Your new experience awaits. Try the new design now and help us make it even better

ORIGINAL RESEARCH article

Front. Educ., 21 October 2025

Sec. Higher Education

Volume 10 - 2025 | https://doi.org/10.3389/feduc.2025.1639528

Bridging tradition and innovation: a framework for implementing sustainable Design-Build Studios in Middle Eastern architectural education

  • 1Architecture Department, Effat University, Jeddah, Saudi Arabia
  • 2Architecture Systems Engineering, October University for Modern Sciences and Arts, 6th of October, Egypt

This paper develops and validates the first systematic framework for implementing Design-Build Studios (DBS) in Middle Eastern architectural education. It attempts to close the long-standing gap between theoretical knowledge and practice by aligning regional cultural, environmental, and educational needs with Western design-build precedents. The study follows a multi-stage mixed-methods approach combining the synthesis of systematic literature, framework development, and empirical validation through a detailed survey of 61 regional stakeholders distributed across Egypt, Gulf states, the Levant, Iran, and Turkey. The empirically validated framework sequences DBS implementation into three enabling modules (Curriculum, Studio, People) along three successive stages (Implementation, Operation, Maintenance) with clear integration of Heritage, Sustainability, and Innovation themes. Stakeholder validation records overwhelming regional acceptance (85.2% positive rating) and identifies critical implementation priorities: funding security (67.2% ranked as highest priority), resource availability (59.0%), and participant preparation (54.1%). Regional sustainability priorities are water scarcity (72.1%), affordable housing (68.9%), and heritage preservation (68.9%), which differentiate Middle Eastern requirements from Western precedents. The framework transforms from a conceptual, culturally-adaptive pedagogical model into an empirically-weighted readiness tool that allows systematic institutional assessment across five critical domains (30% funding and feasibility, 20% facilities and resources, 20% community and people, 15% curriculum integration, 15% maintenance and reflection), providing institutions with quantifiable assessment capabilities and prioritized implementation recommendations. This study forms the foundation of DBS implementation, an evidence-based practice where Middle Eastern architectural education can leverage global pedagogic innovations. These are systemically adapted to regional conditions via stakeholder engagement, cultural awareness, and equipping students for the future realities of sustainable and socially responsible architectural practice.

1 Introduction

Design-Build Studio (DBS) education is a novel pedagogy that eliminates the long-standing separation between abstract architectural knowledge and real construction practice. This blended learning mode, combining design thinking and experiential construction practice, has been widely acclaimed across the globe because it uniquely offers learners the nuances of modern architectural practice alongside the development of creative talents, environmental consciousness, and social responsibility. (Avinç, 2024; Canizaro, 2012; Folić et al., 2016; Hartig and Pawlicki, 2015; Jackson, 2005; Weber, 2017). Although design-build education has been comprehensively researched and practiced across Western contexts, where design-build pioneer programs like Auburn's Rural Studio, Yale Building Project, and University of Kansas Studio 804 have remained international reference beacons (Hailey, 2016; Hettithanthri and Hansen, 2022; Thallon, 2014), the Middle Eastern architectural schooling contexts remain poorly researched on the subject of design-build education, which has unique possibilities along with complications that have been inadequately addressed by scholarly research on the topic (Voulgarelis, 2012; Winterbottom, 2020). The Middle East, with a long history of cultural architectural heritage stretching over thousands of years, climatically diverse conditions, highly charged socio-political contexts, and constantly changing schooling scenarios, presents a unique Middle East-specific design-build education context that can improve regional architectural dynamics significantly as well as broader development agendas (Al-Kodmany et al., 2021; Moscatelli, 2023; Sirror, 2024).

Incorporation of design-build practices into Middle East-centric curricula of architecture has several key roles that go beyond typical pedagogic ends. These vary between safeguarding of old construction techniques and practices of craftsmanship that will be lost within quickly changing societies to coping with the realities of sustainability today by virtue of practical exploration of climate-responsive design techniques, framing productive forms of community engagement within societies where buildings have much to offer within social cohesion, and educating students toward professional practice within quickly changing regional conditions that necessitate cultural refinement as well as technological development (Mohareb and Maassarani, 2018; Nasrullah and Syafri, 2024). Despite the design-build education contribution to Middle Eastern settings, the volume of scholarly production registers an immense gap in systematic study of regional programs, their distinct nature, plan of implementation, and learning outcomes. In spite of single programs being described within institution papers and isolated scholarly texts, no such body of a structured type considers the regional specificity necessitated by cultural differences, natural conditions, and teaching requirements toward the effective design-build education application within the highly diverse Middle East territory (Gaber, 2014).

This paper creates an implementation framework of integrating DBS into Middle Eastern architectural curricula as a solution to these issues. The framework is transformed into an expanded matrix and detailed checklist instrument that directs the instructor through initiating, administering, and maintaining DBS programs based on sustainability, cultural responsiveness, and creative design. The framework takes the globe's finest practices and optimizes them to the cultural and environmental requirements of the Middle East to close the gap between tradition and creativity within architectural curricula. In addition, the tool delimits the infusion of the curriculum, student participation, and project management to ensure the students will have practical experience and the abilities to practice sustainability and cultural-aware design tenets into their practices.

The research resolves the primary problem of the inquiry as follows: How can design-build curricula be adapted and implemented systematically within Middle Eastern architectural curricular settings to meet regional cultural, environmental, and educative needs with ongoing pedagogical effectiveness? This study follows a mixed-method methodology that combines the synthesis of the literature systematically with the consultative process of the stakeholders to construct and test the recommended framework. Beyond the scholarly agenda, designing a regionally appropriate framework serves the broader needs of society more effectively. Middle Eastern countries have specific issues of sustainable development, preservation of cultural heritage, post-war reconstruction, and rapid urbanization that call for practitioners who possess both technical expertise and cultural suitability (Mohareb and Yamak, 2022; Sirror, 2024). Appropriately regionalized curricula of design-build can be useful both to the resolution of these issues' demands and to students' preparation for practice more broadly.

2 Literature review

2.1 Introduction to design-build education in Middle Eastern contexts

Design-build as an educative mode has become one of the world's paradigms of architectural education, with successful programs showing potential between theoretical nous and practical construction practice exposures (Canizaro, 2012; Weber, 2017). Western paradigms have established the pioneer methods and successful paradigms, but the applicability of the design-build model to Middle East locations poses distinguishing opportunities and situations that call for culturally modified frameworks and contextually relevant methods.

2.2 Western design-build models as reference points

Table 1 provides comparative detailed information on Western design-build programs adopted as case studies to learn successful methods of pedagogy and plans of implementation. Such programs like Auburn University Rural Studio, University of Kansas Studio 804, Yale Building Project, etc., taught the fundamental tenets of design-build education by offering different tactics of the community engagement, integration of sustainability, and the experiential learning (Al-Kodmany et al., 2021; Canizaro, 2012; Hailey, 2016; Jackson, 2005; Kraus, 2017; Weber, 2017). The Rural Studio of Auburn commenced as the founder institution in 1993 to offer community-based design-build educative exposures with the theme of affordable rural community development and housing (Stonorov, 2017). Community-based long-term involvement and student experiential learning amidst the conditions of the countryside offer educative knowledge of ideas on how to implement community-based design-build. Studio 804 of the University of Kansas has excelled on environmentally superior design-build educations with a high-performance focus on affordable housing that reaches the level of the LEED certifications (Thallon, 2014). These Western case studies have trainable principles comprising design and construction phase integration techniques, community involvement methods, sustainability assessment techniques, and student learning assessment frameworks (Hailey, 2016; Hettithanthri and Hansen, 2022; Verderber et al., 2019). However, the implementation of the Western methods directly within Middle Eastern contexts requires high cultural adjustments to respond to regional requirements of cultural heritage conservation, different community structure settings, different climatic settings, and different educative cultures (Moscatelli, 2023; Sirror, 2024).

Table 1

2.3 Middle Eastern design-build programs

Table 2 offers an overall comparison among established Middle Eastern design-build programs that have varied regional responses to architecture education regardless of having to compete with specific regional environmental, cultural, and social conditions. The programs offer proof of the success of culture-based design-build education and knowledge of successful implementation mechanisms toward regional conditions.

Table 2

2.3.1 Turkey: summer construction at METU

The Middle East Technical University (METU) in Turkey offers one of the oldest design-build programs globally, with over 65 consecutive years of operating its Summer Construction Practices program (ARCH190; Turgay, 2005). As a mandatory program, architecture students engage in construction exercises and get to experience building and construction processes and materials firsthand, and conventional construction practices. The program, having endured for such a long lifespan, establishes the success of design-build education in Middle Eastern regions and sustains traditional Turkish construction knowledge. METU approach extends learning-by-doing tradition by connecting theoretical knowledge and construction practices, filling the gap between theoretical learning at school and actual professional work common in traditional architecture education (Turgay, 2005). The program's success relies on the systematic combination of construction education and design studio experience to provide the student with a cross-disciplinary building process knowledge that shape their design creativity across the years of study and professional practice.

2.3.2 Iran: Yazd University architectonic situation

Iran's Yazd University created new varieties of design-build education due to the researchers-established “architectonic situation” approach (Maghami and Ghasr, 2022). The traditional Persian doctrines of architecture and the current design-build practices are united by it for new learning potential with due attention to tradition on the one side and due response to the needs of today's architecture on the other.

The Iranian model focuses on overlapping areas among design-build construction projects that recover the architectonic context in architecture schools and reveal how ancient structures of knowledge may be incorporated with new teaching methodologies (Maghami and Ghasr, 2022). The attention to the traditional use of materials within the program, such as the construction with earth and soil materials, gives the student insight into the sustainable building practices that answer to the environment and are sensitive to culture. The Kooshk Research Pavilion is another regional design-build contribution from Iran that is aimed at researching soils and reconstructing ancient Middle Eastern building practices (Myers, 2020). The project illustrates the value of design-build education for being utilized for the preservation of cultural heritage even as it meets the challenge of sustainability that the contemporary world offers.

2.3.3 Lebanon: community-focused design-build

Lebanese institutions, and Beirut Arab University specifically, have created design-build programs with exemplary experience of community engagement and infusing of social responsibility, and they handle conditions not typical for Western programs (Mohareb and Maassarani, 2018). The Lebanese approach is of special benefit given the challenging post-war situation of the country and the need for rebuilding and community construction (Mohareb and Yamak, 2022). Beirut Arab University's Faculty of Architecture-Design & Built Environment has created community service projects blending academic education and community service, yielding a model for design-build education that is socially responsible (Mohareb and Maassarani, 2018). The Lebanese programs' consideration of trauma-informed design procedures, rapid construction protocols, and community healing processes offers something missing in Western-based literature.

