ORIGINAL RESEARCH article
Front. Ecol. Evol.
Sec. Conservation and Restoration Ecology
Quantifying Elephant Mortality in a Changing Landscape: Insights from Jharkhand, India
Provisionally accepted- 1Academy of Scientific and Innovative Research, Ghaziabad, India
 - 2Wildlife Institute of India, Dehradun, India
 - 3Ministry of Environment Forest and Climate Change, New Delhi, India
 
Select one of your emails
You have multiple emails registered with Frontiers:
Notify me on publication
Please enter your email address:
If you already have an account, please login
You don't have a Frontiers account ? You can register here
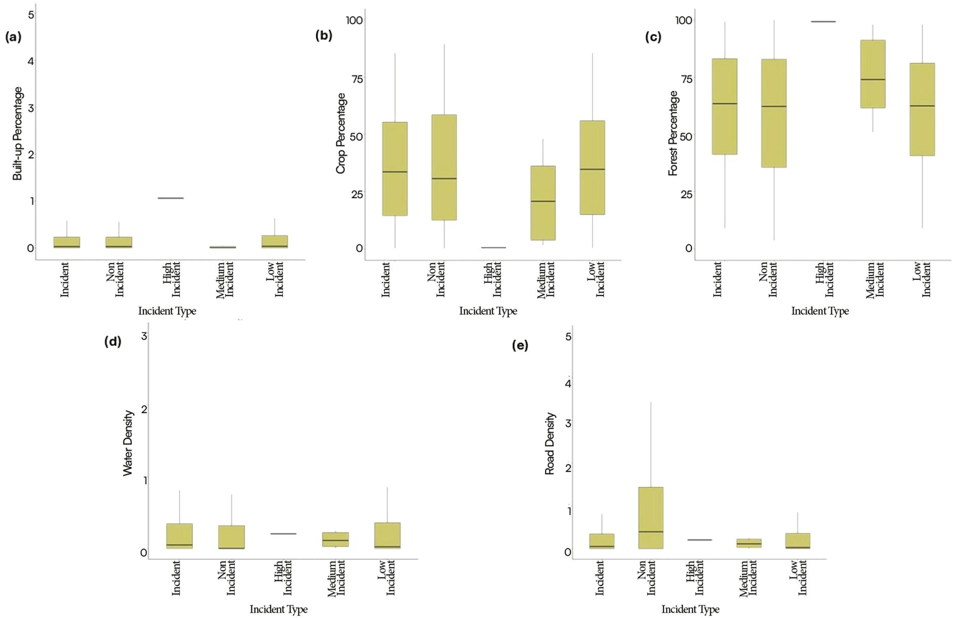
Elephant mortality in Jharkhand has reached critical levels, primarily driven by anthropogenic pressures and habitat degradation, which has intensified their movement into human-dominated landscapes. We conducted a comprehensive analysis of elephant mortality trends in Jharkhand, India, spanning from 2000 to 2023. This study investigates the influence of habitat alterations, anthropogenic activities, and other ecogeographical factors on the escalating elephant mortality in the region. In the last 23 years, forest cover has changed up to 6% and subsequently, built-up areas have risen by 39.34%, further encroaching on elephant habitats and corridors. During the period a total of 225 elephant deaths were reported, with 152 of these caused by various anthropogenic activities and highest death was reported due to electrocution (n=67). The highest number of elephant deaths (anthropogenic) occurred during the monsoon season, with Ranchi division reporting the most mortalities, followed by East Singhbhum and Saraikela. At the village level, the analysis revealed that areas characterized by higher road densities and reduced forest cover experienced high elephant mortalities. This pattern suggests that increased infrastructure development and habitat degradation may be contributing to the escalation of human-elephant conflicts in these regions. These findings underscore the urgent need for conservation actions, including reforestation, establishment of protected corridors, improved infrastructure planning, and awareness generation at the local level to reduce elephant mortalities and overall human elephant conflict in Jharkhand.
Keywords: Elephant mortality, Electrocution, fragmentation, Jharkhand, LULC, Ranchi
Received: 11 Oct 2025; Accepted: 03 Nov 2025.
Copyright: © 2025 Pandey, Roy, G, Dutta, Mittal, Nigam, Nath and Habib. This is an open-access article distributed under the terms of the Creative Commons Attribution License (CC BY). The use, distribution or reproduction in other forums is permitted, provided the original author(s) or licensor are credited and that the original publication in this journal is cited, in accordance with accepted academic practice. No use, distribution or reproduction is permitted which does not comply with these terms.
* Correspondence: Bilal  Habib, bilalhabib1@gmail.com
Disclaimer: All claims expressed in this article are solely those of the authors and do not necessarily represent those of their affiliated organizations, or those of the publisher, the editors and the reviewers. Any product that may be evaluated in this article or claim that may be made by its manufacturer is not guaranteed or endorsed by the publisher.
