie et al., 2024), this paper selects factors that may have an impact on the city’s economic resilience and ecological resilience, including the investment rate, the level of opening up to the outside world, financial support, industrial structure, human capital, the scale of government expenditure, the level of consumption, the level of education investment, and the city’s R & D expenditure. The descriptive statistical analysis of related variables is shown in Table 3.

Table 3
www.frontiersin.org

Table 3. Descriptive statistical analysis of relevant variables.

5 Empirical results

5.1 Benchmark regression results

In the selection of panel data models, it is necessary to determine which is better, the fixed effects model or the random effects model, through strict statistical tests. For this reason, the Hausman test was conducted in this paper. The test results are shown in Table 4, with a chi-square statistic of 111.53 and a corresponding P-value of 0.0000. Since the P-value is less than 0.01, the null hypothesis is rejected. Therefore, the fixed effects model is more effective and appropriate than the random effects model. This paper ultimately selects the fixed effects model for estimation.

Table 4
www.frontiersin.org

Table 4. Hausman test results.

Table 5 reports the effects of forest city selection on economic and ecological resilience. Columns (1) and (3) control for time and individual effects but exclude control variables. The results show a significant positive relationship between forest city establishment and both economic and ecological resilience at the 1% level, indicating that the policy significantly enhances urban resilience. Columns (2) and (4) control for county-level individual and period effects and include control variables. The results remain consistent with those in columns (1) and (3). Specifically, the estimated coefficient of the core explanatory variable in column (1) is 0.22. After controlling for socioeconomic characteristics in column (2), the coefficient remains 0.22 and significant at the 1% level, confirming that the forest city policy significantly strengthens economic resilience. The results in columns (3) and (4) show that implementing the forest city policy significantly enhances ecological resilience. In summary, the estimated coefficients of Did, the core explanatory variable, are significantly positive. This indicates that forest city establishment has a robust positive impact on both economic and ecological resilience, regardless of whether year and city fixed effects or additional socioeconomic and natural control variables are included. Thus, Hypothesis 1 is supported.

Table 5
www.frontiersin.org

Table 5. Benchmark regression results.

5.2 Robustness test

The benchmark regression provides preliminary evidence that the designation of national forest cities promotes the joint improvement of urban economic resilience and ecological resilience. To ensure the stability and reliability of these findings, robustness tests are conducted.

(1) Parallel trend test.

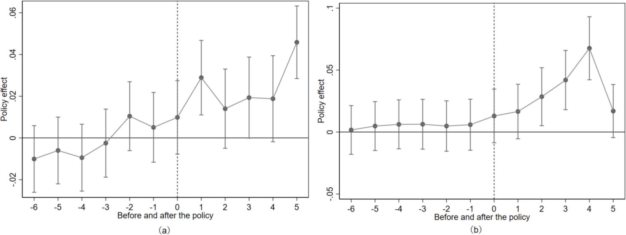
The previous analysis estimated the average effect of forest city selection on urban economic development and ecological resilience, but it did not reveal the policy’s dynamic sustainability. To address this, the Post variable in Equation (1) is replaced with year-specific dummy variables over the sample period to test the pre-treatment parallel trend. The regression coefficients for each year are presented in Figure 3, with the dotted lines indicating the 95% confidence intervals. The results show that before the policy was implemented, the estimated effects fluctuated around zero and were not statistically significant. Once the policy was enacted, however, the estimated effects became positive and significantly different from zero. These findings confirm that the identification strategy in this study satisfies the parallel trend assumption.

Figure 3
Two line graphs compare policy effects before and after implementation. Graph (a) shows an increasing trend in policy effect from negative to positive values, peaking at five. Graph (b) displays a minor rise before the policy, followed by a significant increase after implementation, peaking at four. Both graphs include error bars for each data point.

Figure 3. Parallel trend test, (a) represents ecological resilience and (b) represents economic resilience.

(2) Placebo test.

To further address the potential influence of omitted variables, this paper conducts 1,000 randomly matched placebo tests. The estimation results in Figure 4 show that the coefficients are centered around zero and approximately follow a normal distribution. The corresponding p-values are mostly above 0.1, indicating that the vast majority of regressions are not statistically significant. The coefficient estimates from the benchmark regression lie in the upper tail of the distribution of the placebo regression coefficients, suggesting that the influence of unobserved omitted variables can be indirectly ruled out, thereby supporting the robustness of the policy effects.