2.3.4 Egypt: sustainability and traditional construction innovation

Egyptian entities created design-build projects on sustainability and low-cost housing issues, and they stressed other efforts toward innovation in traditional construction (Abdel Gelil and Abo Eldardaa, 2023; Abdel Gelil et al., 2024). An excellent project on sustainable construction by blending traditional construction practices and present practices on sustainability is building the MSA University Center of Earth in 2017 by using Compressed Stabilized Earth Blocks (CSEB) to combine traditional construction practices and present practices on sustainability (Figure 1a).

Figure 1
(a) A small brick building with decorative patterns, flanked by two plants, under a clear blue sky. (b) A wooden deck structure beneath a concrete overpass with urban buildings in the background. (c) People working together to build a red brick structure outdoors. (d) Two individuals applying materials to a dome-shaped wooden structure in a sunny outdoor area.

Figure 1. Sustainability and traditional construction innovation in Egyptian higher education: (a) Ecofordable House, MSA Center of Earth (Abdel Gelil Mohamed, 2023); (b) Under-bridge playground, Baladilab, GUC (Pampe and Capresi, 2014); (c) Ezbet oven project (Collective for Sustainable Architecture, 2015); (d) CSEB vault building, El Fayoum, MSA (Ebaid, 2023).

Baladilab in the German University in Cairo (GUC) is among the notable Egyptian undertakings by the Learn-Move-Play-Ground project (2012–2014) that produced the “Malaab el Kobri” (Under the Bridge Playground) project, a project sponsored by the EU that involved international cooperation (Capresi and Pampe, 2016; Hartig and Pawlicki, 2015). The project was an instance of design-build education of the city problems by intervention for the community (Figure 1b).

Improved Ain Shams University Projects include the Ezbet Project in Ezbet Abu-Qarn informal settlement, which was designed together with the University of Stuttgart. The partnership includes several small projects like building of the earth oven (Figure 1c), street interventions, and the upgrade of the Abu El-Soud School, showing how global collaboration enhances local design-build education without forgetting local construction and materials practices (Ain Shams University and University of Stuttgart, 2015).

American University in Cairo RISE (Research Institute for a Sustainable Environment) program offers a non-traditional model of sustainability-based design-build education (Tutwiler, 2013). Their Living Learning Laboratory (LLL) program is built on project-based experiential learning integrated into course-based academic curriculum with specialty training in desert agriculture, water-efficient agricultural systems, climate-controlled greenhouses, green walls, and solar panels.

Individual Faculty Initiatives have also diversified Egyptian design-build education. Adel Fahmy was the first to innovate adobe architecture education teaching by training for construction of domes and vaults (Figure 1d), and Heba Safey Eldeen further bridged participatory design processes hitherto exclusive to children's play spaces by applying them in the case of informal settlement, showing possible design-build education can have by virtue of individual instructors' initiatives (Saleh et al., 2021).

2.3.5 Jordan: educational innovation and hybrid learning

Jordanian institutions have creatively confronted design-build education fit for the challenges of the times without compromising the emphasis on hands-on education. The College of Architecture of Jordan University of Science and Technology (JUST) introduced new solutions for hands-on learning for architecture education, more specifically for online and hybrid learning conditions, and how design-build education can potentially utilize dynamic conditions of the learning space without compromising its effectiveness (Ibrahim et al., 2021). The German Jordanian University (2025) offers architecture and interior architecture programming that embodies international cooperation for regional design-build education. Jordanian programs become important precisely because the country is a regional refugee center for Palestinian refugees and faces water supplying issues that afford special conditions for design-build education. The challenge of refugee shelter requirements and water management as vehicles for design-build curriculum affords feasible programming for regional requirements.

2.3.6 Qatar: technology integration and sustainability leadership

The architecture program at Qatar University is an emerging design-build model of possibilities in resource-abundant sites with tough commitments to sustainability and innovation (Qatar University-Department of Architecture and Urban Planning, 2025). The architecture program has been a leader in technology-enriched education in design-build to support sustainability ambitions in the country's Vision 2030 by showing design-build education's potential to fully benefit from the available resources without damaging cultural credentials. The countries of the Gulf region's Vision 2030 sustainability projects provide unique opportunities for design-build education to satisfy national developmental desires and provide students with hands-on experience of current sustainability practices and technologies. The use of solar and wind energy systems, intelligent building technologies, and water-conserving systems in design-build curricula provides regional programs the potential to establish global innovation trends in sustainable building education. Recent efforts of Saudi Arabia, particularly by Vision 2030, mirror regional education innovation and architectural education leadership (Brahimi et al., 2024) and hold promise for design-build education to aid national developments.

2.4 Other regional programs and networks

Table 3 presents additional regional projects and programs that demonstrate the growing nature of design-build programs throughout the Middle East. Although the programs may be less extensive or more contained in scope than the more generalized established programs, the programs assist the regional literature and demonstrate the diversification of approaches being created. Tehran University College of Fine Arts in Iran embodies Persian education traditions of architecture education integrated with the use of the latest methodologies, showing the continuation of the traditional teaching methodologies by means of the design-build practices (College of Fine Arts-University of Tehran, 2025). The American University of the UAE embodies innovation of the Gulf-states in architectural teaching by means of the use of the region's highest level of technological methodologies integrated with regional traditional architecture principles (American University of Sharjah, n.d.). Local solutions on quality-of-life improvement by means of humanized urbanism, such as those demonstrated in Jeddah City (Refaat et al., 2024), show the potential of the design-build education to address Middle Eastern urban issues today by means of cultural sensibility. Regional networking by such platforms as the DesignBuildXchange has facilitated Middle East institutions to boost knowledge transfer and exchange of best practices (DesignBuildXchange, 2025). The regional networking uncovers the cross-border possibilities of culturally sensitive design-build education approaches for cross-border knowledge diffusion and mutual regional program collaboration.

Table 3

2.5 Framework development implications

The analysis of Middle East design-build programs finds several key characteristics distinguishing regional from Western models: more attention to preservation of cultural heritage sites, a combination of traditional construction practices and new practices, attention to post-war reconstruction and community building, suitable for rigorous climate conditions, and attention to regional cooperation and knowledge transfer (Al-Kodmany et al., 2021; Mohareb and Yamak, 2022; Sirror, 2024). Moreover, Islamic architecture principles produce a rich body of design-build learning, attaching value to environmental responsiveness, community building, and cultural continuities (Hillenbrand, 1994). Integration of indigenous knowledge systems and current best practices for teaching requires a delicate balance of cultural sensitivity and instruction effectiveness (Sirror, 2024). These regional characteristics provide the foci for applying a locally appropriate framework meeting local needs and opportunities typical of Middle Eastern architecture education contexts, using transferable principles from established Western prototypes.

3 Materials and methods

3.1 Research design and philosophical framework

The research applies a mixed-methods research design involving the use of literature and stakeholders' responses for generating and refining a preliminary Design-Build Studio (DBS) framework for Middle Eastern architecture education contexts (Creswell and Plano Clark, 2017). The research design applies pragmatic philosophical underpinnings that stress real-world problem solving and real-world usability on the grounds of achieving methodological rigor and cultural sensitivity. Research methodology consists of five interrelated phases (Figure 2):

(1) Systematic literature synthesis to analyze Middle Eastern design-build programs and Western traditional models as baselines

(2) Construction of a framework that systematizes literature findings to generate the three-part DBS model (Curriculum-Studio-People) for use in three phases of implementation (Implementation-Operation-Maintenance) with emphasis on Heritage-Sustainability-Innovation themes.

(3) Generating an overall matrix and extensive implementation checklist.

(4) Validation by expert consultation by use of stakeholder survey to analyze framework components, regional appropriateness, and implications for implementation.

(5) Analyzing survey results and formulate weighted design build studio readiness tool.

Figure 2
Methodology framework diagram showing the process of literature synthesis, framework development, and empirical validation. Literature review includes Western and Middle Eastern DBS models and best practices analysis. Synthesized findings detail DBS components like curriculum, studio, people, and phases such as implementation and maintenance. Regional themes integrated are sustainability, heritage, and innovation. Empirical validation involves stakeholder survey, survey design, stakeholder consultation, quantitative analysis, and framework refinement. Outputs include an empirically validated framework and a weighted Design-Build Studio readiness tool.

Figure 2. Methodology framework for implementing Design-Build Studios (DBS) in Middle Eastern architectural education.

This mixed-method study design allows for intensive analysis of theoretical foundations and practicalities of implementation by triangulation of multiple data sources and stakeholders' views. The study design aligns with common cross-cultural education research standards, respecting the value of involving stakeholders and being culturally sensitive in deciding on efficacious teaching practices (Braun and Clarke, 2006). The study meets the locally specific design-build teaching models supporting regional challenges necessity by bringing in world-best practices.

3.2 Literature synthesis approach

3.2.1 Systematic literature identification

Literature synthesis embraced systematic steps in selecting and comparing Middle East design-build projects and traditional Western designs utilized by means of comparison despite the fact that a systematic review conducted on full PRISMA guidelines carried out by Page et al. (2021) wasn't the theme of the primary study. The search approach adopted took various shapes to include vast regional projects amidst widely practiced international designs utilized for the sake of deriving framework developments.

3.2.1.1 Literature search strategy

A literature search on different scholarly databases such as Scopus, Web of Science, JSTOR, Archnet Digital Library, and Google Scholar was conducted to collect relevant literature. The literature search included regional Middle East literature and established Western design-build programs to act as comparison baselines in deriving the framework. A particular attempt was made to include regional literature and repository collections such as OpenMETU, Middle East University institutional repositories with great influence, and regional architecture journals.

3.2.1.2 Search terms and keywords

The search used English and transliterated Arabic keywords to collect relevant literature. The lists of primary search terms included: “design-build,” “architectural education,” “Middle East,” “hands-on learning,” “construction education,” “Islamic architecture,” “heritage preservation,” “sustainability education,” and names of specific countries (Turkey, Iran, Lebanon, Jordan, Egypt, Saudi Arabia, UAE, Qatar, Iraq, Syria). The secondary searches for established Western programs used keywords such as “Auburn Rural Studio,” “Yale Building Project,” “design-build pedagogy,” and “experiential learning architecture.”

