- 1Beijing Smartchip Microelectronics Technology Company Limited, Beijing, China
- 2Key Laboratory of Industrial Internet of Things & Networked Control, Ministry of Education, Chongqing University of Posts and Telecommunications, Chongqing, China
- 3Chongqing Medical University Center for Faculty Development, Chongqing Medical University, Chongqing, China
In order to save resources and reduce air pollution, human beings have begun to pay attention to the production and use of photovoltaic, wind power and other green power. Due to the difficulty of direct transaction between green power producers and power users, a park-level energy Internet has been proposed and used to connect all kinds of green electricity with power users. Then park users can effectively buy and use green electricity. Taking the park-level energy Internet as the scenario, this paper constructs a transaction model between green power operators and green power producers. The model is a dynamic game of complete and perfect information. The dynamic characteristics of this game model are analyzed by using semi-tensor product method, and corresponding strategies are provided for all players. From the results obtained, it is easy to find that in many cases, the strategy profile of all participants are constantly changing to obtain more profits, rather than stable at some traditional Nash equilibrium.
1 Introduction
Because of the limited resources and the increasingly serious environmental pollution, in recent years, many countries in the world have paid much attention to the production and consumption of renewable energy. For example, China has issued many policy documents on renewable resources, which promoted the rapid development of China’s renewable resources. More and more households are trying to produce and use green power, such as photovoltaic and wind power. These households may sell their excess electricity to the grid company or directly to other customers. In the future, the power grid company may be more responsible for power grid operation, maintenance, power transmission, system upgrade and capacity expansion. For both sides of the direct transaction of green power, the power grid company charges an appropriate network fees to ensure sufficient communication capability between the power management system and scheduling agencies (Deng et al., 2019).
On the other hand, since green power transactions involve many technical issues in data processing, security and so on, a kind of energy Internet appears, called park-level energy Internet. Through interconnection of multiple types of distributed energy sources, multiple types of loads, energy storage and information flow, etc., park-level energy Internets can promote a large proportion of renewable energy access and green power market transaction (Huang et al., 2020). And in order to realize the continuous power supply to the users in the park, the park-level energy Internet is connected to the external power grid, which plays a unified role in the allocation of power resources and acts as a backup power source through the dual-main line configuration (Zhang and Tong, 2022).
However, there are various difficulties in the process of direct transaction between green power producers (GPPs) and power users. The current direct trade rules can not guarantee the interests of all parties directly related to the transaction. Therefore, there is usually a green power operator (GPO) in the park. The GPO purchases power from traditional energy generators, renewable energy generators and external grids. And it determines a price at which the GPO sells green electricity to users by referring to the traditional electricity price and the history of transactions.
Many excellent researchers have considered the transaction model between GPOs and park users and have given some results (Sun and Nie, 2015; Pineda and Bock, 2016; Tai et al., 2016; Zhang and Tong, 2022). But they all emphasize the application of block chain technology in energy trading. For example, Zhang used block chain technology to build a bargaining game model of power transaction between GPOs and power users (Zhang and Tong, 2022). However, there is little discussion on how to determine a price at which small-scale GPPs sell green power to GPOs. Taking the park as the application background, we try to model and analyze the transaction process of GPOs and GPPs.
2 Preliminaries
For the sake of simplicity, we introduce some notations.
• 
• 
• 
• 
• 
• 
• Coli(M) (Rowi(M)): the ith column (row) of a matrix M.
The green power trading model we will establish later is a game model, so we need to give a proper strategic updating rule and analyze its characteristics. The following are two basic concepts of game theory.
Definition 1 [(Cheng et al., 2015; Robert, 1999)]. A normal game consists of three factors:
1) n players N = {1, 2, … , n};
2) Player i has the strategy set Si = {1, 2, … , ki}, i = 1, 2, … , n, and 
3) Payoff functions 
Definition 2 [(Robert, 1999)]. In the n-player normal game G = {S1, … , Sn; c1, … , cn}, the strategies 
For a dynamical game, it has been proved in (Cheng et al., 2015) that the game can be determined as a logical dynamic system, as long as its strategy updating rule is assigned. By using a new mathematical tool, called semi-tensor product of matrices (STP), we are able to convert a logical system into its algebraic form (Cheng and Qi, 2009; Cheng and Qi, 2010). Then it is convenient to study logical system under an algebraic framework. In the following, we recall STP and some basic results.