Figure 4
Two side-by-side graphs compare p-values and kernel density estimates of beta. Both plots have p-value on the y-axis and nuclear density on the secondary y-axis. In both plots (a) and (b), p-values (black dots) form a peak, accompanied by a red curve representing kernel density. The x-axes range from negative 0.01 to 0.015 and negative 0.01 to 0.01, respectively. A red horizontal line marks a threshold level on both graphs. A legend identifies p-values and kdensity beta.

Figure 4. Placebo test, (a) represents ecological resilience and (b) represents economic resilience.

(3) Propensity Score Matching.

Propensity Score Matching (PSM) can address the sample selection problem in non-randomized experiments. To mitigate sample selection bias and reduce estimation bias in the multi-period difference-in-differences (DID) method, the PSM-DID approach was further employed to assess the effect of the national forest city construction policy on urban economic and ecological resilience. The corresponding results are reported in Table 6 to ensure robustness.

Table 6
www.frontiersin.org

Table 6. Robustness test: propensity score matching.

(4) Alleviate endogenous problems.

Since the selection of the forest city system is not random, the empirical results presented earlier may suffer from endogeneity issues. Therefore, this study employs the instrumental variable (IV) approach and applies a two-stage least squares (2SLS) model to further strengthen the credibility of the findings. Terrain relief is selected as the instrumental variable. The rationale for selecting terrain relief as an instrumental variable is as follows: (1) From the perspective of correlation, terrain relief is an important natural factor influencing forest cover and ecosystem distribution. Areas with greater relief are typically characterized by mountainous and hilly terrain, which are more suitable for forest vegetation growth and thus significantly affect forest city development. Consequently, there is a clear correlation between terrain relief and the likelihood that forest cities enhance economic and ecological resilience. (2) Regarding exclusivity, terrain relief is determined by natural geographic conditions—such as the highest and lowest elevations, the area of flat land, and the total regional area. As an exogenous geographic factor, it is unrelated to the direct outcomes of regional economic and ecological resilience. Terrain relief does not directly affect economic or ecological resilience but influences them indirectly through its impact on the likelihood of establishing forest cities. Therefore, using terrain relief as an instrumental variable satisfies the exclusivity assumption.

To further strengthen the effectiveness of the instrumental variables, this study adds expenditures on urban maintenance and construction and on landscaping as additional instruments, aiming to more comprehensively capture the policy drivers of forest city construction. The regression results are presented in Table 7. Specifically, columns (1), (2), and (3) report the results using terrain undulation as the instrument, while columns (4), (5), and (6) report the results using expenditures on urban maintenance and construction and landscaping as instruments. The results show that columns (1) and (4) correspond to the first-stage regressions, with F-test values exceeding the critical threshold of 10. Therefore, the instrumental variables used in this study are not weak, and since the number of instruments does not exceed the number of endogenous variables, over-identification is not a concern. Columns (2), (3), (5), and (6) present the second-stage IV regression results. The results indicate that, even after accounting for endogeneity, the main conclusions of this study remain robust.

Table 7
www.frontiersin.org

Table 7. Robustness test: instrumental variables.

(5) Excluding other policies.

To further assess the robustness of the regression results, this paper accounts for other policies that may have influenced economic and ecological resilience during the sample period, thereby ruling out the interference of competing hypotheses. The smart city construction policy enhances urban resource allocation and management efficiency by promoting the deep integration of information technology and urban governance, potentially exerting a significant effect on economic resilience. The low-carbon city pilot policy improves urban carbon emissions and resource utilization efficiency by promoting energy-saving and emission-reduction technologies and optimizing the energy structure, potentially exerting a direct effect on ecological resilience. The new energy city pilot policies support the development and application of new energy industries, which may indirectly influence both economic and ecological resilience by fostering green economic growth and energy structure transformation. Therefore, to prevent these policies from potentially affecting the study’s conclusions, the smart city construction, low-carbon city pilot, and new energy city pilot policies are excluded from the analysis. The empirical results, presented in Table 8, show that the estimated coefficients and significance levels remain consistent with the benchmark regression, thereby ruling out competing hypotheses and confirming the robustness of the main findings.

Table 8
www.frontiersin.org

Table 8. Robustness test: excluding other policies.

6. Change the interpreted variable.

To ensure the reliability of the research findings, this paper applies the CRITIC method to recalculate index weights, replacing the entropy weight method used in the benchmark regression for robustness testing. The CRITIC method considers both the variation within indicators and the conflicts among them, effectively preventing extreme weights and producing a more reasonable and stable weight distribution. Based on this, another regression analysis was conducted on the core explanatory variables. The regression results are shown in Table 9, and the coefficients of the explanatory variables remain significant. This indicates that the positive effect of national forest city construction on economic development and ecological resilience remains significant, confirming the robustness of the findings.