3.2.1.3 Scope over the years

The literature review incorporated articles from 1990 to 2024, focusing on latest developments specifically for the period from 2010 to 2024 and making sure to include the conventional early programs like METU's Summer Construction Practice (Turgay, 2005).

3.2.2 Selection criteria

Inclusion Criteria: Articles were included if: (1) they presented design-build, hands-on construction, or experiential learning programs in Middle Eastern architectural education; (2) they provided a significant description of well-established Western design-build programs for the sake of comparison; (3) they presented cultural, heritage, or sustainability issues of regional concern.

3.2.3 Initial framework design

A holistic DBS framework was built from the systematic literature synthesis comprised of three core components (Curriculum-Studio-People) placed in three phases of implementation (Implementation-Operation-Maintenance) with interlacing of three key themes (Heritage-Sustainability-Innovation). The framework became operationalized by virtue of a sophisticated matrix and an extensive implementation checklist that provides specific guidance for each component-phase intersection, including local considerations of culture and sustainability needs derived from virtue of literature review.

3.3 Expert consultation process

3.3.1 Survey development and design

A rigorous survey of stakeholders was developed to test and validate the crafted DBS framework and its checklist of implementation. The survey was used for twofold objectives: (1) to test the relevance and appropriateness of the framework structure of the three components and phases of implementation, and (2) to gather expert inputs on regional adaptation requirements and considerations of culture for finetuning of the framework (Creswell and Plano Clark, 2017). The survey questionnaire contained 22 items in 6 sections, which would take 10–15 minutes for completion to maintain a balance between depth and ease of participation. The whole survey questionnaire is provided in Appendix A for replication and for enhancing methodological transparency. The questions were specifically designed for validating the framework of three components (Curriculum, Studio, People) for three phases of implementation (Implementation, Operation, Maintenance) by checking the significance of three key themes: Preservation of Heritage, Sustainability, and Integration of Innovation.

3.3.2 Target population and sampling

The target population was educators, students, and professionals involved with or familiar with architectural education in Middle Eastern territories. Purposive sampling was applied by the research to have coverage across geographic sites (Turkey, Iran, Lebanon, Jordan, Egypt, Gulf states), professional groups (academics, students, professionals, heritage professionals), experience levels with design-build curriculum, and institutional types (public and private institutions, professional societies). The invitations were sent by using professional networks like ResearchGate and LinkedIn, institutional contacts from the known design-build programs among the universities, professional societies, architecture groups, and conference lists from interested local conferences.

3.3.3 Data collection and response analysis

The survey questionnaire was carried out online on different survey platforms with different access modes that correspond to different levels of technology access in the region. The questionnaire was aimed at different groups of stakeholders from Middle Eastern nations for overall verification, such as geographic coverage from across Turkey, Iran, Lebanon, Jordan, Egypt, and the countries of the Gulf Cooperation. The survey responses were subjected to both descriptive statistical analysis and thematic analysis (Braun and Clarke, 2006). The survey questionnaire (Appendix A) permitted systematic data acquisition to uncover framework component validation patterns, prioritization of implementation, and geographical variation. Cross-tab analysis of characteristics of respondents and framework validation response correlation was used to uncover demographic determinants of framework receptivity and needs for adaptation.

3.4 Framework synthesis

3.4.1 Integration of literature and survey findings

The framework building process involved literature synthesis and consultation with stakeholders in a systematic and integrated manner to yield an inclusive model for theory foundations and practice requirements for implementability. The overall architecture of the framework (Curriculum-Studio-People aspects of the Implementation-Operation-Maintenance phases) emerged from analysis of exemplary regional programs, not the least highly described model of METU (Turgay, 2005) and enterprising models at Beirut Arab University (Mohareb and Maassarani, 2018) and Yazd University (Maghami and Ghasr, 2022). The framework of three themes (Heritage-Sustainability-Innovation) enshrined common foci evident among regional programs and literature (Abdel Gelil and Abo Eldardaa, 2023; Hillenbrand, 1994; Moscatelli, 2023; Sirror, 2024). Stakeholder consultations yielded ratification of framework aspects with distinctions of refinement required.

3.4.2 Cultural adaptation and traditional knowledge integration

The framework development particularly involved the integration of traditional knowledge systems of Islamic architectural heritage (Hillenbrand, 1994) and local construction practices (Moscatelli, 2023; Sirror, 2024). The issues of cultural adaptation included merging of traditional construction practices with the latest teaching pedagogies, religious and cultural value consideration in teaching design, facilitation of diversified linguistic and culture environs, and consideration of diversified regional institutional frameworks and teaching systems (Ibrahim et al., 2021).

3.5 Preliminary validation approach

The initial validation process carefully distilled and analyzed responses from stakeholders on framework elements for cultural fit, practical usefulness, and implementability. Stakeholders considered regional usefulness, cultural appropriateness and sensitivity, practical feasibility given restricted circumstances, alignment of institutional capacities, and usefulness for education outcome attainment. The validation process specifically analyzed regional differences of framework usefulness across different Middle East contexts, such that corresponding country-level and sub-regional stakeholders made comments on required local context shifts, culture issues necessitating special sensitivity, differences in regulatory and institutional frameworks, differences in availability of means, and community engagement strategies.

4 Framework development

4.1 Design-Build Studio framework structure

From the overall synthesis of literature and analysis of successful regional initiatives, a systematic framework was produced for guiding Design-Build Studio implementation in Middle Eastern architectural education contexts. The framework frames implementation as being composed of three foundational elements (Curriculum, Studio, People) on three subsequent phases (Implementation, Operation, Maintenance) with precise interweaving of three central themes (Heritage, Sustainability, Innovation) throughout components and phases (Figure 3). The architecture of the framework emerged from studying successful regional models, particularly the popular METU model (Turgay, 2005) and creative practices in institutions such as Yazd University (Maghami and Ghasr, 2022) and Beirut Arab University (Mohareb and Maassarani, 2018). The architecture of the three elements addresses the key items for successful DBS programs: systematic curriculum inclusion, real-world studio application, and inclusive stakeholder engagement.

Figure 3
Diagram of an umbrella labeled “DBS Pillars” with words “Sustainability,” “Heritage,” and “Innovation.” Below, two sections: “DBS Trio” includes “Curriculum,” “Studio Process (Design+Build),” and “People”; “DBS Phases” includes “Implementation,” “Operation,” and “Maintenance.”

Figure 3. Conceptual framework showing the DBS pillars and components categorized under DBS trio and DBS phases.

4.2 Framework components and phases

4.2.1 The DBS trio: core components

4.2.1.1 Curriculum component

This component covers the structured incorporation of design-build education into academic programming, which includes aligning course learning objectives, setting prerequisite knowledge requirements, establishing evaluation procedures, and synchronizing with the academic schedule. This component guarantees that DBS efforts align closely with educational goals while upholding academic quality and institutional policies.

4.2.1.2 Studio component

This component includes the hands-on aspects of program delivery, such as facility needs, resource allocation, project selection, on-site construction activities, and safety enforcement. This component enables the practical application of theoretical instruction through actual building processes.

4.2.1.3 People component

This component centers on involvement with key participants, including preparing students, developing faculty, building partnerships with communities, forming expert networks, and promoting interdisciplinary cooperation. It emphasizes that the strength of DBS programs relies on successfully managing relationships and fostering collaboration among all stakeholder groups.

4.2.2 DBS phases

4.2.2.1 Implementation phase

This phase includes initial programme setup like fund safeguarding, regulatory approval, setup of facilities, participation of stakeholders, and identification of the pilot project. The phase establishes the foundation of sustainable DBS activities by systematic setup and mobilization of resources.

4.2.2.2 Operation phase

This phase encompasses current program management like curriculum delivery, project delivery, resource management, safety oversight, and real-time systems for feedback. The latter emphasizes successful program delivery as well as educational quality and project success.

4.2.2.3 Maintenance phase

This phase comprises post-project activities like reflection processes, evaluation of results, relationship maintenance with stakeholders, facilities maintenance, and improvement. The stage ensures program sustainability and integration of learning beyond the closure of specific projects.

4.3 DBS themes

The framework integrates in particular, three key themes within each component and stage:

4.3.1 Heritage theme

This theme encourages the continuity and blending of the indigenous building practices, cultural design ideology, and indigenous architectural knowledge. Integration of heritage helps DBS projects to support culture preservation as students learn intricate knowledge of indigenous building practices.

4.3.2 Sustainability theme

This theme places significant value on environmental responsibility, like climate-responsive design, water scarcity, resource efficiency, incorporation of renewable energy, and sustainable material use. Sustainability integration addresses place-based environmental challenges and sets students up for today's professional practice demands (Mohamed, 2022).

4.3.3 Innovation theme

Contemporary trends in creative design transformations of architectural education emphasize linking place-making and human experience and promoting innovation themes incorporation in design-build pedagogies (Ibrahim et al., 2024). The theme allows for blending of latest technologies, digital design programs, current construction technologies, and creative problem-solving approaches. Innovation incorporation facilitates maintaining programs current with technology advances and fostering creative thinking and adaptability.

4.4 Design-build matrix: systematic framework

As shown in Figure 4, the system is described in terms of a total matrix charting the relationships among the three components (Curriculum, Studio, People) and three phases (Implementation, Operation, Maintenance), and produces nine distinct points of overlap that have specific meaning and systematic development. The matrix provides a systematic means of applying frameworks by plotting discrete needs and considerations at each component-phase intersection. The points of intersection have a two-letter label for every combination of components-phases (e.g., CI for Curriculum-Implementation, SO for Studio-Operation, PM for People-Maintenance) that facilitates systematic planning and evaluation.

Figure 4
Diagram depicting DBS TRIOs/Components aligned with three phases: Implementation, Operation, and Maintenance. Each phase includes aspects of Curriculum (C), Studio (S), and People (P). Implementation includes elements like Integration Level (CI.1), Availability of Resources (SI.1), and Surveys (PI.1). Operation covers Course Delivery (CO.1), Planning the Design Process (SO.1), and Motivation (PO.1). Maintenance includes Post-Project Reflection (CM.1), Project Maintenance (SM.1), and Stakeholder Feedback (PM.1). The table is structured to show how each component interacts within the phases.

Figure 4. Design-build matrix: DBS trio (curriculum, studio, people) × DBS phases (implementation, operation, maintenance) embedded with heritage, sustainability, and innovation themes.

