SYSTEMATIC REVIEW article
Front. Educ.
Sec. STEM Education
Rethinking Maker Education: makerspaces, gender, and STEM Skills in the era of inclusive educational intelligence
Provisionally accepted- 1Bolivarian University of Ecuador, Duran, Ecuador
- 2Centro Universitario de Desarrollo Intelectual, Pachuca, Hidalgo, Mexico
- 3Universidad de La Guajira, La Guajira, Colombia
Select one of your emails
You have multiple emails registered with Frontiers:
Notify me on publication
Please enter your email address:
If you already have an account, please login
You don't have a Frontiers account ? You can register here
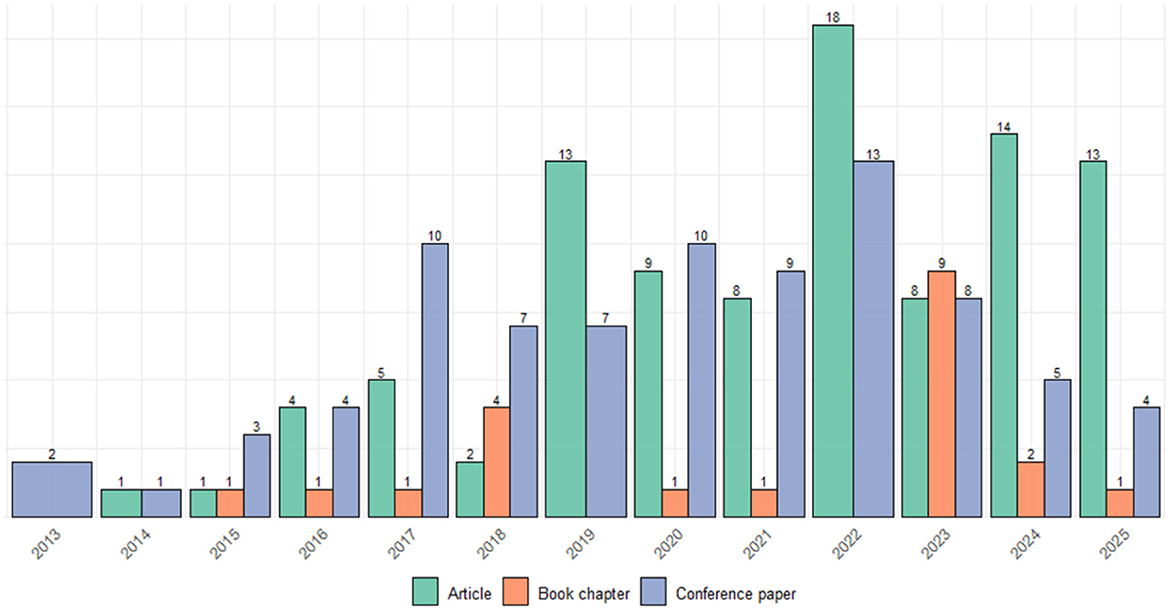
Maker education has emerged as an innovative pedagogical approach that promotes active learning through creation, collaboration, and technological experimentation. This study analyzed the conceptual evolution, beneficiary groups, access barriers, and STEM skills developed within makerspaces, with special attention to gender equity and educational sustainability. A systematic literature review was conducted in Scopus and Web of Science following the PRISMA protocol, including 202 documents published between 1983 and 2025, processed using R software and Zotero to identify trends, authors, themes, and theoretical gaps. The findings show a sustained increase in scientific production since 2015, a transformation of makerspaces into hybrid physical-virtual ecosystems, and an expansion of beneficiaries to more diverse communities. Although structural and cultural barriers continue to limit female participation, inclusive models mediated by artificial intelligence and design thinking are emerging. It can be stated that Maker education is evolving toward an interdisciplinary, ethical, and equitable paradigm, providing evidence of its potential to democratize innovation and strengthen STEM competencies with a social focus, while also identifying theoretical gaps related to the lack of integrative evaluative models and longitudinal studies that measure its sustainable impact.
Keywords: higher education, Maker, makerspaces, stem, Women
Received: 20 Oct 2025; Accepted: 18 Nov 2025.
Copyright: © 2025 George-Reyes, Tapia-Bastidas, Sandoval-Benitez, Caicedo-Quiroz and Pinto-Santos. This is an open-access article distributed under the terms of the Creative Commons Attribution License (CC BY). The use, distribution or reproduction in other forums is permitted, provided the original author(s) or licensor are credited and that the original publication in this journal is cited, in accordance with accepted academic practice. No use, distribution or reproduction is permitted which does not comply with these terms.
* Correspondence: Carlos Enrique George-Reyes, cegeorger@ube.edu.ec
Disclaimer: All claims expressed in this article are solely those of the authors and do not necessarily represent those of their affiliated organizations, or those of the publisher, the editors and the reviewers. Any product that may be evaluated in this article or claim that may be made by its manufacturer is not guaranteed or endorsed by the publisher.