Definition 3 [(Cheng and Qi, 2010)]. Let 
where Ik is the k × k identity matrix, ⊗ is the Kronecker product of matrices.
Remark 1. STP is a natural generalization of the traditional matrix product, since all fundamental properties of the traditional matrix product are retained. Especially, STP coincides with the traditional matrix product when n = p. So the matrix products used in this paper can be thought of as STP and the symbol ⋉ is usually omitted. Some important properties of STP are listed in the following. We refer to (Cheng et al., 2011) for more details.
1) A mn × mn matrix
is called swap matrix. For any two column vectors 
2) A 22n × 2n logical matrix Φn is defined as
For any 
Example 1.
1) Let 
2) Let 
3 Model
3.1 Problem analysis
Normally, a small-scale GPP can only sell its green electricity to GPOs, but a GPO may choose to buy traditional electricity outside the park when the electricity price of surrounding GPPs is too high. A GPO usually has multiple GPPs as its neighborhoods. Similarly, each GPP often has multiple GPOs nearby to trade with. Therefore, there is not only competition among operators, but also among nearby GPOs, and none of them can dominate the market alone. To sum up, when the traditional electricity price is lower than the green electricity price, the green power acquisition transaction is regarded as a game model, where the neighbors of a GPP are only GPOs, and the GPO’s neighbor has only GPPs, too.
The GPO usually exists in the form of a company or enterprise, and the majority of GPPs are households. So GPPs have no opportunity to bargain directly with GPOs. The transaction process of GPOs and GPPs is roughly as follows:
• Step1. It is required by the third-party platform that all GPPs participating in trading activities, must give their quoted price before the official quotation of the GPO on the same day.
• Step2. The GPO quotes once a day based on the current market conditions.
• Step3. If a GPP agrees to the quotation, then a green electricity transaction between them takes place. Otherwise, the transaction fails and they look forward to next deal.
It is noted that in Step 1, no GPO knows these prices before its quotation. In other words, only after the GPO makes a quotation can it learn of the price of each GPP from the third-party platform, and use it as the reference data for its next quotation. GPOs will make appropriate strategic adjustments according to the previous historical transaction data. Roughly speaking, when the previous transaction price is low, the quotation is still not high and then many GPPs are reluctant to sell green electricity to GPOs. When the transaction volume decreases to a certain extent, or even threatens to be insufficient to maintain the green power supply of GPOs to park users, the quoted price is raised but still not higher than the traditional electricity price.
Similar to the study of general game problems, we assume that.
1) All players are rational and choose the appropriate decisions in order to make more profits every time;
2) GPOs cannot make profits in partnership and must quote independently, and the same to GPPs;
3) GPPs can only sell green power to GPOs nearby, and any one of GPOs has the ability to accept all the renewable electricity in the vicinity.
3.2 Strategy updating rule
As analyzed in Section 3.1, the transaction process of GPOs and GPPs is regarded as a game. We adopt Unconditional Imitation (Nowak and May 1992) as the strategy updating rule. Precisely speaking, if
then
where 
When there are two different subscripts 
We describe the strategy in two cases. One is that when the player i is GPP, we set
Another is that when the player i is GPO, we choose
3.3 Payoff Bi-matrix
The traditional electricity price of the external network is used as a reference of GPOs. The general cost Cg of a GPO includes two parts: the cost C1 of purchasing green power from GPPs, the cost C2 of operation and maintenance of the GPO, namely
According to Assumption 1, only when the green electricity price sold to park users is not higher than the traditional electricity price outside the park, these users are willing to buy green electricity instead of traditional electricity. Therefore, in order to retain these users, the price Pusers at which GPO sells green power to users, should be less than the traditional electricity price Ptraditional, namely
For any GPO, the following inequality holds to ensure the investment profit in green power
where Pquotation is GPO’s quotation for green electricity from GPPs; Poperation is the cost price of GPO′ operation and maintenance, i.e., the average operating cost of GPO.
Hence we get
That is, when purchasing green power from GPPs, GPO’s quotation should not be higher than the difference between the traditional electricity price and the cost price of GPO′ operation and maintenance.