The matrix structure enables institutions to:

- Address all framework elements systematically throughout all phases of implementation

- Establish individual needs and priorities for each component-phase intersection

- Develop tailored strategies for overcoming implementation challenges

- Set overall program evaluation criteria

- Balance attention to each of the framework components during program design.

5 Results

5.1 Framework parameters and evaluation criteria

Each point of intersection within the matrix applies a set of parameters that convert the framework into specific, measurable actions (see Table 4). These parameters outline the operational needs for setting up and managing a DBS while keeping the central themes of Heritage, Sustainability, and Innovation in perspective. The checklist defines assessment criteria across the three elements (Curriculum, Studio, People) and the three stages (Implementation, Operation, Maintenance), with each parameter framed as clear Yes/No prompts to support consistent tracking of preparedness and advancement. The checklist offers actionable guidance unique to each component-phase intersection, outlining specific actions and timing, defined evaluation standards for assessing program readiness, implementation quality, and outcomes. Consideration of regional realities to ensure cultural and environmental relevance instead of generic application, practical tools to aid monitoring, corrections during execution, long-term improvements, and complete coverage of all required conditions for the successful launch and sustainability of DBS initiatives. The Yes/No structure makes it possible to track progress quantitatively across institutions and student groups, while remaining adaptable to institutional differences and cultural contexts. This allows programs to log completed items, identify missing elements, and set upcoming priorities without diverging from the core principles and structure of the framework.

Table 4
www.frontiersin.org

Table 4. Proposed Design-Build Studio matrix and parameters checklist (yes/no).

5.2 Survey response profile and demographics

We collected 61 valid responses, excluding incomplete questionnaires (less than 50% completion). The questionnaire respondent profile offers strong coverage of major stakeholder groups and Middle East geographical regions (Figure 5). The largest was academic faculty (42/61; 68.9%), and the second largest were practicing architects/construction professionals (14/61; 23.0%), and heritage/sustainability professionals (5/61; 8.2%). This categorization ensures inclusive perspectives from educational and professional practice sectors. Geographically, the answers were well distributed across the Middle Eastern region, with Egypt providing the largest proportion (26/61; 42.6%) and Gulf Cooperation Council countries (Saudi Arabia, UAE, Qatar, Kuwait) considerably (22/61; 36.0%). Other responses included those from Lebanon, Jordan, Iran, and Turkey, and overall regional coverage was provided. From the viewpoint of Design-Build Studio experience, 34% of those responding reported substantial experience (5+ years), 28% reported moderate experience (2-5 years), and 38% reported familiarity or limited direct experience, demonstrating an educated respondent base with varying levels of exposure.

Figure 5
Two pie charts display data of a sample size of sixty-one. The first chart, labeled “Professional Roles,” shows 68.9% as Academic Faculty, 23.0% as Practicing Architects and Construction Professionals, and 8.2% as Heritage/Sustainability Specialists. The second chart, labeled “Geographic Distribution,” shows 42.6% from Egypt, 36.1% from GCC Countries (Saudi Arabia, UAE, Qatar, Kuwait), 6.6% from Lebanon, 4.9% from Jordan, 4.9% from Iran, 3.3% labeled as Other, and 1.6% from Turkey.

Figure 5. Survey demographics and geographic distribution (N = 61). The sample includes comprehensive representation across professional roles, and geographic regions in Design-Build Studio education.

5.3 Regional implementation challenges and priorities

5.3.1 Implementation barriers

Analysis of challenges in implementing Design-Build Studios revealed clear trends in the barriers perceived across the Middle Eastern context (Figure 6). Budget limitations and lack of funding were by far the most frequently reported obstacles, mentioned by 53 out of 61 respondents (86.9%). Issues related to regulations and permits were the second most cited, noted by 44 respondents (72.1%). Problems sourcing materials were identified by 36 respondents (59.0%), while gaps in faculty expertise and lack of adequate facilities were reported by 16 (26.2%) and 15 (24.6%) respondents, respectively. These findings underscore that financial and bureaucratic hurdles serve as the main blockers to DBS adoption in the region, far more than pedagogical or technical challenges. The emphasis on regulatory barriers reflects the highly complex administrative systems common in many Middle Eastern countries, where gaining construction permissions and introducing educational innovations often involves coordination across multiple government entities.

Figure 6
Bar chart on the left shows implementation barriers for design-build education, led by limited funding (86.9%), regulatory difficulties (72.1%), and material sourcing issues (59.0%). Bar chart on the right analyzes barrier categories, with financial and administrative (105) being the highest, followed by technical and infrastructure (73), and human and social (28).

Figure 6. Implementation barriers for design-build education (multiple selection allowed). Financial and administrative constraints emerge as the primary barriers, with funding limitations cited by 86.9% of respondents.

5.3.2 Sustainability and cultural priorities

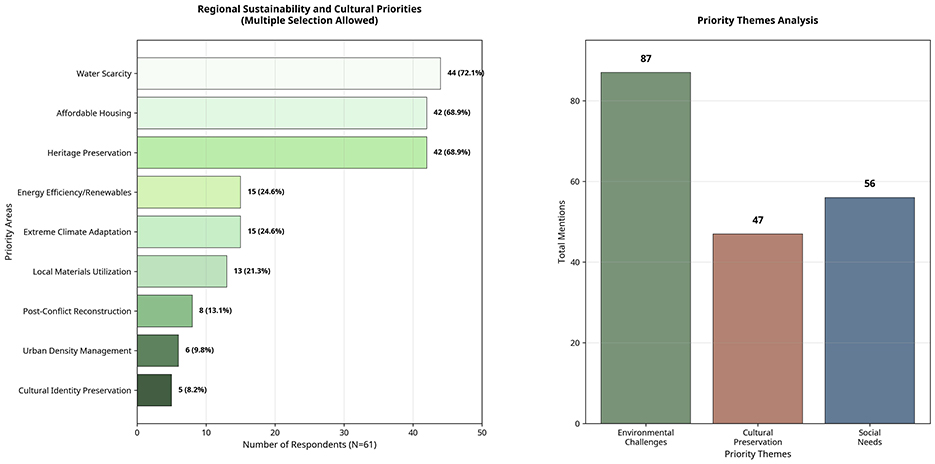
Regional sustainability requirements rank highly among Middle Eastern environmental and societal problems (Figure 7). The supply of water and its conservation were the overriding consideration for 44 respondents (72.1%), considering the region's serious water problems. Affordable urban housing and the preservation of cultural heritage were given priority at the same level, by 42 respondents (68.9%) each, demonstrating the concurrent desire for providing immediate housing needs and the preservation of cultural identity. Energy efficiency and consideration of renewables were considered by 15 respondents (24.6%), as were extreme climate conditions, whilst local use of materials was given consideration by 13 respondents (21.3%). Strong prioritization of preservation of cultural heritage was again established, with over 50% of respondents considering the inclusion of traditional construction practice as of extreme or of very great importance for regional architectural education.

Figure 7
Bar charts depicting regional sustainability and cultural priorities. The left chart shows priorities with Water Scarcity, Heritage Preservation, and Affordable Housing as top concerns. The right chart categorizes priorities into Environmental Challenges (87 mentions), Cultural Preservation (47 mentions), and Social Needs (56 mentions).

Figure 7. Regional sustainability and cultural priorities (multiple selection allowed). Water scarcity (72.1%), affordable housing (68.9%), and heritage preservation (68.9%) emerge as top regional priorities.

5.4 Framework component validation results

5.4.1 Quantitative validation by Likert scale analysis

To empirically test the framework presented herein, the perceived importance, criticality, and feasibility of various components of the framework were assessed using a set of Likert scale questions. The items were scored on a 5-point scale, for which 1 corresponded to the lowest agreement and 5 corresponded to the strongest agreement. Results indicate overwhelming agreement on the criticality of the vast majority of framework components, with 11 of 13 items having a mean score of 4.00 or more (Table 5).

Table 5
www.frontiersin.org

Table 5. Summary of Likert scale framework validation results (N = 61).

5.4.2 Curriculum component

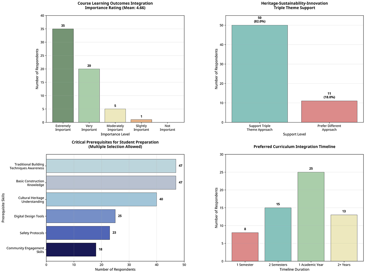
The questionnaire responses give strong validation of the proposed framework's Curriculum component (Figure 8). Comprehensive blending of Course Learning Outcomes (CLOs) with Design-Build Studio activities was strongly recommended, with a mean importance value of 4.66 of 5. Thematic blending of triple-theme teaching of Heritage, Sustainability, and Innovation was strongly agreed by 82% of respondents (50 of 61 participants), supporting the framework's fundamental thematic organization. Prerequisite knowledge requirements demonstrated clear prioritization of student preparation. Traditional building construction awareness was mentioned by a critical 47 respondents, followed by construction know-how basics (47 mentions) and cultural heritage knowledge basics (40 mentions). Computerized design software and building construction safety procedures reached moderate-level priority (25 and 23 mentions, respectively), and community interaction skill was prioritized by 18 respondents.

Figure 8
Four bar charts display survey data. The first chart shows the importance of course learning outcomes integration, with “Extremely Important” rated highest by thirty-five respondents. The second chart indicates support for the heritage-sustainability-innovation triple theme, with fifty respondents in favor. The third chart lists critical prerequisites for student preparation, highlighting “Basic Construction Knowledge” and “Traditional Building Techniques Awareness” as most selected. The fourth chart shows preferences for curriculum integration timelines, with “1 Academic Year” preferred by twenty-five respondents.

Figure 8. Curriculum component validation results. Strong support for course learning outcomes integration (mean: 4.66) and triple-theme approach (82% endorsement), with traditional building techniques and construction knowledge identified as critical prerequisites.

5.4.3 Studio component

Studio implementation needs were strongly verified on more than one dimension (Figure 9). Feasibility studies considering heritage and sustainability aspects were assigned the strongest importance rating with a mean of 4.72, supporting the framework's integrated project planning approach. Facility and equipment needs expressed clear patterns of preference for construction equipment and protective gear (50 responses), traditional craft shops (48 responses), and material storerooms (38 responses). The balance of traditional and modern practices expressed subtle patterns of preference, with 38 responding for an equal balance of traditional and modern construction, and 14 for context-based adaptation. This finding supports the framework's flexibility to methodological combination while emphasizing traditional knowledge retention.

