ORIGINAL RESEARCH article
Front. Ecol. Evol.
Sec. Conservation and Restoration Ecology
This article is part of the Research TopicThe North American Bison Management System: Sustainability, One Health, Ecological Restoration, and Ecological ResilienceView all 6 articles
Climate and Translocations Drive Spatiotemporal Variation in Growth and Body Size of North American Bison (Bison bison)
Provisionally accepted- 1Department of Animal Science, University of Minnesota Twin Cities, St. Paul, United States
- 2Department of Natural Resource Management, South Dakota State University, Brookings, United States
- 3South Dakota State University South Dakota Agricultural Experiment Station, Pierre, United States
- 4Turner Institute of Ecoagriculture, Bozeman, United States
- 5Department of Animal Science, South Dakota State University, Brookings, United States
Select one of your emails
You have multiple emails registered with Frontiers:
Notify me on publication
Please enter your email address:
If you already have an account, please login
You don't have a Frontiers account ? You can register here
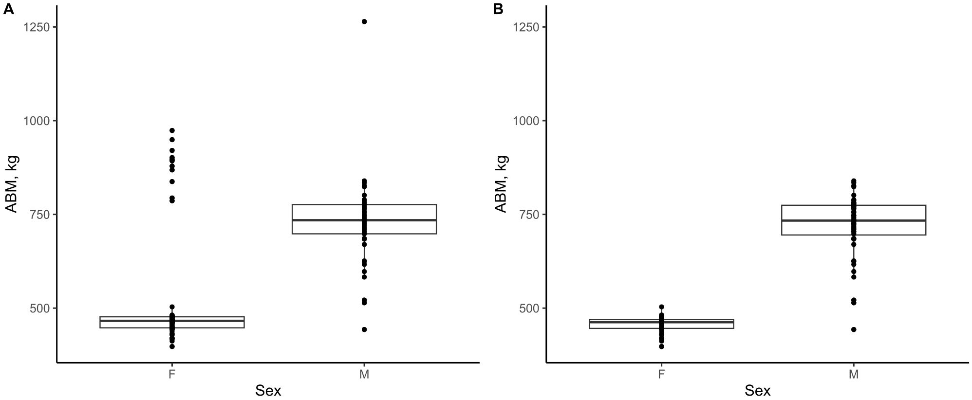
Body size is a fundamental trait that influences survival, reproduction, and ecosystem functioning in large herbivores. Despite their ecological importance, our understanding of how North American bison (Bison bison) respond to climatic variation over time remains limited. To address this, we analyzed a large dataset comprising more than 672,000 weight observations from 186,732 individuals collected over 20 years across 14 widely-dispersed geographic locations to investigate how climate, birth cohorts, and translocation practices shape bison growth dynamics. Using a three-parameter logistic model, we estimated asymptotic body mass (ABM) across seven quinquennial cohorts and correlated these estimates with local climatic conditions, specifically mean annual temperature (MAT) and precipitation (MAP). Bison ABM varied geographically in accordance with climate: individuals attained their greatest adult body masses in moderate climates (around 10–12 °C MAT and 500–650 mm MAP), whereas both warmer-drier and cooler climates were associated with reduced ABM, as confirmed by a significant quadratic climate–size relationship (p < 0.01). Sexual size dimorphism was also highest under these moderate conditions, with males achieving disproportionately larger sizes than females in such environments. Significant cohort effects were detected, with certain birth-year cohorts consistently exhibiting higher or lower ABM, likely reflecting the influence of early-life environmental conditions. Furthermore, animals that were translocated between localities exhibited changed growth patterns. Female bison translocated between herds showed growth trajectories that were intermediate between their herd of origin and their new destination, potentially indicating partial convergence to local size norms. This work This is a provisional file, not the final typeset article supports the dominant influence of environmental conditions on bison body size, consistent with previous findings, while expanding our understanding on a broader spatial and temporal scale. Future management strategies should consider localized climate optima and the long-term impacts of translocation, ensuring that bison continue to fulfill their critical ecological roles in North America.
Keywords: Body Size, Bison, conservation, Climate Change, Cohort Effect, Management, translocation
Received: 10 Aug 2025; Accepted: 20 Nov 2025.
Copyright: © 2025 Fresno Rueda, Wolfe, Ramirez-Camba, Antaya, Bragg, Kruse, Brennan and Martin. This is an open-access article distributed under the terms of the Creative Commons Attribution License (CC BY). The use, distribution or reproduction in other forums is permitted, provided the original author(s) or licensor are credited and that the original publication in this journal is cited, in accordance with accepted academic practice. No use, distribution or reproduction is permitted which does not comply with these terms.
* Correspondence: Anlly Fresno Rueda, afresnor@umn.edu
Disclaimer: All claims expressed in this article are solely those of the authors and do not necessarily represent those of their affiliated organizations, or those of the publisher, the editors and the reviewers. Any product that may be evaluated in this article or claim that may be made by its manufacturer is not guaranteed or endorsed by the publisher.