Table 9
www.frontiersin.org

Table 9. Robustness test: altering the explained variable.

5.3 Mechanism analysis

(1) Industrial structure upgrading

As mentioned earlier, establishing a national forest city promotes the structural transformation of urban industries toward high value-added and low-environmental-impact sectors, while restricting traditional heavy industries that harm the natural environment, thereby reducing environmental pressure and supporting ecological sustainability. Moreover, the policy emphasizes “optimization and upgrading” of polluting enterprises rather than their immediate elimination. Its goal is not to shut down all polluting enterprises immediately but to induce a market-driven “survival of the fittest” through higher environmental standards. Some enterprises were forced to relocate or close because they could not afford upgrading or failed to meet the new standards, partially explaining the industrial structural transformation. Meanwhile, a group of capable enterprises undertook green technological upgrades under policy pressure, surviving or even expanding by adopting advanced equipment and improving pollution control. This enhances cities’ capacity to withstand natural disasters and climate change, as well as their adaptability and recovery in response to economic fluctuations. To examine this mechanism, the paper analyzes the impact of the forest city selection policy on urban industrial structure from two perspectives. First, we track the evolution of the industrial structure by the share of each sector in the total output of the three primary industries and assess the policy’s effect on the overall three-industry structure. Second, we examine changes in the internal composition of urban industries following the policy implementation. Using China’s industrial and commercial enterprise registration data from 2003 to 2022, we compiled the annual number of registered enterprises per city and calculated totals for polluting and non-polluting industries according to the Ministry of Ecology and Environment’s classification. The regression results, presented in Table 10, show that overall, the forest city selection system increases the share of the tertiary sector in the urban economy, promoting a shift toward a service-oriented industrial structure. At the subsector level, the policy significantly increases new registrations of non-polluting enterprises relative to polluting ones, fostering growth in areas such as IT services, finance, water and environmental facilities, and culture, sports, and entertainment. These findings indicate that the forest city selection policy promotes the transformation of the regional industrial structure toward environmental sustainability, both in the overall three-industry composition and in the internal subsector structure.

Table 10
www.frontiersin.org

Table 10. Mechanism analysis: upgrading of industrial structure.

(2) Technological Innovation Enhancement.

This paper’s theoretical analysis suggests that the forest city selection system fosters positive transformations in urban technological innovation through incentives and policy direction. To test the validity of this mechanism, we revisit the literature and select indicators across multiple dimensions to measure technological innovation capacity. First, the number of utility patents serves as a fundamental indicator of a city’s technological innovation capacity, reflecting its overall level of R&D and application in technology. Second, the number of green invention patents—which typically cover new materials, renewable energy, and pollution control technologies—reflects the city’s investment in green technology R&D. Lastly, the number of green utility model patents indicates progress in applying green technology and improving resource utilization efficiency, highlighting the city’s focus on environmental protection within technological innovation. These indicators collectively provide a comprehensive measure of the city’s technological innovation capabilities. The regression results, presented in Table 11, show that the forest city selection system significantly enhances urban technological innovation, particularly in the field of green technology.

Table 11
www.frontiersin.org

Table 11. Mechanism analysis: technological innovation enhancement.

(3) Improvement of space utilization efficiency.

The core objectives of the forest city selection system are to improve the quality of the urban ecological environment and optimize the efficiency of ecological space utilization. On the basis of protecting and restoring the ecological environment, forest cities aim to achieve greater ecological benefits and socio-economic outputs within limited ecological space, thereby promoting sustainable urban development. To further examine the effect of optimal ecological space allocation, this study used remote sensing data to extract the urban normalized vegetation index (NDVI), which quantifies changes in ecological land within built-up areas and serves as a key measure of ecological space quality and structural optimization. The regression results are presented in Table 12. The results indicate that the forest city selection system not only promotes the efficient use of urban land—enabling more economic activity per unit area and improving spatial utilization efficiency—but also increases urban green space coverage, thereby enhancing the ecological environment and supporting sustainable economic development. The rise in NDVI values further confirms the positive impact of forest city construction on optimizing ecological space.

Table 12
www.frontiersin.org

Table 12. Mechanism analysis: improvement in spatial utilization efficiency.

5.4 Heterogeneity analysis

The theoretical analysis and empirical results in the previous section confirm that forest city construction significantly enhances both urban ecological and economic resilience. This section explores the heterogeneous impacts of forest city construction on ecological and economic resilience across regions, focusing on differences in industrial transformation costs and the potential economic costs of ecological construction.