Figure 9
Four bar charts depict survey results. Top left: Feasibility studies importance with most respondents (45) rating it extremely important. Top right: Facility priorities highlight safety equipment as most important (50). Bottom left: Traditional-modern construction balance emphasizes equal balance (38) as top preference. Bottom right: Preferred studio projects show small-scale community projects as most favored (45).

Figure 9. Studio component validation and facility priorities. Feasibility studies receive highest importance rating (mean: 4.72), with construction tools, craft workshops, and material storage identified as priority facilities.

5.4.4 People component

Elements of stakeholder engagement were highly approved across several measures (Figure 10). Readiness surveys for assessing participant alignment achieved a mean importance score of 4.11 and offered support for the framework's attention to preparation and measuring alignment. Government officials (50 responses), community leaders (46 responses), and local artisans (46 responses) were named by stakeholders' importance rankings as the stakeholders for DBS success that matter most. Interdisciplinary collaboration was highly approved with a mean rating of 4.69 and acted as a confirmation of the framework's attention to cross-disciplinary integration. The widespread support for community engagement was again approved for most respondents evaluating community involvement as extremely or very important for community contexts.

Figure 10
Two bar charts display stakeholder importance for DBS success and interdisciplinary collaboration importance rating. The left chart ranks stakeholders like government officials and community leaders highest, with international experts lowest. The right chart shows interdisciplinary collaboration rated mostly as extremely important by forty-eight respondents, very important by twelve, and moderately important by one.

Figure 10. Stakeholder importance rankings for DBS success. Government officials, community leaders, and local craftsmen emerge as most critical stakeholders, with interdisciplinary collaboration receiving strong support.

5.5 Implementation phase validation and priorities

5.5.1 Implementation phase

Validation of the Implementation stage revealed critical success factors and requirements for resources (Figure 11). Financial initial funding provision was given the highest criticality score with a mean of 4.75, and pilot project selection realized a mean of 4.74, supporting these as critical base components.

Figure 11
Four data visualizations display different aspects of project evaluation. Top left: Importance ratings for initial funding security, with 50 respondents finding it extremely important. Top right: Funding source viability shows private sector partnerships as the most viable. Bottom left: Pilot project selection importance, with 48 respondents rating it as extremely important. Bottom right: Typical implementation timeline shows durations, with full program implementation at twelve months and other phases at six months each.

Figure 11. Implementation phase priorities and funding sources. Initial funding security receives highest criticality rating (mean: 4.75), with private sector partnerships, government grants, and international organizations identified as most viable funding sources.

Viability of source of funding indicated clear patterns in favor of private sector partnership (56 responses), government grants (49 responses), and international aid agencies (47 responses), but relatively low priority for university internal funds (19 responses).

5.5.2 Operation phase

Operational management requirements showed significant agreement on key priorities. Real-time project-execution feedback systems achieved a mean importance score of 4.18. Central management systems were prioritized as community communication media (50 responses), material supply and logistics (49 responses), and safety surveillance systems (46 responses). Electronic project management software and budget monitoring received moderate consideration, with risk management plans being valued by 35 respondents.

5.5.3 Maintenance phase

Post-project activities were strongly approved for proactive improvement methodologies. Reflection activities achieved a mean importance score of 4.67, and long-term stakeholder engagement achieved 4.02. The findings warrant the framework's attention on learning integration and community relationship maintenance following project completion.

5.6 Regional adaptation and cultural considerations

5.6.1 Framework fit

Overall framework fit was strongly positively affirmed by 52 of 61 respondents (85.2%) answering that the proposed Curriculum-Studio-People organization instead of Implementation-Operation-Maintenance phases “extremely well” or “very well” matched Middle Eastern architectural education needs (Figure 12). Only 6 chose “moderately well,” none of them evaluating it negatively, providing substantial support to regional appropriateness of the framework.

Figure 12
Bar chart on the left shows responses to how well the Curriculum-Studio-People structure addresses Middle Eastern architectural education needs. “Extremely Well” has 28, “Very Well” has 24, totaling an 85.2% positive rating. “Moderately Well” has 6, “Slightly Well” has 3, and “Not Well at All” has 0. Bar chart on the right shows preferences for framework adaptation: “Unified Framework with Regional Customization” leads with 43 responses, followed by “Modular Adaptations for Different Sub-regions” with 12, and fewer responses for “Separate Versions for Different Regions” and “One Size-Fits-All Approach” with 4 and 2, respectively.

Figure 12. Framework fit assessment results. Overwhelming positive validation with 85.2% of respondents rating the Curriculum-Studio-People structure as addressing Middle Eastern architectural education needs “very well” or “extremely well.”

5.6.2 Pedagogical adaptations

Local pedagogical challenges identified specific needs for adaptation under Middle Eastern conditions. Integration of traditional master-craftsman teaching methodologies was a significant priority for 57 respondents, and 48 respondents indicated Islamic and local architectural faith in design education. Community elder involvement and authority acceptance of curriculum was of benefit to 48 respondents, illustrating how local validation is central to innovation in education.

5.6.3 Regional arrangement

Framework adaptation measures showed a clear preference for common frameworks with regional adaptability. The maximum number of respondents (43) preferred providing customization rules under a common framework, and 12 preferred sub-regional variations on a module-wise basis. Only 4 preferred separate versions for different regions, thus favoring the framework's approach of having a common structure and varying by culture.

5.7 Implementation priority rankings and feasibility evaluation

5.7.1 Priority ranking

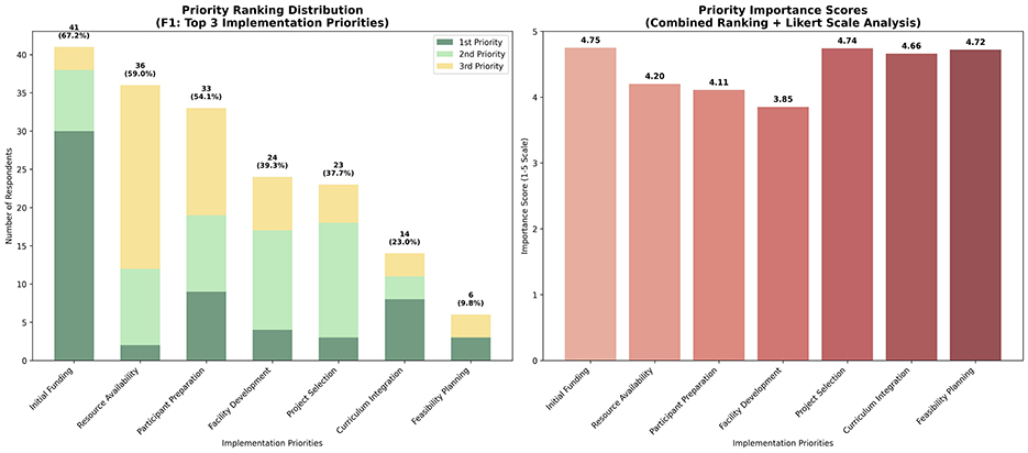
The results of the priority ranking survey, listed in Table 6 and Figure 13, provided important information for the sequencing of action and allocation of resources. Front-end funding emerged as by far the highest priority, with 41 total mentions overall (67.2% of respondents), including 30 first-place rankings. Next came availability of resources with 36 mentions overall (59.0%), and participant preparation placed third with 33 mentions overall (54.1%).

Table 6
www.frontiersin.org

Table 6. Implementation priority rankings and frequency analysis.

Figure 13
Two bar charts display implementation priorities. The left chart shows priority ranking distribution with categories like “Salad Labels” and “Resource Basket,” highlighting varied preferences. The right chart presents priority importance scores, led by “Salad Labels” at 4.75 and followed by categories such as “Resource Basket” and “Portion Size” with slightly lower scores.

Figure 13. Priority ranking analysis for DBS implementation. Initial funding emerges as overwhelming top priority (67.2% of respondents), followed by resource availability (59.0%) and participant preparation (54.1%).

5.7.2 Feasibility and timeline assessment

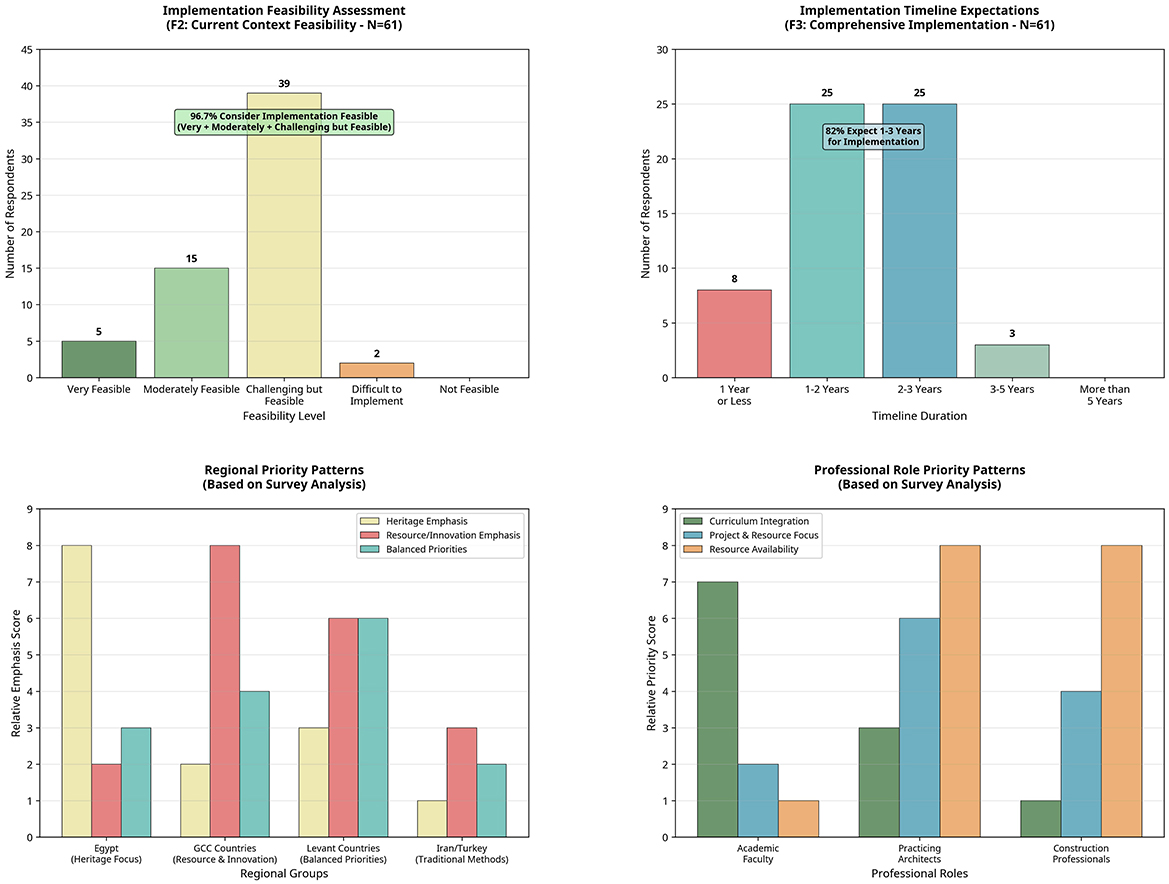
Feasibility for implementation signified quantified optimism among participants (Figure 14). The most popular perceptions were “difficult but feasible” for 39, “moderately feasible” for 15, and “very feasible” for 5. Only 2 participants perceived it as “difficult to implement,” demonstrating general optimism in the framework's feasibility anyway, including the provided challenges. Anticipated timescales varied on several timescales, with half of each set of 25 respondents predicting 1–2 years and 2–3 years for overall implementation. Brief timescales of 1 year or less were predicted by 8 respondents, while 3 estimated timescales of 3–5 years. None considered that implementation was not feasible in their provided environment.

