BRIEF RESEARCH REPORT article
Front. Ecol. Evol.
Sec. Conservation and Restoration Ecology
This article is part of the Research TopicCoastal Adaptation Through Nature: Natural and Nature-Based Features (NNBF) ResearchView all 11 articles
Stakeholder feedback on ecological benefits at dredged material placement sites
Provisionally accepted- 1United States Army Corps of Engineers, Portland District, Portland, United States
- 2US Army Engineer Research and Development Center, Vicksburg, United States
Select one of your emails
You have multiple emails registered with Frontiers:
Notify me on publication
Please enter your email address:
If you already have an account, please login
You don't have a Frontiers account ? You can register here
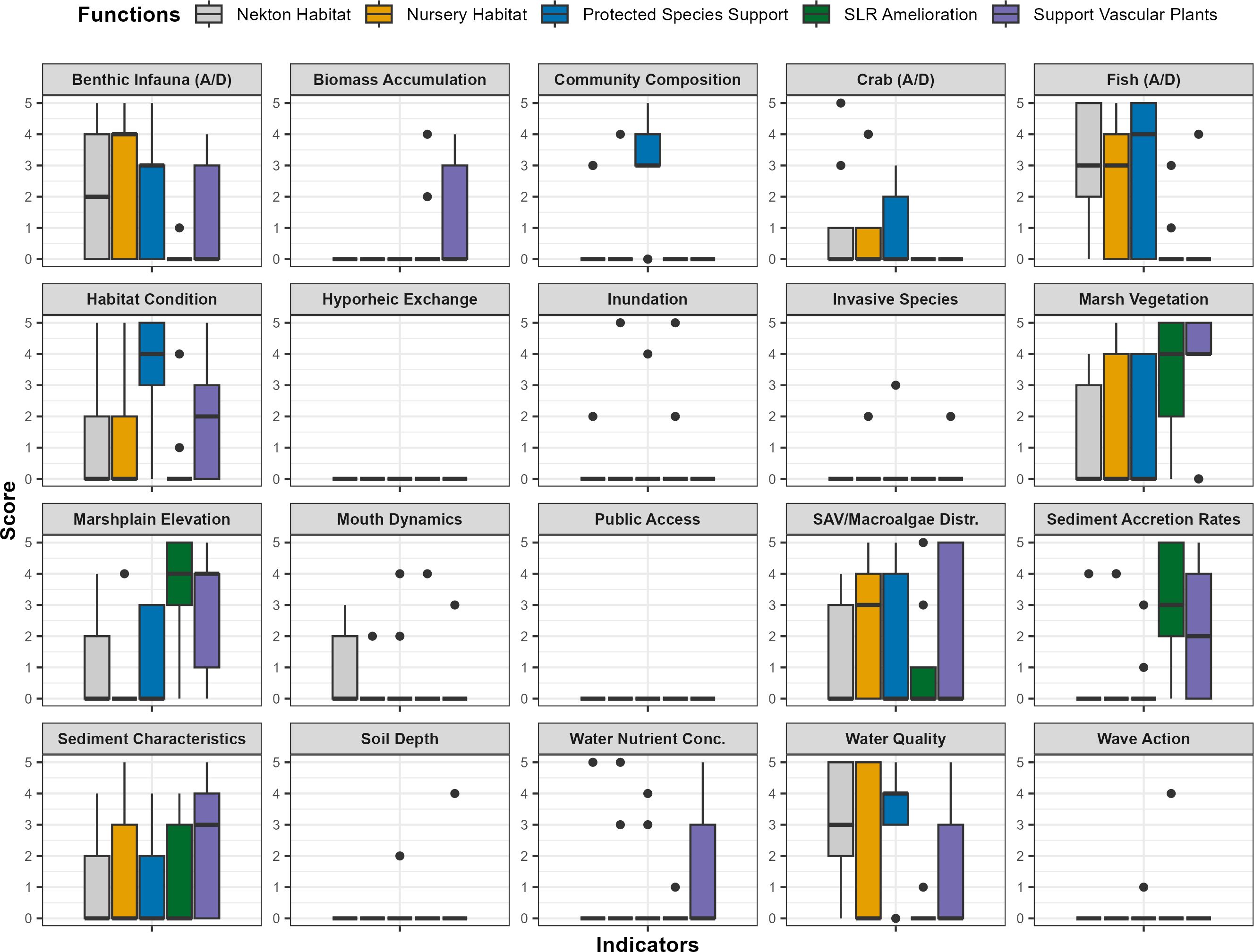
We adopted a matrix framework to evaluate potential ecological benefits at beneficial use of dredged material (BUDM) placement sites. Monitoring protocols developed in California (U.S.A.) were adapted to solicit feedback on ecosystem functions and indicators most relevant for BUDM applications. We present feedback received in the context of estuaries and a large coastal river in the Pacific Northwest of the United States, though methods are easily transferable. Through a series of workshops, stakeholders were asked to identify and prioritize functions and indicators they deemed most applicable to BUDM assessment. From a stakeholder group of over 50 invitees representing 21 organizations, we received matrices from just under half (n=9). Matrix input often reflected collaborative feedback from multiple individuals within a single organization. Top ecosystem functions identified were support for protected species, sea level rise amelioration, nursery habitat, support for vascular plants, and nekton habitat. Top indicators selected for assessing those functions were the vegetation community, benthic community, water quality, distribution of submerged vegetation and macroalgae, and the marshplain elevation. Not all indicators were applicable to selected functions and there was high variability in the indicator prioritization. A final stakeholder workshop was held to discuss results and participants expressed support for monitoring indicators (e.g., biomass) with the greatest potential to capture changes in benefits across multiple ecological functions and over time. We demonstrate a process to facilitate ongoing stakeholder collaboration to proactively plan for evaluating ecological priorities and selecting relevant indicators that enable users to effectively monitor and quantify BUDM benefits.
Keywords: Dredged material disposal, Beneficial use, stakeholder engagement, Habitat benefits, ecosystem functions
Received: 15 Aug 2025; Accepted: 21 Nov 2025.
Copyright: © 2025 Jones Littles, Russ, Lemasson, Schultz, Tidwell, Moritz and Carroll. This is an open-access article distributed under the terms of the Creative Commons Attribution License (CC BY). The use, distribution or reproduction in other forums is permitted, provided the original author(s) or licensor are credited and that the original publication in this journal is cited, in accordance with accepted academic practice. No use, distribution or reproduction is permitted which does not comply with these terms.
* Correspondence: Chanda Jones Littles, chanda.j.littles@usace.army.mil
Disclaimer: All claims expressed in this article are solely those of the authors and do not necessarily represent those of their affiliated organizations, or those of the publisher, the editors and the reviewers. Any product that may be evaluated in this article or claim that may be made by its manufacturer is not guaranteed or endorsed by the publisher.