(1) Heterogeneity test based on regional industrial transformation costs.

The transformation cost of regional industries shapes resource allocation, industrial restructuring, and policy implementation outcomes. Regions with different transformation costs face distinct challenges and effects in advancing forest city construction. Regions with higher transformation costs often have more complex industrial structures and greater resource dependence. Their trade-offs between ecological protection and economic resilience are more constrained, making forest city construction harder to implement. By contrast, regions with lower transformation costs, owing to simpler industrial structures and lower resource dependence, are more likely to achieve synergy between ecological and economic resilience in forest city construction. Accordingly, this paper measures regional industrial transformation costs using the level of urban industrialization and groups sample regions by transformation cost to test the differential effects of forest city construction on ecological and economic resilience.

As shown in Table 13, the synergistic effect between ecological and economic resilience has not yet emerged in regions with low transformation costs. Regions with high transformation costs, facing more severe transformation pressure, often receive larger central fiscal transfer payments, such as the compensation mechanism reflected by δ in Formula 6. This external incentive alleviates local financial constraints, strengthens the willingness and capacity to pursue green transformation, and thereby promotes more active implementation of forest city construction policies. Ultimately, these regions exhibit stronger policy effects in terms of both economic resilience and ecological benefits.

Table 13
www.frontiersin.org

Table 13. Heterogeneity analysis: regional transition costs.

(2) Heterogeneity test based on potential economic costs of regional ecological construction.

The key to balancing ecological environment construction and economic resilience in a region lies in the potential economic costs involved. The theoretical basis for potential economic costs is rooted in the opportunity cost principle in resource economics and Alonso’s bidding theory. The former holds that the true cost of any resource allocation decision is the value of the next-best alternative forgone, while the latter offers a classic model for quantifying the economic value of land at different urban locations. Taken together, these theories imply that the “potential economic cost” of land used for ecological environment construction is essentially the highest economic rent it could generate if devoted to commercial, residential, or industrial development. Therefore, land rent serves as a natural indicator of the opportunity cost of ecological construction: high land rent signals a high opportunity cost and the forfeiture of development rights. Based on this theoretical logic, it follows that in regions where the economic cost of ecological environment construction is relatively low, such projects encounter less economic resistance, making it easier to achieve a win–win outcome between environmental and economic benefits.

The regression results in Table 14 show significant differences in the effects of potential economic costs on the enhancement of ecological and economic resilience. In regions with lower economic costs, ecological construction achieves a favorable balance between environmental and economic benefits, fostering a win–win outcome. By contrast, in regions with higher potential economic costs, ecological construction faces greater opportunity costs due to high land rents, leading to weaker-than-expected improvements in ecological and economic resilience. In summary, ecological construction fosters stronger synergies between ecological and economic resilience in regions with lower potential economic costs, whereas higher-cost regions face greater opportunity costs, resulting in weaker coordination between the two.

Table 14
www.frontiersin.org

Table 14. Heterogeneity analysis: potential economic costs.

5.5 Assessment of the degree of synergy between the economy and ecosystems

Ecological resilience and economic resilience are two distinct subsystems within the same socio-economic system, characterized by dynamic coupling and mutual feedback. The coupling coordination model provides a comprehensive evaluation of both the synergistic trend and the overall degree of coordination between them. Accordingly, this study employs the coupling coordination model to measure their degree of synergy and systematically assess the overall synergistic effect. The calculation process is as follows:

U1=j1mωjXj,U2=j1nωjRj(14)
C=2U1×U2/(U1+U2)(15)
T=αU1+βU2(16)
D=C×T(17)

In the formula: Xj and Rj respectively denote the standardized values of economic development and ecological resilience indicator data; ωj is the weight of the indicator J, calculated by the entropy weight method. In Formula 14, U1 and U2 represent the comprehensive development levels of economic resilience and ecological resilience respectively; in Formula 15, C represents the coupling degree. In Formula 16, T represents the comprehensive coordination index. α and β represent the relative importance of economic development and ecological resilience. Since both economic development and ecological protection are indispensable and equally important, α and β are set to 0.5. In Formula 17, D represents the degree of coupling coordination, which ranges from 0 to 1. And conduct a regression analysis on this measure. The results in Table 15 indicate that the estimated coefficients of the core explanatory variables are significantly positive for both the integrated coordination coupling degree and the coupling coordination degree. Compared with non-forest cities, the forest city selection system increases the synergy between urban economic and ecological resilience by approximately 2.3%. Overall, the forest city selection system significantly enhances the synergy between economic and ecological resilience, strengthens the coordination between the economy and the ecosystem, and further demonstrates that its implementation can achieve both environmental and economic benefits.