Figure 14
Four bar charts depicting survey analysis results. Top left: Feasibility Assessment shows most respondents find implementation challenging but feasible, with 96.7% considering it feasible. Top right: Timeline Expectations indicates 82% expect implementation within 1 to 3 years. Bottom left: Regional Priority Patterns show varying emphasis on heritage, resource innovation, and balance across regions like Egypt and GCC countries. Bottom right: Professional Role Priority Patterns reveal differences in priorities among academic faculty, practicing architects, and construction professionals, with emphasis on curriculum integration and resource focus.

Figure 14. Feasibility and timeline assessment with regional and professional patterns. (Top) Overall feasibility assessment (96.7% consider implementation feasible) and timeline expectations (82% expect 1-3 years). (Bottom) Regional priority patterns and professional role priority differences based on survey analysis.

5.7.3 Regional pattern

The regional analysis (Figure 14) revealed divergent implementation priorities by geographical region and professional function. The Gulf States emphasized resource availability and innovation integration, Egypt emphasized heritage preservation and traditional practices, and the Levant states revealed evenly weighted priorities among all components of the framework. The analysis by professional role revealed that academic faculty emphasized curriculum integration, practicing architects emphasized project choice and resource availability, and construction professionals highly emphasized resource availability and safety factors.

6 Discussion

6.1 Regional relevance of the validated framework

The questionnaire responses provide decisive empirical validation for the provided Design-Build Studio framework, specifically designed for Middle Eastern conditions of architectural education. The nearly unanimous framework fit assessment evaluation (85.2% answering “very well” or “extremely well”) confirms that the successful application of the Curriculum-Studio-People framework for Implementation-Operation-Maintenance phases indeed fulfills regional requirements educationally and maintains pedagogical rigor. The approval transcends conceptual approval toward practical advice toward implementation. The overt ranking of funding security (67.2% top-three priority) and resource availability (59.0%) as primary implementation hurdles provides implementational insight for institutions contemplating DBS programs. This finding distinguishes Middle Eastern implementation challenges from Western examples, in which faculty innovation and development have routinely taken first-order prioritization (Canizaro, 2012; Weber, 2017). The high validation of heritage integration needs (mean score 4.52) supports the framework's focus on cultural retention and concomitant sustainability objectives. The bidirectional focus responds to Middle Eastern architectural education's singular location, wherein indigenous knowledge systems have to be preserved and students simultaneously prepared for current professional practice (Moscatelli, 2023; Sirror, 2024).

6.2 Local diversification from western models

The survey results reflect several of the key differentiators distinguishing Middle Eastern Design-Build Studio needs from Western models. The priority for water scarcity issues (72.1% priority) and extreme climate considerations reflects environmental conditions significantly alien to temperate Western circumstances. Similarly, the prioritization of affordable housing (68.9% priority) and conflict reconstruction capacities remedies regional socio-political circumstances requiring special educational training. The pairing of traditional master-craftsman educational methodologies (prioritized by 57 respondents) and Islamic architectural philosophy (48 responses) embodies an essential divergence from Western design-build pedagogy, which more commonly prioritizes technical innovation and new construction technology (Hettithanthri and Hansen, 2022; Thallon, 2014). This verifies the framework's approach of local adaptation of international best practices to regional environmental and cultural circumstances rather than Western model transplantation. The forms of stakeholder engagement also significantly diverge, with government representatives (50 responses) and community leaders (46 responses) prioritized more highly than more commonly the case in Western programs. This suggests more hierarchical and community-based decision-making patterns characteristic of Middle Eastern societies, requiring divergent project approval and community outreach practices (Mohareb and Maassarani, 2018).

6.3 Weighted readiness tool development and implementation

The survey validation translates the original framework from a conceptual roadmap to a measurable readiness instrument possible (see Appendix B for the full weighted checklist). The priority ranking analysis provides empirical justification for weighting framework components by stakeholder-nominated criticality of implementation. The resulting weighted distribution (30% funding and feasibility, 20% facilities and resources, 20% community and people, 15% curriculum integration, 15% maintenance, and reflection) reflects regional realities of implementation rather than theoretical ideals of pedagogy (Figure 15).

Figure 15
Two radar charts compare institutional readiness. The left chart, in green, represents the Ideal Readiness Profile scoring one hundred percent across categories such as Facilities, Community, Curriculum Integration, Maintenance, and Funding. The right chart, in red, shows a Sample Institution with an eighty percent score, indicating lower performance across the same categories.

Figure 15. Weighted DBS framework and readiness assessment tool application. (Left) Weighted DBS framework distribution based on stakeholder priorities. The empirically-derived weighting reflects regional implementation realities: 30% funding and feasibility, 20% facilities and resources, 20% community and people, 15% curriculum integration, 15% maintenance and reflection. (Right) Sample institution readiness profile showing areas for improvement. Ideal readiness profile for comprehensive DBS implementation.

The weighted framework provides a critical bridge for practical direction for implementation. Rather than using framework elements proportionally, institutions would place greater emphasis on steps for which stakeholders see the biggest obstacles and potential (see illustration of sample institution readiness profile against ideal readiness profile in Figure 15). The funds and feasibility emphasis (30% weighting) acknowledges the resource-starved circumstances of typical Middle Eastern institutions of education but provides systematic means of resource acquisition. The community and people weighting (20%) provides a voice for the regional cultural emphasis on validation by stakeholders and general community approval. What makes the framework different from Western frameworks that include technical and pedagogical considerations but sometimes play down needs for social integration is its attention to relational building and community approval processes.

6.4 Cultural integration and heritage preservation

The survey results affirm the paramount role of cultural integration in the Middle Eastern Design-Build Studio application. The preference for evenly balanced traditional and modern construction practices (38 of the respondents for an equal balance) supports the framework's approach of prioritizing knowledge system combination instead of substitution. This supports the framework's approach of treating traditional construction practices as worthwhile teaching material instead of outdated practices. The balance of short-run heritage preservation prioritization (68.9% sustainability priority) with modern issues like water and affordability demonstrates the subtle balance required in regional DBS programs. Students will require competency in both traditional cultural preservation approaches and current issues resolution approaches. The double competency implication indicates that curriculum expansion and extension of the required timeline, as indicated in the survey results, will be required. The prioritization of Islamic architectural principles integration (48 respondents) provides specific guidance for curriculum and project choice development. The implication of the finding is that successful regional DBS programs will require traditional design principles, environmental responsiveness solutions, and community participation methodologies of Islamic architectural tradition (Bianca, 2000; Hillenbrand, 1994).

6.5 Enablers and barriers

The questionnaire ranking of constraints on funding (86.9 percent) and regulatory issues (72.1 percent) among primary obstacles for DBS implementation provides strategic guidance for institutional-level planning and policy making. The findings indicate that successful DBS implementation needs institutions to favor multi-year funding streams and advance consultation with regulatory agencies at the preliminary level, for distinguishing regional requirements from Western trends in which teaching innovation often takes central stage. Challenges of acquiring materials (59.0% of respondents) reflect supply chain issues and the specialty type of traditional construction materials used in regions researched. This validates model orientation toward local material usage and traditional supplier contact and highlights the importance of preplanning and local material supplier relationship building. The relatively lower prioritization of faculty expertise gaps (26.2%) and inadequate facilities (24.6%) suggests regional institutions possess more inherent DBS implementation capacity than would likely exist. The implication of that is that challenges are more resource and administrative than technical, and further supports the model's prioritization of feasibility planning and stakeholder engagement at the expense of broad-based faculty needs for development.

6.6 Regional cooperation and knowledge sharing

The survey results warrant the framework's attention to regional cooperation and transfer of knowledge as facilitators of implementation. The pattern of having more responses for common frameworks with regional adaptation than region-specific ones (43 responses) indicates cross-country collaboration and Middle Eastern institutions' resource-sharing potential. The finding verifies the framework's uptake of having core pedagogical architecture and facilitating cultural and environmental adaptation. The international development agencies, as potential vehicles for funding framing (47 mentions), provide regional consortia building and multi-institutional collaboration possibilities. In combination with the regional partnership-building theme of the government partnership ranking (49 mentions), these findings suggest regional DBS networks that would pool project opportunities, expertise, and resources beyond borders. Strong support for cross-disciplinary collaboration (mean rating 4.69) transcends the level of institution and instead goes to regional professional networks, reflective of possible industry-education collaboration that may address survey-identified challenges of resource and expertise. Collaborative approach aligns well with the framework's community engagement and inclusion of stakeholders as key DBS components.

