ORIGINAL RESEARCH article
Front. Energy Res.
Sec. Smart Grids
This article is part of the Research TopicOptimal Reactive Power Dispatch for Resilient Power System OperationView all articles
An Optimal Reactive Power Pre-Dispatch Approach for Minimizing Active Power Losses
Provisionally accepted- 1Norwegian University of Science and Technology, Trondheim, Norway
- 2University of South-Eastern Norway (USN), Kongsberg, Vestfold, Norway
Select one of your emails
You have multiple emails registered with Frontiers:
Notify me on publication
Please enter your email address:
If you already have an account, please login
You don't have a Frontiers account ? You can register here
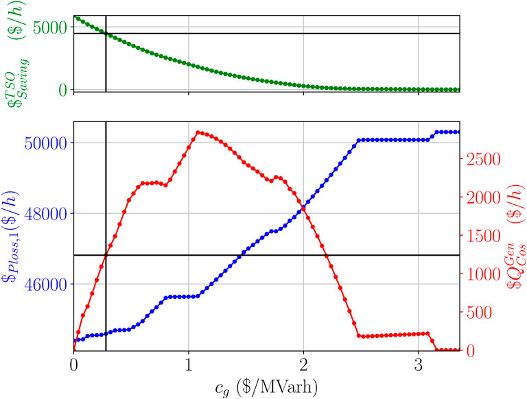
\begin{abstract} Renewable energy sources (RES) depend on location and weather conditions, which can negatively impact the transmission system operator's active power losses. \textcolor{red}{This paper proposes a method that operates between the day-ahead market clearing and real-time operation. It enables transmission system operators (TSOs) to procure supplemental reactive power from generator companies (GenCos) in order to minimize active power losses. To achieve this, a multi-objective, bi-level optimization model is proposed.} The leader's goal is to find a fair reactive power price that leads to the best trade-off between the two conflicting objectives of maximizing the savings for the TSO and the extra reactive power income for GenCos. The follower problem considers an optimal power flow model and minimizes the costs for the TSO by selecting the appropriate control action. The method was evaluated using the Nordic 44 test case. \textcolor{red}{ Results indicate a potential price range starting from $\boldsymbol{0}\, \text{\textdollar}/\text{MVarh}$, which is the preferable price for the TSO, up to $\boldsymbol{1.08}\, \text{\textdollar}/\text{MVarh}$, representing the best possible price for the GenCos. Using the Tchebycheff scalarization method, the reactive power price of $\boldsymbol{0.28}\, \text{\textdollar}/\text{MVarh}$ is found to be the best trade-off for both parties}. However, these prices depend on multiple factors related to the case study. Overall, the method can improve the interaction between GenCos and the TSO by proposing a fair remuneration for GenCos, which is still profitable for the TSO. \tiny \keyFont{ \section{Keywords:} Ancillary services, reactive costs, reactive power dispatch, active power losses} \end{abstract}
Keywords: Ancillary services, Reactive costs, Reactive power dispatch, Active power losses, reactive power
Received: 21 May 2025; Accepted: 29 Oct 2025.
Copyright: © 2025 Baltensperger, Rodrigues de Brito, Mishra, Øyvang and Uhlen. This is an open-access article distributed under the terms of the Creative Commons Attribution License (CC BY). The use, distribution or reproduction in other forums is permitted, provided the original author(s) or licensor are credited and that the original publication in this journal is cited, in accordance with accepted academic practice. No use, distribution or reproduction is permitted which does not comply with these terms.
* Correspondence: Daniel Baltensperger, daniel.s.baltensperger@ntnu.no
Disclaimer: All claims expressed in this article are solely those of the authors and do not necessarily represent those of their affiliated organizations, or those of the publisher, the editors and the reviewers. Any product that may be evaluated in this article or claim that may be made by its manufacturer is not guaranteed or endorsed by the publisher.