Table 15
www.frontiersin.org

Table 15. Results of coupling analysis.

6 Conclusion and policy recommendations

This paper conducts a quasi-natural experiment based on the forest city selection policy, using panel data of prefecture-level cities from 2003 to 2022 to examine the effects and mechanisms of ecological space control policies in promoting urban economic development and ecological resilience. The results indicate that the forest city selection system motivates local governments to maximize the preservation of existing ecological space and optimize the allocation between ecological and production space to achieve synergy between urban economic and ecological resilience. This effect is primarily realized by improving ecological space utilization efficiency, promoting technological progress in the production sector, and driving the upgrading of the regional industrial structure.

First, efforts should continue to promote the selection of national forest cities and comprehensively enhance the quality and functionality of urban ecosystems. During the critical period of ecological civilization construction and the 14th Five-Year Plan, further efforts should focus on promoting national forest city selection and enhancing local governments’ responsibility for ecological protection and green development. By using the protection and development of forest resources as core evaluation indicators, local governments are encouraged to expand ecological space and enhance the service functions of ecosystems, thereby steadily improving urban ecological resilience and laying a green foundation for high-quality economic development. An ecological spatial displacement monitoring mechanism should also be established. Satellite remote sensing technology should be used to dynamically track changes in urban and rural green space distribution, with particular attention to preventing potential increases in suburban forest land coupled with decreases in central urban green space, ensuring balanced spatial development of green areas.

Second, opportunities arising from ecological protection and green development should be seized to optimize the allocation of urban ecological resources and capital. Improper local interventions may direct capital toward highly polluting and high-emission industries, suppressing green industry development and exacerbating capital misallocation. Leveraging the selection of national forest cities as an opportunity, local governments should be encouraged to strengthen control over highly polluting industries, facilitate the orderly exit of resource-intensive sectors, actively develop green industries such as forest economy and eco-tourism, optimize the allocation of ecological resources and capital, and achieve a win-win outcome for ecology and the economy. During this process, a minimum green space ratio threshold should be established for the central urban area and used as a key assessment indicator for forest city selection, preventing spatial imbalances in ecological development and ensuring equitable access to ecological benefits for urban and rural residents.

Third, the incentive effect of evaluation and standardization mechanisms should be strengthened to improve government ecological protection performance. In traditional political competitions, local governments may over-prioritize economic growth and neglect environmental protection, whereas the national forest city selection, as a form of competition, provides a positive incentive for local governments to enhance ecological protection and resilience. Therefore, the selection index system and incentives should be further refined, linking forest city selection to non-economic domains such as resource protection and ecological performance, to guide local governments in enhancing ecological functions and green development, fully leveraging its central role in ecological protection.

Fourth, a differentiated forest city transformation fund should be established to provide targeted compensation for high-cost regions. For areas with high transformation costs, such as heavy industrial cities, the compensation standard should be based on the opportunity cost of converting each hectare of industrial land into ecological land. The compensation rate δ can be defined as the ratio of lost land transfer fees to ecological service value. Special transfer payments can relieve local fiscal pressures, enhance willingness and capacity for ecological transformation, and improve policy implementation outcomes.

Data availability statement

The original contributions presented in the study are included in the article/supplementary material. Further inquiries can be directed to the corresponding authors.

Author contributions

YW: Writing – review & editing, Writing – original draft. FZ: Writing – original draft, Writing – review & editing. FW: Conceptualization, Investigation, Writing – original draft, Software, Writing – review & editing, Methodology, Data curation. MH: Supervision, Investigation, Conceptualization, Writing – review & editing, Writing – original draft, Methodology. HJ: Funding acquisition, Validation, Resources, Supervision, Formal analysis, Writing – original draft, Writing – review & editing, Software, Data curation, Investigation, Methodology, Project administration, Visualization, Conceptualization. MZ: Writing – review & editing, Conceptualization, Supervision, Project administration, Validation, Visualization.

Funding

The author(s) declare financial support was received for the research and/or publication of this article. This work is supported by Humanities and Social Sciences Youth Foundation, Ministry of Education of the People’s Republic of China (24YJC630222), Youth Project of Natural Science Foundation of Shandong Province (ZR2025QC795), the Social Science Planning Project of Shandong Province (23DJJJ08), Natural Science Foundation of Shandong Province (Grant No. ZR2021QG063), Rizhao Natural Science Foundation Youth Project (RZ2022ZR45), Outstanding Youth Innovation Team Project of Higher Education Institutions in Shandong Province (2022RW041) and Shandong Provincial College Youth Innovation Team Development Plan (2024KJL001).

