ORIGINAL RESEARCH article
Front. Energy Res.
Sec. Electrochemical Energy Storage
This article is part of the Research TopicAdvances in Solid State BatteriesView all 3 articles
Ionic Conductivity Measurements of Solid State Electrolytes with Coin Cells Enabled by Dry-Pressed Holey Graphene Current Collectors
Provisionally accepted- 1Langley Research Center, National Aeronautics and Space Administration, Hampton, United States
- 2Analytical Mechanics Associates Inc, Hampton, United States
- 3NASA Glenn Research Center, Cleveland, United States
Select one of your emails
You have multiple emails registered with Frontiers:
Notify me on publication
Please enter your email address:
If you already have an account, please login
You don't have a Frontiers account ? You can register here
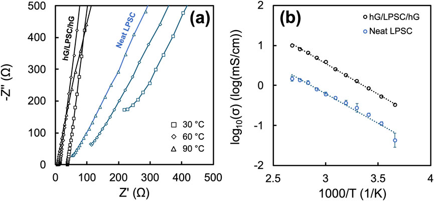
Solid-state batteries (SSBs) are poised to become the batteries of the future with advantages such as higher energy density, versatile geometry, and greater safety due to their inherent nonflammability. The most important parameter of the solid-state electrolyte (SSE) used is its ionic conductivity typically calculated from measuring the bulk impedance of a SSE pellet sandwiched between two ion-blocking current collectors. One of the challenges in conducting this measurement is the poor interfacial contacts between the SSE pellet and the current collector surfaces. To overcome this interfacial issue, high stack pressure (>10 - 100 MPa) is often used. However, this is unrealistic for the operation of practical cells where low or minimal stack pressure (<5 MPa) is more desirable. Thus, ionic conductivity values obtained at high stack pressures may not accurately reflect the true conducting properties under operational conditions. Holey graphene (hG) is a carbon nanomaterial with high electrical conductivity and unique dry compressibility, which is unusual for carbon materials. In this work, it is demonstrated that a thin layer of dry-pressed holey graphene as the current collector for sulfide-based SSE impedance measurements significantly improves the interfacial contact. The ionic conductivity values obtained at low stack pressure conditions were sometimes an order of magnitude higher than the data measured for sulfide SSEs without the hG layers. The use of hG also allows for convenient measurements even using coin cells where a very low internal stack pressure is used. The measurements attained in this work confirm that sulfide SSE ionic conductivity could be at a high level despite the low stack pressure used. This work also calls for more standardized measurement procedures to reduce the discrepancies in reported ionic conductivity values.
Keywords: Solid state batteries, Stack pressure, ionic conductivity, holey graphene, Current collector
Received: 12 Aug 2025; Accepted: 30 Sep 2025.
Copyright: © 2025 Scrudder, Das, Kang, Yamakov, Su, Dornbusch, Viggiano and Lin. This is an open-access article distributed under the terms of the Creative Commons Attribution License (CC BY). The use, distribution or reproduction in other forums is permitted, provided the original author(s) or licensor are credited and that the original publication in this journal is cited, in accordance with accepted academic practice. No use, distribution or reproduction is permitted which does not comply with these terms.
* Correspondence: Yi Lin, yi.lin-1@nasa.gov
Disclaimer: All claims expressed in this article are solely those of the authors and do not necessarily represent those of their affiliated organizations, or those of the publisher, the editors and the reviewers. Any product that may be evaluated in this article or claim that may be made by its manufacturer is not guaranteed or endorsed by the publisher.
