ORIGINAL RESEARCH article
Front. Educ.
Sec. Mental Health and Wellbeing in Education
Clusters of test anxiety in lower secondary students: A cross-cultural comparison between France and Switzerland
Provisionally accepted- 1UER Développement, Haute École Pédagogique du Canton de Vaud, Lausanne, Switzerland
- 2Institut des Sciences du Sport-Sante de Paris I3SP, Universite Paris Cite, Paris, France
- 3CNRS, Institut des Sciences du Mouvement Etienne-Jules Marey ISM, Aix-Marseille Universite, Marseille, France
Select one of your emails
You have multiple emails registered with Frontiers:
Notify me on publication
Please enter your email address:
If you already have an account, please login
You don't have a Frontiers account ? You can register here
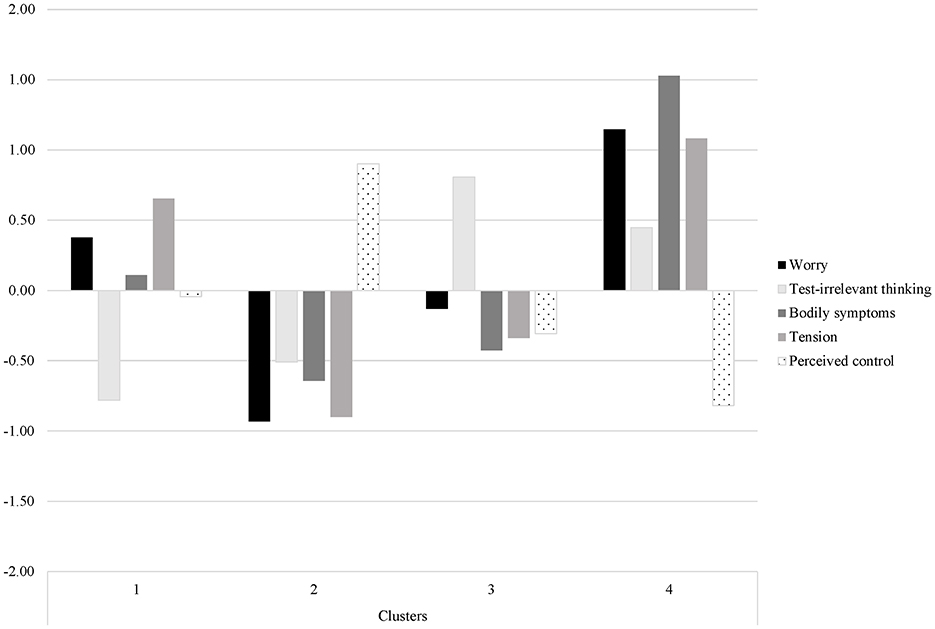
Introduction – This study investigates test anxiety among French and Swiss students. By combining variable-centered and person-centered approaches, it examines cross-cultural and gender differences to identify student profiles and guide tailored educational strategies. Methods – A sample of 538 students (269 girls; Mage = 13.43 years old) completed the French Revised Test Anxiety + Regulatory scale. Multi-group confirmatory factor analyses were used to establish measurement invariance. Variable-centered analyses (t-tests, ANOVAs) and person-centered cluster analyses were conducted to assess differences by country and gender. Results – Measurement invariance across countries was confirmed. French and Swiss students showed similar overall anxiety levels, but Swiss students reported higher bodily symptoms. Gender differences were pronounced, with girls reporting higher levels of worry, tension, and bodily symptoms, and boys scoring higher in perceived control. Cluster analysis identified four profiles: Tense, Low-test-anxious, Mind-wandering, and High-test-anxious students. French students were more likely to fall into the "Tense" group, while Swiss students were overrepresented in the "High-test-anxious" cluster. Gender significantly influenced cluster membership, with girls more likely to be high in anxiety and low in control. Discussion – Educational context might influence the experience of test anxiety beyond cultural similarity. Early academic selection in Switzerland may increase stress responses. Integrating perceived control into the model of test anxiety enhances understanding of student profiles and supports the development of targeted educational interventions to improve emotional regulation and academic success.
Keywords: test anxiety, Cluster analysis, Perceived control, emotion, cross-cultural comparison, Lower secondary education
Received: 08 Aug 2025; Accepted: 03 Nov 2025.
Copyright: © 2025 Valls, Sessa, Tardif and Mascret. This is an open-access article distributed under the terms of the Creative Commons Attribution License (CC BY). The use, distribution or reproduction in other forums is permitted, provided the original author(s) or licensor are credited and that the original publication in this journal is cited, in accordance with accepted academic practice. No use, distribution or reproduction is permitted which does not comply with these terms.
* Correspondence: Marjorie Valls, marjorie.valls@hepl.ch
Disclaimer: All claims expressed in this article are solely those of the authors and do not necessarily represent those of their affiliated organizations, or those of the publisher, the editors and the reviewers. Any product that may be evaluated in this article or claim that may be made by its manufacturer is not guaranteed or endorsed by the publisher.