Acknowledgments

We would like to thank the journal experts who edited this paper. We also appreciate the constructive suggestions and comments on the manuscript from the reviewer(s) and editor(s).

Conflict of interest

The authors declare that the research was conducted in the absence of any commercial or financial relationships that could be construed as a potential conflict of interest.

Generative AI statement

The author(s) declare that no Generative AI was used in the creation of this manuscript.

Any alternative text (alt text) provided alongside figures in this article has been generated by Frontiers with the support of artificial intelligence and reasonable efforts have been made to ensure accuracy, including review by the authors wherever possible. If you identify any issues, please contact us.

Publisher’s note

All claims expressed in this article are solely those of the authors and do not necessarily represent those of their affiliated organizations, or those of the publisher, the editors and the reviewers. Any product that may be evaluated in this article, or claim that may be made by its manufacturer, is not guaranteed or endorsed by the publisher.

References

Asghar M., Ayaz M., and Ali S. (2025). Ecological resilience in crisis: Analyzing the role of urban land use and institutional policies. Land Use Policy 151 (2025), 107492–107492. doi: 10.1016/j.landusepol.2025.107492

Crossref Full Text | Google Scholar

Chen M., Zeng L., Deng Y., Chen S., and Gu X. (2024). The impact of land marketization on urban resilience: empirical evidence from chinese cities. Land 13, 1385–1385. doi: 10.3390/land13091385

Crossref Full Text | Google Scholar

Cheng X., Ge F., Xu M., and Li Y. (2024). The heat island effect, digital technology, and urban economic resilience: Evidence from China. Technol. Forecasting Soc. Change 209 (2024), 123802–123802. doi: 10.1016/j.techfore.2024.123802

Crossref Full Text | Google Scholar

Dang J., Wang J., and Tu B. (2025). The impact of National Forest City Construction on local employment: Evidence from China. For. Policy Econ. 172 (2025), 103421–103421. doi: 10.1016/j.forpol.2024.103421

Crossref Full Text | Google Scholar

Gao J., Han H., and Ge S. (2023). Carbon-saving potential of urban parks in the central plains city: A high spatial resolution study using a forest city, shangqiu, China, as a lens. Land 12 (7), 1383–1383. doi: 10.3390/land12071383

Crossref Full Text | Google Scholar

Grumbine E. R. (2014). Assessing environmental security in China[J]. Front. Ecol. Environ. 12 (7), 403–411. doi: 10.1890/130147

Crossref Full Text | Google Scholar

Guo X. (2025). Assessing the impact of the Central Line Project of South-to-North Water Diversion on urban economic resilience: Evidence from prefecture-level cities in Henan and Hebei provinces. Int. Rev. Econ Finance 98 (2025), 103904–103904. doi: 10.1016/j.iref.2025.103904

Crossref Full Text | Google Scholar

Hu C., Chen J., and Dong J. (2023). Impact of city forests on haze reduction—Implementation of the national forest city policy in China. Forests 14 (4), 703. doi: 10.3390/f14040703

Crossref Full Text | Google Scholar

Hu H., Yan K., Fan H., Lv T., Huang Y., Zhang X., et al. (2025). oordination or imbalance? Understanding the relationship between economic resilience and ecological resilience in Hunan Province. Phys. Chem. Earth 14 (4), 703. doi: 10.1016/j.CE.2025.103997

Crossref Full Text | Google Scholar

Ju W., Jiayi L., Haixuan L., Guangpeng S., Jing L., Lijuan X., et al. (2021). Biogenic volatile organic compounds from 14 landscape woody species: Tree species selection in the construction of urban greenspace with forest healthcare effects. J. Environ. Manage. 300 (2021), 113761–113761. doi: 10.1016/J.JENVMAN.2021.113761, PMID: 34543971

PubMed Abstract | Crossref Full Text | Google Scholar

Schaupp J., Hediger K., Wunderli J.-M., Schäffer B., Tobias S., Kolecka N., et al. (2024). Psychophysiological effects of walking in forests and urban built environments with disparate road traffic noise exposure: study protocol of a randomized controlled trial. BMC Psychol. 12, 250–250. doi: 10.1186/s40359-024-01720-x, PMID: 38711162