For any GPP, it is also necessary to ensure its profit, so that the GPP is willing to make a green electricity deal with a GPO. Therefore, Pquotation should not be lower than the cost price Pproduce of the GPP.
Let Pproduce = A and Ptraditional − Poperation = B. We divide interval [A, B] into n + 2 grades: A, 
We simply denote 
Remark 2.
1) The profit of green power is divided into n + 1 shares on average. The number of shares to win, except for extreme strategies, is considered as a strategy for each player to act in our model.
2) From Table 1, it is easy to find that the payoff bi-matrix is an asymmetry and upper triangular matrix. This characteristic is determined by the transaction process of GPOs and GPPs, which is shown in Section 3.1.
According to Theorem 3.1 of (Cheng et al., 2015), the strategy dynamics of each player can be expressed as a n-valued logical dynamic system. Now we identify 
Namely,
We use xi(t) to express the strategy of player i at time step t. Define 
where 
Theorem 1. Assume that there are m1 GPOs and m2 GPPs nearby, and denote m = m1 + m2. For the green power transaction model provided above, a strategy profile 
Froof. For a strategy profile 
4 Illustrative example
For the convenience of showing the method itself, we assume that there are two GPOs and two GPPs nearby. The topology diagram is given as in Figure 1.
Set n = 2 and divide interval [A, B] into 4 grades: A, A+ (B− A)/3, A+ 2(B− A)/3 and B. According to the above analysis, four players consisting of two GPPs and two GPOs, definitely not choose extreme strategies A or B. We denote A+ (B− A)/3 and A+ 2(B− A)/3 by 1 and 2, respectively. From Table 1, the payoff bi-matrix is given as in Table 2.
In the following, we illustrate how to use the payoff bi-matrix and the strategy updating rule, introduced above, to establish the dynamic characteristics for each player. For example, let x1(t) = x4(t) = 2, x2(t) = x3(t) = 1. For GPP1, it has two neighborhoods: GPO 1 and GPO 2. Then we get
We use the same argument for each profile 
Identify action k with 
where 
By using properties of STP, we obtain
where
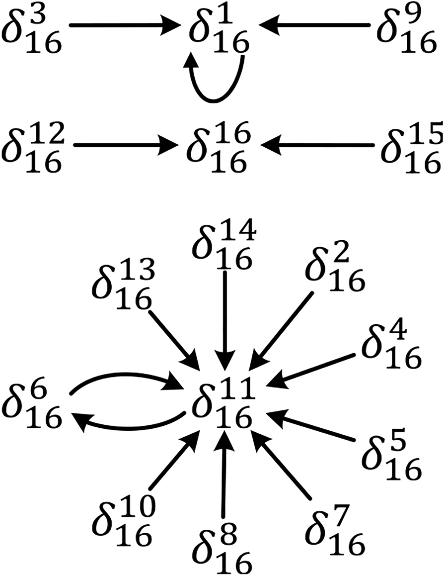
It is easy to find two elements on the diagonal of matrix M. So there are only two equilibrium points in this game: 
The state transition diagram of system 16) is given in Figure 2. From Figure 2 and Theorem 1, we know that only when the initial state is taken from 
Remark 3. The results obtained above show that the strategy profile depends on its initial state, and finally be stable at one of three attractors. We explain it in three cases.
• If player i chooses an initial strategy profile from {(1, 1, 1, 1), (1, 1, 2, 1), (2, 1, 1, 1)}, then the strategy profile will reach (1, 1, 1, 1) and be stable at this point in order to make as much profit as possible.
• If the player adopts an initial strategy profile from {(2, 1, 2, 2), (2, 2, 2, 1), (2, 2, 2, 2)}, then the strategy profile will be stable at (2, 2, 2, 2).
• For other initial strategy profiles, they change every time. That is, they are unstable.
Data availability statement
The original contributions presented in the study are included in the article/Supplementary Material, further inquiries can be directed to the corresponding authors.
Author contributions
All authors listed have made a substantial, direct, and intellectual contribution to the work and approved it for publication.
