ORIGINAL RESEARCH article
Front. Energy Res.
Sec. Sustainable Energy Systems
This article is part of the Research TopicGrid Stability and Optimized Operation in Renewable Energy Grid SystemsView all 9 articles
Frequency Response Modeling and Online Parameter Adjustment of Inverter-Based Source for Off-Grid Renewable Energy Systems
Provisionally accepted- 1State Key Laboratory of HVDC, Electric Power Research Institute, China Southern Power Grid,Guangzhou 510663, Guangzhou, China
- 2National Energy Power Grid Technology R&D Centre,Guangzhou 510663, Guangzhou, China
- 3Guangdong Provincial Key Laboratory of Intelligent Operation and Control for New Energy Power System,Guangzhou 510663, Guangzhou, China
- 4Key Laboratory of Distributed Energy Storage and Micro-Grid of Hebei Province North China Electric Power University , Baoding 071003, China, Baoding, China
Select one of your emails
You have multiple emails registered with Frontiers:
Notify me on publication
Please enter your email address:
If you already have an account, please login
You don't have a Frontiers account ? You can register here
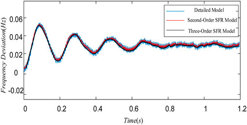
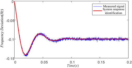
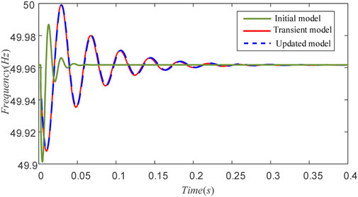
Currently, off-grid pure renewable energy systems have become an important form of energy supply. The frequency response model of inverter-based source is key to studying the frequency stability issues of these systems. However, existing methods often involve high-order models with limited physical interpretability and poor suitability for online applications. To address these issues, this paper proposes a low-order and physically interpretable frequency response model of inverter-based sources. First, based on the full-order dynamic model of the inverter-based source, a frequency response model on the power–frequency time scale is derived to reveal the frequency response mechanism. Second, analytical expressions for the dynamic performance indicators of the model are derived, and a parameter identification method based on the Levenberg–Marquardt optimization algorithm is proposed. Then, an online updating mechanism and parameter adjustment strategy are designed to enable application under operating point variations and low damping, low inertia conditions. Finally, simulations validate the accuracy of the proposed model, as well as the effectiveness of the parameter identification method and the updating mechanism.
Keywords: Inverter-based Source, frequency response modeling, Parameter identification, Model updating, online parameter adjustment
Received: 30 Jul 2025; Accepted: 14 Nov 2025.
Copyright: © 2025 Tang, Tu, Liu, Yu, Zhou, Ma and Li. This is an open-access article distributed under the terms of the Creative Commons Attribution License (CC BY). The use, distribution or reproduction in other forums is permitted, provided the original author(s) or licensor are credited and that the original publication in this journal is cited, in accordance with accepted academic practice. No use, distribution or reproduction is permitted which does not comply with these terms.
* Correspondence: Kaixin Ma, 17732853228@163.com
Disclaimer: All claims expressed in this article are solely those of the authors and do not necessarily represent those of their affiliated organizations, or those of the publisher, the editors and the reviewers. Any product that may be evaluated in this article or claim that may be made by its manufacturer is not guaranteed or endorsed by the publisher.