PubMed Abstract | Crossref Full Text | Google Scholar

Kakderi C. and Tasopulou A. (2017). Regional economic resilience: The role of national and regional policies. Eur. Plann. Stud. 25, 1435–1453. doi: 10.1080/09654313.2017.1322041

Crossref Full Text | Google Scholar

Li F. and Diao Z. (2024). New urbanization construction and city economic resilience-based on multi-period DID tests for 278 cities. Heliyon 10, e36605–e36605. doi: 10.1016/j.heliyon.2024.e36605, PMID: 39296071

PubMed Abstract | Crossref Full Text | Google Scholar

Li Q., Ge J., Zhang X., Wu X., Fan H., Yang L., et al. (2025). Assessment of the interaction between digital infrastructure and ecological resilience: Insights from Yangtze River Delta Urban Agglomeration in China. J. Cleaner Production 486 (2025), 144364–144364. doi: 10.1016/j.jclepro.2024.144364

Crossref Full Text | Google Scholar

Li W., Bai Y., Chen Q., He K., Ji X., and Han C. (2014). Discrepant impacts of land use and land cover on urban heat islands: A case study of Shanghai, China [J]. Ecological Indicators 471, 71–178. doi: 10.1016/j.colind.2014.08.015

Crossref Full Text | Google Scholar

Lisha L., Chunkai Z., Xing L., and Jiahong Q. (2021). Towards low carbon development: The role of forest city constructions in China. Ecol. Indic. 131 (2021), 108199–108199. doi: 10.1016/j.COLIND.2021.108199

Crossref Full Text | Google Scholar

Liu J. (2024). Research on innovative measurement of chinese urban digital economy development and its impact on enterprise export resilience: from the perspective of material mechanics. J. Innovation Dev. 9, 64–68. doi: 10.54097/fk6qrj03

Crossref Full Text | Google Scholar

Magruder J. K. and Chipman J. S. (2025). From eco-anxiety to eco-resilience: how ACT can counter environmental injustice and advance human rights. J. Hum. Rights Soc. Work 10 (2), 1–11. doi: 10.1007/s41134-024-00350-y

Crossref Full Text | Google Scholar

Martin H., James F., Maree G., and Toby K. (2021). Developing a metropolitan-wide urban forest strategy for a large, expanding and densifying capital city: lessons from melbourne, Australia. Land 10, 809–809. doi: 10.3390/land10080809

Crossref Full Text | Google Scholar

Peng Y., Wang Z., Zhang Y., and Wang W. (2025). Facilitating or hindering? The impact of low-carbon pilot policies on socio-ecological resilience in resource-based cities. Land 14, 147–147. doi: 10.3390/land14010147

Crossref Full Text | Google Scholar

Martin R. and Sunley P. (2014). On the notion of regional economic resilience: conceptualization and explanation. J. Economic Geogr. 15, 1–42. doi: 10.1093/jeg/lbu015

Crossref Full Text | Google Scholar

Seto K. C., Reenberg A., Boone C. G., Fragkias M., Haase D., Langanke T., et al. (2012). Urban land teleconnections and sustainability. Proc. Natl. Acad. Sci. U.S.A. 109 (20), 7687–92. doi: 10.1073/pnas.1117622109, PMID: 22550174

PubMed Abstract | Crossref Full Text | Google Scholar

Ting M., Yupeng L., Qiang C. W., Nan L., Nan D., Yao S., et al. (2022). Quantifying spatiotemporal dynamics of urban building and material metabolism by combining a random forest model and GIS-based material flow analysis. Front. Earth Sci. 10. doi: 10.3389/FEART.2022.944865

Crossref Full Text | Google Scholar

Walker B., Holling C. S., Carpenter S. R., and Kinzig A. (2004). Resilience, adaptability and transformability in social-ecological systems. Ecol. Soc. 9, 5. doi: 10.5751/ES-00650-090205

Crossref Full Text | Google Scholar

Wang C. (2024). How does manufacturing agglomeration affect urban ecological resilience? evidence from the Yangtze river delta region of China. Front. Environ. Sci. 12 (2024), 1492866–1492866. doi: 10.3389/fenvs.2024.1492866

Crossref Full Text | Google Scholar

Wang Y. and Li Y. (2025). The impact of the digital economy on urban ecosystem resilience in the yellow river basin. Sustainability 17, 790–790. doi: 10.3390/su17020790

Crossref Full Text | Google Scholar

Wang Y., Zou F., Guo W., Lu W., and Deng Y. (2024). Impact of forest city selection on green total factor productivity in China under the background of sustainable development. Forests 15, 1064–1064. doi: 10.3390/f15061064