Funding
This work is supported by the Chongqing Nature Science Foundation (cstc2020jcyj-msxmX0708), Chongqing Project of Technology Innovation and Application Demonstration (cstc2018jszx-cyzdX0152), National Key R&D Program of China (2020YFB1708803, 2021YFB3203200).
Conflict of interest
Authors ZZ, YC, YL and XJ were employed by Beijing Smartchip Microelectronics Technology Company Limited.
The remaining authors declare that the research was conducted in the absence of any commercial or financial relationships that could be construed as a potential conflict of interest.
The authors declare that this study received funding from company Beijing Smartchip Microelectronics Technology Company Limited. The funder had the following involvement in the study: ZZ has conducted simulation verification and technical summary. YC was responsible for model analysis and improvement. YL has carried out data sorting and modeling. XJ was in charge of data collection and modeling.
Publisher’s note
All claims expressed in this article are solely those of the authors and do not necessarily represent those of their affiliated organizations, or those of the publisher, the editors and the reviewers. Any product that may be evaluated in this article, or claim that may be made by its manufacturer, is not guaranteed or endorsed by the publisher.
References
Cheng, D., He, F., Qi, H., and Xu, T. (2015). Modeling, analysis and control of networked evolutionary games. IEEE Trans. Autom. Contr. 60 (9), 2402–2415. doi:10.1109/tac.2015.2404471
Cheng, D., and Qi, H. (2010). A linear representation of dynamics of boolean networks. IEEE Transaction Automatic Control 55, 2251–2258. doi:10.1109/TAC.2010.2043294
Cheng, D., and Qi, H. (2009). Controllability and observability of boolean control networks. Automatica 45, 1659–1667. doi:10.1016/j.automatica.2009.03.006
Cheng, D., Qi, H., and Li, Z. (2011). Analysis and control of boolean networks: A semi-tensor product approach. London: Springer-Verlag.
Deng, M., Qu, B., and Xing, G. (2019). Business model exploration of customer energy service under the back-ground of energy Internet. Power Demand Side Manag. 21 (3), 59–62+68.
Huang, Y., Shao, C., Hao, J., Cai, M., Gao, C., and Chen, T., (2020). Multi-energy demand response technology in energy Internet environment. Power Demand Side Manag. 22 (05), 2–6+18.
Nowak, M., and May, R. (1992). Evolutionary games and spatial chaos. Nature 359, 826–829. doi:10.1038/359826a0
Pineda, S., and Bock, A. (2016). Renewable-based generation expansion under a green certificate market. Renew. Energy 93, 53–63. doi:10.1016/j.renene.2015.12.061
Sun, P., and Nie, P. (2015). A comparative study of feed in tariff and renewable portfolio standard policy in renewable energy industry. Renew. Energy 74, 255–262. doi:10.1016/j.renene.2014.08.027
Tai, X., Sun, H., and Guo, Q. (2016). Electricity trans-actions and congestion management based on blockchain in energy Internet. Power Syst. Technol. 40 (12), 3630–3638.
Keywords: park-level energy internet, green electricity, green power operator, green power producer, game, semi-tensor product of matrices, Nash equilibrium
Citation: Zheng Z, Tian H, Zhu P, Chi Y, Liu Y and Jia X (2022) Research on strategy of green electricity acquisition transaction of park-level energy internet by using STP. Front. Energy Res. 10:953039. doi: 10.3389/fenrg.2022.953039
Received: 25 May 2022; Accepted: 05 August 2022;
Published: 26 September 2022.
Edited by:
Qiuye Sun, Northeastern University, ChinaReviewed by:
Sanbo Ding, Hebei University of Technology, ChinaLei Liu, Liaoning University of Technology, China
Copyright © 2022 Zheng, Tian, Zhu, Chi, Liu and Jia. This is an open-access article distributed under the terms of the Creative Commons Attribution License (CC BY). The use, distribution or reproduction in other forums is permitted, provided the original author(s) and the copyright owner(s) are credited and that the original publication in this journal is cited, in accordance with accepted academic practice. No use, distribution or reproduction is permitted which does not comply with these terms.
*Correspondence: Hui Tian, dGlhbmh1aUBjcXVwdC5lZHUuY24=; Ping Zhu, MTAwNzk0QGNxbXUuZWR1LmNu
 Zhe Zheng1
Zhe Zheng1 
   
   
   
  