6.7 Limitations and future research requirements

Although the research yields beneficial insights for the development and validation of a model for the Design-Build Studio (DBS) applicable for Middle Eastern architecture education, several limitations should be considered. The literature synthesis, although extensive in scope, was not conducted by whole PRISMA protocols for systematic reviews due to limitations of finances and time. The survey that confirmed the validity of the DBS model remained a small sample size (N = 61) survey; however, it yielded significant primary validity and beneficial insights across the Middle Eastern region. It would be feasible for future studies to increase this number larger to a statistically representative sample size of stakholders. It would also be beneficial to engage intensive validating processes such as studies by the Delphi technique (Hasson et al., 2000) to achieve expert consensus regarding the model, longitudinal implementation studies on numerous institutions, and rigorous learning outcome evaluation utilizing established evaluation models (Kirkpatrick and Kirkpatrick, 2016). The model must be tested in diversified institutional real-world settings, culture settings, and learning systems to offer broad-based evidence for implementation and effectiveness on a very large scale. The limitations offer areas for future studies to refine and extend the model using larger and more varied samples in real-world applications.

7 Conclusion

The current paper fills a notable gap in architectural education by conceptualizing and empirically testing the initial systematic framework for the application of Design-Build Studio specifically for Middle Eastern territories. Through a rigorous synthesis of literature and empirical testing among 61 local professionals and educators from Egypt, Gulf states, Levant, Iran, and Turkey, the paper transforms a conceptual framework into an evidentially grounded application manual considering the unique cultural, environmental, and institutional characteristics of Middle Eastern architectural education.

The successful framework frames Design-Build Studio delivery against three fundamental components (Curriculum, Studio, People) within three phases (Implementation, Operation, Maintenance) with explicit interweaving of the themes of Heritage preservation, Sustainability, and Innovation. With 85.2% of respondents rating the framework architecture as satisfying Middle Eastern architectural education needs “very well” or “extremely well,” the paper confirms that international teaching best practices can be well adapted to local conditions by systematic consultation of stakeholders and cultural sensitivity.

The work provides conceptual guidance and operational implementation tools, including an initial framework matrix and parameters checklist (Table 4) and a general weighted readiness checklist (Figure 15; Appendix B) that enables institutions to compare readiness in five key arenas using measurable score-based criteria. The weighting of the framework to a weighted readiness instrument (30% funding and feasibility, 20% facilities and resources, 20% community and people, 15% curriculum integration, 15% maintenance and reflection) balances regional stakeholders' priorities and considerations for implementation and accommodates institutions prioritizing resource allocations in those areas where they have the best impact on program success.

Beyond theoretical contribution, the study identifies implementable prioritization for action based on empirical reality. Prioritization of funds security (67.2% high priority), resource availability (59.0%), and participant preparation (54.1%) distinguishes Middle Eastern needs from Western precedents, and identification of water scarcity (72.1%), accessible housing (68.9%), and heritage preservation (68.9%) as regional sustainability issues of primary importance provides concretely prescriptive direction for curriculum construction and project selection that carries realistic regional issues.

The framework's validation across different Middle Eastern contexts gives broad regional generalizability but affirms the need for local adaptation. The preference for regional tailoring of common frameworks instead of national stand-alone versions (70.5% of respondents) suggests significant cross-border collaboration and transfer of resources that would enhance feasibility of use and impact on education.

Future research should emphasize pilot implementation studies to test the framework's usefulness for practice and enable evidence-informed improvement. Longitudinal investigations of the students' learning outcomes, community impact, and institutional capacity development over time would provide stronger evidence of the educational merit and social value of the framework. The methodology approach set forth here – systematic literature synthesis joined by local stakeholders' validation – provides a transferable model for localizing international education innovations to cultural contexts. The paper offers a model of Middle Eastern evidence-based Design-Build Studio implementation, conceptually and pragmatically, for those institutions seeking to bridge the gap between theoretical expertise and professional practice. By documenting global best practices in local case studies, the model offers an educational innovation model that respects local culture but prepares students for today's challenges in sustainable and socially-responsible architectural practice. The model's evolution from conceptual model to empirically-weighted implementation tool is a first in architectural education research, its provision to the Middle Eastern region of its first systematic, validated approach to Design-Build Studio implementation answering critical regional imperatives for culturally-sensitive, pragmatically-viable educational innovation.

Data availability statement

The original contributions presented in the study are included in the article/Supplementary material, further inquiries can be directed to the corresponding author.

Ethics statement

The studies involving human participants were reviewed and approved by Research Ethics Committee, Deanship of Graduate Studies and Research, Effat University. The participants provided their written informed consent to participate in this study.

Author contributions

NA: Conceptualization, Formal analysis, Investigation, Methodology, Project administration, Supervision, Validation, Visualization, Writing – original draft, Writing – review & editing. ME: Conceptualization, Formal analysis, Methodology, Validation, Visualization, Writing – review & editing.

Funding

The author(s) declare that no financial support was received for the research and/or publication of this article.

Conflict of interest

The authors declare that the research was conducted in the absence of any commercial or financial relationships that could be construed as a potential conflict of interest.

Generative AI statement

The author(s) declare that no Gen AI was used in the creation of this manuscript.

Any alternative text (alt text) provided alongside figures in this article has been generated by Frontiers with the support of artificial intelligence and reasonable efforts have been made to ensure accuracy, including review by the authors wherever possible. If you identify any issues, please contact us.

Publisher's note

All claims expressed in this article are solely those of the authors and do not necessarily represent those of their affiliated organizations, or those of the publisher, the editors and the reviewers. Any product that may be evaluated in this article, or claim that may be made by its manufacturer, is not guaranteed or endorsed by the publisher.

Supplementary material

The Supplementary Material for this article can be found online at: https://www.frontiersin.org/articles/10.3389/feduc.2025.1639528/full#supplementary-material

References

Abdel Gelil Mohamed, N. (2023). Cairo [Photograph].

Google Scholar

Abdel Gelil, N., and Abo Eldardaa, I. (2023). Cost-effectiveness and affordability evaluation of a residential prototype built with compressed earth bricks, hybrid roofs and palm midribs. Front. Built. Environ. 9:1058782. doi: 10.3389/fbuil.2023.1058782

Crossref Full Text | Google Scholar

Abdel Gelil, N., Moustafa, A., and Darwish, E. A. (2024). Structural, acoustical, and thermal evaluation of an experimental house built with reinforced/hollow interlocking compressed stabilized earth brick-masonry. J. Build. Eng. 86:108790. doi: 10.1016/j.jobe.2024.108790

Crossref Full Text | Google Scholar

Ain Shams University and University of Stuttgart (2015). Earthen Oven Project. Live Projects Network. Available online at: https://liveprojectsnetwork.org/project/earthen-oven-project/ (Retrieved May 29, 2025).

Google Scholar

Al-Kodmany, K., Salama, A. M., and AbdelKhalek, A. (2021). Integrating tradition and sustainability in gulf architecture. Int. J. Architect. Res. 15, 45–60. doi: 10.1108/ARCH-03-2021-0070

Crossref Full Text | Google Scholar

American University of Sharjah (n.d.). Department of Architecture (Design-Build Initiative). Available online at: https://www.aus.edu/caad/department-of-architecture (Accessed August 30, 2025).

Google Scholar

Avinç, G. M. (2024). Design-build projects in architecture education and experimental structures as a pedagogical approach. J. Eng. Sci. Technol. Rev. 17, 228–239. doi: 10.25103/jestr.174.25

Crossref Full Text | Google Scholar

Bianca, S. (2000). Urban Form in the Arab World: Past and Present. London; New York, NY: Thames and Hudson.

Google Scholar

Brahimi, T., Sarirete, A., and Jamal Al-Lail, H. (2024). “Innovation, leadership, and education: how Effat University is paving the way for Vision 2030,” in Transformative Leadership and Sustainable Innovation in Education: Interdisciplinary Perspectives, eds. S. Baroudi, and M. D. Lytras (Leeds: Emerald Publishing), 169–189. doi: 10.1108/978-1-83753-536-120241011

Crossref Full Text | Google Scholar

Braun, V., and Clarke, V. (2006). Using thematic analysis in psychology. Qual. Res. Psychol. 3, 77–101. doi: 10.1191/1478088706qp063oa

Crossref Full Text | Google Scholar

Canizaro, V. B. (2012). Design-build in architectural education: motivations, practices, challenges, successes, and failures. Archnet IJAR 6, 20–36.

Google Scholar

Capresi, V., and Pampe, B. (2016). “Learn-move-play-ground 1-2-3: baladilab,” in DesignBuild Studios, eds. H. Schaefer and M. Dave (New York, NY: Routledge), 81–92. doi: 10.4324/9781315650746-8

Crossref Full Text | Google Scholar

Collective for Sustainable Architecture (2015). Ezebet Workshop - Cairo, Egypt. Available online at: https://cas-at.com/ezebet-workshop/# (Retrieved May 10, 2025).

Google Scholar

College of Fine Arts-University of Tehran (2025). Department of Architecture — Programs/Overview. Available online at: https://arch.ut.ac.ir/en/architecture (Accessed August 20, 2025).

Google Scholar

Creswell, J. W., and Plano Clark, V. L. (2017). Designing and Conducting Mixed Methods Research, 3rd Edn. Thousand Oaks, CA: SAGE Publications.

Google Scholar

DesignBuildXchange (2025). International Platform for Design-Build Education. Available online at: https://www.dbxchange.eu (Retrieved May 15, 2025).

Google Scholar

Ebaid, M. A. (2023). Fayoum [Photograph].

Google Scholar

Elaby, M. F., Elwishy, H. M., Moatamed, S. F., Abdelwahed, M. A., and Rashiedy, A. E. (2022). Does design-build concept improve problem-solving skills? An analysis of first-year engineering students. Ain Shams Eng. J. 13:101780. doi: 10.1016/j.asej.2022.101780

Crossref Full Text | Google Scholar

Elzain, R., and Al Othmani, R. (2019). Approach towards localization of public spaces development in Muscat. Resourceedings 2, 14–26. doi: 10.21625/resourceedings.v2i1.449

Crossref Full Text | Google Scholar

Folić, B., Kosanović, S., GlaŽar, T., and Fikfak, A. (2016). Design-build concept in architectural education. Architect. Urban Plann. 11, 49–55. doi: 10.1515/aup-2016-0007

Crossref Full Text | Google Scholar

Gaber, T. (2014). The agency of making and architecture education: design-build curriculum in a new school of architecture. Archnet IJAR 8, 21–31. doi: 10.26687/archnet-ijar.v8i3.507

Crossref Full Text | Google Scholar

German Jordanian University (2025). Programs (Architecture; Interior Architecture). Available online at: https://www.gju.edu.jo/content/programs-968 (Accessed August 20, 2025).