Crossref Full Text | Google Scholar

Wenjian H., Yu C., Ying L., and Hongxiao Z. (2022). Microeconomic effects of designating National Forest Cities: Evidence from China’s publicly traded manufacturing companies. For. Policy Econ. 136 (2022), 102669–102669. doi: 10.1016/J.FORPOL.2021.102669

Crossref Full Text | Google Scholar

Xie H., Yang C., and Tan X. (2024). Does national forest city improve residents’ health? Evidence from China. Front. Public Health 12 (2024), 1304600–1304600. doi: 10.3389/fpubh.2024.1304600, PMID: 38444443

PubMed Abstract | Crossref Full Text | Google Scholar

Xing L. and Chunkai Z. (2022). Can national forest city construction mitigate air pollution in China? Evidence from a quasi-natural experiment. Environ. Geochem. Health 45, 3003–3024. doi: 10.1007/S10653-022-01386-7, PMID: 36129590

PubMed Abstract | Crossref Full Text | Google Scholar

Xu X. and Song Z. (2024). National forest city policy and urban ecological resilience: evidence from 292 cities in China. Forests 15, 1906–1906. doi: 10.3390/f15111906

Crossref Full Text | Google Scholar

Xu F., Wang H., and Chi G. (2025). Does market-oriented land conveyance affect regional economic resilience? A spatial and mediation analysis based on 287 Chinese cities. Land Use Policy 150 (2025), 107457–107457. doi: 10.1016/j.landusepol.2024.107457

Crossref Full Text | Google Scholar

Xu Q., Zhong M., and Dong Y. (2024). Digital economy and risk response: How the digital economy affects urban resilience. Cities 155 (2024), 105397–105397. doi: 10.1016/j.cities.2024.105397

Crossref Full Text | Google Scholar

Yang S., Lu W., and Wan L. (2025). The heterogeneous effect of digital economy on ecological resilience: considering the mediating role of technological innovation. Environ. Dev. Sustain. 1–27. doi: 10.1007/s10668-024-05932-4

Crossref Full Text | Google Scholar

Ye Z., Li J., and Chen J. (2025). The promotion mechanism of financial agglomeration and human capital on urban economic resilience: Based on the moderating effect of industrial structure. Int. Rev. Econ Finance 97 (2025), 103764–103764. doi: 10.1016/j.iref.2024.103764

Crossref Full Text | Google Scholar

Zhang J., Yang Z., and He B. (2023). Does digital infrastructure improve urban economic resilience? Evidence from the yangtze river economic belt in China. Sustainability 15 (19), 14289–14289. doi: 10.3390/su151914289

Crossref Full Text | Google Scholar

Zhou Y., Wang Z., Liu L., Peng Y., and Ihimbazwe B. (2025). The impact of digitization on urban social–ecological resilience: evidence from big data policy pilots in China. Sustainability 17, 509–509. doi: 10.3390/su17020509

Crossref Full Text | Google Scholar

Keywords: forest city selection, economic resilience, ecological resilience, differential modelling, coupled coordination

Citation: Wang Y, Zou F, Wei F, Hou M, Jin H and Zhang M (2025) Can forest cities enhance both economic and ecological resilience? Front. Ecol. Evol. 13:1671456. doi: 10.3389/fevo.2025.1671456

Received: 23 July 2025; Accepted: 06 October 2025;
Published: 23 October 2025.

Edited by:

Anna María Pálsdóttir, Swedish University of Agricultural Sciences, Sweden

Reviewed by:

Chante Jian Ding, University of Malaya, Malaysia
Yilin Zheng, Tianjin University of Commerce, China

Copyright © 2025 Wang, Zou, Wei, Hou, Jin and Zhang. This is an open-access article distributed under the terms of the Creative Commons Attribution License (CC BY). The use, distribution or reproduction in other forums is permitted, provided the original author(s) and the copyright owner(s) are credited and that the original publication in this journal is cited, in accordance with accepted academic practice. No use, distribution or reproduction is permitted which does not comply with these terms.

*Correspondence: Fan Zou, em9mQHFmbnUuZWR1LmNu; Huawang Jin, MjAyMDAwMzVAd2Z1LmVkdS5jbg==

Disclaimer: All claims expressed in this article are solely those of the authors and do not necessarily represent those of their affiliated organizations, or those of the publisher, the editors and the reviewers. Any product that may be evaluated in this article or claim that may be made by its manufacturer is not guaranteed or endorsed by the publisher.