ORIGINAL RESEARCH article
Front. Energy Res.
Sec. Sustainable Energy Systems
Sustainable Energy Solutions for Rural Bangladesh: An Optimized Hybrid Microgrid Model
Provisionally accepted- 1Pabna University of Science and Technology, Pabna, Bangladesh
- 2Department of Electrical and Electronic Engineering, Pabna University of Science & Technology, Pabna, Bangladesh
- 3Griffith University, Brisbane, Australia
- 4Multimedia University, Malacca, Malaysia
Select one of your emails
You have multiple emails registered with Frontiers:
Notify me on publication
Please enter your email address:
If you already have an account, please login
You don't have a Frontiers account ? You can register here
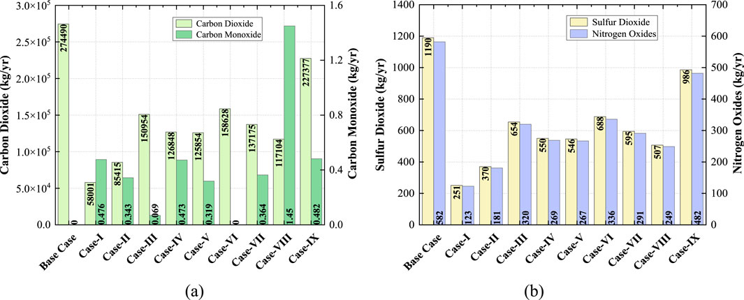
Reliable electricity access remains a critical challenge for rural Bangladesh. This study develops and optimizes a hybrid microgrid model for Bahirmadi village, integrating solar PV, wind turbines, a biogas generator, battery storage, and grid support using HOMER Pro software. A rural community load profile was constructed through a bottom-up device-usage approach, while renewable resources were derived from satellite datasets. The optimization identified a PV–wind–biogas–battery–grid hybrid configuration as the most cost-effective solution, with a net present cost (NPC) of USD 189,744 and a levelized cost of energy (COE) of USD 0.0212/kWh. The system achieves more than 80% renewable penetration while ensuring reliable supply. Sensitivity analysis demonstrated that PV capital cost and grid sellback price exert the strongest influence on system economics, whereas wind and biogas cost variations showed smaller impacts. These findings highlight the technical and economic feasibility of hybrid renewable microgrids for rural electrification in Bangladesh. Future work should incorporate field-validated meteorological records and measured rural demand data to further improve robustness and support community-specific implementation.
Keywords: Hybrid renewable energy system (HRES), Microgrid optimization, rural electrification, Grid integration, HOMER Pro Simulation, Techno-economic analysis, CO2 emission reduction, Bangladesh Energy Sector
Received: 23 Jun 2025; Accepted: 27 Oct 2025.
Copyright: © 2025 Ali, Ali, Biswas, Al Mamun and Hossen. This is an open-access article distributed under the terms of the Creative Commons Attribution License (CC BY). The use, distribution or reproduction in other forums is permitted, provided the original author(s) or licensor are credited and that the original publication in this journal is cited, in accordance with accepted academic practice. No use, distribution or reproduction is permitted which does not comply with these terms.
* Correspondence:
Md. Feroz Ali, feroz071021@gmail.com
Md Jakir Hossen, jakir.hossen@mmu.edu.my
Disclaimer: All claims expressed in this article are solely those of the authors and do not necessarily represent those of their affiliated organizations, or those of the publisher, the editors and the reviewers. Any product that may be evaluated in this article or claim that may be made by its manufacturer is not guaranteed or endorsed by the publisher.