Google Scholar

Hailey, C. (2016). Design/Build with Jersey Devil: A Handbook for Education and Practice. Princeton, NJ: Princeton Architectural Press.

Google Scholar

Hartig, U., and Pawlicki, N. (2015). “Think lab: learning by doing,” in DesignBuild-Studio: New Ways in Architectural Education Symposium Proceedings (Berlin: Cocoon).

Google Scholar

Hasson, F., Keeney, S., and McKenna, H. (2000). Research guidelines for the Delphi survey technique. J. Adv. Nurs. 32, 1008–1015. doi: 10.1046/j.1365-2648.2000.t01-1-01567.x

Crossref Full Text | Google Scholar

Hemmerling, M., and Cocchiarella, L. (2018). Informed Architecture: Computational Strategies in Architectural Design. Cham: Springer Nature. doi: 10.1007/978-3-319-53135-9

Crossref Full Text | Google Scholar

Hettithanthri, U., and Hansen, P. (2022). Design studio practice in the context of architectural education: a narrative literature review. Int. J. Technol. Design Educ. 32, 2343–2364. doi: 10.1007/s10798-021-09694-2

Crossref Full Text | Google Scholar

Hillenbrand, R. (1994). Islamic Architecture: Form, Function and Meaning. Edinburgh: Edinburgh University Press.

Google Scholar

Ibrahim, A., Mohamed, M. A. A., and Fekry, M. (Eds.). (2024). Man and Place: Creative Design Transformations. Cham: Springer. doi: 10.1007/978-3-031-49903-6

Crossref Full Text | Google Scholar

Ibrahim, A. F., Attia, A. S., Bataineh, A. M., and Ali, H. H. (2021). Evaluation of the online teaching of architectural design and basic design courses case study: College of Architecture at JUST, Jordan. Ain Shams Eng. J. 12, 2345–2353. doi: 10.1016/j.asej.2020.10.006

Crossref Full Text | Google Scholar

Jackson, B. J. (2005). Design-build education at associated schools of construction undergraduate programs. Int. J. Construct. Educ. Res. 1, 75–88. doi: 10.1080/15503984.2005.12455009

Crossref Full Text | Google Scholar

Kirkpatrick, J. D., and Kirkpatrick, W. K. (2016). Kirkpatrick's Four Levels of Training Evaluation. Alexandria, VA: ATD Press.

Google Scholar

Kraus, C. (Ed.). (2017). Designbuild Education. New York, NY: Routledge. doi: 10.4324/9781315665771

Crossref Full Text | Google Scholar

Maghami, H. P. M. G., and Ghasr, A. K. (2022). Using overlapping fields in design-build assignments to retrieve the architectonic situation in architecture schools. A|Z ITU J. Facul. Architect. 19, 651–669. doi: 10.5505/itujfa.2022.79923

Crossref Full Text | Google Scholar

Mohamed, A. S. Y. (2022). “Building technology sustainablism—new vision,” in Proceedings of 2021 4th International Conference on Civil Engineering and Architecture, Vol. 201, eds. T. Kang and Y. Lee (Singapore: Springer Nature), 337–353. doi: 10.1007/978-981-16-6932-3_30

Crossref Full Text | Google Scholar

Mohareb, N., and Maassarani, S. (2018). Design-build: an effective approach for architecture studio education. Archnet IJAR 12, 146–161. doi: 10.26687/archnet-ijar.v12i2.1570

Crossref Full Text | Google Scholar

Mohareb, N., and Yamak, G. M. (2022). “The design-build approach—addressing four community challenges in Tripoli, Lebanon,” in The Routledge Companion to Architectural Pedagogies of the Global South, eds. H. Harriss, A. M. Salama, and A. González Lara (London: Routledge), 315–329. doi: 10.4324/9781003018841-28

Crossref Full Text | Google Scholar

Moscatelli, M. (2023). Rethinking the heritage through a modern and contemporary reinterpretation of traditional Najd architecture, cultural continuity in Riyadh. Buildings 13:1471. doi: 10.3390/buildings13061471

Crossref Full Text | Google Scholar

Myers, l. (2020). Iranian Students Use Soil to Build the Kooshk Freeform Research Pavilion. Designboom. Available online at: https://www.designboom.com/architecture/iranian-students-kooshk-freeform-research-pavilion-01-13-2020/ (Accessed August 25, 2025).

Google Scholar

Nasrullah, N., and Syafri, S. (2024). Adaptive reuse in architecture: transforming heritage buildings for modern functionality. J. Acad. Sci. 5, 63–75. doi: 10.59613/69jqt639

Crossref Full Text | Google Scholar

Page, M. J., McKenzie, J. E., and Bossuyt, P. M. (2021). The PRISMA 2020 statement: an updated guideline for reporting systematic reviews. BMJ 372. doi: 10.1136/bmj.n71

PubMed Abstract | Crossref Full Text | Google Scholar

Pampe, B., and Capresi, V. (2014). Learn Move Play Ground: How to Improve Playgrounds Through Participation. Berlin: Jovis.

Google Scholar

Qatar University-Department of Architecture and Urban Planning (2025). Vision and Mission; QU SDG Alignment with QNV-2030. Available online at: https://www.qu.edu.qa/engineering/department-of-architecture-and-urban-planning (Accessed August 20, 2025).

Google Scholar

Refaat, A. M., Ghazoliy, S., El Samaty, H. S., and Waseef, A. A. (2024). Integrating humanising aspects into urban design: a comprehensive framework for enhancing quality of life in Jeddah city. Urban Sci. 8. doi: 10.3390/urbansci8040172

Crossref Full Text | Google Scholar

Saleh, I. S. S., Ismail, M. R. A., Faggal, A. A. E., and Al-shareef, A. A. M. (2021). Design-build approaches with building's users in local school case study in Cairo, Egypt. Civil Eng. Architect. 9, 828–835. doi: 10.13189/cea.2021.090324

Crossref Full Text | Google Scholar

Saxena, S., and Arora, S. (2024). “Inculcating collaborative skills in architecture students through a Design-Build Studio,” in Advances in Urban Design and Engineering, eds. S. Shetty, S. A. M. Ali, and S. B. S. Kumar (Singapore: Springer), 421–430. doi: 10.1007/978-981-97-3701-7_37

Crossref Full Text | Google Scholar

Sirror, H. (2024). Lessons learned from the past: tracing sustainable strategies in the architecture of Al-Ula Heritage Village. Sustainability 16:5463. doi: 10.3390/su16135463

Crossref Full Text | Google Scholar

Stonorov, T. (Ed.). (2017). The Design-Build Studio: Crafting Meaningful Work in Architecture Education. New York, NY: Routledge. doi: 10.4324/9781315650746

Crossref Full Text | Google Scholar

Thallon, R. (2014). “BILDS: a developing model for residential design-build education,” in Working Out: Thinking While Building: Paper Proceedings, 2014 ACSA Fall Conference, Halifax, Nova Scotia, Canada, October 16–18 (Washington, DC: ACSA Press).

Google Scholar

Turgay, Ö. (2005). Hands-on Building Practices in Architectural Education: METU Summer Construction Practices. Middle East Technical University. Available online at: https://open.metu.edu.tr/handle/11511/15642 (Retrieved August 20, 2025).

Google Scholar

Tutwiler, R. (2013). New Research Institute for a Sustainable Environment Promotes Service. The American University in Cairo. Available online at: https://www.aucegypt.edu/news/stories/new-research-institute-sustainable-environment-promotes-service

Google Scholar

UAE Government (n.d.). We the UAE 2031; Environment Vision 2030 (Abu Dhabi). Available online at: https://u.ae/en/about-the-uae/strategies-initiatives-and-awards/strategies-plans-and-visions/innovation-and-future-shaping/we-the-uae-2031-vision (Retrieved August 20, 2025).

Google Scholar

Verderber, S., Cavanagh, T., and Oak, A. (2019). Thinking While Doing: Explorations in Educational Design/Build. Berlin; Boston, MA: Birkhäuser (De Gruyter). doi: 10.1515/9783035613476

Crossref Full Text | Google Scholar

Voulgarelis, H. E. (2012). “Investigating design-build as an alternative model for architectural education,” in CHANGE, Architecture, Education, Practices: Proceedings of the 2012 ACSA International Conference (Barcelona, Spain), eds. X. Costa, and M. Thorne (Washington, DC: ACSA Press), 263–267.

Google Scholar

Weber, E. (2017). “From scratch: how to start a design-build program,” in Designbuild Education, ed. C. Kraus (New York, NY: Routledge), 183–198. doi: 10.4324/9781315665771-14

Crossref Full Text | Google Scholar

Winterbottom, D. (2020). Design-build: Integrating Craft, Service, and Research Through Applied Academic and Practice Models. Routledge. doi: 10.4324/9781315679372

Crossref Full Text | Google Scholar

Keywords: Design-Build Studio, sustainability, heritage, Middle Eastern architecture, architectural higher education, framework validation, empirical validation, cultural adaptation

Citation: Abdel Gelil Mohamed N and Ebaid MA (2025) Bridging tradition and innovation: a framework for implementing sustainable Design-Build Studios in Middle Eastern architectural education. Front. Educ. 10:1639528. doi: 10.3389/feduc.2025.1639528

Received: 02 June 2025; Accepted: 22 September 2025;
Published: 21 October 2025.

Edited by:

Nuno Dinis Cortiços, Universidade de Lisboa, Portugal

Reviewed by:

Özlem Erdoğdu Erkarslan, Istanbul Aydın University, Türkiye
Vitta Ibrahim, Pyramids Higher Institute for Engineering and Technology, Egypt

Copyright © 2025 Abdel Gelil Mohamed and Ebaid. This is an open-access article distributed under the terms of the Creative Commons Attribution License (CC BY). The use, distribution or reproduction in other forums is permitted, provided the original author(s) and the copyright owner(s) are credited and that the original publication in this journal is cited, in accordance with accepted academic practice. No use, distribution or reproduction is permitted which does not comply with these terms.

*Correspondence: Nermine Abdel Gelil Mohamed, bmVhYmRlbGhhbGltQGVmZmF0dW5pdmVyc2l0eS5lZHUuc2E=

Disclaimer: All claims expressed in this article are solely those of the authors and do not necessarily represent those of their affiliated organizations, or those of the publisher, the editors and the reviewers. Any product that may be evaluated in this article or claim that may be made by its manufacturer is not guaranteed or endorsed by the publisher.